Comparative Analysis of Two CO2 Sequestration Pathways for Magnesium Slag Based on Kinetics and Life Cycle Assessment
Abstract
1. Introduction
2. Materials and Methods
2.1. Experimental Raw Materials
2.2. Experimental Method
2.2.1. Indirect Method
2.2.2. Direct Method
2.3. Material Characterization Methods
2.4. Life Cycle Assessment Methodology
2.5. Visualization of Research Approach
3. Results and Discussion
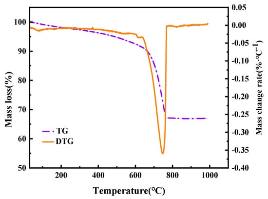
3.1. Magnesium Slag Analysis
3.2. Dynamics Research
3.3. Study on Reaction Mechanism
3.4. Comparison of CO2 Sequestration Capacity
3.5. Life Cycle Assessment
3.6. Comparison and Evaluation of DCDS and ICDS Processes
4. Conclusions
Author Contributions
Funding
Data Availability Statement
Conflicts of Interest
References
- Guo, Y.; Sun, M.; Zhang, W.; Wang, L. Machine Learning in Enhancing Corrosion Resistance of Magnesium Alloys: A Comprehensive Review. Metals 2023, 13, 1790. [Google Scholar] [CrossRef]
- He, J.; Che, Y. Pidgeon Process. In The ECPH Encyclopedia of Mining and Metallurgy; Kuangdi, X., Ed.; Springer: Singapore, 2024. [Google Scholar] [CrossRef]
- Li, Y.; Fan, Y.; Chen, Z.; Cheng, F.; Guo, Y. Chemical, Mineralogical, and Morphological Characteristics of Pidgeon Magnesium Slag. Environ. Eng. Sci. 2016, 33, 290–297. [Google Scholar] [CrossRef]
- Wang, X.-B.; Yan, X.; Li, X.-Y. Environmental risks for application of magnesium slag to soils in China. J. Integr. Agric. 2020, 19, 1671–1679. [Google Scholar] [CrossRef]
- Ye, J.; Liu, S.; Zhao, Y.; Li, Y.; Fang, J.; Zhang, H.; Guan, X. Development of Ultrafine Mineral Admixture from Magnesium Slag and Sequestration of CO2. Buildings 2023, 13, 204. [Google Scholar] [CrossRef]
- Zhu, M.; Zhai, R.; Zhu, M.; He, J. Evaluating Alkali Activation in Magnesium Slag Carbonization and Its Mechanism. Crystals 2024, 14, 847. [Google Scholar] [CrossRef]
- Fang, Z.; Gao, Y.; He, W.; Zhu, M.; Xia, L.; Yang, P.; Liu, D.; He, J. Carbonation curing of magnesium-coal slag solid waste backfill material: Study on properties of flow, mechanics and carbon sequestration. Case Stud. Constr. Mater. 2024, 20, e03204. [Google Scholar] [CrossRef]
- Zhang, Y.; Zhang, Z.; Wang, Q.; Liu, Z.; Wang, F. Preparation of ultra-high strength carbonated compacts via accelerated carbonation of magnesium slag. J. CO2 Util. 2024, 83, 102829. [Google Scholar] [CrossRef]
- Xu, B.; Yi, Y. Immobilization of lead (Pb) using ladle furnace slag and carbon dioxide. Chemosphere 2022, 308, 136387. [Google Scholar] [CrossRef]
- Baris, K.; Ozarslan, A.; Sahin, N. The Assesment for CO2 Sequestration Potential by Magnesium silicate Minerals in Turkey: Cases of Orhaneli-Bursa and Divrigi-Sivas Regions. Energy Explor. Exploit. 2008, 26, 293–309. [Google Scholar] [CrossRef]
- Ke, X.; Baki, V.A.; Skevi, L. Mechanochemical activation for improving the direct mineral carbonation efficiency and capacity of a timber biomass ash. J. CO2 Util. 2022, 68, 102367. [Google Scholar] [CrossRef]
