Effect of Temperature on Magnetoimpedance Effect and Magnetic Properties of Fe- and Co-Rich Glass-Coated Microwires
Abstract
1. Introduction
2. Materials and Methods
3. Experimental Results and Discussion
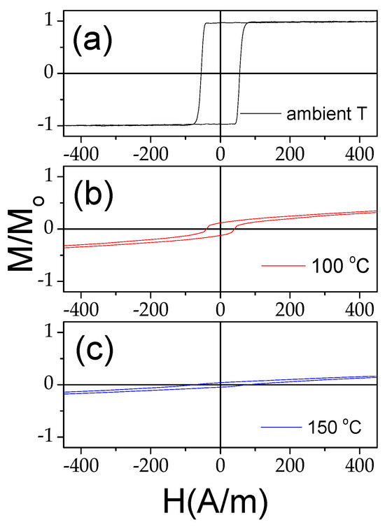
3.1. Effect of Temperature on Magnetic Properties and GMI of Fe-Rich Amorphous Microwires
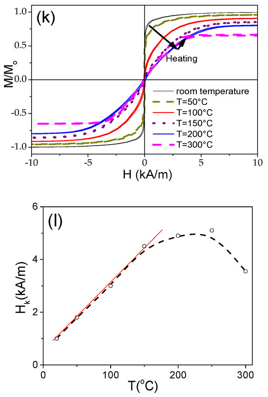
3.2. Effect of Heating on Magnetic Properties and GMI of Co-Rich Amorphous Microwires
4. Conclusions
Author Contributions
Funding
Institutional Review Board Statement
Informed Consent Statement
Data Availability Statement
Acknowledgments
Conflicts of Interest
References
- Wilson, S.A.; Jourdain, R.P.J.; Zhang, Q.; Dorey, R.A.; Bowen, C.R.; Willander, M.; Wahab, Q.U.; Willander, M.; Al-hilli, S.M.; Nur, O.; et al. New materials for micro-scale sensors and actuators: An engineering review. Mater. Sci. Eng. R-Rep. 2007, 56, 1–129. [Google Scholar] [CrossRef]
- Fiorillo, F.; Bertotti, G.; Appino, C.; Pasquale, M. Soft Magnetic Materials. In Wiley Encyclopedia of Electrical and Electronics Engineering; Webster, J., Ed.; John Wiley & Sons, Inc.: Torino, Italy, 1999; p. 42. [Google Scholar] [CrossRef]
- Rivero, G.; Multigner, M.; Spottorno, J. Chapter 7 Magnetic Sensors for Biomedical Applications. In Magnetic Sensors—Principles and Applications; Kuang, K., Ed.; Intech: Vienna, Austria, 2012; ISBN 978-953-51-0232-8. [Google Scholar] [CrossRef]
- Vitol, E.A.; Novosad, V.; Rozhkova, E.A. Microfabricated magnetic structures for future medicine: From sensors to cell actuators. Nanomedicine 2012, 7, 1611–1624. [Google Scholar] [CrossRef] [PubMed]
- Díaz-Michelena, M. Small Magnetic Sensors for Space Applications. Sensors 2009, 9, 2271–2288. [Google Scholar] [CrossRef]
- Zhukova, V.; Corte-Leon, P.; Blanco, J.M.; Ipatov, M.; Gonzalez, J.; Zhukov, A. Electronic Surveillance and Security Applications of Magnetic Microwires. Chemosensors 2021, 9, 100. [Google Scholar] [CrossRef]
- Mohri, K.; Uchiyama, T.; Panina, L.V.; Yamamoto, M.; Bushida, K. Recent Advances of Amorphous Wire CMOS IC Magneto-Impedance Sensors: Innovative High-Performance Micromagnetic Sensor Chip. J. Sens. 2015, 2015, 718069. [Google Scholar] [CrossRef]
- Vazquez, M.; Gomez-Polo, C.; Chen, D.-X.; Hemando, A. Magnetic Bistability of Amorphous Wires and Sensor Applications. IEEE Trans. Magn. 1994, 39, 907–912. [Google Scholar] [CrossRef]
- Uchiyama, T.; Mohri, K.; Nakayama, S. Measurement of Spontaneous Oscillatory Magnetic Field of Guinea-Pig Smooth Muscle Preparation Using Pico-Tesla Resolution Amorphous Wire Magneto-Impedance Sensor. IEEE Trans. Magn. 2011, 47, 3070–3073. [Google Scholar] [CrossRef]
- Karnaushenko, D.; Karnaushenko, D.D.; Makarov, D.; Baunack, S.; Schäfer, R.; Schmidt, O.G. Self-Assembled On-Chip-Integrated Giant Magneto-Impedance Sensorics. Adv. Mater. 2015, 27, 6582–6589. [Google Scholar] [CrossRef] [PubMed]
