A Review of Modified/Consistent Couple Stress and Strain Gradient Theories for Analyzing Static and Dynamic Behaviors of Functionally Graded Microscale Plates and Shells
Highlights
- We conducted a literature review of articles examining the static and dynamic behaviors of functionally graded (FG) microplates and microshells using analytical and numerical methods based on the consistent/modified couple stress theory (CCST/MCST) and consistent/modified strain gradient theory (CSGT/MSGT).
- We categorized the existing methods based on CCST/MCST and CSGT/MSGT for analyzing microplates/microshells into (a) 3D exact and semi-analytical numerical methods, (b) 2D unified shear deformation theory (SDT), and (c) 2D advanced and refined SDT, and reported their applications.
- A comparison study showed that the results from the CCST are nearly the same as those from MCST when estimating deformations, in-plane stresses, and the natural frequency of FG microplates.
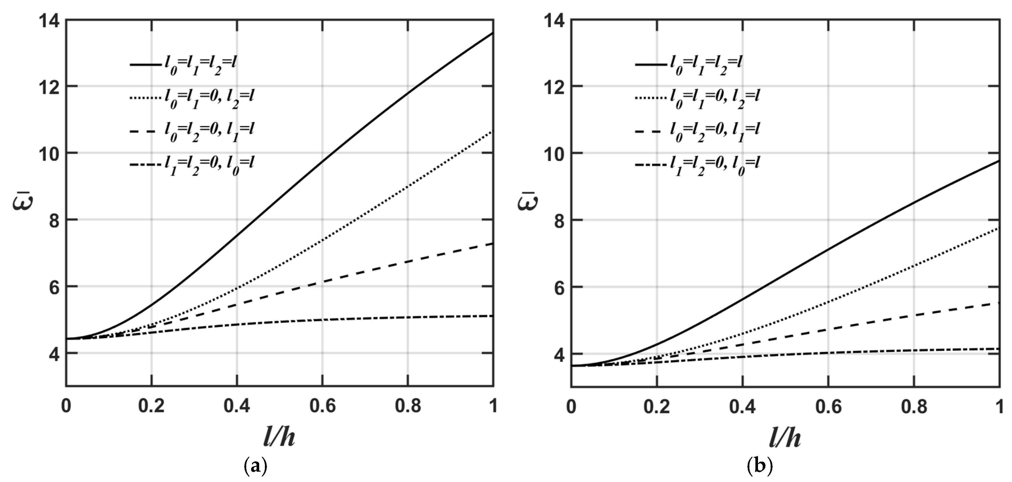
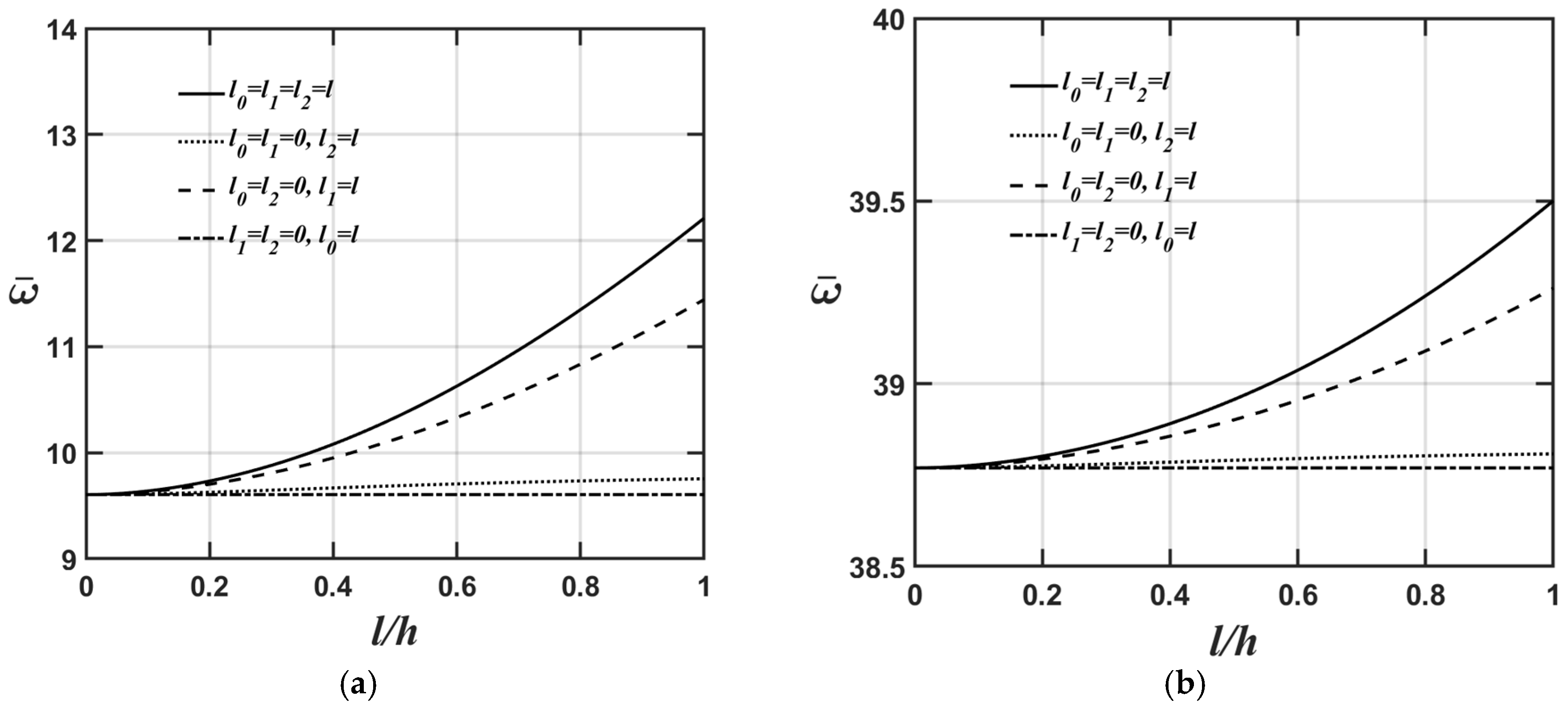
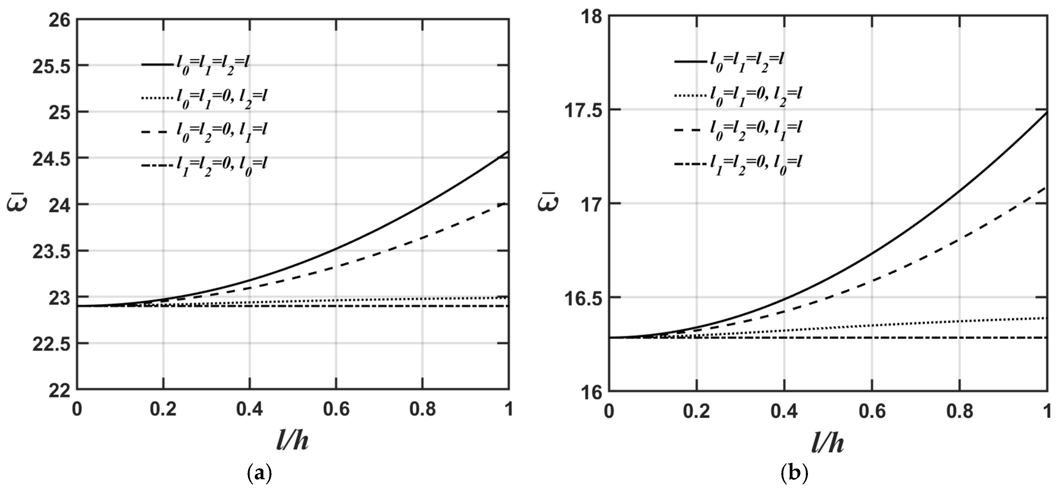
- The results showed that material length-scale parameters consistently enhance the FG microplate’s overall stiffness, decreasing its deformations and raising its lowest natural frequency. Their significance is arranged in descending order for flexural mode as the couple stress effect > the deviatoric strain gradient effect > the dilatational strain gradient effect, while for extensional mode, deviatoric strain gradient effect > couple stress effect.
