Probing the Nanodomain Origin and Phase Transition Mechanisms in (Un)Poled PMN-PT Single Crystals and Textured Ceramics
Abstract
:1. Introduction
1.1. Heterogeneity and electrical properties: solid solution a wrong concept
1.2. The perovskite structure

1.3. Relaxor ferroelectrics—Perovskite “solid solutions”

1.4. Anharmonicity, phase transition and vibrational signature
2. Results and Discussion
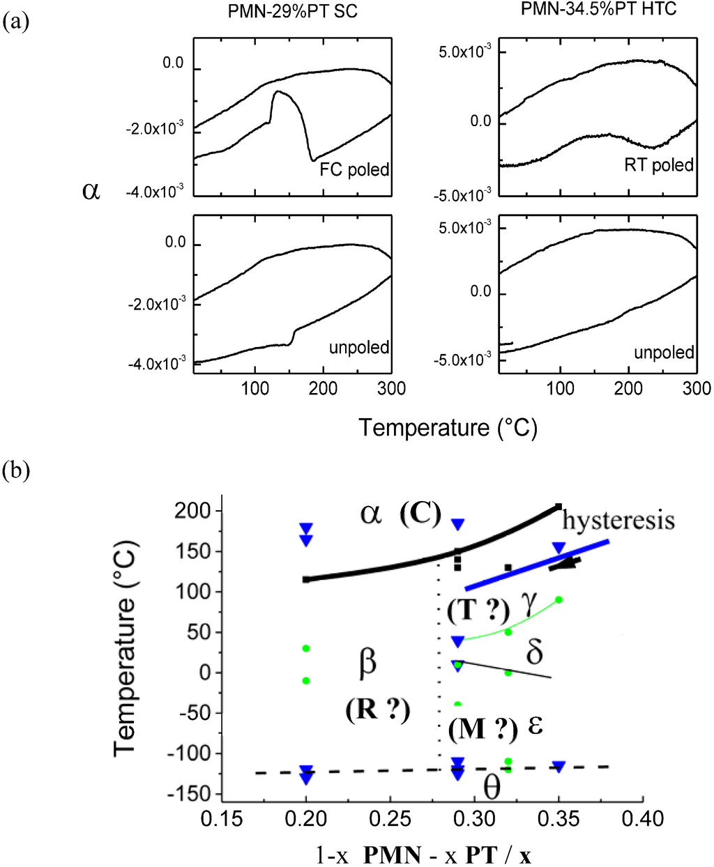
2.1. Phase transitions by dielectric and thermal expansion measurements


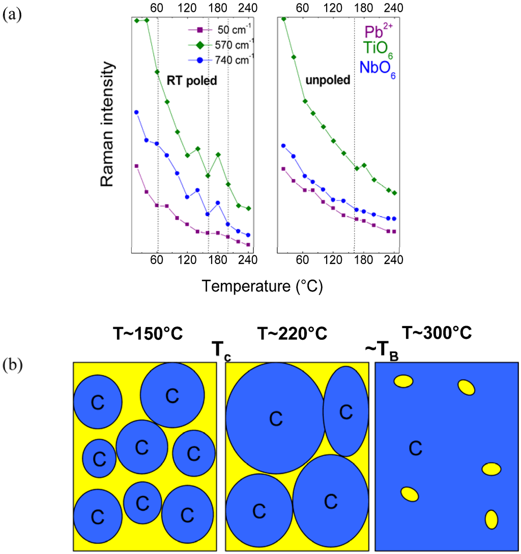
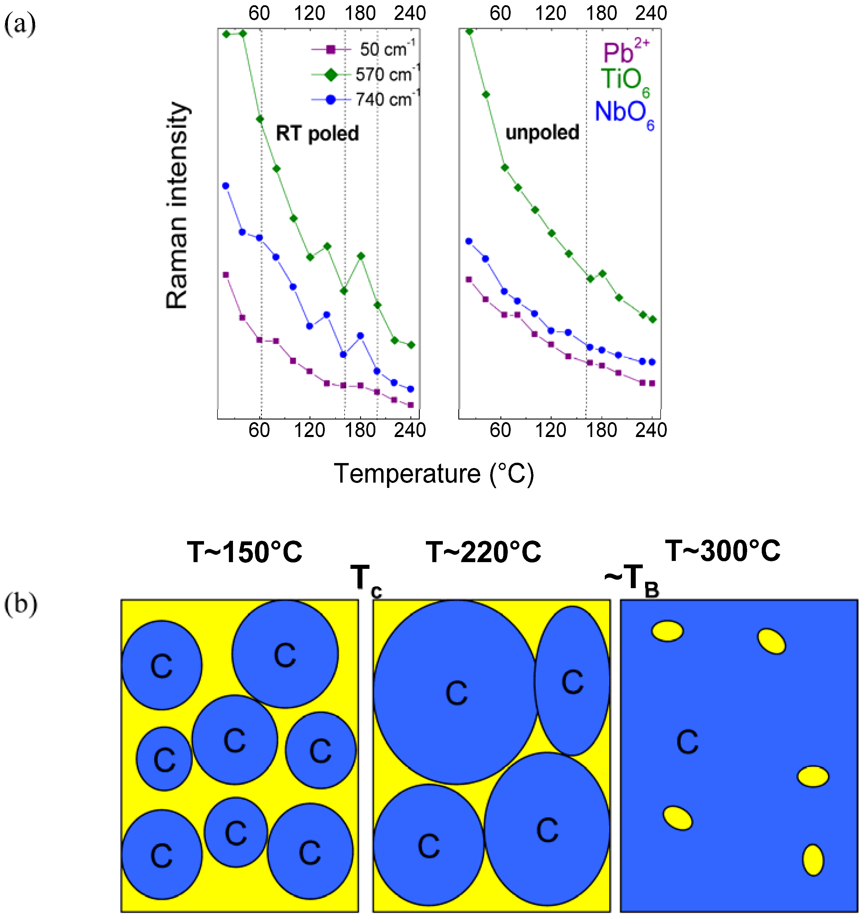
2.2. Raman studies vs. temperature

2.2.1. Temperature dependences of Raman mode parameters


2.2.2. Temperature evolution of Rayleigh wings

3. Experimental Section
4. Conclusion
Acknowledgments
References
- Colomban, P.; Lucazeau, G.; Novak, A. Vibrational study of Hydrogene B alumina. J. Phys. C—Solid State Phys. 1981, 14, 4325–4333. [Google Scholar] [CrossRef]
- Colomban, P.; Lucazeau, G. Vibrational study and conduction mechanism in β alumina: (1) Stoichiometric β alumina. J. Chem. Phys. 1980, 72, 1213–1224. [Google Scholar] [CrossRef]
- Boilot, J.P.; Colomban, Ph.; Collonges, R.; Collin, G.; Comes, R. X-ray scattering evidence of sublattice phase transition in Stochiometric Silver B alumina. Phys. Rev. Lett. 1979, 42, 785–787. [Google Scholar] [CrossRef]
- Goodenough, J.B. Theory of the role of covalence in the perovskite-type manganites [La,M(II)]MnO3. Phys. Rev. 1955, 100, 564–573. [Google Scholar] [CrossRef]
- Goodenough, J.B.; Longo, J.M. Magnetic Oxides and Related Oxides; Springer-Verlag: Heidelberg, Germany, 1970; Volume 4, pp. 126–314. [Google Scholar]
- Goodenough, J.B. Les Oxydes des Métaux de Transition; Gauthier-Villars Editeur: Paris, France, 1973. [Google Scholar]
- Goodenough, J.B.; Zhou, J.S. Localized to itinerant electronic transitions in transition-metal oxides with the perovskite structure. Chem. Mater. 1998, 10, 2980–2993. [Google Scholar] [CrossRef]
- Huang, C.D.; Cormack, A.N. Structural differences and phase-separation in alkali silicate-glasses. J. Chem. Phys. 1991, 95, 3634–3642. [Google Scholar] [CrossRef]
- Yokokawa, H.; Sakai, N.; Kawada, T.; Dokiya, M. Thermodynamic stability of perovskites and related compounds in some alkaline earth-transition metal-oxygen systems. J. Solid State Chem. 1991, 94, 106–120. [Google Scholar] [CrossRef]
- Gouadec, G.; Colomban, P.; Piquet, N.; Trichet, M.F.; Mazerolles, L. Raman/Cr3+ fluorescence mapping of a melt-grown Al2O3/GdAlO3 eutectics. J. Eur. Ceram. Soc. 2005, 25, 1447–1453. [Google Scholar] [CrossRef]
