Enhanced Toluene Combustion over Cryptomelane Catalysts: Influence of Cu Doping on Physicochemical Properties and Catalytic Performance
Abstract
1. Introduction
2. Materials and Methods
2.1. Synthesis of Cryptomelane and Cu-Doped Cryptomelane
2.2. Materials Characterization
2.3. Catalytic Oxidation of Toluene
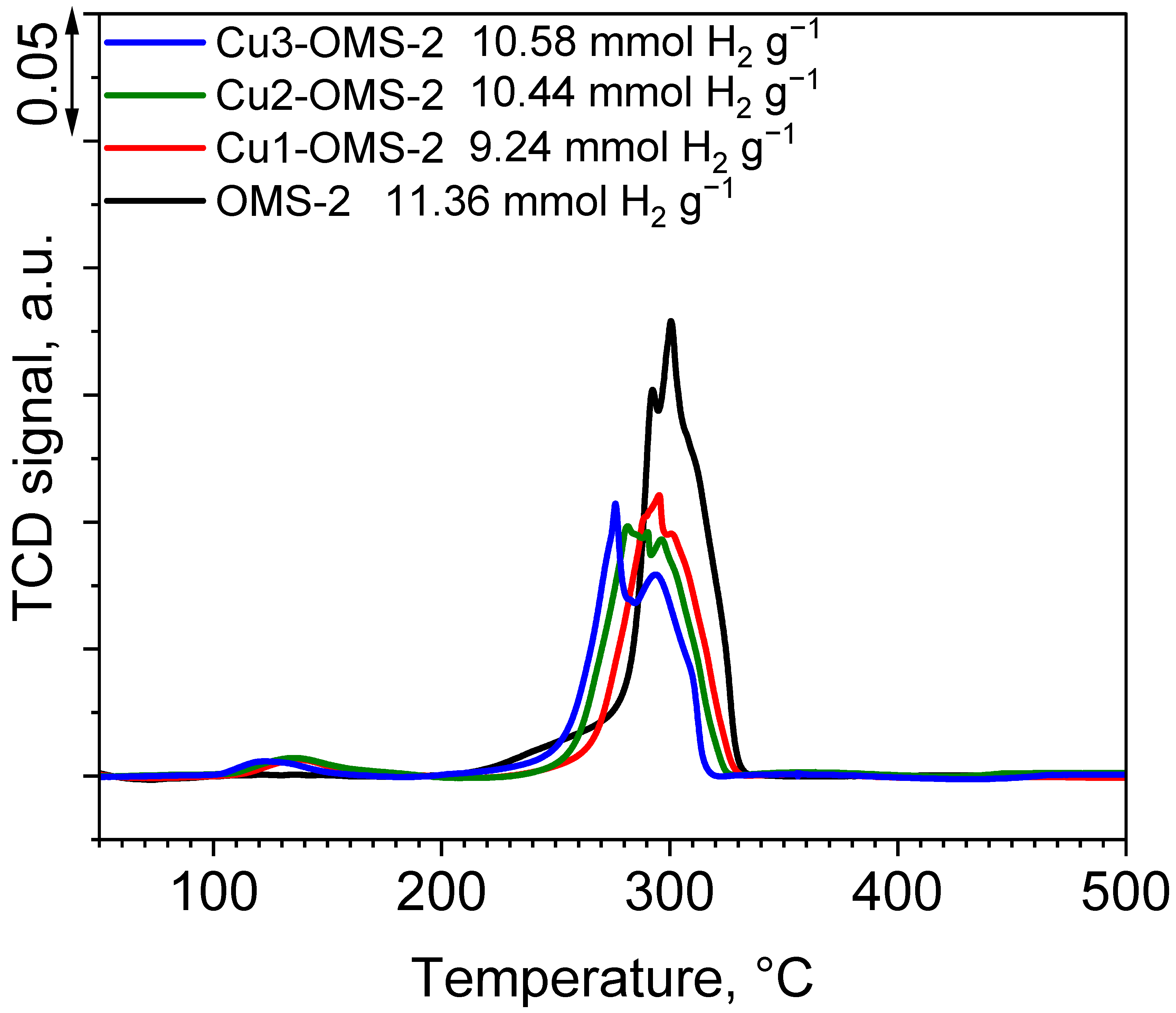
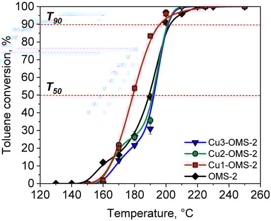
3. Results and Discussion
4. Conclusions
Supplementary Materials
Author Contributions
Funding
Data Availability Statement
Conflicts of Interest
References
- Villarim, P.; Gui, C.; Genty, E.; Lei, Z.; Zemmouri, J.; Fourmentin, S. Toluene Absorption from Laboratory to Industrial Scale: An Experimental and Theoretical Study. Sep. Purif. Technol. 2024, 328, 125070. [Google Scholar] [CrossRef]
- Makoś-Chełstowska, P. VOCs Absorption from Gas Streams Using Deep Eutectic Solvents—A Review. J. Hazard. Mater. 2023, 448, 130957. [Google Scholar] [CrossRef]
- Li, Y.; Han, S.; Zhang, L.; Yu, Y. Manganese-Based Catalysts for Indoor Volatile Organic Compounds Degradation with Low Energy Consumption and High Efficiency. Trans. Tianjin Univ. 2022, 28, 53–66. [Google Scholar] [CrossRef]
- Huang, X.; Li, L.; Liu, R.; Li, H.; Lan, L.; Zhou, W. Optimized Synthesis Routes of MnOx-ZrO2 Hybrid Catalysts for Improved Toluene Combustion. Catalysts 2021, 11, 1037. [Google Scholar] [CrossRef]
- Dong, S.; Chen, T.; Xu, F.; Liu, H.; Wang, C.; Zhang, Y.; Ji, M.; Xu, C.; Zhu, C.; Li, Z.; et al. Catalytic Oxidation of Toluene over Fe-Rich Palygorskite Supported Manganese Oxide: Characterization and Performance. Catalysts 2022, 12, 763. [Google Scholar] [CrossRef]
- Fedyna, M.; Legutko, P.; Gryboś, J.; Janas, J.; Yu, X.; Zhao, Z.; Kotarba, A.; Sojka, Z. Screening Investigations into the Effect of Cryptomelane Doping with 3D Transition Metal Cations on the Catalytic Activity in Soot Oxidation, NO2 Formation and SO2 Resistance. Appl. Catal. A Gen. 2021, 624, 118302. [Google Scholar] [CrossRef]
- Stelmachowski, P.; Legutko, P.; Jakubek, T.; Kotarba, A. Phase Evolution and Electronic Properties of Cryptomelane Nanorods. J. Alloys Compd. 2018, 767, 592–599. [Google Scholar] [CrossRef]
- Pan, H.; Chen, X.; Sanz, O.; Cauqui, M.A.; Rodríguez-Izquierdo, J.M.; Delgado, J.J. A Facile One-Pot Hydrothermal Synthesis as an Efficient Method to Modulate the Potassium Content of Cryptomelane and Its Effects on the Redox and Catalytic Properties. Chin. J. Catal. 2019, 40, 940–952. [Google Scholar] [CrossRef]