- The results also showed that the applicable ranges of the structural scale for the CCST/MCST and the CSGT/MSGT are approximately within the intervals of 5 × 10−7 m < h < 1 × 10−4 m and 1 × 10−9 m < h < 1 × 10−4 m, respectively.
Abstract
1. Introduction
2. Material Properties
2.1. EG Microscale Plates and Shells
2.2. Power-Law FG Microscale Plates and Shells
2.3. Sigmoid FG Microscale Plates and Shells
2.4. FG-CNTRC Microscale Plates and Shells
2.5. FG-GPLRC Microscale Plates and Shells
3. Consistent Couple Stress Theory
3.1. Strong Form
3.1.1. Fundamental Equations
3.1.2. Hamilton’s Principle
3.1.3. Euler–Lagrange Equations and Possible Boundary Conditions
3.2. Weak Form
3.2.1. Hamilton’s Principle
3.2.2. Galerkin Weak Formulation
4. Various 2D Shear Deformation Theories
4.1. Unified Size-Dependent SDTs
4.2. Size-Dependent Advanced and Refined SDTs
4.2.1. Variational Analytical Methods
4.2.2. Numerical Methods
DQ Method
Finite Element Method
Meshless Method
5. Illustrative Examples
5.1. Static Bending Problems
5.1.1. Comparison Studies
5.1.2. Parametric Studies
5.2. Free Vibration Problems
5.2.1. Comparison Studies
5.2.2. Parametric Studies
5.3. Supplementary Notes
6. Conclusions
- The material length-scale parameters stiffen the FG microplate, resulting in less deflection and an increase in the lowest natural frequency.
- The higher the value of the inhomogeneity index, the softer the overall stiffness of the FG microplate, leading to a higher value of the microplate’s central deflection and a reduction in its lowest natural frequency.
- The higher the length-to-thickness ratio, the softer the overall stiffness of the FG microplate, leading to a greater value of the microplate’s central deflection and a reduction in its lowest natural frequency.
- The importance of the impact of various material length-scale parameters on the FG microplate’s central deflection and the lowest natural frequency of the microplate’s flexural mode is ordered, from greatest to least, as follows: the couple stress effect, the deviatoric strain gradient effect, and finally the dilatational strain gradient effect.
- The importance of the impact of various material length-scale parameters on the lowest natural frequency of the FG microplate’s extensional mode is arranged, in descending order, as follows: deviatoric strain gradient effect > couple stress effect > dilatational strain gradient effect.
- The effect of the material length-scale parameters on the lowest natural frequency of the FG microplate’s flexural mode is significantly greater than in its extensional mode.
- The impact of the material length-scale parameter l2 on the lowest natural frequency of the microplate’s flexural mode becomes saturated when its thickness is less than ; conversely, the effects of the dilatational and deviatoric strain gradients consistently influence the microplate’s lowest natural frequency in its flexural mode.
Author Contributions
Funding
Institutional Review Board Statement
Informed Consent Statement
Data Availability Statement
Conflicts of Interest
Abbreviations/Notations
| Abbreviations | |
| CCM | Classical continuum mechanics |
| CCST | Consistent couple stress theory |
| CNT | Carbon nanotube |
| CNTRC | Carbon nanotubes-reinforced composite |
| CPT | Classical plate theory |
| CSGT | Consistent strain gradient theory |
| CST | Couple stress theory |
| DQ | Differential quadrature |
| DRK | Differential reproducing kernel |
| EG | Exponentially graded |
| ENET | Eringen’s nonlocal elasticity theory |
| ESDT | Exponential shear deformation theory |
| FEM | Finite element method |
| FG | Functionally graded |
| FLM | Finite layer method |
| FOSDT | First-order shear deformation theory |
| GPL | Graphene platelet |
| GPLRC | Graphene platelet-reinforced composite |
| HOSDT | Higher-order shear deformation theory |
| HSDT | Hyperbolic shear deformation theory |
| LPGM | Local Petrov–Galerkin meshless |
| MCST | Modified couple stress theory |
| MSGT | Modified strain gradient theory |
| RSDT | Refined shear deformation theory |
| SDT | Shear deformation theory |
| SGT | Strain gradient theory |
| SSDT | Sinusoidal shear deformation theory |
| SWCNT | Single-walled carbon nanotubes |
| TOSDT | Third-order shear deformation theory |
| TSNDT | Transverse shear and normal deformation theory |
| UD | Uniformly distributed |
| 2D | Two-dimensional |
| 3D | Three-dimensional |
| Notations | |
| The relevant undetermined coefficients for unknowns and its r-th derivatives for the DQ method | |
| The complementary strain energy | |
| The relevant matrices in the Galerkin weak formulation | |
| The elastic coefficients | |
| The effective Young’s modulus of a typical material | |
| Young’s modulus in the l-direction of a typical material k | |
| The longitudinal modulus of a typical material | |
| The transverse modulus of a typical material | |
| f(z) | A specific function of z characterizing the through-thickness direction of the transverse shear deformations |
| Shear modulus related to the ij-plane of a typical material k | |
| h | The thickness of a microplate |
| The material length-scale parameters for the MCST and CCST | |
| The material length-scale parameters related to the effects of the dilatational and deviatoric strain gradients and couple stress for the CSGT and MSGT | |
| L | The Lagrange functional |
| The length of a microplate | |
| The width of a microplate | |
| A general material property on the bottom surface of a microplate | |
| A general material property on the top surface of a microplate | |
| The components of the unit normal vectors of the edges of a microplate | |
| The shape functions for the reference point l for the finite element method | |
| The applied resultant forces | |
| The magnitude of the applied load | |
| The relevant stiffness matrices | |
| T | The kinetic energy |
| u | The mid-plane displacement in the x-direction of a microplate |
| The displacement tensor | |
| v | The mid-plane displacement in the y-direction of a microplate |
| w | The mid-plane displacement in the z-direction of a microplate |
| The dimensionless deflection of a microplate | |
| W | The work performed |
| The weight fraction of a typical material k | |
| The weight index of a typical material k | |
| The volume fraction of a typical material k | |