- Llorca, J.; Orera, V.M. Directionally solidified eutectic ceramic oxides. Progr. Mat. Sci. 2006, 51, 711–809. [Google Scholar] [CrossRef]
- Shirane, G.; Axe, J.D.; Harada, J.; Linz, A. Inelastic neutron scattering from single-domain BaTiO3. Phys. Rev. B 1970, 2, 3651–3657. [Google Scholar] [CrossRef]
- Shirane, G. Neutron scattering studies of structural phase transitions. Rev. Mod. Phys. 1974, 46, 437–449. [Google Scholar] [CrossRef]
- Gouadec, G.; Colomban, P. Raman Spectroscopy of nanomaterials: How spectra relate to disorder, particle size and mechanical properties. Prog. Cryst. Growth Charact. Mater. 2007, 53, 1–56. [Google Scholar] [CrossRef]
- Carabatos-Nedelec, C.; Becker, P. Order-disorder and structural phase transitions in solid-state materials by Raman scattering analysis. J. Raman Spectrosc. 1997, 28, 663–671. [Google Scholar] [CrossRef]
- Zelenovskiy, P.S.; Fontana, M.D.; Shur, V.Y.; Bourson, P.; Kuznetsov, D.K. Raman visualization of micro- and nanoscale domain structures in lithium niobate. Appl. Phys. A 2010, 99, 741–744. [Google Scholar] [CrossRef]
- Colomban, P. Raman analyses and “smart” imaging of nanophases and nanosized materials. Spectrosc. Eur. 2003, 15, 8–15. [Google Scholar]
- Galasso, F.S. Structure, Properties and Preparation of Perovskite-Type Compounds; Pergamon: Elmsford, NY, USA, 1969. [Google Scholar]
- Bhalla, A.S.; Guo, R.; Roy, R. The perovskite structure—A review of its role in ceramic science and technology. Mat. Res. Innovat. 2000, 4, 3–26. [Google Scholar] [CrossRef]
- Cross, L.E.; Dennison, A.T.; Nicolson, M.M.; Whiddington, R. Optical properties of BaTiO3. Nature 1949, 163–165. [Google Scholar]
- Didomenico, M.; Porto, S.P.S.; Wemple, S.H. Evidence from Raman scattering for an overdamped soft optic mode in BaTiO3. Phys. Rev. Lett. 1967, 19, 855–857. [Google Scholar] [CrossRef]
- Vogt, H.; Sanjurio, J.A.; Rossbroich, G. Soft-mode spectroscopy in cubic BaTiO3 by hyper-Raman scattering. Phys. Rev. B 1982, 26, 5904–5910. [Google Scholar] [CrossRef]
- Noma, T.; Wada, S.; Yano, M.; Suzuki, T. Analysis of lattice vibration in fine particles of barium titanate single crystal including the lattice hydroxyl group. J. Appl. Phys. 1996, 80, 5223–5234. [Google Scholar] [CrossRef]
- Glazer, A.M. The classification of tilted octahedra in perovskites. Acta Crystallogr. B—Struct. Sci. 1972, 28, 3384–3392. [Google Scholar] [CrossRef]
- Woodward, P.M. Octahedral tilting in perovskites. I. Geometrical considerations. Acta Crystallogr. B—Struct. Sci. 1997, 53, 32–43. [Google Scholar] [CrossRef]