- O’Donnell, R.; Ralphs, K.; Grolleau, M.; Manyar, H.; Artioli, N. Doping Manganese Oxides with Ceria and Ceria Zirconia Using a One-Pot Sol–Gel Method for Low Temperature Diesel Oxidation Catalysts. Top. Catal. 2020, 63, 351–362. [Google Scholar] [CrossRef]
- Tran-Thuy, T.M.; Nguyen, L.D.; Lam, H.H.; Nguyen, D.V.; Dang-Bao, T. Tuning Surfactant-Templates of Nanorod-like Cryptomelane Synthesis towards Vapor-Phase Selective Oxidation of Benzyl Alcohol. Mater. Lett. 2020, 277, 128333. [Google Scholar] [CrossRef]
- Sanz, O.; Delgado, J.J.; Navarro, P.; Arzamendi, G.; Gandía, L.M.; Montes, M. VOCs Combustion Catalysed by Platinum Supported on Manganese Octahedral Molecular Sieves. Appl. Catal. B 2011, 110, 231–237. [Google Scholar] [CrossRef]
- Yu, D.; Liu, Y.; Wu, Z. Low-Temperature Catalytic Oxidation of Toluene over Mesoporous MnOx–CeO2/TiO2 Prepared by Sol–Gel Method. Catal. Commun. 2010, 11, 788–791. [Google Scholar] [CrossRef]
- Zhang, X.; Ma, Z.; Song, Z.; Zhao, H.; Liu, W.; Zhao, M.; Zhao, J. Role of Cryptomelane in Surface-Adsorbed Oxygen and Mn Chemical Valence in MnOx during the Catalytic Oxidation of Toluene. J. Phys. Chem. C 2019, 123, 17255–17264. [Google Scholar] [CrossRef]
- Özacar, M.; Poyraz, A.S.; Genuino, H.C.; Kuo, C.H.; Meng, Y.; Suib, S.L. Influence of Silver on the Catalytic Properties of the Cryptomelane and Ag-Hollandite Types Manganese Oxides OMS-2 in the Low-Temperature CO Oxidation. Appl. Catal. A Gen. 2013, 462–463, 64–74. [Google Scholar] [CrossRef]
- Li, Y.; Fan, Z.; Shi, J.; Liu, Z.; Zhou, J.; Shangguan, W. Modified Manganese Oxide Octahedral Molecular Sieves M′-OMS-2 (M′ = Co,Ce,Cu) as Catalysts in Post Plasma-Catalysis for Acetaldehyde Degradation. Catal. Today 2015, 256, 178–185. [Google Scholar] [CrossRef]
- Pahalagedara, L.R.; Dharmarathna, S.; Kingondu, C.K.; Pahalagedara, M.N.; Meng, Y.T.; Kuo, C.H.; Suib, S.L. Microwave-Assisted Hydrothermal Synthesis of α-MnO2: Lattice Expansion via Rapid Temperature Ramping and Framework Substitution. J. Phys. Chem. C 2014, 118, 20363–20373. [Google Scholar] [CrossRef]
- Pan, H.; Chen, X.; López-Cartes, C.; Martínez-López, J.; Bu, E.; Delgado, J.J. Hydrothermal Synthesis and Characterization of Cu-MnOx Catalysts for CO Oxidation: Effect of Cu:Mn Molar Ratio on Their Structure and Catalytic Activity. Catal. Today 2023, 418, 114085. [Google Scholar] [CrossRef]