- Mármol, G.; Fernández-Jiménez, A.; Blanco-Varela, M.-T.; García-Lodeiro, I. Carbonation and Phase Evolution in MgO-SiO2 Cements: Impact on Strength. Molecules 2025, 30, 1072. [Google Scholar] [CrossRef]
- Xu, C.; Cai, J.; Wang, Z.; Ni, M.; Cen, K.; Zhang, Y. United Conversion Process Coupling CO2 Mineralization with Thermochemical Hydrogen Production. Environ. Sci. Technol. 2019, 53, 12091–12100. [Google Scholar] [CrossRef]
- Eikeland, E.; Blichfeld, A.B.; Tyrsted, C.; Jensen, A.; Iversen, B.B. Optimized carbonation of magnesium silicate mineral for CO2 storage. ACS Appl. Mater. Interfaces 2015, 7, 5258–5264. [Google Scholar] [CrossRef]
- Onyekwena, C.C.; Li, Q.; Wang, Y.; Alvi, I.H.; Li, W.; Hou, Y.; Zhang, X.; Zhang, M. Dredged marine soil stabilization using magnesia cement augmented with biochar/slag. J. Rock Mech. Geotech. Eng. 2023, 16, 1000–1017. [Google Scholar] [CrossRef]
- Abe, M.; Tanaka, S.; Noguchi, M.; Yamasaki, A. Investigation of Mineral Carbonation with Direct Bubbling into Concrete Sludge. ACS Omega 2021, 6, 15564–15571. [Google Scholar] [CrossRef]
- Sanda, O.; Ehinmitola, O.E.; Taiwo, E.A. Leaching Kinetics of Spent 6F22 Dry Cells Roast Residue in Nitric and Hydrochloric Acids Using a Modified Shrinking Core Model. Chem. Afr. 2023, 7, 479–489. [Google Scholar] [CrossRef]
- Zhong, Y.; Shi, T.; Chen, Q.; Yang, X.; Xu, D.; Zhang, Z.; Wang, X.; Zhong, B. Leaching calcium from phosphogypsum desulfurization slag by using ammonium chloride solution: Thermodynamics and kinetics study. Chin. J. Chem. Eng. 2020, 28, 208–215. [Google Scholar] [CrossRef]
- Ye, X. Bound states and vortex core shrinking effects in iron-based superconductors. Phys. C Supercond. 2013, 48, 6–9. [Google Scholar] [CrossRef]
- Zhu, S.; Hu, J.; Zhang, C.; Li, S.; Chen, W. Process Optimization and Kinetics of Titanium Leaching from Mechanically Activated Titanium-Bearing Blast Furnace Slag. J. Sustain. Metall. 2022, 9, 230–239. [Google Scholar] [CrossRef]
- Mattila, H.; Grigaliūnaitė, I.; Zevenhoven, R. Chemical kinetics modeling and process parameter sensitivity for precipitated calcium carbonate production from steelmaking slags. Chem. Eng. J. 2012, 19, 77–89. [Google Scholar] [CrossRef]
- Yan, F.; Luo, K.; Ye, J.; Zhang, W.; Chen, J.; Ren, X.; Liu, Z.; Li, J. Leaching kinetics and dissolution model of steel slag in NaOH solution. Constr. Build. Mater. 2024, 434, 743–750. [Google Scholar] [CrossRef]
- Li, S.; Wang, H.; Wang, S.; Xie, F. Study on the kinetics and mechanism of ultrasonic-microwave synergistic enhancement for leaching indium from zinc oxide dust. Chem. Pap. 2024, 78, 3667–3685. [Google Scholar] [CrossRef]
- Lin, X.; Zhang, Y.; Liu, H.; Boczkaj, G.; Cao, Y.; Wang, C. Carbon dioxide sequestration by industrial wastes through mineral carbonation: Current status and perspectives. J. Clean. Prod. 2024, 43, 42–58. [Google Scholar] [CrossRef]
- Li, X.; Mehdizadeh, H.; Ling, T.-C. Environmental, economic and engineering performances of aqueous carbonated steel slag powders as alternative material in cement pastes: Influence of particle size. Sci. Total Environ. 2023, 90, 166210. [Google Scholar] [CrossRef] [PubMed]
