Abstract
As a green-material structure, cross-laminated timber (CLT) has attracted increasing attention and applications in construction. This study presents an analytical model for a CLT plate under the coupling effect of load and moisture content, where the moisture-induced deformation and moisture-dependent properties are both considered. In the analytical model, state-space equations for moisture variables and for stresses and displacements in the CLT plate are established based on moisture diffusion theory and three-dimensional elasticity theory, respectively. Using the transfer matrix method, the relationships of moisture variables, stresses, and displacements between any two layers of the CLT plates are formulated. The analytical solutions are then determined by the load and moisture conditions applied to the top and bottom surfaces. Comparative analysis indicates that the proposed solution surpasses finite element methods in both computational accuracy and efficiency. In addition, the stress and displacement patterns of CLT plates under pure load and pure moisture conditions, as well as their interrelations, are investigated through a decoupled analysis. An applicable modified superposition principle is then proposed. Finally, a detailed parametric study is conducted to examine the effects of moisture distribution and wood species.
1. Introduction
Wood is a natural, renewable, bio-based material with a high strength-to-weight ratio, good workability, and favorable environmental performance, making it widely used in construction, furniture, and structural engineering. Cross-laminated timber (CLT) is an engineered structural wood product composed of multiple layers of sawn lumber boards arranged orthogonally and bonded with structural adhesives under pressure. The cross-laminated configuration enhances strength, stiffness, and dimensional stability in both in-plane directions, enabling CLT plates to serve as load-bearing components such as floors, walls, and roofs in modern mass timber buildings. However, CLT is highly sensitive to moisture variation; moisture exchange with the environment can induce swelling or shrinkage, resulting in deformation and stress redistribution [1]. Moreover, its mechanical properties are moisture-dependent, as both stiffness and strength vary with moisture content (MC) [2]. Therefore, investigating the flexural performance of CLT plates’ load–moisture (LM) coupling environment is of great importance.
The mechanical behavior of CLT plates is primarily studied through experimental testing. These methods enable direct observation of deformation, failure modes, and stress redistribution under realistic load and boundary conditions. As such, experimental testing provides reliable benchmark data, forming a crucial foundation for model validation, material characterization, and the design optimization of CLT structures. He et al. [3] studied the flexural, shear, and compressive properties of three-layer vs. five-layer CLT plates made of black spruce and found that increasing thickness alters flexural strength and stiffness behavior. Nakagawa et al. [4] examined sugi CLT composed of different lamina thicknesses and reported the effects on flexural modulus and failure behavior. Olsson et al. [5] conducted dynamic and quasi-static measurements of the longitudinal modulus of elasticity and effective rolling shear modulus for CLT plates made of Norway spruce and Scots pine. Altaher Omer Ahmed et al. [6] investigated hybrid CLT beams with hardwood faces and softwood cores, observing enhanced flexural strength compared to conventional plates. Kawaai et al. [7] measured the out-of-plane shear strength of Japanese larch CLT under different layups and spans. Gülzow et al. [8] reported that flexural and shear stiffness decrease as moisture content increases. Huang [9] evaluated creep behavior under cyclic moisture changes, illustrating coupling between load and moisture. Zhou et al. [10] studied in-plane shear failure modes of CLT plates and analyzed crack morphology under load configurations. Yamagata et al. [11] used asymmetric four-point bending to assess in-plane shear modulus variations. Kurzinski and Crovella [12] demonstrated that angle-ply lamination improves the out-of-plane flexural stiffness of CLT plates. Takanashi et al. [13] evaluated the long-term flexural properties of Japanese larch CLT. Li et al. [14] assessed rolling shear strength using short-span bending plus modified planar shear tests.