- Knobel, M.; Vazquez, M.; Kraus, L. Giant magnetoimpedance. In Handbook of Magnetic Materials; Bruck, E., Ed.; Elsevier: Amsterdam, The Netherlands, 2003; Volume 15, pp. 497–563. [Google Scholar]
- Mohri, K.; Humphrey, F.B.; Kawashima, K.; Kimura, K.; Mizutani, M. Large Barkhausen and Matteucci effects in FeCoSiB, FeCrSiB, and FeNiSiB amorphous wires. IEEE Trans. Magn. 1990, 26, 1789–1791. [Google Scholar] [CrossRef]
- Chiriac, H.; Lupu, N.; Stoian, G.; Ababei, G.; Corodeanu, S.; Óvári, T.-A. Ultrathin nanocrystalline magnetic wires. Crystals 2017, 7, 48. [Google Scholar] [CrossRef]
- Corte-Leon, P.; Zhukova, V.; Ipatov, M.; Blanco, J.M.; González, J.; Churyukanova, M.; Taskaev, S.; Zhukov, A. The effect of annealing on magnetic properties of “Thick” microwires. J. Alloys Compd. 2020, 831, 150992. [Google Scholar] [CrossRef]
- Kozejova, D.; Fecova, L.; Klein, P.; Sabol, R.; Hudak, R.; Sulla, I.; Mudronova, D.; Galik, J.; Varga, R. Biomedical applications of glass-coated microwires. J. Magn. Magn. Mater. 2019, 470, 2–5. [Google Scholar] [CrossRef]
- Honkura, Y.; Honkura, S. The Development of ASIC Type GSR Sensor Driven by GHz Pulse Current. Sensors 2020, 20, 1023. [Google Scholar] [CrossRef] [PubMed]
- Zhukov, A.; Ipatov, M.; Corte-León, P.; Gonzalez-Legarreta, L.; Blanco, J.M.; Zhukova, V. Soft Magnetic Microwires for Sensor Applications. J. Magn. Magn. Mater. 2020, 498, 166180. [Google Scholar] [CrossRef]
- Makhnovskiy, D.P.; Panina, L.V. Field dependent permittivity of composite materials containing ferromagnetic wires. J. Appl. Phys. 2003, 93, 4120–4129. [Google Scholar] [CrossRef]
- Qin, F.; Peng, H.X. Ferromagnetic microwires enabled multifunctional composite materials. Prog. Mater. Sci. 2013, 58, 183–259. [Google Scholar] [CrossRef]
- Goto, T. Fe-B and Fe-Si-B system alloy filaments produced by glass-coated melt spinning. Trans. JIM 1980, 21, 219–224. [Google Scholar] [CrossRef]
- Zhukova, V.; Cobeño, A.F.; Zhukov, A.; de Arellano Lopez, A.R.; López-Pombero, S.; Blanco, J.M.; Larin, V.; Gonzalez, J. Correlation between magnetic and mechanical properties of devitrified glass-coated Fe71.8Cu1Nb3.1Si15B9.1 microwires. J. Magn. Magn. Mater. 2002, 249, 79–84. [Google Scholar] [CrossRef]
- Makhnovskiy, D.; Zhukov, A.; Zhukova, V.; Gonzalez, J. Tunable and self-sensing microwave composite materials incorporating ferromagnetic microwires. In Advances in Science and Technology; Trans Tech Publications, Ltd.: Stafa-Zurich, Switzerland, 2008; Volume 54, pp. 201–210. [Google Scholar] [CrossRef]
- Uddin, A.; Estevez, D.; Qin, F.X. From functional units to material design: A review on recent advancement of programmable microwire metacomposites. Compos. Part A Appl. Sci. Manuf. 2022, 153, 106734. [Google Scholar] [CrossRef]