- Slodczyk, A.; Colomban, P.; Willemin, S.; Lacroix, O.; Sala, B. Indirect Raman identification of the proton insertion in the high-temperature [Ba/Sr][Zr/Ti]O3-modified perovskite protonic conductors. J. Raman Spectrosc. 2009, 40, 513–521. [Google Scholar] [CrossRef]
- Lucazeau, G. Effect of pressure and temperature on Raman spectra of solids: Anharmonicity. J. Raman Spectrosc. 2003, 34, 478–496. [Google Scholar]
- Chemarin, C.; Rosman, N.; Pagnier, T.; Lucazeau, G. A High-Pressure Raman Study of Mixed Perovskites BaCexZr1−xO3 (0 ≤ x ≤ 1). J. Solid State Chem. 2000, 149, 298–307. [Google Scholar] [CrossRef]
- Knight, K.S. Structural phase transitions in BaCeO3. Solid State Ionics 1994, 74, 109–117. [Google Scholar] [CrossRef]
- Genet, F.; Loridant, S.; Ritter, C.; Lucazeau, G. Phase transitions in BaCeO3: Neutron diffraction and Raman studies. J. Phys. Chem. Solids 1999, 60, 2009–2021. [Google Scholar] [CrossRef]
- Shirane, G.; Yamada, Y. Lattice-dynamical study of the 110 K phase transition in SrTiO3. Phys. Rev. 1969, 177, 858–863. [Google Scholar] [CrossRef]
- Shirane, G.; Axe, J.D.; Harada, J.; Remeika, J.P. Soft ferroelectric modes in lead titanate. Phys. Rev. B 1970, 2, 155–159. [Google Scholar] [CrossRef]
- Dove, M.T. Theory of displacive phase transitions in minerals. Amer. Mineral. 1997, 82, 213–244. [Google Scholar]
- Shirane, G; Takeda, A. Phase transitions in solid solutions of PbZrO3 and PbTiO3 (I) Small concentrations of PbTiO3. J. Phys. Soc. Jpn. 1952, 7, 5–11. [Google Scholar] [CrossRef]
- Frey, R.A. The Crystal Structure of PbTiO3; Mathieu, J.P., Ed.; Heyden & Sons Ltd: London, UK, 1973; volume 1. [Google Scholar]
- Proton Conductors: Solids, Membranes and Gel—Materials and Devices; Colomban, P. (Ed.) Cambridge University Press: Cambridge, UK, 1992.
- Colomban, P.; Romain, F.; Neiman, A.; Animitsa, I. Double perovskites with oxygen structural vacancies: Raman spectra, conductivity and water uptake. Solid State Ionics 2001, 145, 339–347. [Google Scholar] [CrossRef]
- Animitsa, I.; Nieman, A.; Titova, S.; Kochetova, N.; Colomban, Ph. Phase relations during water incorporation in the oxygen and proton conductor Sr6Ta2O11. Solid State Ionics 2003, 156, 95–102. [Google Scholar] [CrossRef]
- Ruddlesden, S.; Popper, P. New compounds of the K2NiF4 type. Acta Crystallogr. 1957, 10, 538–539. [Google Scholar] [CrossRef]
- Aurivillius, B. Mixed bismuth oxides with layer lattices I—The structure type of CaNb,Bi,O. Arkiv. Kemi. 1949, 1, 463–480. [Google Scholar]