In addition to experimental methods, analytical models are crucial for understanding the mechanical behavior of CLT plates. They are cost-effective, time-efficient, and versatile, allowing for the exploration of various load conditions and material variations without the need for extensive testing. Analytical models also help predict performance and optimize designs, providing valuable insights when combined with experimental data, which ultimately enhance structural assessments and design guidelines. For instance, Dobeš et al. [15] conducted both analytical and finite element simulations to compare the flexural stiffness and deformation of 3-, 5-, and 7-layer Nordic spruce CLT plates, demonstrating strong agreement between laboratory tests, classical analytical methods, and finite element results. Olsson et al. [5] assessed the longitudinal modulus of elasticity and effective rolling shear modulus in Norway spruce and Scots pine CLT using both quasi-static and dynamic methods, establishing key stiffness parameters for modeling. Yang et al. [16] investigated ply-laminated CLT plates with varying lamina configurations, including hybrid boards, quantifying the influence of layer geometry on flexural and shear properties. Yusof et al. [17] compared the mechanical responses of CLT plates manufactured with different adhesives, linking changes in moduli to physical properties and MC absorption behavior. Silva et al. [18] analyzed strain variation in CLT plates subjected to changes in MC, finding measurable reductions in stiffness parameters as MC increased. Aloisio et al. [19] evaluated the sensitivity of flexural stiffness in adhesive-free dowelled CLT plates under varying MC conditions. Recently, Brandstätter et al. [20] developed a numerical simulation framework for moisture uptake and drying in CLT plates following water infiltration through end-grain surfaces, demonstrating that spatial MC gradients significantly influence stiffness and flexural behavior. Schmidt and Riggio [21] monitored MC performance in full-scale CLT floor and shear-wall elements during construction, providing real-world MC data for numerical models. Additionally, Fu et al. [22] investigated the effects of MC and grain direction on the compressive yield strength, modulus of elasticity, and shear modulus of beech wood. Florisson et al. [23] developed a numerical model to simulate the moisture flow and hygro-mechanical visco-elastic behavior of wood, laying the foundation for CLT modeling and moisture-dependent properties (MDPs). Collectively, these studies illustrate the progression from purely mechanical modeling to the inclusion of MDP, setting the stage for advanced hygro-mechanical coupling frameworks in CLT research.
In the studies mentioned above, most existing analytical models focus primarily on load effects, while research explicitly considering the combined impact of moisture and mechanical loads remains limited. The few studies that do incorporate moisture effects often overlook MDP and assume transverse shear deformation. Neglecting MDP and assuming transverse shear deformation in CLT flexural analysis can lead to inaccurate performance predictions. Ignoring MDP disregards moisture-induced changes in stiffness and strength, while assuming transverse shear deformation introduces errors in deflection and stress calculations. To address the research gaps, this study establishes an analytical model based on three-dimensional (3D) elasticity theory, which does not assume any form of transverse shear deformation, to study the flexural performance of CLT plate under the coupling effect of load and MC. Moreover, both moisture-induced deformation and MDP are considered. In the analytical model, based on moisture diffusion theory, a state-space equation for MC and moisture flux is established. Additionally, a state-space equation for stress and displacement is formulated using the control equations of 3D elasticity theory. Considering the load and MC conditions on the top and bottom surfaces of the CLT plate, the analytical solutions for MC, stress, and displacement are derived using the transfer matrix method. The developed model aims to (i) elucidate the load–moisture interaction mechanisms of CLT plates under various moisture contents and load conditions; (ii) investigate the influence of different wood species and their anisotropic elastic and hygroscopic properties on the redistribution of moisture-induced stresses and the resulting deformation behavior; and (iii) examine the effects of moisture gradients at the top and bottom surfaces on the symmetry and nonlinear characteristics of stress and displacement fields, thereby providing theoretical guidance for predicting and mitigating moisture-induced deformation in service environments.
2. Analytical Model for CLT Plates
As presented in Figure 1, the research object analyzed in this work is a CLT plate, consisting of p timber layers made of same of different woods. The CLT plate is subjected to a distributed load F(x, y) on its upper surface and exposed to a non-uniform moisture field with contents Mt and Mb at the top and bottom surfaces, respectively. In a moisture environment, both moisture deformation and the MDP of wood are considered. The plate is simply supported along four edges, and the adjacent layers are perfectly bonded by adhesives without interfacial slip. A Cartesian coordinate system o-xyz is established, where L, W and H represent the length, width, and total thickness of the CLT plate, respectively, and hi denotes the thickness of the i-th layer.
Figure 1.
CLT plate under LM coupling condition.
2.1. Governing Equations
For the distribution of MC within the CLT plate, based on the moisture diffusion theory [24], the moisture diffusion equation for the i-th layer is
where Mi represents the MC of the i-th timber layer. The z-direction moisture flux can be expressed by the gradient of the moisture concentration in the z-direction, according to Fick’s law of moisture diffusion [25], as follows:
where and represents the z-direction moisture diffusion coefficient.