| The volume fraction index of a typical material k | |
| The variational operator | |
| The strain tensor | |
| The von Kármán second-order strains | |
| The parameters describing the geometric dimensions of GPLs | |
| The inhomogeneity index for an EG microplate | |
| The inhomogeneity index for the power-law FG microplate | |
| The inhomogeneity index for the sigmoid FG microplate | |
| The material-property ratio between the top and bottom surfaces of a microplate | |
| The skew-symmetric part of the curvature tensor | |
| The CNT efficiency parameters | |
| The couple-stress tensor | |
| The parameters characterizing the geometrical dimensions of GPLs | |
| Reissner’s strain energy | |
| The mass density of a typical material k | |
| The symmetric part of the force-stress tensor | |
| The skew-symmetric part of the force-stress tensor | |
| The dimensionless stress tensor | |
| Poisson’s ratio for transverse strain in the j-direction when stressed in the i-direction | |
| The interpolation function of a reference node j for the meshless method | |
| The mid-plane shear rotation of a microplate | |
| The symmetric part of the curvature tensor | |
| Natural frequency and its dimensionless form | |
| The rotation tensor | |
References
- Koizumi, M. Recent progress of functionally graded materials in Japan. In Proceedings of the 16th Annual Conference on Composites and Advanced Ceramic Materials: Ceramic Engineering and Science Proceedings; Jhon, B.W., Jr., Ed.; The American Ceramic Society: Westerville, OH, USA, 1992; Volume 13, pp. 333–347. [Google Scholar]
- Koizumi, M. FGM activities in Japan. Compos. Part B 1997, 28, 1–4. [Google Scholar] [CrossRef]
- Van Doan, D.; Van Minh, P.; Van Ke, T.; Nhung, N.T.C.; Van Thom, D. An overview of functionally graded materials: From civil applications to defense and aerospace industries. J. Vib. Eng. Technol. 2025, 13, 68. [Google Scholar] [CrossRef]
- Shen, H.S. Functionally Graded Materials: Nonlinear Analysis of Plates and Shells; CRC Press: Boca Raton, FL, USA, 2009. [Google Scholar]
- Nikbakht, S.; Kamarian, S.; Shakeri, M. A review on optimization of composite structures Part II: Functionally graded materials. Compos. Struct. 2019, 214, 83–102. [Google Scholar] [CrossRef]
- Ding, S.; Wu, C.P. Optimization of material composition to minimize the thermal stresses induced in FGM plates with temperature-dependent material properties. Int. J. Mech. Mater. Des. 2018, 14, 527–549. [Google Scholar] [CrossRef]
- Wu, C.P.; Li, K.M. Multi-objective optimization of functionally graded beams using a genetic algorithm with non-dominated sorting. J. Compos. Sci. 2021, 5, 92. [Google Scholar] [CrossRef]
- Zhang, N.; Khan, T.; Guo, H.; Shi, S.; Zhong, W.; Zhang, W. Functionally graded materials: An overview of stability, buckling, and free vibration analysis. Adv. Mater. Sci. Eng. 2019, 2019, 1354150. [Google Scholar] [CrossRef]
- Ghatage, P.S.; Kar, V.R.; Sudhagar, P.E. On the numerical modelling and analysis of multi-directional functionally graded composite structures: A review. Compos. Struct. 2020, 236, 111837. [Google Scholar] [CrossRef]
- Jha, D.K.; Kant, T.; Singh, R.K. A critical review of recent research on functionally graded plates. Compos. Struct. 2013, 96, 833–849. [Google Scholar] [CrossRef]
- Punera, D.; Kant, T. A critical review of stress and vibration analyses of functionally graded shell structures. Compos. Struct. 2019, 210, 787–809. [Google Scholar] [CrossRef]
- Liew, K.M.; Zhao, X.; Ferreira, A.J.M. A review of meshless methods for laminated and functionally graded plates and shells. Compos. Struct. 2011, 93, 2031–2041. [Google Scholar] [CrossRef]
- Thai, H.T.; Kim, S.E. A review of theories for the modeling and analysis of functionally graded plates and shells. Compos. Struct. 2015, 128, 70–86. [Google Scholar] [CrossRef]
- Chen, D.; Gao, K.; Zhang, L. Functionally graded porous structures: Analyses, performances, and applications—A review. Thin-Walled Struct. 2023, 191, 111046. [Google Scholar] [CrossRef]
- Wu, C.P.; Liu, Y.C. A review of semi-analytical numerical methods for laminated composite and multilayered functionally graded elastic/piezoelectric plates and shells. Compos. Struct. 2016, 147, 1–15. [Google Scholar] [CrossRef]
- Wu, C.P.; Chiu, K.H.; Wang, Y.M. A review on the three-dimensional analytical approaches of multilayered and functionally graded piezoelectric plates and shells. CMC—Comput. Mater. Contin. 2008, 8, 93–132. [Google Scholar]
- Li, Z.; He, Y.; Lei, J.; Han, S.; Guo, S.; Liu, D. Experimental investigation on size-dependent higher-mode vibration of cantilever microbeams. Microsyst. Technol. 2019, 25, 3005–3015. [Google Scholar] [CrossRef]
- Lei, J.; He, Y.; Guo, S.; Li, Z.; Liu, D. Size-dependent vibration of nickel cantilever microbeams: Experment and gradient elasticity. Aip Adv. 2016, 6, 105202. [Google Scholar] [CrossRef]
- Ince, R.; Yalcin, E.; Arslan, A. Size-dependent response of dowel action in R.C. members. Eng. Struct. 2007, 29, 955–961. [Google Scholar] [CrossRef]
- Chang, T.H.; Cheng, G.; Li, C.; Zhu, Y. On the size-dependent elasticity of penta-twinned silver nanowires. Extrem. Mech. Lett. 2016, 8, 177–183. [Google Scholar] [CrossRef]
- Pharr, G.M.; Herbert, E.G.; Gao, Y. The indentation size effect: A critical examination of experimental observations and mechanistic interpretations. Annu. Rev. Mater. 2010, 40, 271–292. [Google Scholar] [CrossRef]
- Fleck, N.A.; Muller, G.M.; Ashby, M.F.; Hutchinson, J.W. Strain gradient plasticity: Theory and experiment. Acta Metall. Mater. 1994, 42, 475–487. [Google Scholar] [CrossRef]
- Lam, D.C.C.; Yang, F.; Chong, A.C.M.; Wang, J.; Tong, P. Experiments and theory in strain gradient elasticity. J. Mech. Phys. Solids 2003, 51, 1477–1508. [Google Scholar] [CrossRef]
- McFarland, A.W.; Colton, J.S. Role of material microstructure in plate stiffness with relevance to microcantilever sensors. J. Micromech. Microeng. 2005, 15, 1060–1067. [Google Scholar] [CrossRef]
- Eringen, A.C. Theory of micropolar elasticity. In Microcontinuum Field Theories; Eringen, A.C., Ed.; Springer: New York, NY, USA, 1999; pp. 101–248. [Google Scholar]
- Fares, M.E.; Salem, M.G.; Atta, D.; Elmarghany, M.K. Mixed variational principle for micropolar elasticity and an accurate two-dimensional plate model. Eur. J. Mech. A/Solids 2023, 99, 104870. [Google Scholar] [CrossRef]