- Allue, A.; Corte-León, P.; Gondra, K.; Zhukova, V.; Ipatov, M.; Blanco, J.M.; Gonzalez, J.; Churyukanova, M.; Taskaev, S.; Zhukov, A. Smart composites with embedded magnetic microwire inclusions allowing non-contact stresses and temperature monitoring. Compos. Part A Appl. Sci. Manuf. 2019, 120, 12–20. [Google Scholar] [CrossRef]
- Qin, F.; Peng, H.-X.; Tang, J.; Qin, L.-C. Ferromagnetic microwires enabled polymer composites for sensing applications. Compos. Part A Appl. Sci. Manuf. 2010, 41, 1823–1828. [Google Scholar] [CrossRef]
- Aragoneses, P.; Blanco, J.M.; Dominguez, L.; Gonzalez, J.; Zhukov, A.; Vázquez, M. The Stress dependence of the switching field in glass-coated amorphous microwires. J. Phys. D Appl. Phys. 1998, 31, 3040–3045. [Google Scholar] [CrossRef]
- Chiriac, H.; Ovari, T.A.; Pop, G. Magnetic behavior of glass-covered amorphous wires. J. Magn. Magn. Mater. 1996, 157–158, 227–228. [Google Scholar] [CrossRef]
- Corte-Leon, P.; Zhukova, V.; Ipatov, M.; Blanco, J.M.; Gonzalez, J.; Churyukanova, M.; Baraibar, J.M.; Taskaev, S.; Zhukov, A. Stress dependence of the magnetic properties of glass-coated amorphous microwires. J. Alloys Compd. 2019, 789, 201–208. [Google Scholar] [CrossRef]
- Prida, V.; Sánchez, M.; Hernando, B.; Gorria, P.; Tejedor, M.; Vázquez, M. Influence of stress relief on hysteretic magnetoimpedance in Co-rich amorphous ribbons at the relaxation frequency. Appl. Phys. A 2003, 77, 135–140. [Google Scholar] [CrossRef]
- Tejedor, M.; Hernando, B.; Sánchez, M.L.; Prida, V.M.; Vázquez, M. The magnetostriction and stress dependence of the magneto-impedance effect in ribbons of amorphous Fe4Co67Mi1.5Si16.5B11. J. Phys. D Appl. Phys. 1998, 31, 2431–2437. [Google Scholar] [CrossRef]
- Nabias, J.; Asfour, A.; Yonnet, J. Temperature Dependence of Giant Magnetoimpedance in Amorphous Microwires for Sensor Application. IEEE Trans. Magn. 2017, 53, 4001005. [Google Scholar] [CrossRef]
- Kurniawan, M.; Roy, R.K.; Panda, A.K.; Greve, D.W.; Ohodnicki, P.; McHenry, M.E. Temperature Dependent Giant Magnetoimpedance Effect in Amorphous Soft Magnets. J. Electron. Mater. 2014, 43, 4576–4581. [Google Scholar] [CrossRef]
- Santos, J.D.; Varga, R.; Hernando, B.; Zhukov, A. Enhancement of GMI effect in magnetic microwires through the relative temperature dependence of magnetization and anisotropy. J. Magn. Magn. Mater. 2009, 321, 3875–3877. [Google Scholar] [CrossRef]
- Panina, L.V.; Dzhumazoda, A.; Evstigneeva, S.A.; Adam, A.M.; Morchenko, A.T.; Yudanov, N.A.; Kostishyn, V.G. Temperature effects on magnetization processes and magnetoimpedance in low magnetostrictive amorphous microwires. J. Magn. Magn. Mater. 2018, 459, 147–153. [Google Scholar] [CrossRef]
