Effect of Post-Heat Treatment on Microstructure and Corrosion Property of Additively Manufactured AlCoCrFeNi2.1 Eutectic High-Entropy Alloy
Abstract
1. Introduction
2. Materials and Methods
3. Results and Discussions
3.1. Phase Composition and Microstructure
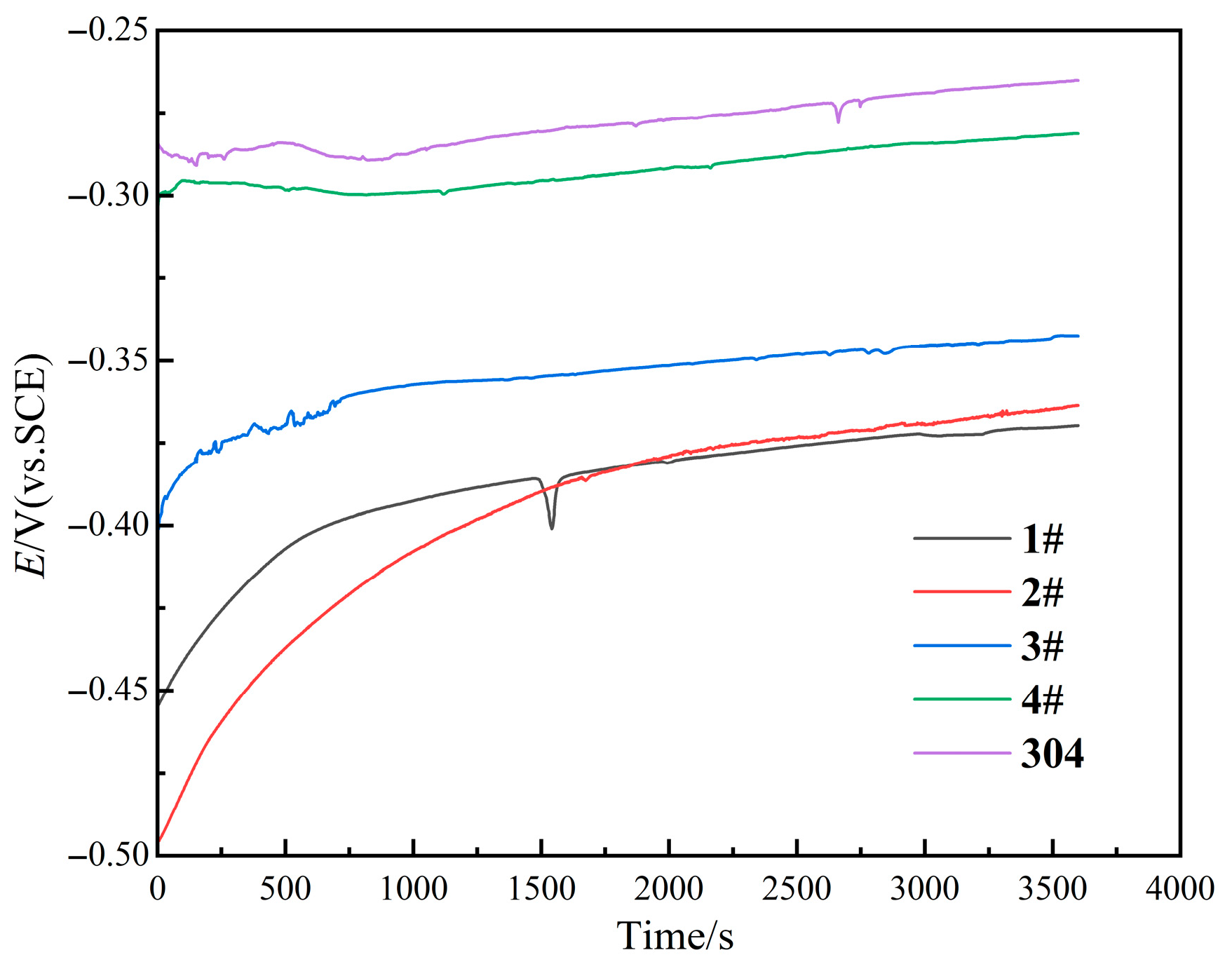
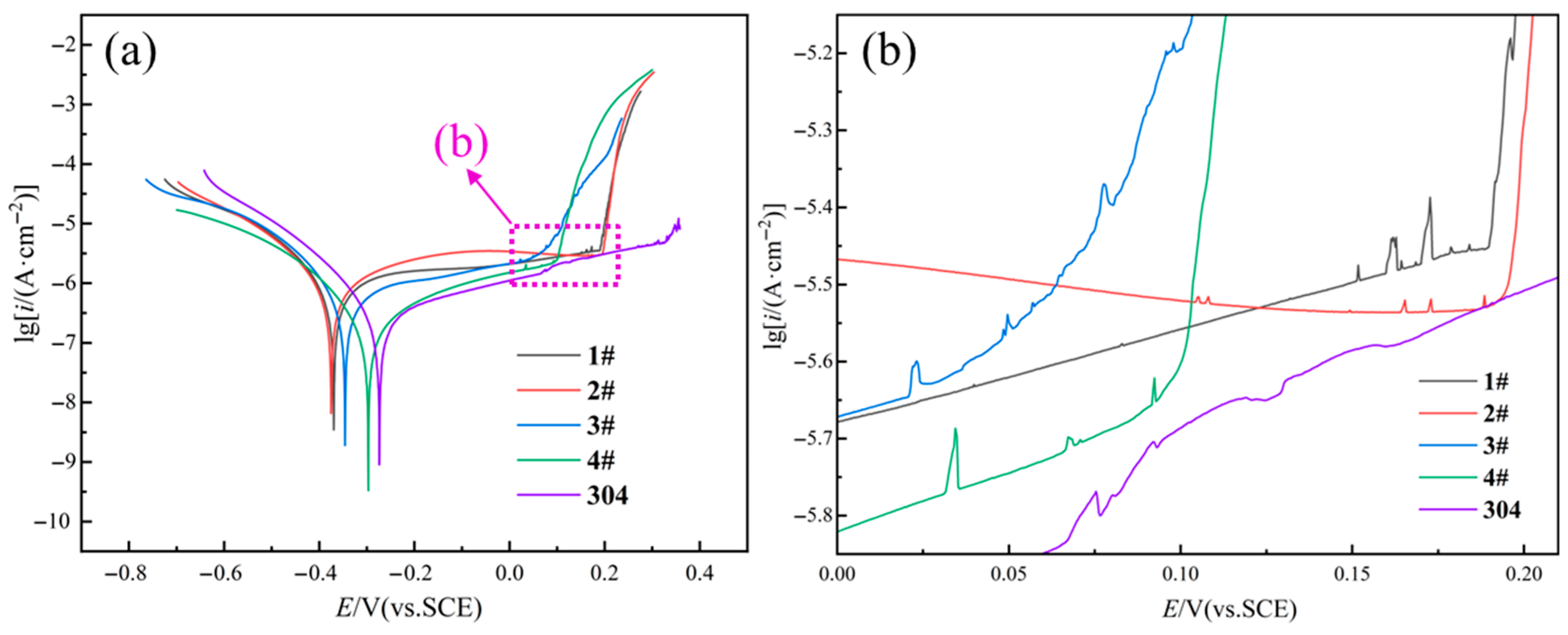
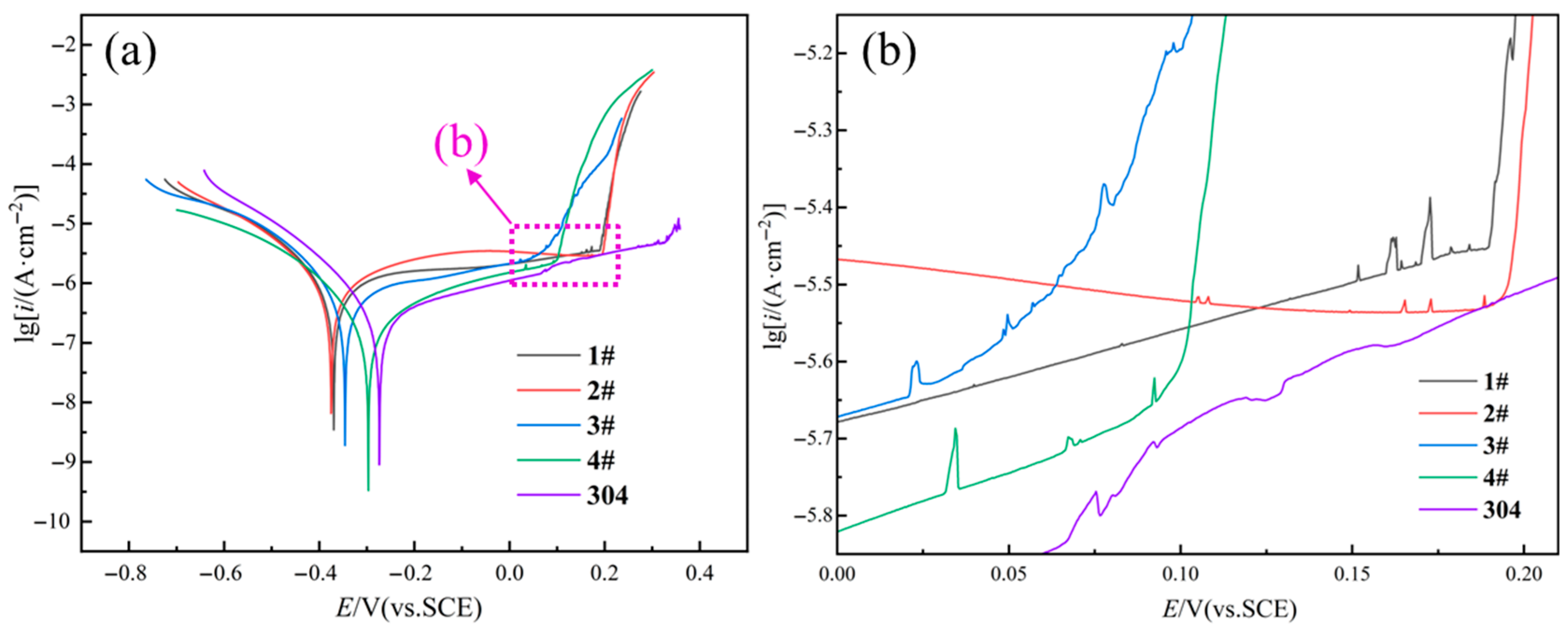
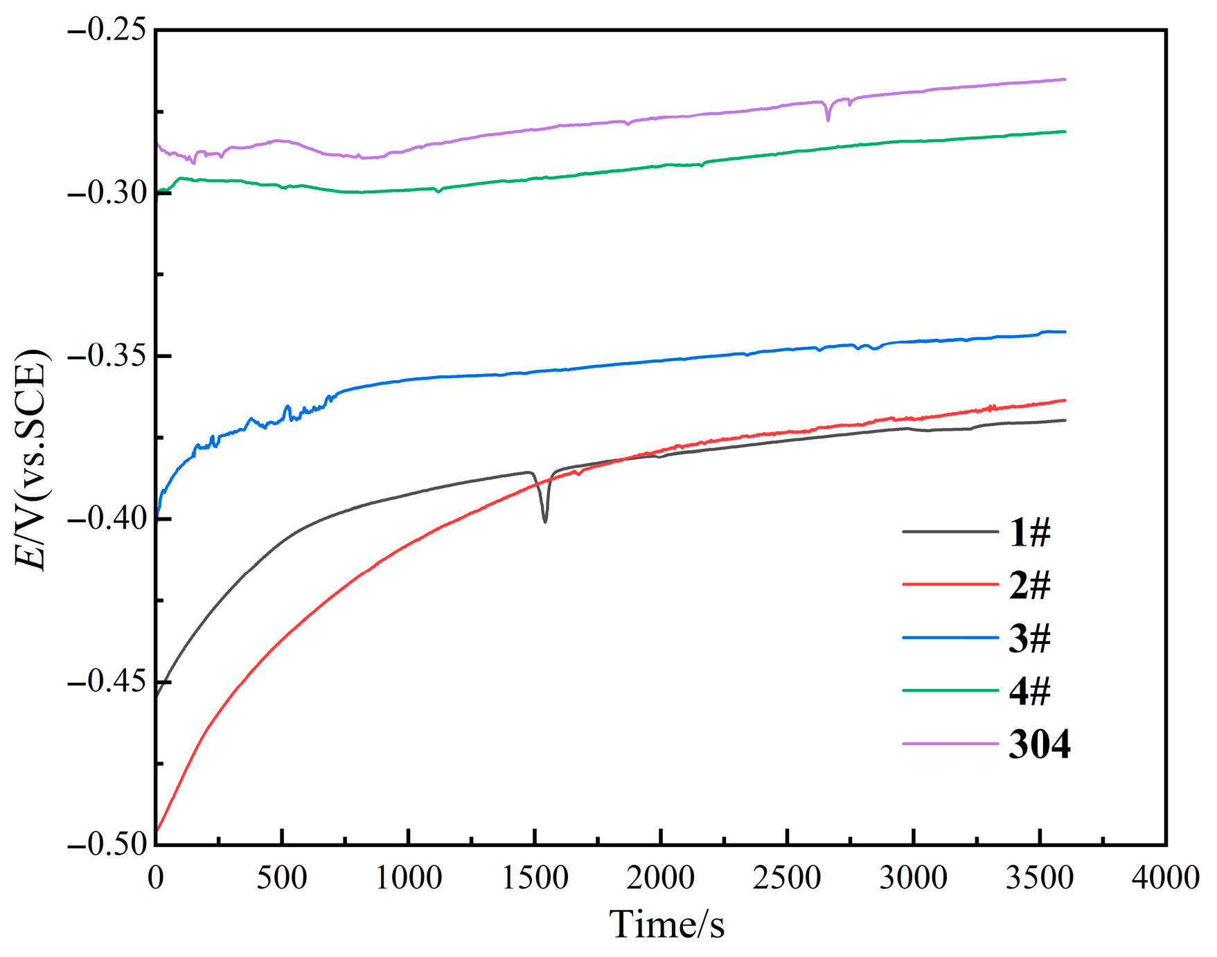
3.2. Electrochemical Properties
3.3. Corrosion Morphologies
4. Conclusions
- The AlCoCrFeNi2.1 EHEA, whether heat-treated or not, exhibited typical dual-phase lamellar structure compromising FCC and BCC phases. With the increase in temperature of the heat treatment, the volume fraction of the FCC phase and interlamellar spacing both increased. The phase constitution obtained after heat treatment at 800 °C was the closest to the equilibrium state of as-cast AlCoCrFeNi2.1 EHEA.
- As the heating temperature was elevated, the resistance of the AlCoCrFeNi2.1 EHEA to uniform corrosion was gradually enhanced. This was ascribed to the consistent increase in the volume fraction of the FCC phase in the alloy with the increasing heating temperature. The sample heat-treated at 1000 °C exhibited best resistance to uniform corrosion.
- Potentiodynamic polarization and immersion tests both suggest that the samples heat-treated at 800 and 1000 °C suffered more severe pitting corrosion than the as-prepared and 600 °C-treated samples. It was found that heating at temperatures above 800 °C resulted in more pronounced enrichment of Al in the BCC phase, which rendered the Al2O3-rich passive film more susceptible to Cl− ions attack.