- Aurivillius, B.; Fang, P.H. Ferroelectricity in the Compound BqBi4Ti5Ol8. Phys. Rev. 1962, 126, 893–896. [Google Scholar] [CrossRef]
- Dion, M.; Ganne, M.; Tournoux, M. Nouvelles familles de phases MIMII2Nb3O10 a feuillets “perovskites”. Mater. Res. Bull. 1981, 16, 1429–1435. [Google Scholar] [CrossRef]
- Graves, P.R.; Hua, G.; Myhra, S.; Thompson, J.G. The Raman modes of the Aurivillius phases: Temperature and polarization dependence. J. Solid State Chem. 1995, 114, 112–122. [Google Scholar] [CrossRef]
- Snedden, A.; Knight, K.S.; Lightfoot, P. Structural distortions in the layered perovskites CsANb2O7 (A = Nd, Bi). J. Solid. State Chem. 2003, 173, 309–313. [Google Scholar] [CrossRef]
- Cross, L.E. Relaxor ferroelectrics. Ferroelectrics 1987, 76, 241–267. [Google Scholar] [CrossRef]
- Jona, F.; Shirane, G. Ferroelectric Crystals; Pergamon Press: Oxford, UK, 1962. [Google Scholar]
- Samara, G.A. The relaxational properties of compositionally disordered ABO3 perovskites. J. Phys—Condens. Matter 2003, 15, R367. [Google Scholar] [CrossRef]
- Jaffe, B.; Cook, W.R.; Jaffe, H. Piezoelectric Ceramics; Academic Press: London, UK, 1971. [Google Scholar]
- Ye, Z.G. Crystal chemistry and domain structure of relaxor piezocrystals. Curr. Opin. Solid State Mater. 2002, 6, 35–44. [Google Scholar] [CrossRef]
- Noheda, B. Structure and high-piezoelectricity in lead oxide solid solutions. Curr. Opin. Solid State Mater. 2002, 6, 27–34. [Google Scholar] [CrossRef]
- Smolenskii, G.A.; Bokov, V.A.; Isupov, V.A.; Krainik, N.N.; Pasynkov, N.N.; Sokolov, A.I.; Yushin, N.K. Ferroelectrics and Related Phenomena; Gordon & Breach: New York, NY, USA, 1988. [Google Scholar]
- Burns, G.; Dacol, F.H. Crystalline ferroelectrics with glassy polarization behaviour. Phys. Rev. B 1983, 28, 2527–2530. [Google Scholar]
- Glazer, A.M.; Thomas, P.A.; Baba-Kishi, K.Z.; Kang, H.P.G.; Tai, C.W. Influence of short-range and long-range order on the evolution of the morphotropic phase boundary in Pb(Zr1−xTix)O3. Phys. Rev. B 2004, 70, 184123. [Google Scholar] [CrossRef]
- Deluca, M.; Fukumura, H.; Tonari, N.; Capiani, C.; Hasuike, N.; Kisoda, K.; Galassi, C.; Harima, H. Raman spectroscopic study of phase transitions in undoped morphotropic PbZr1−xTixO3. J. Raman Spectrosc. 2010. [CrossRef]
- Colomban, P. Frittage de ceramiques PLZT. L’industrie ceramique 1976, 697, 531–535. [Google Scholar]