- Corte-Leon, P.; Skorvanek, I.; Andrejka, F.; Zhukova, V.; Blanco, J.M.; Ipatov, M.; Zhukov, A. Effect of temperature on magnetic properties and magnetoimpedance effect in Fe-rich microwires. J. Alloys Compd. 2023, 946, 169419. [Google Scholar] [CrossRef]
- Corte-Leon, P.; Skorvanek, I.; Andrejka, F.; Zhukova, V.; Blanco, J.M.; Ipatov, M.; Zhukov, A. Temperature influence on magnetic properties and magnetoimpedance effect of Fe-rich glass-coated microwires. AIP Adv. 2023, 13, 025337. [Google Scholar] [CrossRef]
- Baranov, S.A.; Larin, V.S.; Torcunov, A.V. Technology, Preparation and Properties of the Cast Glass-Coated Magnetic Microwires. Crystals 2017, 7, 136. [Google Scholar] [CrossRef]
- Zhukov, A.; Corte-Leon, P.; Gonzalez-Legarreta, L.; Ipatov, M.; Blanco, J.M.; Gonzalez, A.; Zhukova, V. Advanced functional magnetic microwires for technological applications. J. Phys. D Appl. Phys. 2022, 55, 253003. [Google Scholar] [CrossRef]
- Corte-Leon, P.; Zhukova, V.; Chizhik, A.; Blanco, J.M.; Ipatov, M.; Gonzalez-Legarreta, L.; Zhukov, A. Magnetic Microwires with Unique Combination of Magnetic Properties Suitable for Various Magnetic Sensor Applications. Sensors 2020, 20, 7203. [Google Scholar] [CrossRef] [PubMed]
- Gonzalez-Legarreta, L.; Corte-Leon, P.; Zhukova, V.; Ipatov, M.; Blanco, J.M.; González, J.; Zhukov, A. Optimization of magnetic properties and GMI effect of Thin Co-rich Microwires for GMI Microsensors. Sensors 2020, 20, 1558. [Google Scholar] [CrossRef] [PubMed]
- Phan, M.-H.; Peng, H.-X. Giant magnetoimpedance materials: Fundamentals and applications. Prog. Mater. Sci. 2008, 53, 323–420. [Google Scholar] [CrossRef]
- Kronmüller, H. Theory of the coercive field in amorphous ferromagnetic alloys. J. Magn. Magn. Mater. 1981, 24, 159–167. [Google Scholar] [CrossRef]
- Corte-Leon, P.; Skorvanek, I.; Andrejka, F.; Zhukova, V.; Blanco, J.M.; Ipatov, M.; Zhukov, A. Exploring the Temperature Dependent Magnetic Properties and Magnetoimpedance Effect in Fe-rich Microwires for Temperature Monitoring. In IARIA Congress 2023: Proceedings of the 2023 IARIA Annual Congress on Frontiers in Science, Technology, Services, and Applications; IARIA: Wilmington, DE, USA, 2023; pp. 26–30. ISBN 978-1-68558-089-6. [Google Scholar]
- Panina, L.V.; Mohri, K. Magneto-impedance effect in amorphous wires. Appl. Phys. Lett. 1994, 65, 1189–1191. [Google Scholar] [CrossRef]
- Zhukov, A.; Ipatov, M.; Corte-León, P.; Gonzalez- Legarreta, L.; Churyukanova, M.; Blanco, J.M.; Gonzalez, J.; Taskaev, S.; Hernando, B.; Zhukova, V. Giant magnetoimpedance in rapidly quenched materials. J. Alloys Compd. 2020, 814, 152225. [Google Scholar] [CrossRef]
- Buznikov, N.A.; Popov, V.V. A core-shell model for magnetoimpedance in stress-annealed Fe-rich amorphous microwires. J. Supercond. Nov. Magn. 2021, 34, 169–177. [Google Scholar] [CrossRef]