- Athanasiadis, A.E.F.; Budzik, M.K.; Fernando, D.; Dias, M.A. On micropolar elastic foundations. Eur. J. Mech. A/Solids 2024, 105, 105277. [Google Scholar] [CrossRef]
- Eringen, A.C.; Edelen, D.G.B. On nonlocal elasticity. Int. J. Eng. Sci. 1972, 10, 233–248. [Google Scholar] [CrossRef]
- Eringen, A.C. Theory of nonlocal thermoelasticity. Int. J. Eng. Sci. 1974, 12, 1063–1077. [Google Scholar] [CrossRef]
- Eringen, A.C. Theories of nonlocal plasticity. Int. J. Eng. Sci. 1983, 21, 741–751. [Google Scholar] [CrossRef]
- Shaat, M.; Ghavanloo, E.; Fazelzadeh, S.A. Review on nonlocal continuum mechanics: Physics, material applicability, and mathematics. Mech. Mater. 2020, 150, 103587. [Google Scholar] [CrossRef]
- Mindlin, R.D.; Eshel, N.N. On first strain-gradient theories in linear elasticity. Int. J. Solids Struct. 1968, 4, 109–124. [Google Scholar] [CrossRef]
- Polyzos, D.; Fotiadis, D.I. Derivation of Mindlin’s first and second strain gradient elastic theory via simple lattice and continuum models. Int. J. Solids Struct. 2012, 49, 470–480. [Google Scholar] [CrossRef]
- Zhao, J.; Pedroso, D. Strain gradient theory in orthogonal curvilinear coordinates. Int. J. Solids Struct. 2008, 45, 3507–3520. [Google Scholar] [CrossRef]
- Ferrari, M.; Granik, V.T.; Imam, A. Introduction to doublet mechanics. In Advanced in Doublet Mechanics: 45; Ferrari, M., Granik, V.T., Imam, A., Nadeau, J.C., Eds.; Lecture Notes in Physics Monographs; Springer: Berlin/Heidelberg, Germany, 1997. [Google Scholar]
- Mon, K.; Ferrari, M. Doublet thermomechanics. In Advanced in Doublet Mechanics: 45; Ferrari, M., Granik, V.T., Imam, A., Nadeau, J.C., Eds.; Lecture Notes in Physics Monographs; Springer: Berlin/Heidelberg, Germany, 1997. [Google Scholar]
- Granik, V.T. Comparison with other theories. In Advanced in Doublet Mechanics: 45; Ferrari, M., Granik, V.T., Imam, A., Nadeau, J.C., Eds.; Lecture Notes in Physics Monographs; Springer: Berlin/Heidelberg, Germany, 1997. [Google Scholar]
- Mindlin, R.D.; Tierstem, H.F. Effects of couple-stresses in linear elasticity. Arch. Ration. Mech. Anal. 1962, 11, 415–448. [Google Scholar] [CrossRef]
- Toupin, R.A. Theories of elasticity with couple-stress. Arch. Ration. Mech. Anal. 1964, 17, 85–112. [Google Scholar] [CrossRef]
- Koiter, W.T. Couple stresses in the theory of elasticity I and II. Phil. Trans. Roy. Soc. Lond. B 1964, 67, 17–44. [Google Scholar]
- Yang, F.; Chong, A.C.M.; Lam, D.C.C.; Tong, P. Couple stress-based strain gradient theory for elasticity. Int. J. Solids Struct. 2002, 39, 2731–2743. [Google Scholar] [CrossRef]
- Hadjesfandiari, A.R.; Dargush, G.F. Couple stress theory for solids. Int. J. Solids Struct. 2011, 48, 2496–2510. [Google Scholar] [CrossRef]
- Hadjesfandiari, A.R.; Dargush, G.F. Fundamental solutions for isotropic size-dependent couple stress elasticity. Int. J. Solids Struct. 2013, 50, 1253–1265. [Google Scholar] [CrossRef]
- Hadjesfandiari, A.R. Size-dependent thermoelasticity. Latin Amer. J. Solids Struct. 2014, 11, 1679–1708. [Google Scholar] [CrossRef]
- Hadjesfandiari, A.R. Size-dependent piezoelectricity. Int. J. Solids Struct. 2013, 50, 2781–2791. [Google Scholar] [CrossRef]
- Wu, C.P.; Chang, T.Y. A comparative study of consistent couple stress and strain gradient theories on the mechanical behaviors of functionally gradient microplates using the local Petrov-Galerkin meshless method. Thin-Walled Struct. 2025, 215, 113527. [Google Scholar] [CrossRef]
- Askes, H.; Aifantis, E.C. Gradient elasticity in statics and dynamics: An overview of formulations, length scale identification procedures, finite element implementations and new results. Int. J. Solids Struct. 2011, 48, 1962–1990. [Google Scholar] [CrossRef]
- Hassanpour, S.; Heppler, G.R. Micropolar elasticity theory: A survey of linear isotropic equations, representative notations, and experimental investigations. Math. Mech. Solids 2015, 22, 224–242. [Google Scholar] [CrossRef]
- Thai, H.T.; Vo, T.P.; Nguyen, T.K.; Kim, S.E. A review of continuum mechanics models for size-dependent analysis of beams and plates. Compos. Struct. 2017, 177, 196–219. [Google Scholar] [CrossRef]
- Farajpour, A.; Ghayesh, M.H.; Farokhi, H. A review on the mechanics of nanostructures. Int. J. Eng. Sci. 2018, 133, 231–263. [Google Scholar] [CrossRef]
- Ghayesh, M.H.; Farajpour, A. A review on the mechanics of functionally graded nanoscale and microscale structures. Int. J. Eng. Sci. 2019, 137, 8–36. [Google Scholar] [CrossRef]
- Wu, C.P.; Yu, J.J. A review of mechanical analysis of rectangular nanobeams and single-, double-, and multi-walled carbon nanotubes using Eringen’s nonlocal elasticity theory. Arch. Appl. Mech. 2019, 89, 1761–1792. [Google Scholar] [CrossRef]
- Wu, C.P.; Hu, H.X. A review of dynamic analyses of single-, and multi-layered graphene sheets/nanoplates using various nonlocal continuum mechanics-based plate theories. Acta Mech. 2021, 232, 4497–4531. [Google Scholar] [CrossRef]
- Kong, S. A review on the size-dependent models of micro-beam and micro-plate based on the modified couple stress theory. Arch. Computat. Methods Eng. 2022, 29, 1–31. [Google Scholar] [CrossRef]
- Roudbari, M.A.; Jorshari, T.D.; Lu, C.; Ansari, R.; Kouzani, A.Z.; Amabili, M. A review of size-dependent continuum mechanics models for micro- and nano-structures. Thin-Walled Struct. 2022, 170, 108562. [Google Scholar] [CrossRef]
- Nuhu, A.A.; Safaei, B. A comprehensive review on the vibration analyses of small-scaled plate-based structures by utilizing the nonclassical continuum elasticity theories. Thin-Walled Struct. 2022, 179, 109622. [Google Scholar] [CrossRef]
- Shen, H.S.; Xiang, Y. Nonlinear vibration of nanotube-reinforced composite cylindrical shells in thermal environments. Comput. Methods Appl. Mech. Eng. 2012, 213, 196–205. [Google Scholar] [CrossRef]
- Zhao, S.; Zhao, Z.; Yang, Z.; Ke, L.; Kitipornchai, S.; Yang, J. Functionally graded graphene reinforced composite structures: A review. Eng. Struct. 2020, 210, 110339. [Google Scholar] [CrossRef]
- Song, M.; Kitipornchai, S.; Yang, J. Free and forced vibrations of functionally graded polymer composite plates reinforced with graphene platelets. Compos. Struct. 2017, 159, 579–588. [Google Scholar] [CrossRef]
- Reddy, J.N. Energy and Variational Methods in Applied Mechanics; John Wiley & Sons Ltd.: Hoboken, NJ, USA, 2017. [Google Scholar]