For the flexural performance of the CLT plate under the LM coupling condition, the stresses and displacements are analyzed in accordance with 3D elasticity theory [26]. Considering both moisture deformation and the moisture-dependent modulus, the governing equations, including the constitutive equations, geometric equations and equilibrium equations, for the CLT plate are expressed in tensor form as follows:
where , , , and represent the tensors of stress, strain, the moisture expansion coefficient, displacement and the stiffness coefficient of the i-th timber layer, which can be expressed in vector or matrix form:
in which denotes the MDP coefficient of the wood. The stiffness coefficient in the constitutive equation considers the orthotropic property of wood, which displays distinct mechanical properties in the longitudinal, radial, and tangential directions due to its biological and morphological characteristics. Meanwhile, can also be expressed by the elastic modulus E, shear modulus G and Poisson’s ratio μ, as follows
in which the subscripts 1, 2, and 3 denote the principal material directions corresponding to the global x-, y-, and z-axes, respectively. Meanwhile, 1, 2, and 3 are associated with the longitudinal, radial, and tangential directions of the wood, abbreviated as the L, R, and T directions, respectively. Specifically, when the longitudinal direction of a wood lamina is aligned with the x-axis, the mapping is (1, 2, 3)–(L, T, R). Conversely, when the longitudinal direction of the lamina is perpendicular to the x-axis, the mapping changes to (1, 2, 3)–(T, L, R).
Here, a CLT plate with simply supported edges is considered, where vertical displacement is constrained at the boundaries, while free rotation is permitted. Three common representations for simply supported boundaries are typically employed: the stress boundary, displacement boundary, and stress–displacement mixed boundary. These representations produce nearly identical results, with only minor differences observed in regions close to the boundaries [26]. To facilitate the solution of the equations, the mixed boundary condition is adopted, which can be expressed as
2.2. Solutions of Moisture, Stresses and Displacements of CLT Plate
Since the governing equations of moisture, moisture flux, stresses and displacements for the CLT plate constitute a set of partial differential equations, they are difficult to solve directly. Here, in accordance with the simply supported boundary conditions, they can be expressed in specific forms of Fourier series, as follows
where , . Substituting the expanded expressions from Equation (8) into the governing equations of Equations (1)–(5) and applying the state space method, that is, placing the derivatives of the out-of-plane quantities with respect to z on the left-hand side and the remaining quantities on the right-hand side, yields the state-space equations for the out-of-plane quantities as follows:
where denotes the vector comprising the eight out-of-plane quantities, and the details of and are given in Appendix A. According to the theory of matrix differential equations, the general solutions of Equation (9) are determined as
Since the adjacent timber layers are well-bonded, the MC, the out-of-plane moisture, moisture flux, stresses and displacements are all continuous along the z direction at the interface:
By successively and repeatedly applying Equations (10) and (11), the relationships of between the i-th and first timber layers can be established:
where
Up to this point, only in the above equation, i.e., the out-of-plane quantities at the bottom surface of the CLT plate, remains undetermined; it can be determined by the surface conditions:
with letting z = H and i = p in Equation (12) and substituting Equation (13) into it, we have the following:
where
According to the above relationship, the unknowns in can be determined as
By substituting back into Equation (14), the analytical solutions for the out-of-plane quantities of any layer of the CLT plate are solved. According to the governing equations, Equations (3)–(5), the in-plane quantities of the CLT plate can be expressed by the out-of-plane ones, as follows
To improve the readability of the analytical model, Figure 2 presents the flowchart of the proposed analytical framework.
Figure 2.
Flowchart of the present analytical model. Note: arrows indicate the sequence of derivations, yellow boxes represent the fundamental theories, gray boxes denote the derivation steps, purple boxes mark the known conditions, and green boxes indicate the final results.
3. Numerical Model
For comparison purposes, a finite element (FE) model for use in ANSYS (version: 2023) is established in this section. To ensure a fair comparison, the material properties, applied loads, moisture conditions, boundary conditions, and interfacial conditions in the FE model are kept fully consistent with those in the present analytical model. Since both MC and temperature follow the diffusion law, the thermal module is used here to analyze the moisture field of the CLT panel.
In the FE analysis, the moisture field is first obtained, after which the MDP of the wood is calculated based on Equation (17) and Table 1 using a linear elastic orthotropic material model, and the resulting moisture field, together with the external load, is then applied to the CLT panel in the structural module to determine the corresponding stresses and displacements. The FE model uses the SOLID-70 element to compute the moisture distribution and the SOLID-185 element to determine the stresses, strains, and displacements. To investigate the mesh sensitivity of the finite element model, each layer of the CLT plate is discretized into N elements through the thickness, while the length and width directions are uniformly divided into 100 N elements each, where N is a variable. The adjacent layers in the CLT plate are perfectly bonded, meaning that no slip or debonding occurs, which is achieved through the glue operation during modeling. The boundary conditions in the FE model are set as uy = uz = 0, at x = 0 and L; ux = uz = 0, at y = 0 and W.