- Antonov, A.S.; Borisov, V.T.; Borisov, O.V.; Prokoshin, A.F.; Usov, N.A. Residual quenching stresses in glass-coated amorphous ferromagnetic microwires. J. Phys. D Appl. Phys. 2000, 33, 1161–1168. [Google Scholar] [CrossRef]
- Chiriac, H.; Ovari, T.A.; Pop, G.; Barariu, F. Internal stresses in highly magnetostrictive glass-covered amorphous wires. J. Magn. Magn. Mater. 1996, 160, 237–238. [Google Scholar] [CrossRef]
- Torcunov, A.V.; Baranov, S.A.; Larin, V.S. The internal stresses dependence of the magnetic properties of cast amorphous microwires covered with glass insulation. J. Magn. Magn. Mater. 1999, 196–197, 835–836. [Google Scholar] [CrossRef]
- He, K.; Xu, H.; Wang, Z.; Cheng, L. Hopkinson effect in soft magnetic materials. J. Mater. Sci. Technol. 2000, 16, 145–147. [Google Scholar]
- Zhukova, V.; Ipatov, M.; Talaat, A.; Zhukov, A. Hopkinson effect in Co-rich glass-coated microwires. Phys. Status Solidi C 2014, 11, 1130–1132. [Google Scholar] [CrossRef]
- Zhukova, V.; Ipatov, M.; Talaat, A.; Blanco, J.M.; Churyukanova, M.; Taskaev, S.; Zhukov, A. Effect of stress-induced anisotropy on high frequency magnetoimpedance effect of Fe and Co-rich glass-coated microwires. J. Alloys Compd. 2018, 735, 1818–1825. [Google Scholar] [CrossRef]
- Usov, N.; Antonov, A.; Lagar’Kov, A. Theory of giant magneto-impedance effect in amorphous wires with different types of magnetic anisotropy. J. Magn. Magn. Mater. 1998, 185, 159–173. [Google Scholar] [CrossRef]
- Gonzalez-Legarreta, L.; Corte-León, P.; Zhukova, V.; Ipatov, M.; Blanco, J.M.; Churyukanova, M.; Taskaev, S.; Zhukov, A. Route of magnetoimpedance and domain walls dynamics optimization in Co-based microwires. J. Alloys Compd. 2020, 830, 154576. [Google Scholar] [CrossRef]
- Corte-Leon, P.; Skorvanek, I.; Andrejka, F.; Jakubcin, M.; Zhukova, V.; Zhukov, A. Effect of temperature on magnetic properties and magnetoimpedance effect of Co-rich glass-coated microwires. AIP Adv. 2024, 14, 015248. [Google Scholar] [CrossRef]
- Hopkinson, J. Magnetic and Other Physical Properties of Iron at a High Temperature. Philos. Trans. R. Soc. Lond. A 1889, 180, 443–465. [Google Scholar]
- Sláma, J.; Ušáková, M.; Šoka, M.; Dosoudil, R.; Jančárik, V.V. Hopkinson Effect in Soft and Hard Magnetic Ferrites. Acta Phys. Pol. A 2017, 131, 762–764. [Google Scholar] [CrossRef]
- Barandiarán, J.M.; Hernando, A.; Madurga, V.; Nielsen, O.V.; Vázquez, M.; Vázquez-López, M. Temperature, stress, and structural-relaxation dependence of the magnetostriction in (Co0.94Fe0.06)75Si15B10 glasses. Phys. Rev. B 1987, 35, 5066–5071. [Google Scholar] [CrossRef] [PubMed]
- Hernando, A.; Vázquez, M.; Barandiarán, J.M.; Van Hattum, W. Stress and magnetic field dependencies of the saturation magnetostriction in (Co-rich amorphous alloys. J. Phys. Colloq. 1988, 49, C8-1333–C8-1334. [Google Scholar] [CrossRef][Green Version]