- Wang, Y.M.; Chen, S.M.; Wu, C.P. A meshless collocation method based on the differential reproducing kernel interpolation. Comput. Mech. 2010, 45, 585–606. [Google Scholar] [CrossRef]
- Wu, C.P.; Chang, R.S. A Hermitian C2 differential reproducing kernel interpolation meshless method for the 3D microstructure-dependent static flexural analysis of simply supported and functionally graded microplates. CMES-Comput. Methods Eng. Sci. 2024, 141, 917–949. [Google Scholar]
- Wu, C.P.; Chou, Y.Q. A size-dependent meshless differential reproducing kernel point method for static buckling and free vibration analyses of functionally graded microplates subjected to bi-axial compression. Acta Mech. 2025. submitted for review. [Google Scholar] [CrossRef]
- Wu, C.P.; Lyu, Y.S. An asymptotic consistent couple stress theory for the three-dimensional free vibration analysis of functionally graded microplates resting on an elastic medium. Math. Methods Appl. Sci. 2023, 46, 4891–4919. [Google Scholar] [CrossRef]
- Salehipour, H.; Nahvi, H.; Shahidi, A.R. Exact closed-form free vibration analysis for functionally graded micro/nano plates based on modified couple stress and three-dimensional elasticity theories. Compos. Struct. 2015, 124, 283–291. [Google Scholar] [CrossRef]
- Salehipour, H.; Shahgholian-Ghahfarokhi, D.; Shahsavar, A.; Civalek, O.; Edalati, M. Static deflection and free vibration analysis of functionally graded and porous cylindrical micro/nano shells based on the three-dimensional elasticity and modified couple stress theories. Mech. Based Des. Struct. Mach. 2020, 50, 2184–2205. [Google Scholar] [CrossRef]
- Salehipour, H.; Shahsavar, A. A three-dimensional elasticity model for free vibration analysis of functionally graded micro/nano plates: Modified strain gradient theory. Compos. Struct. 2018, 206, 415–424. [Google Scholar] [CrossRef]
- Wu, C.P.; Hsu, C.H. A three-dimensional weak formulation for stress, deformation, and free vibration analyses of functionally graded microscale plates based on the consistent couple stress theory. Compos. Struct. 2022, 296, 115829. [Google Scholar] [CrossRef]
- Wu, C.P.; Lu, Y.A. A Hermite-family C1 finite layer method for the three-dimensional free vibration analysis of exponentially graded piezoelectric microplates based on the consistent couple stress theory. Int. J. Struct. Stab. Dyn. 2023, 23, 2350044. [Google Scholar] [CrossRef]
- Wu, C.P.; Tan, T.F.; Hsu, H.T. A size-dependent finite element method for the 3D free vibration analysis of functionally graded graphene platelets-reinforced composite cylindrical microshells based on the consistent couple stress theory. Materials 2023, 16, 2363. [Google Scholar] [CrossRef] [PubMed]
- Wu, C.P.; Wu, M.L.; Hsu, H.T. 3D size-dependent dynamic instability analysis of FG cylindrical microshells subjected to combinations of periodic axial compression and external pressure using a Hermitian C2 finite layer method based on the consistent couple stress theory. Materials 2024, 17, 810. [Google Scholar] [CrossRef]
- Wu, C.P.; Hsu, H.T. A Hermitian Cn finite cylindrical layer method for 3D size-dependent buckling and free vibration analyses of simply supported FG piezoelectric cylindrical sandwich microshells subjected to axial compression and electric voltages. ZAMM-J. Appl. Math. Mech. 2024, 104, e202300472. [Google Scholar] [CrossRef]
- Wu, C.P.; Lu, Y.S. 3D static bending analysis of functionally graded piezoelectric microplates resting on an elastic medium subjected to electro-mechanical loads using a size-dependent Hermitian C2 finite layer method based on the consistent couple stress theory. Mech. Bas. Des. Struct. Mach. 2024, 52, 3799–3841. [Google Scholar] [CrossRef]
- Wu, C.P.; Chang, R.S. Semi-analytical differential reproducing kernel element method for the size-dependent free vibration characteristics analysis of functionally graded doubly curved microscale shells. Int. J. Struct. Stab. Dyn. 2025, 2650260. [Google Scholar] [CrossRef]
- Lou, J.; He, L.; Du, J. A unified higher order plate theory for functionally graded microplates based on the modified couple stress theory. Compos. Struct. 2015, 133, 1036–1047. [Google Scholar] [CrossRef]
- Wu, C.P.; Hu, H.X. A unified size-dependent plate theory for static bending and free vibration analyses of micro- and nano-scale plates based on the consistent couple stress theory. Mech. Mater. 2021, 162, 104085. [Google Scholar] [CrossRef]
- Wang, Y.; Xie, K.; Fu, T.; Zhang, W. A unified modified couple stress model for size-dependent free vibrations of FG cylindrical microshells based on high-order shear deformation theory. Eur. Phys. J. Plus 2020, 135, 71. [Google Scholar] [CrossRef]
- Tran, V.T.; Nguyen, T.K.; Nguyen, P.T.T.; Vo, T.P. Stochastic vibration and buckling analysis of functionally graded microplates with a unified higher-order shear deformation theory. Thin-Walled Struct. 2022, 177, 109473. [Google Scholar] [CrossRef]
- Wu, C.P.; Lin, E.L. Free vibration analysis of porous functionally graded piezoelectric microplates resting on an elastic medium subjected to electric voltages. Arch. Mech. 2022, 74, 463–511. [Google Scholar]
- Shaban, M.; Minaeii, S.; Kalhori, H. Size-dependent flexural analysis of thick microplates using consistent couple stress theory. J. Compos. Sci. 2025, 9, 142. [Google Scholar] [CrossRef]
- Wu, C.P.; Hsu, C.D. A unified size-dependent theory for analyzing the free vibration behavior of an FG microplate under fully simply supported conditions and magneto-electro-thermo-mechanical loads considering couple stress and thickness stretching effects. J. Compos. Sci. 2025, 9, 201. [Google Scholar] [CrossRef]
- Tang, F.; Dong, F.; Guo, Y.; Shi, S.; Jiang, J.; Liu, S. Size-dependent buckling and post-buckling analysis of the functionally graded thin plate Al-Cu material based on a modified couple stress theory. Nanomaterials 2022, 12, 3502. [Google Scholar] [CrossRef]
- Wang, Y.G.; Lin, W.H.; Zhou, C.L. Nonlinear bending of size-dependent circular microplates based on the modified couple stress theory. Arch. Appl. Mech. 2014, 84, 391–400. [Google Scholar] [CrossRef]
- Wang, Y.G.; Lin, W.H.; Liu, N. Large amplitude free vibration of size-dependent circular microplates based on the modified couple stress theory. Int. J. Mech. Sci. 2013, 71, 51–57. [Google Scholar] [CrossRef]