- Chen, R.; Tan, F.; Wang, X.; Hou, Y.; Ouyang, M.; Guan, X.; Liu, P.; Wu, Z.; Yao, S.; Suib, S.L.; et al. Inhibition Effect of H2O on the Heterogeneous Reaction between Isoprene and Fe-Substituted Cryptomelane. Langmuir 2025, 41, 7814–7823. [Google Scholar] [CrossRef] [PubMed]
- Fedyna, M.; Legutko, P.; Gryboś, J.; Yu, X.; Zhao, Z.; Kotarba, A.; Sojka, Z. Multiple Doping of Cryptomelane Catalysts by Co, Cu, Ag and Ca for Efficient Soot Oxidation and Its Effect on NO2 Formation and SO2 Resistance. Fuel 2023, 348, 128553. [Google Scholar] [CrossRef]
- Davó-Quiñonero, A.; Such-Basáñez, I.; Juan-Juan, J.; Lozano-Castelló, D.; Stelmachowski, P.; Grzybek, G.; Kotarba, A.; Bueno-López, A. New Insights into the Role of Active Copper Species in CuO/Cryptomelane Catalysts for the CO-PROX Reaction. Appl. Catal. B 2020, 267, 118372. [Google Scholar] [CrossRef]
- Taranu, B.O.; Novaconi, S.D.; Ivanovici, M.; Gonçalves, J.N.; Rus, F.S. α-MnO2 Nanowire Structure Obtained at Low Temperature with Aspects in Environmental Remediation and Sustainable Energy Applications. Appl. Sci. 2022, 12, 6821. [Google Scholar] [CrossRef]
- Legutko, P.; Fedyna, M.; Gryboś, J.; Yu, X.; Zhao, Z.; Adamski, A.; Kotarba, A.; Sojka, Z. Intricate Role of Doping with D0 Ions (Zr4+, V5+, Mo6+, W6+) on Cryptomelane (K-OMS-2) Performance in the Catalytic Soot Combustion in Presence of NO and SO2. Fuel 2022, 328, 125325. [Google Scholar] [CrossRef]
- Zong, P.; Xu, M.; Yan, N.; Shao, M.; Xu, X.; Yang, Y.; Chen, J.; Qiu, Z.; Wang, S. Comprehensive Evaluation of Cobalt Incorporated Cryptomelane-Type Manganese Oxide Molecular Sieve as an Efficient Adsorbent for Enhanced Removal of Europium from Wastewater Systems. Environ. Res. 2022, 214, 113965. [Google Scholar] [CrossRef]
- Le, Q.D.; Pham-Ngoc, T.T.; Nguyen, N.T.; Truong, N.T.; Tran, H.N.; Van Nguyen, D.; Tran-Thuy, T.M. Low-Valent Manganese Active Sites: Insight into Reinforced Interaction with Sulfonated Anthraquinone Dye and Kinetic Adsorption Studies over Iron-Modified Cryptomelane. Chem. Eng. J. Adv. 2024, 20, 100665. [Google Scholar] [CrossRef]
- Murchland, M.; Elasamar, S.; Viner, G.; Zhou, X.; Gillis, M.; Almquist, C.; Cymes, B.; Bhowmick, M.; McLeod, C.L.; Krekeler, M.P.S. The Effect of Shock Compression on the Crystal Structure of Cryptomelane (K-OMS-2). J. Dyn. Behav. Mater. 2024, 10, 223–236. [Google Scholar] [CrossRef]