Author Contributions
Funding
Institutional Review Board Statement
Informed Consent Statement
Data Availability Statement
Conflicts of Interest
References
- Cantor, B.; Chang, I.T.H.; Knight, P.; Vincent, A.J.B. Microstructural development in equiatomic multicomponent alloys. Mater. Sci. Eng. A 2004, 375–377, 213–218. [Google Scholar] [CrossRef]
- Yeh, J.W.; Chen, S.K.; Lin, S.J.; Gan, J.Y.; Chin, T.S.; Shun, T.T.; Tsau, C.H.; Chang, S.Y. Nanostructured High-Entropy Alloys with Multiple Principal Elements: Novel Alloy Design Concepts and Outcomes. Adv. Eng. Mater. 2004, 6, 299–303. [Google Scholar] [CrossRef]
- Chen, H.; Lang, L.; Shang, X.; Dash, S.S.; He, Y.; King, G.; Zou, Y. Anisotropic co-deformation behavior of nanolamellar structures in additively manufactured eutectic high entropy alloys. Acta Mater. 2024, 271, 119885. [Google Scholar] [CrossRef]
- Duan, X.; Han, T.; Guan, X.; Wang, Y.; Su, H.; Ming, K.; Wang, J.; Zheng, S. Cooperative effect of Cr and Al elements on passivation enhancement of eutectic high-entropy alloy AlCoCrFeNi2.1 with precipitates. J. Mater. Sci. Technol. 2023, 136, 97–108. [Google Scholar] [CrossRef]
- Lu, Y.; Dong, Y.; Guo, S.; Jiang, L.; Kang, H.; Wang, T.; Wen, B.; Wang, Z.; Jie, J.; Cao, Z.; et al. A Promising New Class of High-Temperature Alloys: Eutectic High-Entropy Alloys. Sci. Rep. 2014, 4, 6200. [Google Scholar] [CrossRef]
- Lin, G.; Cai, Z.; Dong, Y.; Wang, C.; Hu, J.; Zhang, P.; Gu, L. High-temperature oxidation behavior of AlCoCrFeNi2.1 eutectic high-entropy alloy: Microstructure evolution and microhardness. Mater. Charact. 2024, 210, 113830. [Google Scholar] [CrossRef]
- Gao, P.; Hu, H.; Xu, J.; You, Y.; Qi, T.; Zhang, L.; Cai, W.; Cao, L.; Li, J. Tailored microstructure and mechanical properties of AlCoCrFeNi2.1 eutectic high-entropy alloy fabricated by laser-directed energy deposition with different energy densities. J. Mater. Res. Technol. 2025, 39, 4246–4261. [Google Scholar] [CrossRef]
- Long, X.; Li, Z.; Yan, J.; Zhang, T. Enhanced strength-ductility synergy of an AlCoCrFeNi2.1 eutectic high entropy alloy by ultrasonic vibration. J. Mater. Res. Technol. 2023, 27, 4633–4643. [Google Scholar] [CrossRef]
- Gou, S.; Gao, M.; Shi, Y.; Li, S.; Fang, Y.; Chen, X.; Chen, H.; Yin, W.; Liu, J.; Lei, Z.; et al. Additive manufacturing of ductile refractory high-entropy alloys via phase engineering. Acta Mater. 2023, 248, 118781. [Google Scholar] [CrossRef]
- Amar, A.; Wang, M.; Zhang, L.; Li, J.; Huang, L.; Yan, H.; Zhang, Y.; Lu, Y. Additive manufacturing of VCoNi medium-entropy alloy: Microstructure evolution and mechanical properties. Addit. Manuf. 2023, 68, 103522. [Google Scholar] [CrossRef]
- Ostovari Moghaddam, A.; Shaburova, N.A.; Samodurova, M.N.; Abdollahzadeh, A.; Trofimov, E.A. Additive manufacturing of high entropy alloys: A practical review. J. Mater. Sci. Technol. 2021, 77, 131–162. [Google Scholar] [CrossRef]
- Liu, Z.; Zhao, D.; Wang, P.; Yan, M.; Yang, C.; Chen, Z.; Lu, J.; Lu, Z. Additive manufacturing of metals: Microstructure evolution and multistage control. J. Mater. Sci. Technol. 2022, 100, 224–236. [Google Scholar] [CrossRef]