- Thai, H.T.; Choi, D.H. Size-dependent functionally graded Kirchhoff and Mindlin plate models based on a modified couple stress theory. Compos. Struct. 2013, 95, 142–153. [Google Scholar] [CrossRef]
- Simsek, M.; Aydin, M. Size-dependent forced vibration of an imperfect functionally graded (FG) microplate with porosities subjected to a moving load using the modified couple stress theory. Compos. Struct. 2017, 160, 408–421. [Google Scholar] [CrossRef]
- Ke, L.L.; Wang, Y.W.; Yang, J.; Kitipornchai, S. Free vibration of size-dependent Mindlin microplates based on the modified couple stress theory. J. Sound Vib. 2012, 331, 94–106. [Google Scholar] [CrossRef]
- Kim, J.; Zur, K.K.; Reddy, J.N. Bending, free vibration, and buckling of modified couple stress-based functionally graded porous microplates. Compos. Struct. 2019, 209, 879–888. [Google Scholar] [CrossRef]
- Yekani, S.M.A.; Fallah, F. A Levy solution for bending, buckling, and vibration of Mindlin microplates with a modified couple stress theory. SN Appl. Sci. 2020, 2, 2169. [Google Scholar] [CrossRef]
- Tounsi, A.; Kaci, A.; Tounsi, A.; Al-Osta, M.A.; Yaylaci, M.; Mohamed, S.M.Y.; Althobaiti, S.; Selim, M.M. Quasi-3D plate theory for size-dependent static and free vibration analysis of FG microplate with porosities based on a modified couple stress theory. Mech. Adv. Mater. Struct. 2025. [Google Scholar] [CrossRef]
- Jung, W.Y.; Park, W.T.; Han, S.C. Bending and vibration analysis of S-FGM microplates embedded in Pasternak elastic medium using the modified couple stress theory. Int. J. Mech. Sci. 2014, 87, 150–162. [Google Scholar] [CrossRef]
- Beitollahi, A.; Bazargan-Lari, Y.; Janghorban, M. On the variable length scale parameter in functionally graded non-porous and porous microplate/nanoplate. Mech. Adv. Mater. Struct. 2024, 31, 12481–12503. [Google Scholar] [CrossRef]
- Cuong-Le, T.; Hoang-Le, M.; Ferreira, A.J.M.; Wahab, M.A. Small size-effect isogeometric analysis for linear and nonlinear responses of porous metal foam microplate. Compos. Struct. 2022, 285, 115189. [Google Scholar] [CrossRef]
- Arefi, M.; Kiani, M. Magneto-electro-mechanical bending analysis of three-layered exponentially graded microplate with piezomagnetic face-sheets resting on Pasternak’s foundation via MCST. Mech. Adv. Mater. Struct. 2018, 27, 383–395. [Google Scholar] [CrossRef]
- Van Hieu, D.; Hoa, N.T.; Chan, D.Q. Size-dependent mechanical analysis of imperfect FG Mindlin microplate with porosities resting on elastic foundation through the modified couple stress theory. Iran J. Sci. Technol. Trans. Mech. Eng. 2023, 47, 163–185. [Google Scholar] [CrossRef]
- Wang, S.; Hong, J.; Yin, S.; Zhang, G. Isogeometric analysis of magneto-electro-elastic functionally graded Mindlin microplates. Thin-Walled Struct. 2024, 198, 111740. [Google Scholar] [CrossRef]
- Yin, B.; Fang, J. Modified couple stress-based free vibration and dynamic responses of rotating FG multilayer composite microplates reinforced with graphene platelets. Arch. Appl. Mech. 2023, 93, 1051–1079. [Google Scholar] [CrossRef]
- Jung, W.Y.; Han, S.C.; Park, W.T. A modified couple stress theory for buckling analysis of S-FGM nanoplates embedded in Pasternak elastic medium. Compos. Part B 2014, 60, 746–756. [Google Scholar] [CrossRef]
- Trinh, L.C.; Vo, T.P.; Thai, H.T.; Mantari, J.L. Size-dependent behavior of functionally graded sandwich microplates under mechanical and thermal loads. Compos. Part B 2017, 124, 218–241. [Google Scholar] [CrossRef]
- Tranh, C.L.; Nguyen, T.N.; Vu, T.H.; Khatir, S.; Wahab, M.A. A geometrically nonlinear size-dependent hypothesis for porous functionally graded microplate. Eng. Comput. 2022, 38, 449–460. [Google Scholar]
- Lei, J.; He, Y.; Zhang, B.; Liu, D.; Shen, L.; Guo, S. A size-dependent FG microplate model incorporating higher-order shear and normal deformation effects based on a modified couple stress theory. Int. J. Mech. Sci. 2015, 104, 8–23. [Google Scholar] [CrossRef]
- Thai, H.T.; Kim, S.E. A size-dependent functionally graded Reddy plate model based on a modified couple stress theory. Compos. Part B 2013, 45, 1636–1645. [Google Scholar] [CrossRef]
- Fang, J.; Yin, B.; Li, L.; Zhang, D. Thermal buckling and vibration analysis of rotating porous FG GNPs-reinforced Reddy microplates. Aerosp. Sci. Technol. 2023, 137, 108298. [Google Scholar] [CrossRef]
- Arefi, M.; Firouzeh, S.; Bidgoli, M.R.E.; Civalek, O. Analysis of porous microplates reinforced with FG-GNPs based on Reddy plate theory. Compos. Struct. 2020, 247, 112391. [Google Scholar] [CrossRef]
- Coskun, S.; Kim, J.; Toutanji, H. Bending, free vibration, and buckling analysis of functionally graded porous microplates using a general third-order plate theory. J. Compos. Sci. 2019, 3, 15. [Google Scholar] [CrossRef]
- Afshari, H.; Adab, N. Size-dependent buckling and vibration analyses of GNP reinforced microplates based on the quasi-3D sinusoidal shear deformation theory. Mech. Based Des. Struct. Mach. 2020, 50, 184–205. [Google Scholar] [CrossRef]
- Thanh, C.L.; Tran, L.V.; Vu-Huu, T.; Nguyen-Xuan, H.; Abdel-Wahab, M. Size-dependent nonlinear analysis and damping responses of FG-CNTRC micro-plates. Comput. Methods Appl. Mech. Eng. 2019, 353, 253–276. [Google Scholar] [CrossRef]
- Zhang, C.; Eyvazian, A.; Alkhedher, M.; Alwetaishi, M.; Ahammad, N.A. Modified couple stress theory application to analyze mechanical buckling behavior of three-layer rectangular microplates with honeycomb core and piezoelectric face sheets. Compos. Struct. 2022, 292, 115582. [Google Scholar] [CrossRef]
- Sobhy, M.; Zenkour, A.M. A comprehensive study on the size-dependent hygrothermal analysis of exponentially graded microplates on elastic foundations. Mech. Adv. Mater. Struct. 2019, 27, 816–830. [Google Scholar] [CrossRef]
- Arefi, M.; Adab, N. Coupled stress based formulation for static and dynamic analyses of a higher-order shear and normal deformable FG-GPL reinforced microplates. Waves Random Complex Media 2021, 34, 4244–4269. [Google Scholar] [CrossRef]
- Khorasani, M.; Soleimani-Javid, Z.; Arshid, E.; Lampani, L.; Civalek, O. Thermal-elastic buckling of honeycomb micro plates integrated with FG-GNPs reinforced epoxy skins with stretching effect. Compos. Struct. 2021, 258, 113430. [Google Scholar] [CrossRef]