- Shigeki, H.; Takayuki, A.; Masaya, H.; Hiroshi, N.; Ichizo, K.; Masaru, O. Effect of substrate temperature on electrical characteristics of (Pb, La)(Zr, Ti)O3 ultrathin films deposited by metalorganic chemical vapor deposition. Jpn. J. Appl. Phys. 1995, 34, 5086–5090. [Google Scholar] [CrossRef]
- Choi, W.; Shrout, T.R.; Jang, S.J.; Bhalla, A.S. Dielectric and pyroelectric properties in the Pb(Mg1/3Nb2/3)O3-PbTiO3 system. Ferroelectrics 1989, 100, 29–38. [Google Scholar] [CrossRef]
- Noblanc, O.; Gaucher, P.; Calvarin, G. Structural and dielectric studies of Pb(Mg1/3Nb2/3)O3-PbTiO3 ferroelectric solid solutions around the morphotropic boundary. J. Appl. Phys. 1996, 79, 4291–4298. [Google Scholar] [CrossRef]
- Noheda, B.; Cox, D.E.; Shirane, G.; Ye, Z.G.; Gao, J. Phase diagram of the ferroelectric relaxor (1−x)PbMg1/3Nb2/3O3-xPbTiO3. Phys. Rev. B 2002, 66, 054104. [Google Scholar] [CrossRef]
- Pham Thi, M.; March, G.; Colomban, P. Phase diagram and Raman imaging of grain growth mechanisms in highly textured Pb(Mg1/3Nb2/3)O3-PbTiO3 piezoelectric ceramics. J. Eur. Ceram. Soc. 2005, 25, 3335–3346. [Google Scholar]
- Colomban, P.; Pham, T.M. Raman imaging and thermal expansion of highly textured Pb(Mg1/3Nb2/3)O3-PbTiO3 piezoelectric ceramics. Mater. Res. Soc. Symp. Proc. 2005, 855E, W.3.1:1–W.3.1:6. [Google Scholar]
- Slodczyk, A.; Colomban, Ph.; Pham Thi, M. Role of the TiO6 octahedra on the ferroelectric and piezoelectric behaviour of the poled PbMg1/3Nb2/3O3–xPbTiO3 (PMN–PT) single crystal and textured ceramic. J. Phys. Chem. Solids 2008, 69, 2503–2513. [Google Scholar] [CrossRef]
- Slodczyk, A.; Daniel, P.; Kania, A. Local phenomena of (1−x)PbMg1/3Nb2/3O3−xPbTiO3 single crystals (0 ≤ x ≤ 0.38) studied by Raman scattering. Phys. Rev. B 2008, 77, 184114. [Google Scholar] [CrossRef]
- Shrout, T.; Chang, Z.P.; Kim, N.; Markgraf, S. Dielectric behavior of single crystals near the (1−x)Pb(Mg1/3Nb2/3)O3-(x) PbTiO3 morphotropic phase boundary. Ferroelectr. Lett. Sect. 1990, 12, 63–69. [Google Scholar] [CrossRef]
- Pham-Thi, M.; Hemery, H.; Dammak, H. X-ray investigation of high oriented (1−x)Pb(Mg1/3Nb2/3)O3-(x)PbTiO3 Ceramics. J. Eur. Ceram. Soc. 2005, 25, 2433–2435. [Google Scholar] [CrossRef]
- Singh, A.K.; Pandey, D. Structure and the location of the morphotropic phase boundary region in (1−x)[Pb(Mg1/3Nb2/3)O3]-xPbTiO3. J. Phys.—Condens. Matter 2001, 13, L931. [Google Scholar] [CrossRef]
- Kiat, J.M.; Uesu, Y.; Dkhil, B.; Matsuda, M.; Malibert, C.; Calvarin, G. Monoclinic structure of unpoled morphotropic high piezoelectric PMN-PT and PZN-PT compounds. Phys. Rev. B 2002, 65, 064106. [Google Scholar] [CrossRef]