Table 1.
Basic material parameters of five types of woods.
4. Results and Discussion
In this section, the accuracy of the proposed model is verified by comparing its results with those of the FE simulations. Subsequently, the flexural response of the CLT plate subjected to the LM coupling condition is investigated by a parameter study. Unless otherwise specified, a five-layer CLT plate with dimensions of L = W = 3000 mm and hi = 30 mm serves as the reference configuration. The material parameters of the constituent wood layers are given in Table 1 [27]. According to ref. [27], the MDP coefficient with respect to MC measured at 21 °C is given by
where P12 represents any elastic and shear moduli of wood at 12% MC, Pg represents those of green wood, and Mp is defined as the MC at which the green wood strength line intersects the logarithmic strength–MC relationship of dry wood (green).
4.1. Comparison and Decoupling Analyses
In this section, the present analytical solution is compared with the FE simulation, and decoupled analyses of the CLT plate under the LM-coupled environment are performed. Four conditions, including pure loads (PLs), PLs with MDP, pure moisture (PM) and the LM condition, are defined for the decoupling analysis. The research object is a CLT plate made of Spruce Sitka under the four conditions, respectively, with F(x,y) = 0.0001 N/mm2, Mt = 0.205 and Mb = 0.
Figure 3 shows the variations in errors of FE results for , and with respect to N. As can be found from Figure 3, the error in the FE results of , and decrease gradually as the mesh becomes finer, and the reduction is particularly rapid when 5 < N < 20. When N = 50, the errors of , and are 1.59%, 0.0901%, and 1.02%, respectively. Therefore, in the following calculations, the mesh density in the finite element model is set to N = 50, resulting in a total of 6.25 × 109 elements.
Figure 3.
Error of the FE solution under different mesh densities.
Figure 4 presents the through-thickness distributions of stress and displacement in the CLT plate, along with their validation against the FE analysis. It can be found from Figure 4 that (i) the through-thickness results provided by the present analytical solution agree well with those from the FE simulation overall, except the FE results show relatively large errors near the surface. While accurate FE simulations require a fine and dense mesh, the analytical solution proposed in this study achieves comparable accuracy with substantially higher computational efficiency. (ii) Under the PL condition, the external load generates flexural moments that cause the CLT plate to bend downward. In contrast, under the PM condition, the CLT plate bends upward, as the upper surface experiences higher moisture than the lower surface, leading to greater hygro-expansion. Since the flexural directions caused by the PL and PM conditions are opposite, the flexural deformation can be partially offset under the LM condition. In this special case, where moisture-induced deformation and load-induced deformation can offset each other, the bending performance of CLT plates gains additional redundancy in practical engineering applications. (iii) In the PL condition, the stress and displacement distributions of , , , , and are antisymmetric along the thickness direction, whereas , shows symmetry. Under PM action, no symmetry is observed, and higher stress and displacement levels occur near the upper surface, where the MC is relatively high. (iv) Under PL action, the maximum of , , and appear at the top or bottom surface of the plate, whereas , and reach their maximum values at the mid-plane. In contrast, under PM action, due to the differential moisture-induced expansion among layers, the maximum stresses are primarily concentrated at the interfaces between adjacent layers. (v) Analysis of the stress and displacement results reveals the limitations of the traditional superposition principle, i.e., PL + PM ≠ LM. This phenomenon is not significant for stresses but is more pronounced for displacements. The maximum errors of , and predicted by the traditional superposition principle are 18.2%, 17.6% and 16.3%, respectively. Furthermore, when the effects of the MDP of wood are considered in the PL condition, the superposition principle is fully satisfied, i.e., PL(MDP) + PM = LM. This is referred to in this study as the modified superposition principle. This modified superposition principle is fundamentally consistent with the superposition principle for combined load and temperature effects reported in the literature [28], as both are driven by changes in the material’s mechanical properties caused by moisture content or temperature. This modified superposition principle provides guidance for the design and fabrication of CLT plates under combined moisture and mechanical loading in practical engineering, and facilitates superposed calculations for engineers.