- Baciocchi, R.; Costa, G.; DI Gianfilippo, M.; Polettini, A.; Pomi, R.; Stramazzo, A. Thin-film versus slurry-phase carbonation of steel slag: CO2 uptake and effects on mineralogy. J. Hazard. Mater. 2015, 28, 302–313. [Google Scholar] [CrossRef]
- Ghasemi, S.; Costa, G.; Zingaretti, D.; Bäbler, M.U.; Baciocchi, R. Comparative Life-cycle Assessment of Slurry and Wet Accelerated Carbonation of BOF Slag. Energy Procedia 2017, 11, 5393–5403. [Google Scholar] [CrossRef]












| Component | CaO | SiO2 | MgO | Fe2O3 | Al2O3 | SO3 | Others |
|---|---|---|---|---|---|---|---|
| Content, wt% | 56.66 | 30.67 | 4.32 | 1.99 | 0.83 | 0.23 | 5.30 |
| 1 − (1 − X)1/3 | 1 − 2/3X − (1 − X)2/3 | 1/3[ln(1 − x)]−1 + (1 − X)−1/3 | |||||
|---|---|---|---|---|---|---|---|
| T[K] | 1000/T | R2 | R2 | R2 | |||
| 303 | 3.300 | 0.00097 | 0.90782 | 0.00037 | 0.92184 | 0.00047 | 0.94194 |
| 323 | 3.096 | 0.00071 | 0.85300 | 0.00028 | 0.86567 | 0.00038 | 0.88717 |
| 343 | 2.916 | 0.00086 | 0.85376 | 0.00036 | 0.86949 | 0.00056 | 0.90094 |
| 363 | 2.755 | 0.00185 | 0.94550 | 0.00084 | 0.95991 | 0.00159 | 0.99154 |
| 373 | 2.681 | 0.00228 | 0.92586 | 0.00110 | 0.93743 | 0.00300 | 0.98252 |
| 1 − (1 − X)1/3 | 1 − 2/3X − (1 − X)2/3 | 1/3[ln(1 − x)]−1 + (1 − X)−1/3 | |||||
|---|---|---|---|---|---|---|---|
| T[K] | 1000/T | R2 | R2 | R2 | |||
| 303 | 3.300 | 0.00187 | 0.60491 | 0.00025 | 0.78554 | 0.00017 | 0.81900 |
| 333 | 3.003 | 0.00224 | 0.66288 | 0.00036 | 0.84949 | 0.00026 | 0.87556 |
| 393 | 2.555 | 0.00157 | 0.53381 | 0.00019 | 0.70428 | 0.00012 | 0.83085 |
| At (%) | O | Si | Ca | Mg | C |
|---|---|---|---|---|---|
| Point 1 | 67.7 | 8.0 | 21.7 | 2.4 | 0 |
| Point 2 | 58.42 | 26.65 | 6.95 | 6.71 | 0 |
| Point 3 | 53.82 | 21.86 | 14.76 | 5.32 | 0 |
| Point 4 | 40.58 | 29.70 | 8.75 | 1.04 | 19.92 |
| Point 5 | 36.00 | 1.39 | 51.63 | 1.52 | 9.16 |
| Item | Unit | Total | DCS | Tap Water | Electricity, Low Voltage | Supplementary Cementitious Materials | Wastewater from a Vegetable Oil Refinery |
|---|---|---|---|---|---|---|---|
| GWP | kg CO2 eq | −162.32 | −284.85 | 84.59 | 38.63 | −15.5 | 14.81 |
| AP | kg SO2 eq | 0.53 | 0 | 0.41 | 0.17 | −0.11 | 0.05 |
| FEP | kg P eq | 0.12 | 0 | 0.02 | 0.01 | −0.0024 | 0.09 |
| EP | CTUe | 1869.11 | 0 | 1843.86 | 863.72 | −1012.30 | 173.83 |
| SFP | kg O3 eq | 5.47 | 0 | 4.58 | 2.21 | −2.13 | 0.81 |
| ODP | kg CFC-11 eq | 0.00035 | 0 | 0.00036 | 2.86 × 10−7 | −2.00 × 10−7 | 1.13 × 10−7 |
| CE | CTUh | −5.17 × 10−6 | 0 | 1.60 × 10−5 | 6.46 × 10−6 | −3.02 × 10−5 | 2.60 × 10−6 |
| NCE | CTUh | 5.98 × 10−5 | 0 | 2.91 × 10−5 | 1.27 × 10−5 | −8.99 × 10−6 | 2.71 × 10−5 |
| RE | kg PM2.5 eq | 0.15 | 0 | 0.11 | 0.05 | −0.02 | 0.01 |
| MEP | kg N eq | 0.05 | 0 | 0.04 | 0.02 | −0.02 | 0.01 |
| Item | Unit | Total | ICS | Tap Water | Electricity, Low Voltage | Supplementary Cementitious Materials | Wastewater from a Vegetable Oil Refinery |
|---|---|---|---|---|---|---|---|