- Kuwata, J.; Uchino, K.; Nomura, S. Phase transitions in the Pb(Zn1/3Nb2/3)O3-PbTiO3 system. Ferroelectrics 1981, 37, 579–582. [Google Scholar] [CrossRef]
- La-Orauttapong, D.; Noheda, B.; Ye, Z.G.; Gehring, P.M.; Toulouse, J.; Cox, D.E. Phase diagram of the relaxor ferroelectric (1−x)Pb(Zn1/3Nb2/3)O3-xPbTiO3. Phys. Rev. B 2002, 65, 144101. [Google Scholar] [CrossRef]
- Iwata, M.; Tomisato, N.; Orihara, H.; Arai, N.; Tanaka, N.; Ohwa, H.; Yasuda, N.; Ishibashi, Y. Raman scattering in (1−x)Pb(Zn1/3Nb2/3)O3-xPbTiO3 mixed crystal system II. Jpn. J. Appl. Phys. 2001, 40, 5819–5822. [Google Scholar] [CrossRef]
- Kuwata, J.; Uchino, K.; Nomura, S. Dielectric and piezoelectric properties of 0.91Pb(Zn1/3Nb2/3)O3-0.09PbTiO3 single crystals. Jpn. J. Appl. Phys. 1982, 21, 1298–1302. [Google Scholar] [CrossRef]
- Dong, M.; Ye, Z.G. High temperature thermodynamic properties and pseudo-binary phase diagram of the Pb(Zn1/3Nb2/3)O3-PbTiO3 system. Jpn. J. Appl. Phys. 2001, 40, 4604–4610. [Google Scholar] [CrossRef]
- Jiang, F.; Kojima, S. Raman scattering of 0.91 Pb(Zn1/3Nb2/3)O3-0.09 PbTiO3 relaxor ferroelectric single crystals. Jpn. J. Appl. Phys. 1999, 38, 5128–5132. [Google Scholar] [CrossRef]
- Kim, S.; Yang, I.S.; Lee, J.K.; Hong, K.S. Raman study of an electric-field-induced phase transition in Pb(Zn1/3Nb2/3)O3-8%PbTiO3. Phys. Rev. B 2001, 64, 094105. [Google Scholar] [CrossRef]
- Cross, L.E. Ferroelectric materials for electromechanical transducer applications. Mat. Chem. Phys. 1996, 43, 108–115. [Google Scholar] [CrossRef]
- Park, S.E.; Shrout, T.R. Ultrahigh strain and piezoelectric behavior in relaxor based ferroelectric single crystals. J. Appl. Phys. 1997, 82, 1804–1812. [Google Scholar] [CrossRef]
- Fu, H.; Cohen, R.H. Polarization rotation mechanism for ultrahigh electromechanical response in single-crystal piezoelectrics. Nature 2000, 403, 281–283. [Google Scholar] [CrossRef] [PubMed]
- Stenger, C.G.; Burgraaf, A.F. Order-disorder reactions in the ferroelectric perovskites Pb(Sc1/2Nb1/2)O3 and Pb(Sc1/2Ta1/2)O3. I. Kinetics of the ordering process. Phys. Status Solidi A—Appl. Mat. 1980, 61, 275–285. [Google Scholar] [CrossRef]
- Randall, C.A.; Bhalla, A.S.; Shrout, T.R.; Cross, L.E. Classification and consequences of complex lead perovskite ferroelectrics with regard to B-site cation order. J. Mater. Res. 1990, 5, 829–834. [Google Scholar] [CrossRef]
- Yan, Y.; Pennycook, S.J.; Xu, Z.; Viehland, D. Determination of the ordered structures of Pb(Mg1/3Nb2/3)O3 and Ba(Mg1/3Nb2/3)O3 by atomic-resolution Z-contrast imaging. Appl. Phys. Lett. 1998, 72, 3145–3147. [Google Scholar] [CrossRef]