- Corte-Leon, P.; Skorvanek, I.; Andrejka, F.; Jakubcin, M.; Zhukova, V.; Zhukov, A. Exploring the temperature dependence of magnetic properties and magnetoimpedance effect in Co-rich microwires. J. Sci. Adv. Mater. Devices 2024, 9, 100713. [Google Scholar] [CrossRef]
- Varga, R.; Klein, P.; Sabol, R.; Richter, K.; Hudak, R.; Polaček, I.; Praslicka, D.; Šmelko, M.; Hudak, J.; Mikita, I.; et al. Magnetically Bistable Microwires: Properties and Applications for Magnetic Field, Temperature, and Stress Sensing. In High Performance Soft Magnetic Materials; Zhukov, A., Ed.; Springer Series in Materials Science; Springer: Cham, Switzerland, 2017; Volume 252. [Google Scholar] [CrossRef]
- Ménard, D.; Britel, M.; Ciureanu, P.; Yelon, A. Giant magnetoimpedance in a cylindrical conductor. J. Appl. Phys. 1998, 84, 2805–2814. [Google Scholar] [CrossRef]
- Yelon, A.; Ménard, D.; Britel, M.; Ciureanu, P. Calculations of giant magnetoimpedance and of ferromagnetic resonance response are rigorously equivalent. Appl. Phys. Lett. 1996, 69, 3084–3085. [Google Scholar] [CrossRef]

















Disclaimer/Publisher’s Note: The statements, opinions and data contained in all publications are solely those of the individual author(s) and contributor(s) and not of MDPI and/or the editor(s). MDPI and/or the editor(s) disclaim responsibility for any injury to people or property resulting from any ideas, methods, instructions or products referred to in the content. |
© 2025 by the authors. Licensee MDPI, Basel, Switzerland. This article is an open access article distributed under the terms and conditions of the Creative Commons Attribution (CC BY) license (https://creativecommons.org/licenses/by/4.0/).
Share and Cite
Corte-Leon, P.; Skorvanek, I.; Andrejka, F.; Jakubcin, M.; Blanco, J.M.; Zhukova, V.; Zhukov, A. Effect of Temperature on Magnetoimpedance Effect and Magnetic Properties of Fe- and Co-Rich Glass-Coated Microwires. Materials 2025, 18, 287. https://doi.org/10.3390/ma18020287
Corte-Leon P, Skorvanek I, Andrejka F, Jakubcin M, Blanco JM, Zhukova V, Zhukov A. Effect of Temperature on Magnetoimpedance Effect and Magnetic Properties of Fe- and Co-Rich Glass-Coated Microwires. Materials. 2025; 18(2):287. https://doi.org/10.3390/ma18020287
Chicago/Turabian StyleCorte-Leon, Paula, Ivan Skorvanek, František Andrejka, Milos Jakubcin, Juan Maria Blanco, Valentina Zhukova, and Arcady Zhukov. 2025. "Effect of Temperature on Magnetoimpedance Effect and Magnetic Properties of Fe- and Co-Rich Glass-Coated Microwires" Materials 18, no. 2: 287. https://doi.org/10.3390/ma18020287
APA StyleCorte-Leon, P., Skorvanek, I., Andrejka, F., Jakubcin, M., Blanco, J. M., Zhukova, V., & Zhukov, A. (2025). Effect of Temperature on Magnetoimpedance Effect and Magnetic Properties of Fe- and Co-Rich Glass-Coated Microwires. Materials, 18(2), 287. https://doi.org/10.3390/ma18020287