- Hemmasian Ettefagh, A.; Guo, S.; Raush, J. Corrosion performance of additively manufactured stainless steel parts: A review. Addit. Manuf. 2021, 37, 101689. [Google Scholar] [CrossRef]
- Wang, S.; Li, Y.; Zhang, D.; Yang, Y.; Marwana Manladan, S.; Luo, Z. Microstructure and mechanical properties of high strength AlCoCrFeNi2.1 eutectic high entropy alloy prepared by selective laser melting (SLM). Mater. Lett. 2022, 310, 131511. [Google Scholar] [CrossRef]
- Vikram, R.J.; Murty, B.S.; Fabijanic, D.; Suwas, S. Insights into micro-mechanical response and texture of the additively manufactured eutectic high entropy alloy AlCoCrFeNi2.1. J. Alloys Compd. 2020, 827, 154034. [Google Scholar] [CrossRef]
- Huang, L.; Sun, Y.; Chen, N.; Luan, H.; Le, G.; Liu, X.; Ji, Y.; Lu, Y.; Liaw, P.K.; Yang, X.; et al. Simultaneously enhanced strength-ductility of AlCoCrFeNi2.1 eutectic high-entropy alloy via additive manufacturing. Mater. Sci. Eng. A 2022, 830, 142327. [Google Scholar] [CrossRef]
- Zhou, L.; Zhang, J.; Feng, G.; Chen, Y.; Xie, Y.; Zhang, J.; Li, G.; Zhou, T.; Zhou, Y.; Duan, F.; et al. Homogenization of AlCoCrFeNi2.1 eutectic high entropy with improved corrosion resistance fabricated by selective laser melting. Corros. Sci. 2025, 255, 113141. [Google Scholar] [CrossRef]
- Luo, W.; Yuan, X.; Zhang, Z.; Cheng, C.; Liu, H.; Qiu, H.; Cheng, X. Effect of volumetric energy density on the mechanical properties and corrosion resistance of laser-additive-manufactured AlCoCrFeNi2.1 high-entropy alloys. J. Alloys Compd. 2025, 1010, 178032. [Google Scholar] [CrossRef]
- Du, L.; Ding, H.; Xie, Y.; Ji, L.; Chen, W.; Xu, Y. Effect of Laser Energy Density on Microstructures and Properties of Additively Manufactured AlCoCrFeNi2.1 Eutectic High-Entropy Alloy. Acta Metall. Sin. (Engl. Lett.) 2025, 38, 233–244. [Google Scholar] [CrossRef]
- Lan, L.; Wang, W.; Cui, Z.; Sing, S.L. Mechanical, materials, and physicochemical effects on the high-temperature tribological behaviour of laser additive manufacturing AlCoCrFeNi2.1 eutectic high-entropy alloys. Virtual Phys. Prototyp. 2024, 19, e2355640. [Google Scholar] [CrossRef]
- Bijnavandi, M.S.; Dehghani, K. Investigating the effect of hot -rolling and cold -rolling on the microstructure and mechanical properties of high entropy alloy AlCoCrFeNi2.1. J. Mater. Res. Technol. 2025, 36, 10118–10130. [Google Scholar] [CrossRef]
- Jia, Q.; Gu, D. Selective laser melting additive manufacturing of Inconel 718 superalloy parts: Densification, microstructure and properties. J. Alloys Compd. 2014, 585, 713–721. [Google Scholar] [CrossRef]
- Wang, H.; He, Q.; Gao, X.; Shang, Y.; Zhu, W.; Zhao, W.; Chen, Z.; Gong, H.; Yang, Y. Multifunctional High Entropy Alloys Enabled by Severe Lattice Distortion. Adv. Mater. 2024, 36, 2305453. [Google Scholar] [CrossRef]
- Sui, Q.; Wang, Z.; Wang, J.; Yuan, Q.; Mao, S.; Yuan, B.; Xu, S.; Wen, H.; Xiao, T.; Wu, Y.; et al. Strength-ductility balance of AlCoCrFeNi2.1 eutectic high-entropy alloy via additive manufacturing. J. Mater. Res. Technol. 2024, 30, 1992–2003. [Google Scholar] [CrossRef]