- Davies, P.K.; Akbas, M.A. Chemical order in PMN-related relaxors: structure, stability, modification, and impact on properties. J. Phys. Chem. Solids 2000, 61, 159–166. [Google Scholar] [CrossRef]
- Vakrushev, S.B.; Ivanov, A.; Kulda, J. Diffuse neutron scattering in relaxor ferroelectric PbMg1/3Nb2/3O3. Phys. Chem. Chem. Phys. 2005, 7, 2340–2345. [Google Scholar] [CrossRef] [PubMed]
- Hirota, K.; Ye, Z.G.; Wakimoto, S.; Gehring, P.M.; Shirane, G. Neutron diffuse scattering from polar nanoregions in the relaxor Pb(Mg1/3Nb2/3)O3. Phys. Rev. B 2002, 65, 104105. [Google Scholar] [CrossRef]
- Vanderbilt, D.; Cohen, M.H. Monoclinic and triclinic phases in higher-order Devonshire theory. Phys. Rev. B 2001, 63, 094108. [Google Scholar] [CrossRef]
- Bellaiche, L.; Garcia, A.; Vanderbilt, D. Finite-temperature properties of Pb(Zr1−xTix)O3 alloys from first principles. Phys. Rev. Lett. 2000, 84, 5427–5430. [Google Scholar] [CrossRef] [PubMed]
- Damjanovic, D. Contributions to the piezoelectric effect in ferroelectric single crystals and ceramics. J. Am. Ceram. Soc. 2005, 88, 2663–2676. [Google Scholar] [CrossRef]
- Damjanovic, D. A morphotropic phase boundary system based on polarization rotation and polarization extension. Appl. Phys. Lett. 2010, 97, 062906. [Google Scholar] [CrossRef]
- Colomban, P. Analysis of strain and stress in ceramic, polymer and metal matrix composites by raman spectroscopy. Adv. Eng. Mater. 2002, 4, 535–542. [Google Scholar] [CrossRef]
- Colomban, P. Nano/micro-structure and property control of single and multiphase. In Chemical Processing of Ceramics, 2nd Ed.; Konarneni, S., Lee, B., Eds.; CRS Press: Boca Paton, FL, USA, 2005; pp. 303–339. [Google Scholar]
- Pasto, A.E.; Condrate, R.A. The Laser Raman Spectra of Several Perovskite Zirconates; Spectrosc, J.P., Ed.; Heyden & Sons Ltd: London, UK, 1973. [Google Scholar]
- Sabolsky, E.M.; James, A.R.; Kwon, S.; Trollier-McKinstry, S.; Messing, G.L. Piezoelectric properties of <001> textured Pb(Mg1/3Nb2/3)O3–PbTiO3 ceramics. Appl. Phys. Lett. 2001, 78, 2551–2553. [Google Scholar] [CrossRef]
- Sabolsky, E.M.; Trollier-McKinstry, S.; Messing, G.L. Dielectric and piezoelectric properties of (001) fiber-textured PMN-PT ceramics. J. Appl. Phys. 2003, 93, 4072–4075. [Google Scholar] [CrossRef]
- Pham, T.M.; Hemery, H.; Latour, O. Textured PMN-PT ceramics by homoepitaxial template grain growth. In Proceedings of the 2003 US Navy Workshop on Acoustic Transduction Material & Devices, Pennsylvania, DC, USA, 2003.