- Mohseni, E.; Saidi, A.R.; Mohammadi, M. Vibration analysis of thick functionally graded microplates using HOSNDPT and modified couple stress theory. Iran J. Sci. Technol. Trans. Mech. Eng. 2019, 43, 641–651. [Google Scholar] [CrossRef]
- Mohseni, E.; Saidi, A.R.; Mohammadi, M. Bending-stretching analysis of thick functionally graded microplates using higher-order shear and normal deformable plate theory. Mech. Adv. Mater. Struct. 2017, 24, 1221–1230. [Google Scholar] [CrossRef]
- Thai, C.H.; Ferreira, A.J.M.; Tran, T.D.; Phung-Van, P. A size-dependent quasi-3D isogeometric model for functionally graded graphene platelet-reinforced composite microplates based on the modified couple stress theory. Compos. Struct. 2020, 234, 111695. [Google Scholar] [CrossRef]
- Radwan, A.F.; Sobhy, M. Transient instability analysis of viscoelastic sandwich CNTs-reinforced microplates exposed 2D magnetic field and hygrothermal conditions. Compos. Struct. 2020, 245, 112349. [Google Scholar] [CrossRef]
- He, L.; Lou, J.; Zhang, E.; Wang, Y.; Bai, Y. A size-dependent four variable refined plate model for functionally graded microplates based on modified couple stress theory. Compos. Struct. 2015, 130, 107–115. [Google Scholar] [CrossRef]
- Mohammadpour, A.; Mehrabadi, S.J.; Yousefi, P.; Mohseni-Monfared, H. Free vibration analysis of functionally graded porous elliptical microshells using modified couple stress theory. Waves Random Complex Media 2022, 35, 947–972. [Google Scholar] [CrossRef]
- Razavi, H.; Babadi, A.F.; Beni, Y.T. Free vibration analysis of functionally graded piezoelectric cylindrical nanoshell based on consistent couple stress theory. Compos. Struct. 2017, 160, 1299–1309. [Google Scholar] [CrossRef]
- Tang, F.; He, S.; Shi, S.; Xue, S.; Dong, F.; Liu, S. Analysis of size-dependent linear static bending, buckling, and free vibration based on a modified couple stress theory. Materials 2022, 15, 7583. [Google Scholar] [CrossRef] [PubMed]
- Zeighampour, H.; Shojaeian, M. Buckling analysis of functionally graded sandwich cylindrical micro/nanoshells based on the couple stress theory. J. Sandw. Struct. Mater. 2017, 21, 917–937. [Google Scholar] [CrossRef]
- Beni, T.; Mehralian, F.; Zeighampour, H. The modified couple stress functionally graded cylindrical thin shell formulation. Mech. Adv. Mater. Struct. 2016, 23, 791–801. [Google Scholar] [CrossRef]
- Farokhi, H.; Ghayesh, M.H. Nonlinear mechanical behavior of microshells. Int. J. Eng. Sci. 2018, 127, 127–144. [Google Scholar] [CrossRef]
- Wang, Y.Q.; Liu, Y.F.; Zu, J.W. Size-dependent vibration of circular cylindrical polymeric microshells reinforced with graphene platelets. Int. J. Appl. Mech. 2019, 11, 1950036. [Google Scholar] [CrossRef]
- Khuat Duc, D.; Nguyen Tuan, L.; Dao Nhu, M.; Hong, N.T.; Van Ke, T.; Minh, P.V. A novel isogeometric model for dynamic buckling analysis of doubly curved two-directional functionally graded porous shallow microshells in thermal environments via variable length-scale parameters. Mech. Based Des. Struct. Mach. 2024, 52, 8610–8638. [Google Scholar] [CrossRef]
- Liu, Y.; Wang, Y. Size-dependent free vibration and buckling of three-dimensional graphene foam microshells based on modified couple stress theory. Materials 2019, 12, 729. [Google Scholar] [CrossRef]
- Abbaspour, F. Free vibration analysis of simply-supported graphene platelets reinforced laminated piezoelectric cylindrical microshells. Int. J. Comput. Methods Eng. Sci. Mech. 2021, 23, 461–474. [Google Scholar] [CrossRef]
- Karami, B.; Ghayesh, M.H.; Hussain, S.; Amabili, M. On the size-dependent vibrations of doubly curved porous shear deformable FGM microshells. Int. J. Mech. Syst. Dyn. 2024, 4, 387–405. [Google Scholar] [CrossRef]
- Lou, J.; He, L.; Wu, H.; Du, J. Pre-buckling and buckling analyses of functionally graded microshells under axial and radial loads based on the modified couple stress theory. Compos. Struct. 2016, 142, 226–237. [Google Scholar] [CrossRef]
- Zeighampour, H.; Shojaeian, M. Size-dependent vibration of sandwich cylindrical nanoshells with functionally graded material based on the couple stress theory. J. Braz. Soc. Mech. Sci. Eng. 2017, 39, 1789–2800. [Google Scholar] [CrossRef]
- Mirfatah, S.M.; Shahmohammadi, M.A.; Salehipour, H. Size-dependent dynamic stability of nanocomposite enriched microshell panels in thermal environment using the modified couple stress theory. Eng. Anal. Bound. Elem. 2022, 143, 483–500. [Google Scholar] [CrossRef]
- Abbaspour, F.; Hosseini, S. Thermal buckling of piezoelectric graphene platelets reinforced cylindrical microshells using Navier’s and meshless methods. Mech. Based Des. Struct. Mach. 2023, 52, 5653–5672. [Google Scholar] [CrossRef]
- SafarPour, H.; Hosseini, M.; Ghadiri, M. Influence of three-parameter viscoelastic medium on vibration behavior of a cylindrical nonhomogeneous microshell in thermal environment: An exact solution. J. Therm. Stress. 2017, 40, 1353–1367. [Google Scholar] [CrossRef]
- Abbaspour, F.; Hosseini, S. Free vibration analyses of graphene platelets reinforced laminated piezoelectric cylindrical microshells using the Chebyshev-Ritz formulation. J. Vib. Eng. Technol. 2022, 10, 2129–2141. [Google Scholar] [CrossRef]
- Veysi, A.; Shabani, R.; Rezazadeh, G. Nonlinear vibration of micro-doubly curved shallow shells based on the modified couple stress theory. Nonlinear Dyn. 2017, 87, 2051–2065. [Google Scholar] [CrossRef]
- Sheng, G.G.; Wang, X. Nonlinear resonance responses of size-depenednt functionally graded cylindrical microshells with thermal effect and elastic medium. Eng. Comput. 2022, 38, 725–742. [Google Scholar] [CrossRef]
- Ghadiri, M.; SafarPour, H. Free vibration analysis of size-dependent functionally graded porous cylindrical microshells in thermal environment. J. Therm. Stress. 2016, 40, 55–71. [Google Scholar] [CrossRef]
- Gholami, R.; Ansari, R.; Darvizeh, A.; Sahmani, S. Axial buckling and dynamic stability of functionally graded microshells based on the modified couple stress theory. Int. J. Struct. Stab. Dyn. 2015, 15, 1450070. [Google Scholar] [CrossRef]
- Beni, Y.T.; Mehralian, F.; Razavi, H. Free vibration analysis of size-dependent shear deformable functionally graded cylindrical shell on the basis of modified couple stress theory. Compos. Struct. 2015, 120, 65–78. [Google Scholar] [CrossRef]