Figure 4.
z-direction distributions of stresses and displacements under the four analysis environments and comparison with FE results. (a) , (b) , (c) , (d) wi, (e) , (f) , (g) ui, (h) vi. Note: the values of , , w are located at the point of x = 0.5 L, y = 0.5 W, , , at x = 0.25 L, y = 0.25 W, u at x = 0, y = 0.5 W and v at x = 0.5 L, y = 0.
A comparison of deflection in the CLT plate among the present analytical results, FE simulations and the existing experimental data [3] is carried out. In Ref. [3], extensive bending experiments were performed on CLT panels made of Canadian black spruce, including both three-layer and five-layer configurations. The three-layer specimens had a total length of 3300 mm and consisted of 35/35/35 mm laminations, whereas the five-layer specimens were 4800 mm long with a 35/25/35/25/35 mm layup. All panels were tested in the major strength direction. Table 2 lists the deflection of the CLT plate obtained from the present analytical model, the FE simulations and the experimental data at the elastic limit. It can be found from Table 2 that the present and FE results are close to the experimental results, and the errors of the three-layer and five-layer CLT plates between the present and experimental results are 8.14% and 9.26%, respectively.
Table 2.
Comparison of deflection among the present analytical model, the FE simulations and the experimental data.
In addition, the present solution is compared with the analytical solution based on the Kirchhoff plate theory [29]. The research object is a simply supported plate with two facial layers sandwiching a thin interlayer under the PL condition. The geometric and material parameters are h1 = h3 = 50 mm, h2 = 0.4 mm, E1 = E3 = 55,000 MPa and E2 = 6.12 MPa. Figure 5 illustrates the variations in the maximum relative errors of σx and w with respect to length-to-thickness ratio a/H. It can be observed from Figure 5 that when a/H is small, the discrepancies between the two results are substantial. At a/H = 7, the errors reach 16.66% and 15.03%. For 7 < a/H < 15, the errors decrease markedly with increasing a/H, while the rate of reduction gradually diminishes. When a/H exceeds 15, the errors become negligible. This is because the Kirchhoff theory neglects the transverse shear deformation of the plate, which becomes significant when the plate is relatively thick, and this is also consistent with the viewpoint reported in the literature [30].
Figure 5.
Variations in the maximum relative errors in σx and w with respect to a/H.
4.2. Effect of Wood Specie
Figure 6 illustrates the stress and displacement distributions along the thickness of the CLT plates made of five different woods under the PM condition with Mt = 0.205, Mb = 0.062. The following can be observed from Figure 6: (i) The stress and displacement distributions of the five different CLT plates exhibit generally similar patterns. and vary discontinuously through the thickness and show a zigzag distribution. Unlike the normal stress, and also exhibit a zigzag pattern but remain continuous along the thickness. Overall, , , and decrease monotonically from the upper surface to the lower surface, while and exhibit pronounced nonlinear distributions in some layers, indicating that the cross-section of the CLT plate under PM is no longer planar. (ii) Higher stress and displacement levels are observed near the top surface, caused by the moisture gradient being mainly concentrated on the high-moisture side and dominating the through-thickness deformation. (iii) Owing to the anisotropy of wood, moisture-induced stresses differ substantially between odd- and even-numbered laminae, with adjacent layers usually having opposing stress orientations. (iv) The magnitudes of moisture-induced stresses and displacements rise with the elastic modulus E, shear modulus G, and the ratio βL/βT. Within the layers, Redwood exhibits the highest stress in σx, indicating that the stress is predominantly governed by the elastic modulus. Meanwhile, the pronounced discontinuities of σx across the interfaces reveal that the variation in elastic modulus between adjacent layers governs the stress redistribution. Furthermore, the moisture expansion coefficient and its interlayer discrepancy also contribute to the development of σx. The deflection w is mainly governed by the moisture expansion coefficient and its difference between adjacent layers. The above analyses of commonly used wood species for CLT plates can provide guidance for the material selection of CLT plates in practical engineering applications under moisture service environments.

Figure 6.
z-direction distributions of stresses and displacements of CLT plates made of five different wood species. (a) , (b) , (c) , (d) wi, (e) , (f) , (g) ui, (h) vi. Note: the values of , , w are located at the point of x = 0.5 L, y = 0.5 W, , , at x = 0.25 L, y = 0.25 W, u at x = 0, y = 0.5 W and v at x = 0.5 L, y = 0.