- Yu, T.; Zhou, G.; Cheng, Y.; Hu, F.; Jiang, T.; Sun, T.; Shen, Y.; Zhou, Y.; Li, J. Microstructure and properties of AlCoCrFeNi2.1 eutectic high entropy alloy manufactured by selective laser melting. Opt. Laser Technol. 2023, 163, 109396. [Google Scholar] [CrossRef]
- Wani, I.S.; Bhattacharjee, T.; Sheikh, S.; Bhattacharjee, P.P.; Guo, S.; Tsuji, N. Tailoring nanostructures and mechanical properties of AlCoCrFeNi2.1 eutectic high entropy alloy using thermo-mechanical processing. Mater. Sci. Eng. A 2016, 675, 99–109. [Google Scholar] [CrossRef]
- Tang, Z.; Gao, M.C.; Diao, H.; Yang, T.; Liu, J.; Zuo, T.; Zhang, Y.; Lu, Z.; Cheng, Y.; Zhang, Y.; et al. Aluminum Alloying Effects on Lattice Types, Microstructures, and Mechanical Behavior of High-Entropy Alloys Systems. JOM 2013, 65, 1848–1858. [Google Scholar] [CrossRef]
- Song, L.; Hu, W.; Liao, B.; Wan, S.; Kan, L.; Guo, X. Corrosion behavior of AlCoCrFeNi2.1 eutectic high-entropy alloy in Cl−-containing solution. J. Alloys Compd. 2023, 938, 168609. [Google Scholar] [CrossRef]
- Li, T.; Swanson, O.J.; Frankel, G.S.; Gerard, A.Y.; Lu, P.; Saal, J.E.; Scully, J.R. Localized corrosion behavior of a single-phase non-equimolar high entropy alloy. Electrochim. Acta 2019, 306, 71–84. [Google Scholar] [CrossRef]
- Duan, J.; Luo, S.; Hou, C.; Dong, Y.; Mao, L. Effects of Cr replacing Fe on microstructure and properties of AlCoCrFeNi2.1 eutectic high entropy alloy. J. Mater. Res. Technol. 2025, 39, 392–399. [Google Scholar] [CrossRef]
- Wang, R.; Zhang, K.; Davies, C.; Wu, X. Evolution of microstructure, mechanical and corrosion properties of AlCoCrFeNi high-entropy alloy prepared by direct laser fabrication. J. Alloys Compd. 2017, 694, 971–981. [Google Scholar] [CrossRef]
- Hasannaeimi, V.; Mukherjee, S. Galvanic corrosion in a eutectic high entropy alloy. J. Electroanal. Chem. 2019, 848, 113331. [Google Scholar] [CrossRef]
- Tian, W.; Du, N.; Li, S.; Chen, S.; Wu, Q. Metastable pitting corrosion of 304 stainless steel in 3.5% NaCl solution. Corros. Sci. 2014, 85, 372–379. [Google Scholar] [CrossRef]
- Fu, Y.; Dai, C.; Luo, H.; Li, D.; Du, C.; Li, X. The corrosion behavior and film properties of Al-containing high-entropy alloys in acidic solutions. Appl. Surf. Sci. 2021, 560, 149854. [Google Scholar] [CrossRef]
- Della Rovere, C.A.; Alano, J.H.; Silva, R.; Nascente, P.A.P.; Otubo, J.; Kuri, S.E. Characterization of passive films on shape memory stainless steels. Corros. Sci. 2012, 57, 154–161. [Google Scholar] [CrossRef]
- Erfani Mobarakeh, S.A.; Dehghani, K. Microstructural evolutions and corrosion behavior of nanocomposite AlCoCrFeNi2.1 high-entropy alloy produced via friction stir processing. J. Mater. Res. Technol. 2024, 30, 8345–8358. [Google Scholar] [CrossRef]












| Element | Al | Co | Cr | Fe | Ni |
|---|---|---|---|---|---|
| Nominal | 16.4 | 16.4 | 16.4 | 16.4 | 34.4 |
| Actual | 16.8 ± 0.3 | 16.2 ± 0.3 | 16.4 ± 0.3 | 16.2 ± 0.3 | 34.4 ± 0.3 |
| Sample # | Heating Temperature/°C | Holding Time/h |
|---|---|---|
| 1 | - | - |
| 2 | 600 | 4 |