| GWP | kg CO2 eq | 4477.83 | −375.77 | 22.56 | 47.89 | −5.80 | 3.95 |
| AP | kg SO2 eq | 146.48 | 110.52 | 0.11 | 0.21 | −0.04 | 0.01 |
| FEP | kg P eq | 1.26 | 0 | 0.0065 | 0.01 | −0.00088 | 0.02 |
| EP | CTUe | 2.73 × 105 | 0 | 491.70 | 1.07 × 103 | −378.89 | 46.35 |
| SFP | kg O3 eq | 267.32 | 0 | 1.22 | 2.74 | −0.80 | 0.22 |
| ODP | kg CFC-11 eq | 0.00023 | 0 | 9.41 × 10−5 | 3.54 × 10−7 | −7.49 × 10−8 | 3.01 × 10−8 |
| CE | CTUh | 0.0016 | 0 | 4.27 × 10−6 | 8.01 × 10−6 | −1.13 × 10−5 | 6.93 × 10−7 |
| NCE | CTUh | 0.0065 | 0 | 7.76 × 10−6 | 1.57 × 10−5 | −3.36 × 10−6 | 7.22 × 10−6 |
| RE | kg PM2.5 eq | 8.87 | 3.92 | 0.03 | 0.06 | −0.0063 | 0.0033 |
| MEP | kg N eq | 39.09 | 34.90 | 0.01 | 0.02 | −0.0077 | 0.0027 |
| Item | Unit | Total | ICS | Ammonia, anhydrous, liquid | Ammonium chloride | Calcium carbonate, precipitated | |
| GWP | kg CO2 eq | 4477.83 | −375.77 | 3949.68 | 1477.77 | −642.45 | |
| AP | kg SO2 eq | 146.48 | 110.52 | 35.30 | 6.11 | −5.74 | |
| FEP | kg P eq | 1.26 | 0 | 1.17 | 0.23 | −0.19 | |
| EP | CTUe | 2.73 × 105 | 0 | 290 × 105 | 2.96 × 105 | −4.72 × 104 | |
| SFP | kg O3 eq | 267.32 | 0 | 237.15 | 65.36 | −38.57 | |
| ODP | kg CFC-11 eq | 0.00023 | 0 | 9.51 × 10−5 | 5.66 × 10−5 | −1.55 × 10−5 | |
| CE | CTUh | 0.0016 | 0 | 0.0016 | 0.00033 | −0.00025 | |
| NCE | CTUh | 0.0065 | 0 | 0.0072 | 0.00044 | −0.0012 | |
| RE | kg PM2.5 eq | 8.87 | 3.92 | 4.59 | 1.02 | −0.75 | |
| MEP | kg N eq | 39.09 | 34.90 | 2.24 | 2.27 | −0.36 |
Disclaimer/Publisher’s Note: The statements, opinions and data contained in all publications are solely those of the individual author(s) and contributor(s) and not of MDPI and/or the editor(s). MDPI and/or the editor(s) disclaim responsibility for any injury to people or property resulting from any ideas, methods, instructions or products referred to in the content. |
© 2026 by the authors. Licensee MDPI, Basel, Switzerland. This article is an open access article distributed under the terms and conditions of the Creative Commons Attribution (CC BY) license.
Share and Cite
Lu, Z.; Wu, Y.; Ding, H.; Zhao, C.; Bai, Y.; Zhang, L. Comparative Analysis of Two CO2 Sequestration Pathways for Magnesium Slag Based on Kinetics and Life Cycle Assessment. Materials 2026, 19, 193. https://doi.org/10.3390/ma19010193
Lu Z, Wu Y, Ding H, Zhao C, Bai Y, Zhang L. Comparative Analysis of Two CO2 Sequestration Pathways for Magnesium Slag Based on Kinetics and Life Cycle Assessment. Materials. 2026; 19(1):193. https://doi.org/10.3390/ma19010193
Chicago/Turabian StyleLu, Zhen, Yan Wu, Hongshuo Ding, Chengyuan Zhao, Yunlong Bai, and Li Zhang. 2026. "Comparative Analysis of Two CO2 Sequestration Pathways for Magnesium Slag Based on Kinetics and Life Cycle Assessment" Materials 19, no. 1: 193. https://doi.org/10.3390/ma19010193
APA StyleLu, Z., Wu, Y., Ding, H., Zhao, C., Bai, Y., & Zhang, L. (2026). Comparative Analysis of Two CO2 Sequestration Pathways for Magnesium Slag Based on Kinetics and Life Cycle Assessment. Materials, 19(1), 193. https://doi.org/10.3390/ma19010193