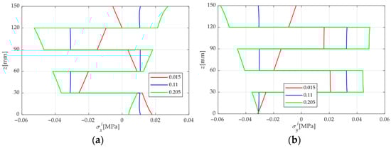
4.3. Effect of Surface MC Difference
Figure 7 illustrates the effect of top and bottom surface MC differences on the mechanical response of the Spruce Sitka CLT plate, with Mb = 0.11, Mt = 0.205, 0.11, and 0.015, respectively. It can be found from Figure 7 that when the surface MC is identical, , , , and are symmetric about the mid-plane, while , and are anti-symmetric. This is completely opposite to the symmetry observed under the PL condition in Section 4.1. This is because the CLT plate is materially symmetric with respect to the mid-plane. Under the PM condition, the CLT plate bends toward one side. In this section, the swelling is symmetric across the plate’s upper and lower faces, and the moisture-induced responses also obey the principle of superposition. Specifically, the stresses and displacements at Mt = 0.11 are approximately equal to the average of those obtained under Mt = 0.015 and Mt = 0.205. However, slight discrepancies occur due to the MDP of wood under different MCs. The analysis of surface MC differences in CLT can be used for the design of CLT panels employed in the exterior walls and roofing of timber buildings.

Figure 7.
Distributions of stress and displacement along the thickness of the CLT plate under three different MCs. (a) , (b) , (c) , (d) wi, (e) , (f) , (g) ui, (h) vi. Note: the values of , , w are located at the point of x = 0.5 L, y = 0.5 W, , , at x = 0.25 L, y = 0.25 W, u at x = 0, y = 0.5 W and v at x = 0.5 L, y = 0.
5. Conclusions
Analytical solutions grounded in 3D elasticity theory are formulated to examine the flexural response of CLT plates under combined load and moisture effects. The main findings of this study are summarized below:
- The FE results tend to agree with the present analytical solution as the FE mesh becomes finer. When the number of finite element elements reaches 6.25 × 109, the errors in the typical normal stress, shear stress, and deflection compared with the present solution are 1.59%, 0.0901%, and 1.02%, respectively. In addition, the FE results exhibit relatively large discrepancies near the surfaces. The analytical solution provides significantly higher computational efficiency in predicting the LM-coupled response of CLT plates than the FE simulations, as the latter require increasingly longer computation times when the mesh is refined.
- The Kirchhoff plate solution agrees well with the present solution when the length-to-thickness ratio of the CLT plate is large; however, the discrepancy increases markedly as the plate becomes thicker. When a/H = 7, the errors of normal stress, and deflection reach 16.66% and 15.03%. This is due to the transverse shear deformation of the plate being neglected in the Kirchhoff theory.
- For the mechanical analysis of CLT plates under LM conditions, it is found that the conventional superposition principle is no longer applicable, leading to errors of up to 18.2%. This study proposes a modified superposition principle that accounts for the effect of MDP under PL conditions in addition to the traditional superposition approach.
- When the MC at the top surface of the CLT plate exceeds that at the bottom, stress and displacement generally occur in opposing directions. This is because the external load tends to bend the plate downward, whereas the moisture-induced expansion on the upper surface drives an upward deformation. Consequently, under LM coupling, these opposing flexural effects partially compensate for each other, thus reducing the overall stress and deformation of the CLT plate.
- For a CLT plate under PL conditions, the stresses and displacements exhibit clear symmetric or antisymmetric distributions with respect to the mid-plane of the plate. However, such symmetry occurs only when the CLT is under uniform moisture content, and in this case, the symmetry is exactly opposite to that observed under PL conditions.
- Through the analysis of mechanical behaviors of different wood species under the PM condition, it can be concluded that the primary factors governing the moisture-induced stress and displacement responses are the elastic modulus, shear modulus, and the relative magnitude of the moisture expansion coefficient. Owing to the pronounced elastic modulus anisotropy between the longitudinal and tangential directions, moisture-induced stresses differ markedly between odd and even laminae, with adjacent layers generally exhibiting opposite stress directions.
Author Contributions
Methodology, P.W.; software, H.W.; investigation, J.X.; data curation, T.Z.; writing—original draft, J.X.; writing—review and editing, P.W. and A.Z.; visualization, A.Z.; supervision, P.W. All authors have read and agreed to the published version of the manuscript.
Funding
The work has been supported by the National Natural Science Foundation of China (Grant No. 52108220).
Institutional Review Board Statement
Not applicable.
Informed Consent Statement
Not applicable.
Data Availability Statement
The original contributions presented in this study are included in the article. Further inquiries can be directed to the corresponding author.
Conflicts of Interest
The authors declare no conflicts of interest.