| 3 | 800 | 4 |
| 4 | 1000 | 4 |
| Phase | Sample | Al | Co | Cr | Fe | Ni | |
|---|---|---|---|---|---|---|---|
| BCC | 1# | 31.4 ±0.4 | 12.6 ± 0.3 | 9.7 ± 0.3 | 9.0 ± 0.2 | 37.3 ± 0.3 | |
| 2# | 30.0 ± 0.3 | 12.7 ± 0.4 | 9.9 ± 0.2 | 9.7 ± 0.3 | 37.7 ± 0.2 | ||
| 3# | 32.1 ± 0.3 | 10.7 ± 0.2 | 9.3 ± 0.4 | 8.6 ± 0.4 | 39.3 ± 0.2 | ||
| 4# | 36.4 ± 0.3 | 9.9 ± 0.3 | 5.7 ± 0.3 | 7.3 ± 0.3 | 40.7 ± 0.3 | ||
| FCC | 1# | 13.9 ± 0.3 | 18.0 ± 0.4 | 19.8 ± 0.3 | 16.5 ± 0.3 | 31.8 ± 0.3 | |
| 2# | 13.7 ± 0.4 | 17.6 ± 0.2 | 20.2 ± 0.3 | 15.8 ± 0.4 | 32.7 ± 0.4 | ||
| 3# | 12.4 ± 0.3 | 17.6 ± 0.4 | 20.1 ± 0.4 | 16.1 ± 0.2 | 33.8 ± 0.3 | ||
| 4# | 10.3 ± 0.3 | 19.9 ± 0.3 | 21.9 ± 0.3 | 17.3 ± 0.3 | 30.6 ± 0.2 | ||
| Sample | Ecorr/mV | icorr/(A·cm−2) | Epit/mV |
|---|---|---|---|
| 1# | −369 | 2.5 × 10−6 | 189 |
| 2# | −375 | 1.7 × 10−6 | 194 |
| 3# | −346 | 1.4 × 10−6 | 47 |
| 4# | −297 | 3.0 × 10−7 | 99 |
| 304 | −274 | 4.7 × 10−7 | 328 |
| Sample | Rs (Ω·cm2) | Rf (Ω·cm2) | Rct (Ω·cm2) | ZCPE1 (Ω−1·cm−2·sn) | n1 | ZCPE2 (Ω−1·cm−2·sn) | n2 |
|---|---|---|---|---|---|---|---|
| 1# | 23.41 | 30,588 | 1.28 × 105 | 2.17 × 10−5 | 0.9393 | 2.64 × 10−5 | 0.8733 |
| 2# | 24.78 | 32,290 | 3.04 × 105 | 2.04 × 10−5 | 0.9585 | 2.81 × 10−6 | 0.5206 |
| 3# | 25.16 | 37,475 | 1.73 × 105 | 1.27 × 10−5 | 0.9186 | 8.92 × 10−6 | 0.4761 |
| 4# | 26.1 | 60,753 | 6.89 × 105 | 7.07 × 10−6 | 0.9155 | 3.74 × 10−6 | 0.5485 |
Disclaimer/Publisher’s Note: The statements, opinions and data contained in all publications are solely those of the individual author(s) and contributor(s) and not of MDPI and/or the editor(s). MDPI and/or the editor(s) disclaim responsibility for any injury to people or property resulting from any ideas, methods, instructions or products referred to in the content. |
© 2025 by the authors. Licensee MDPI, Basel, Switzerland. This article is an open access article distributed under the terms and conditions of the Creative Commons Attribution (CC BY) license (https://creativecommons.org/licenses/by/4.0/).
Share and Cite
Li, X.; Ding, H.; Pi, X.; Zhang, S.; Xie, Y. Effect of Post-Heat Treatment on Microstructure and Corrosion Property of Additively Manufactured AlCoCrFeNi2.1 Eutectic High-Entropy Alloy. Materials 2025, 18, 5544. https://doi.org/10.3390/ma18245544
Li X, Ding H, Pi X, Zhang S, Xie Y. Effect of Post-Heat Treatment on Microstructure and Corrosion Property of Additively Manufactured AlCoCrFeNi2.1 Eutectic High-Entropy Alloy. Materials. 2025; 18(24):5544. https://doi.org/10.3390/ma18245544
Chicago/Turabian StyleLi, Xinping, Hao Ding, Xinyue Pi, Shuying Zhang, and Yun Xie. 2025. "Effect of Post-Heat Treatment on Microstructure and Corrosion Property of Additively Manufactured AlCoCrFeNi2.1 Eutectic High-Entropy Alloy" Materials 18, no. 24: 5544. https://doi.org/10.3390/ma18245544
APA StyleLi, X., Ding, H., Pi, X., Zhang, S., & Xie, Y. (2025). Effect of Post-Heat Treatment on Microstructure and Corrosion Property of Additively Manufactured AlCoCrFeNi2.1 Eutectic High-Entropy Alloy. Materials, 18(24), 5544. https://doi.org/10.3390/ma18245544