- Dinh, M.T.N.; Nguyen, C.C.; Phan, M.D.; Duong, M.K.; Nguyen, P.H.D.; Lancelot, C.; Nguyen, D.L. Novel Cryptomelane Nanosheets for the Superior Catalytic Combustion of Oxygenated Volatile Organic Compounds. J. Hazard. Mater. 2021, 417, 126111. [Google Scholar] [CrossRef] [PubMed]
- Sarmah, B.; Srivastava, R.; Manjunathan, P.; Shanbhag, G.V. Green and Sustainable Tandem Catalytic Approach for Fine-Chemicals Synthesis Using Octahedral MnO2 Molecular Sieve: Catalytic Activity versus Method of Catalyst Synthesis. ACS Sustain. Chem. Eng. 2015, 3, 2933–2943. [Google Scholar] [CrossRef]
- Liu, G.; Liao, S.; Zhu, D.; Hua, Y.; Zhou, W. Innovative Photocatalytic Degradation of Polyethylene Film with Boron-Doped Cryptomelane under UV and Visible Light Irradiation. Chem. Eng. J. 2012, 213, 286–294. [Google Scholar] [CrossRef]
- Dong, N.; Chen, M.; Ye, Q.; Zhang, D.; Dai, H. Promotional Effect of Cobalt Doping on Catalytic Performance of Cryptomelane-Type Manganese Oxide in Toluene Oxidation. J. Environ. Sci. 2023, 126, 263–274. [Google Scholar] [CrossRef]
- Wang, C.; Ma, J.; Liu, F.; He, H.; Zhang, R. The Effects of Mn2+ Precursors on the Structure and Ozone Decomposition Activity of Cryptomelane-Type Manganese Oxide (OMS-2) Catalysts. J. Phys. Chem. C 2015, 119, 23119–23126. [Google Scholar] [CrossRef]
- Sun, M.; Yu, L.; Ye, F.; Diao, G.; Yu, Q.; Hao, Z.; Zheng, Y.; Yuan, L. Transition Metal Doped Cryptomelane-Type Manganese Oxide for Low-Temperature Catalytic Combustion of Dimethyl Ether. Chem. Eng. J. 2013, 220, 320–327. [Google Scholar] [CrossRef]
- Yu, D.; Ren, Y.; Yu, X.; Fan, X.; Wang, L.; Wang, R.; Zhao, Z.; Cheng, K.; Chen, Y.; Sojka, Z.; et al. Facile Synthesis of Birnessite-Type K2Mn4O8 and Cryptomelane-Type K2-XMn8O16 Catalysts and Their Excellent Catalytic Performance for Soot Combustion with High Resistance to H2O and SO2. Appl. Catal. B 2021, 285, 119779. [Google Scholar] [CrossRef]
- Mokrzycki, J.; Fedyna, M.; Duraczyńska, D.; Marzec, M.; Panek, R.; Franus, W.; Bajda, T.; Karcz, R. Mesoporous Silica MCM-41 from Fly Ash as a Support of Bimetallic Cu/Mn Catalysts for Toluene Combustion. Materials 2024, 17, 653. [Google Scholar] [CrossRef]
- Li, X.; Ma, J.; Jia, X.; Xia, F.; Huang, Y.; Xu, Y.; Xu, J. Al-Doping Promoted Aerobic Amidation of 5-Hydroxymethylfurfural to 2,5-Furandicarboxamide over Cryptomelane. ACS Sustain. Chem. Eng. 2018, 6, 8048–8054. [Google Scholar] [CrossRef]
- Jarczewski, S.; Berniak, T.; Wysocka, E.; Rokicińska, A.; Żurowska, M.; Barańska, K.; Dębosz, M.; Abreu-Jaureguí, C.; Silvestre-Albero, J.; Kuśtrowski, P. Improved Catalytic Efficiency of Pt/CeO2 in Toluene Combustion by Its Incorporation in the Structure of Hydrophobic Mesoporous Carbon. ChemCatChem 2025, 17, e70006. [Google Scholar] [CrossRef]