Nomenclature
CLT, cross-laminated timber; MC, moisture content; LM, load-moisture; MDP, moisture-dependent property; 3D, three-dimensional; FE, finite element; PL, pure load; PM, pure moisture.
Appendix A
The matrices and in Equation (9) are given as follows:
References
- Pang, S.-J.; Jeong, G.Y. Swelling and shrinkage behaviors of cross-laminated timber made of different species with various lamina thickness and combinations. Constr. Build. Mater. 2020, 240, 117924. [Google Scholar] [CrossRef]
- Ido, H.; Nagao, H.; Kato, H.; Miura, S. Strength properties and effect of moisture content on the bending and compressive strength parallel to the grain of sugi (Cryptomeria japonica) round timber. J. Wood Sci. 2013, 59, 67–72. [Google Scholar] [CrossRef]
- He, M.; Sun, X.; Li, Z.; Feng, W. Bending, shear, and compressive properties of three- and five-layer cross-laminated timber fabricated with black spruce. J. Wood Sci. 2020, 66, 38. [Google Scholar] [CrossRef]
- Nakagawa, M.; Hiramatsu, Y.; Shindo, K.; Ohki, F.; Miyatake, A. Bending performance of sugi cross-laminated timber (CLT) composed of different thickness laminae. J. Wood Sci. 2025, 71, 22. [Google Scholar] [CrossRef]
- Olsson, A.; Schirén, W.; Hu, M. Dynamic and quasi-static evaluation of stiffness properties of CLT: Longitudinal MoE and effective rolling shear modulus. Eur. J. Wood Wood Prod. 2025, 83, 16. [Google Scholar] [CrossRef]
- Altaher Omer Ahmed, A.; Garab, J.; Horváth-Szováti, E.; Kozelka, J.; Bejó, L. The Bending Properties of Hybrid Cross-Laminated Timber (CLT) Using Various Species Combinations. Materials 2023, 16, 7153. [Google Scholar] [CrossRef]
- Kawaai, Y.; Takanashi, R.; Ishihara, W.; Ohashi, Y.; Sawata, K.; Sasaki, T. Out-of-plane shear strength of cross-laminated timber made of Japanese Larch (Larix kaempferi) with various layups and spans. J. Wood Sci. 2023, 69, 33. [Google Scholar] [CrossRef]
- Gülzow, A.; Richter, K.; Steiger, R. Influence of wood moisture content on bending and shear stiffness of cross laminated timber panels. Eur. J. Wood Wood Prod. 2011, 69, 193–197. [Google Scholar] [CrossRef]
- Huang, Y. Creep behavior of wood under cyclic moisture changes: Interaction between load effect and moisture effect. J. Wood Sci. 2016, 62, 392–399. [Google Scholar] [CrossRef]
- Zhou, Y.; Shen, Z.; Li, H.; Lu, Y.; Wang, Z. Study on in-plane shear failure mode of cross-laminated timber panel. J. Wood Sci. 2022, 68, 36. [Google Scholar] [CrossRef]
- Yamagata, K.; Mori, T.; Mestar, M.; Inoue, R. Evaluation of in-plane shear performance of CLT using the asymmetric four-point bending test method and detailed examination of the method. Eur. J. Wood Wood Prod. 2025, 83, 132. [Google Scholar] [CrossRef]
- Kurzinski, S.; Crovella, P.L. Investigating the Out-of-Plane Bending Stiffness Properties in Hybrid Species Diagonal-Cross-Laminated Timber Panels. Appl. Sci. 2024, 14, 2718. [Google Scholar] [CrossRef]
- Takanashi, R.; Ohashi, Y.; Ishihara, W.; Matsumoto, K. Long-term bending properties of cross-laminated timber made from Japanese larch under constant environment. J. Wood Sci. 2021, 67, 65. [Google Scholar] [CrossRef]
- Li, M. Evaluating rolling shear strength properties of cross-laminated timber by short-span bending tests and modified planar shear tests. J. Wood Sci. 2017, 63, 331–337. [Google Scholar] [CrossRef]
- Dobeš, P.; Lokaj, A.; Vavrušová, K. Stiffness and Deformation Analysis of Cross-Laminated Timber (CLT) Panels Made of Nordic Spruce Based on Experimental Testing, Analytical Calculation and Numerical Modeling. Buildings 2023, 13, 200. [Google Scholar] [CrossRef]
- Yang, S.; Lee, H.; Choi, G.; Kang, S. Mechanical properties of ply-lam cross-laminated timbers fabricated with lumber and plywood. Eur. J. Wood Wood Prod. 2024, 82, 189–202. [Google Scholar] [CrossRef]