- Svitelskiy, O.; Toulouse, J.; Yong, G.; Ye, Z.G. Polarised Raman study of the phonon dynamics in Pb(Mg1/3Nb2/3)O3 crystal. Phys. Rev. B 2003, 68, 104107. [Google Scholar] [CrossRef]
- Kreisel, J.; Bouvier, P. High-pressure Raman spectroscopy of nano-structured ABO3 perovskites: A case study of relaxor ferroelectrics. J. Raman Spectrosc. 2003, 34, 524–531. [Google Scholar] [CrossRef]
- Toulouse, J.; Jiang, F.; Svitelskiy, O.; Chen, W.; Ye, Z.G. Temperature evolution of the relaxor dynamics in Pb(Zn1∕3Nb2∕3)O3: A critical Raman analysis. Phys. Rev. B 2005, 72, 184106. [Google Scholar] [CrossRef]
- Colomban, P.; Slodczyk, A. Raman intensity: An important tool to study the structure and phase transitions of amorphous/crystalline materials. Opt. Mater. 2009, 31, 1759–1763. [Google Scholar] [CrossRef]
- Gehring, P.M.; Wakimoto, S.; Ye, Z.G.; Shirane, G. Soft mode dynamics above and below the Burns Temperature in the Relaxor Pb(Mg1/3Nb2/3)O3. Phys. Rev. Lett. 2001, 87, 277601. [Google Scholar] [CrossRef] [PubMed]
- Wakimoto, S.; Stock, C.; Birgeneau, R.J.; Ye, Z.G.; Chen, W.; Buyers, W.J.L.; Gehring, P.M.; Shirane, G. Ferroelectric ordering in the relaxor Pb(Mg1/3Nb2/3)O3 as evidenced by low-temperature phonon anomalies. Phys. Rev. B 2002, 65, 172105. [Google Scholar] [CrossRef]
- Taniguchi, H.; Itoh, M.; Fu, D. Raman scattering study of the soft mode in Pb(Mg1/3Nb2/3)O3. J. Raman Spectrosc. 2010. [CrossRef]
© 2010 by the authors; licensee MDPI, Basel, Switzerland. This article is an open access article distributed under the terms and conditions of the Creative Commons Attribution license (http://creativecommons.org/licenses/by/3.0/).
Share and Cite
Slodczyk, A.; Colomban, P. Probing the Nanodomain Origin and Phase Transition Mechanisms in (Un)Poled PMN-PT Single Crystals and Textured Ceramics. Materials 2010, 3, 5007-5028. https://doi.org/10.3390/ma3125007
Slodczyk A, Colomban P. Probing the Nanodomain Origin and Phase Transition Mechanisms in (Un)Poled PMN-PT Single Crystals and Textured Ceramics. Materials. 2010; 3(12):5007-5028. https://doi.org/10.3390/ma3125007
Chicago/Turabian StyleSlodczyk, Aneta, and Philippe Colomban. 2010. "Probing the Nanodomain Origin and Phase Transition Mechanisms in (Un)Poled PMN-PT Single Crystals and Textured Ceramics" Materials 3, no. 12: 5007-5028. https://doi.org/10.3390/ma3125007
APA StyleSlodczyk, A., & Colomban, P. (2010). Probing the Nanodomain Origin and Phase Transition Mechanisms in (Un)Poled PMN-PT Single Crystals and Textured Ceramics. Materials, 3(12), 5007-5028. https://doi.org/10.3390/ma3125007