- Górecka, S.; Pacultová, K.; Rokicińska, A.; Górecki, K.; Kuśtrowski, P.; Obalová, L. Ammonia and Toluene Oxidation: Mutual Activating Effect of Copper and Cerium on Catalytic Efficiency. Appl. Surf. Sci. 2024, 663, 160204. [Google Scholar] [CrossRef]
- Vaculíková, L.; Valovičová, V.; Plevová, E.; Napruszewska, B.D.; Duraczyńska, D.; Karcz, R.; Serwicka, E.M. Synthesis, Characterization and Catalytic Activity of Cryptomelane/Montmorillonite Composites. Appl. Clay Sci. 2021, 202, 105977. [Google Scholar] [CrossRef]
- Santos, V.P.; Bastos, S.S.T.; Pereira, M.F.R.; Órfão, J.J.M.; Figueiredo, J.L. Stability of a Cryptomelane Catalyst in the Oxidation of Toluene. Catal. Today 2010, 154, 308–311. [Google Scholar] [CrossRef]
- Wantala, K.; See Go, F.C.L.; Garcia, V.C.C.; Chirawatkul, P.; Chanlek, N.; Kidkhunthod, P.; Abarca, R.R.M.; de Luna, M.D.G. Low Thermal Oxidation of Gaseous Toluene over Cu/Ce Single-Doped and Co-Doped OMS-2 on Different Synthetic Routes. Chem. Eng. Commun. 2024, 211, 350–365. [Google Scholar] [CrossRef]
- Liang, Y.; Wang, B.; Xuan, Y.; Fan, W.; An, P.; Meng, S.; Zhu, X.; Yun, Y.; Luan, T.; Wang, D.; et al. Significant Promoting Effect of Toluene Oxidation by CO on CuMnOx Catalysts: Heterostructure and CO Co-Accelerated Active Oxygen Cycling. Appl. Catal. B Environ. Energy 2025, 373, 125325. [Google Scholar] [CrossRef]
- Gryboś, J.; Fedyna, M.; Legutko, P.; Leszczyński, B.; Janas, J.; Wach, A.; Szlachetko, J.; Yu, X.; Kotarba, A.; Zhao, Z.; et al. Mechanistic Insights into Oxygen Dynamics in Soot Combustion over Cryptomelane Catalysts in Tight and Loose Contact Modes via 18O2/16O2 Isotopic Variable Composition Measurements—A Hot Ring Model of the Catalyst Operation. ACS Catal. 2021, 11, 9530–9546. [Google Scholar] [CrossRef]
- Zhang, X.; Bi, F.; Zhu, Z.; Yang, Y.; Zhao, S.; Chen, J.; Lv, X.; Wang, Y.; Xu, J.; Liu, N. The Promoting Effect of H2O on Rod-like MnCeOx Derived from MOFs for Toluene Oxidation: A Combined Experimental and Theoretical Investigation. Appl. Catal. B 2021, 297, 120393. [Google Scholar] [CrossRef]
- Huang, Z.; Li, H.; Zhang, X.; Mao, Y.; Wu, Y.; Liu, W.; Gao, H.; Zhang, M.; Song, Z. Catalytic Oxidation of Toluene by Manganese Oxides: Effect of K+ Doping on Oxygen Vacancy. J. Environ. Sci. 2024, 142, 43–56. [Google Scholar] [CrossRef]