- Mohd Yusof, N.; Tahir, P.M.; Lee, S.H.; Khan, M.A.; Mohammad Suffian James, R. Mechanical and physical properties of Cross-Laminated Timber made from Acacia mangium wood as function of adhesive types. J. Wood Sci. 2019, 65, 20. [Google Scholar] [CrossRef]
- Silva, C.; Branco, J.M.; Mehdipour, Z.; Xavier, J.; Rebouças, A.S.; Lourenço, P.B. Strain variation analysis of cross-laminated timber elements under cyclic moisture. J. Build. Eng. 2021, 41, 102373. [Google Scholar] [CrossRef]
- Aloisio, A.; Pasca, D.P.; Tomasi, R.; Fragiacomo, M. Sensitivity of bending stiffness to moisture content in adhesive-free wooden-doweled cross-laminated timber panels. Constr. Build. Mater. 2025, 490, 142143. [Google Scholar] [CrossRef]
- Brandstätter, F.; Kalbe, K.; Autengruber, M.; Lukacevic, M.; Kalamees, T.; Ruus, A.; Annuk, A.; Füssl, J. Numerical simulation of CLT moisture uptake and dry-out following water infiltration through end-grain surfaces. J. Build. Eng. 2023, 80, 108097. [Google Scholar] [CrossRef]
- Schmidt, E.; Riggio, M. Monitoring Moisture Performance of Cross-Laminated Timber Building Elements during Construction. Buildings 2019, 9, 144. [Google Scholar] [CrossRef]
- Fu, W.-L.; Guan, H.-Y.; Kei, S. Effects of Moisture Content and Grain Direction on the Elastic Properties of Beech Wood Based on Experiment and Finite Element Method. Forests 2021, 12, 610. [Google Scholar] [CrossRef]
- Florisson, S.; Vessby, J.; Ormarsson, S. A three-dimensional numerical analysis of moisture flow in wood and of the wood’s hygro-mechanical and visco-elastic behaviour. Wood Sci. Technol. 2021, 55, 1269–1304. [Google Scholar] [CrossRef]
- Yu, H.; Yao, L.; Ma, Y.; Hou, Z.; Tang, J.; Wang, Y.; Ni, Y. The Moisture Diffusion Equation for Moisture Absorption of Multiphase Symmetrical Sandwich Structures. Mathematics 2022, 10, 2669. [Google Scholar] [CrossRef]
- Han, Y.; Park, J.-H.; Chang, Y.-S.; Eom, C.-D.; Lee, J.-J.; Yeo, H. Classification of the conductance of moisture through wood cell components. J. Wood Sci. 2013, 59, 469–476. [Google Scholar] [CrossRef]
- Tokovyy, Y.V.; Ma, C.C. Three-Dimensional Elastic Analysis of Transversely-Isotropic Composites. J. Mech. 2017, 33, 821–830. [Google Scholar] [CrossRef]
- U.S. Department of Agriculture, Forest Service, Forest Products Laboratory. Wood Handbook: Wood as an Engineering Material; General Technical Report FPL–GTR–282; Forest Products Laboratory: Madison, WI, USA, 2021.
- Zhang, Z.; Zhou, W.; Zhou, D.; Huo, R.; Xu, X. Elasticity solution of laminated beams with temperature-dependent material properties under a combination of uniform thermo-load and mechanical loads. J. Cent. South Univ. 2018, 25, 2537–2549. [Google Scholar] [CrossRef]
- Foraboschi, P. Three-layered plate: Elasticity solution. Compos. Part B Eng. 2014, 60, 764–776. [Google Scholar] [CrossRef]
- Xu, R.; Wu, Y.-F. Two-dimensional analytical solutions of simply supported composite beams with interlayer slips. Int. J. Solids Struct. 2007, 44, 165–175. [Google Scholar] [CrossRef]
Disclaimer/Publisher’s Note: The statements, opinions and data contained in all publications are solely those of the individual author(s) and contributor(s) and not of MDPI and/or the editor(s). MDPI and/or the editor(s) disclaim responsibility for any injury to people or property resulting from any ideas, methods, instructions or products referred to in the content. |
© 2025 by the authors. Licensee MDPI, Basel, Switzerland. This article is an open access article distributed under the terms and conditions of the Creative Commons Attribution (CC BY) license (https://creativecommons.org/licenses/by/4.0/).