- Xu, C.; Dong, S.; Chen, T.; Liu, H.; Zou, X.; Ji, M.; Han, Z.; Shu, D.; Wang, C.; Chen, D. Low-Temperature Catalytic Performance of Toluene Oxidation over Cu-Mn Oxide Catalysts Derived from LDH Precursor. Fuel 2023, 347, 128401. [Google Scholar] [CrossRef]
- Sun, Y.; Wang, X.; Dong, Y.; Niu, X.; Zhu, Y. Enhanced Low-Temperature Catalytic Combustion of Toluene over Cu and Mn Co-Modified α-MnO2 with Flower Spheres. J. Environ. Chem. Eng. 2023, 11, 110670. [Google Scholar] [CrossRef]
- Yu, Y.; Li, F.; Ge, S.; Yang, X.; Rezakazemi, M.; Zang, S.; Aminabhavi, T.M.; Xu, L. Enhanced Combustion of Toluene on Bimetallic-Organic Frameworks Fe-Doped Mn2O3 Nanoparticles. Chem. Eng. J. 2024, 485, 149589. [Google Scholar] [CrossRef]
- Liu, W.; Wang, S.; Cui, R.; Song, Z.; Zhang, X. Enhancement of Catalytic Combustion of Toluene over CuMnOx Hollow Spheres Prepared by Oxidation Method. Microporous Mesoporous Mater. 2021, 326, 111370. [Google Scholar] [CrossRef]
- Li, M.; Zhang, W.; Zhang, X.; Lian, Y.; Niu, X.; Zhu, Y. Influences of Different Surface Oxygen Species on Oxidation of Toluene and/or Benzene and Their Reaction Pathways over Cu-Mn Metal Oxides. J. Colloid Interface Sci. 2023, 630, 301–316. [Google Scholar] [CrossRef]







| Sample | SBET, m2 g−1 | Normalized Values as Obtained from XRF * | Cu/Mn from XRF | Normalized Values as Obtained from XPS * | Cu/Mn from XPS | |||||
|---|---|---|---|---|---|---|---|---|---|---|
| Mn | Cu | K | Mn | Cu | K | O ** | ||||
| OMS-2 | 66.9 | 8.00 | - | 0.88 | - | 8.00 | - | 0.88 | 17.12 | - |
| Cu1-OMS-2 | 58.6 | 7.94 | 0.06 | 0.87 | 0.01 | 7.85 | 0.15 | 0.90 | 17.27 | 0.02 |
| Cu2-OMS-2 | 59.6 | 7.90 | 0.10 | 0.82 | 0.01 | 7.85 | 0.15 | 0.88 | 17.25 | 0.02 |
| Cu3-OMS-2 | 64.9 | 7.79 | 0.21 | 0.79 | 0.03 | 7.73 | 0.27 | 0.78 | 17.24 | 0.04 |
| Catalyst | Process Parameters | T50, °C | T90, °C | Reference |
|---|---|---|---|---|
| CMO-1 nanostructured CuMn oxide | GHSV: 60,000 mL⸱g−1⸱h−1 Sample mass: 0.20 g Toluene concentration: 500 ppm | 230 | 234 | [40] |
| 3Mn2Ce mixed oxide derived from MOF | GHSV: 30,000 mL⸱g−1⸱h−1 Sample mass: 0.10 g Toluene concentration: 1000 ppm | 235 | 256 | [42] |
| 10Co/OMS-2 10 wt.% of cobalt over cryptomelane | GHSV: 60,000 mL⸱g−1⸱h−1 Sample mass: 0.05 g Toluene concentration: 2000 ppm | 224 | 245 | [29] |
| KMnO4-HT manganese oxide | GHSV: 60,000 mL⸱g−1⸱h−1 Sample mass: 0.10 g Toluene concentration: 500 ppm | 226 | 237 | [43] |
| CMO-400 CuMn mixed oxide calcined at 400 °C | GHSV: 30,000 mL⸱g−1⸱h−1 Sample mass: 0.20 g Toluene concentration: 1000 ppm | 210 | 231 | [44] |
| MnO2-CM | GHSV: 40,000 mL⸱g−1⸱h−1 Sample mass: 0.15 g Toluene concentration: 1000 ppm | 197 | 207 | [45] |
| Mn1.82Fe0.18O3 | GHSV: 60,000 mL⸱g−1⸱h−1 Sample mass: 0.10 g Toluene concentration: 500 ppm | 203 | 226 | [46] |
| CuMnOX-HS | GHSV: 60,000 mL⸱g−1⸱h−1 Sample mass: 0.10 g Toluene concentration: 500 ppm | 200 | 212 | [47] |
| CuMnOx/0.03CeOx/CH-WH | GHSV: 40,000 mL⸱g−1⸱h−1 Sample mass: 0.15 g Toluene concentration: 500 ppm | 200 | 210 | [48] |
| Cu1-OMS-2 | GHSV: 20,000 mL⸱g−1⸱h−1 Sample mass: 0.25 g Toluene concentration: 500 ppm | 180 | 195 | This study |
Disclaimer/Publisher’s Note: The statements, opinions and data contained in all publications are solely those of the individual author(s) and contributor(s) and not of MDPI and/or the editor(s). MDPI and/or the editor(s) disclaim responsibility for any injury to people or property resulting from any ideas, methods, instructions or products referred to in the content. |
© 2026 by the authors. Licensee MDPI, Basel, Switzerland. This article is an open access article distributed under the terms and conditions of the Creative Commons Attribution (CC BY) license.
Share and Cite
Mokrzycki, J.; Kryściak-Czerwenka, J.; Duraczyńska, D.; Marzec, M.; Karcz, R. Enhanced Toluene Combustion over Cryptomelane Catalysts: Influence of Cu Doping on Physicochemical Properties and Catalytic Performance. Materials 2026, 19, 159. https://doi.org/10.3390/ma19010159
Mokrzycki J, Kryściak-Czerwenka J, Duraczyńska D, Marzec M, Karcz R. Enhanced Toluene Combustion over Cryptomelane Catalysts: Influence of Cu Doping on Physicochemical Properties and Catalytic Performance. Materials. 2026; 19(1):159. https://doi.org/10.3390/ma19010159
Chicago/Turabian StyleMokrzycki, Jakub, Joanna Kryściak-Czerwenka, Dorota Duraczyńska, Mateusz Marzec, and Robert Karcz. 2026. "Enhanced Toluene Combustion over Cryptomelane Catalysts: Influence of Cu Doping on Physicochemical Properties and Catalytic Performance" Materials 19, no. 1: 159. https://doi.org/10.3390/ma19010159
APA StyleMokrzycki, J., Kryściak-Czerwenka, J., Duraczyńska, D., Marzec, M., & Karcz, R. (2026). Enhanced Toluene Combustion over Cryptomelane Catalysts: Influence of Cu Doping on Physicochemical Properties and Catalytic Performance. Materials, 19(1), 159. https://doi.org/10.3390/ma19010159