- Ma, H.M.; Gao, X.L.; Reddy, J.N. A non-classical Mindlin plate model based on a modified couple stress theory. Acta Mech. 2011, 220, 217–235. [Google Scholar] [CrossRef]
- Mehditabar, A.; Ansari Sadrabadi, S.; Walker, J. Thermal buckling analysis of a functionally graded microshell based on higher-order shear deformation and modified couple stress theories. Mech. Based. Des. Struct. Mach. 2021, 51, 2812–2830. [Google Scholar] [CrossRef]
- Sahmani, S.; Ansari, R.; Gholami, R.; Darvizeh, A. Dynamic stability analysis of functionally graded higher-order shear deformable microshells based on the modified couple stress theory. Compos. Part B 2013, 51, 44–53. [Google Scholar] [CrossRef]
- Arefi, M. MCST bending formulation of a cylindrical microshell based on TSDT. Earthq. Struct. 2024, 26, 299–309. [Google Scholar]
- Zhang, M.; Jiang, X.; Arefi, M. Dynamic formulation of a sandwich microshell considering modified couple stress and thickness-stretching. Eur. Phys. J. Plus 2023, 138, 227. [Google Scholar] [CrossRef]
- Lori Dehsaraji, M.; Arefi, M.; Loghman, A. Size dependent free vibration analysis of functionally graded piezoelectric micro/nano shell based on modified couple stress theory with considering thickness stretching. Def. Technol. 2021, 17, 119–134. [Google Scholar] [CrossRef]
- Lori Dehsaraji, M.; Loghman, A.; Arefi, M. Three-dimensional thermo-electro-mechanical buckling analysis of functionally graded piezoelectric micro/nano-shells based on modified couple stress theory considering thickness stretching effect. Mech. Adv. Mater. Struct. 2020, 28, 2030–2045. [Google Scholar] [CrossRef]
- Li, A.; Zhou, S.; Zhou, S.; Wang, B. A size-dependent model for bi-layered Kirchhoff micro-plate based on strain gradient elasticity theory. Compos. Struct. 2014, 113, 272–280. [Google Scholar] [CrossRef]
- Movassagh, A.A.; Mahmoodi, M.J. A microscale modeling of Kirchhoff plate based on modified strain-gradient elasticity theory. Eur. J. Mech. A/Solids 2013, 40, 50–59. [Google Scholar] [CrossRef]
- Wang, B.; Zhou, S.; Zhao, J.; Chen, X. A size-dependent Kirchhoff micro-plate model based on strain gradient elasticity theory. Eur. J. Mech. A/Solids 2011, 30, 517–574. [Google Scholar] [CrossRef]
- Hosseini, M.; Bahreman, M.; Jamalpoor, A. Using the modified strain gradient theory to investigate the size-dependent biaxial buckling analyses of an orthotropic multi-microplate system. Acta Mech. 2016, 227, 1621–1643. [Google Scholar] [CrossRef]
- Farahmand, H.; Naseralav, S.S.; Iranmanesh, A.; Mohammadi, M. Navier solution for buckling analysis of size-dependent functionally graded microplates. Lat. Am. J. Solids Struct. 2016, 13, 3161–3173. [Google Scholar] [CrossRef][Green Version]
- Mohammadi, M.; Mahani, M.F. An analytical solution for buckling analysis of size-dependent rectangular micro-plates according to the modified strain gradient and couple stress theories. Acta Mech. 2015, 226, 3477–3493. [Google Scholar] [CrossRef]
- Ansari, R.; Shojaei, M.F.; Mohammsdi, V.; Gholami, R.; Rouhi, H. Size-dependent thermal buckling and postbuckling of functionally graded annular microplates based on the modified strain gradient theory. J. Therm. Stress. 2013, 37, 174–201. [Google Scholar] [CrossRef]
- Ansari, R.; Gholami, R.; Shojaei, M.F.; Mohammadi, V.; Sahmani, S. Bending, buckling and free vibration analysis of size-dependent functionally graded circular/annular microplates based on the modified strain gradient elasticity theory. Eur. J. Mech. A/Solids 2015, 49, 251–267. [Google Scholar] [CrossRef]
- Markolefas, S.; Fafalis, D. Strain gradient theory based dynamic Mindlin-Reissner and Kirchhoff microplates with microstructural and micro-inertial effects. Dynamics 2021, 1, 49–94. [Google Scholar] [CrossRef]
- Ma, B.; Chen, K.Y.; Habibi, M.; Albaijan, I. Static/dynamic analyses of sandwich microplate based on modified strain gradient theory. Mech. Adv. Mater. Struct. 2023, 31, 5760–5767. [Google Scholar] [CrossRef]
- Gholami, R.; Ansari, R. A most general strain gradient plate formulation for size-dependent geometrically nonlinear free vibration analysis of functionally graded shear deformable rectangular microplates. Nonlinear Dyn. 2016, 84, 2403–2422. [Google Scholar] [CrossRef]
- Thai, S.; Thai, H.T.; Vo, T.P.; Patel, V.I. Size-dependent behavior of functionally graded microplates based on the modified strain gradient elasticity theory and isogeometric analysis. Comput. Struct. 2017, 190, 219–241. [Google Scholar] [CrossRef]
- Thai, C.H.; Ferreira, A.J.M.; Phung-Van, P. Size dependent free vibration analysis of multilayer functionally graded GPLRC microplates based on modified strain gradient theory. Compos. Part B 2019, 169, 174–188. [Google Scholar] [CrossRef]
- Wang, J.; Ma, B.; Gao, J.; Liu, H.; Safaei, B.; Sahmani, S. Nonlinear stability characteristics of porous graded composite microplates including various microstructural-dependent strain gradient tensors. Int. J. Appl. Mech. 2022, 24, 2150129. [Google Scholar] [CrossRef]
- Nguyen, L.B.; Thai, C.H.; Duong-Nguyen, N.; Nguyen-Xuan, H. A size-dependent isogeometric approach for vibration analysis of FG piezoelectric porous microplates using modified strain gradient theory. Eng. Comput. 2022, 38, 4415–4435. [Google Scholar]
- Sahmani, S.; Ansari, R. On the free vibration response of functionally graded higher-order shear deformable microplates based on the strain gradient elasticity theory. Compos. Struct. 2013, 95, 430–442. [Google Scholar] [CrossRef]
- Jain, V.; Kumar, R. Geometrically nonlinear dynamic analysis of a damped porous microplate resting on elastic foundations under transverse patch loadings. Mech. Adv. Mater. Struct. 2023, 31, 5454–5477. [Google Scholar] [CrossRef]
- Zhang, B.; He, Y.; Liu, D.; Shen, L.; Lei, J. An efficient size-dependent plate theory for bending, buckling, and free vibration analyses of functionally graded microplates resting on elastic foundation. Appl. Math. Modell. 2015, 39, 3814–3845. [Google Scholar] [CrossRef]
- Hung, P.T.; Thai, C.H.; Phung-Van, P. Isogeometric free vibration of honeycomb sandwich microplates with the graphene nanoplatelets reinforcement face sheets. Eng. Struct. 2024, 305, 117670. [Google Scholar] [CrossRef]
- Thai, C.H.; Ferreira, A.J.M.; Rabczuk, T.; Nguyen-Xuan, H. Size-dependent analysis of FG-CNTRC microplates based on modified strain gradient elasticity theory. Eur. J. Mech. A/Solids 2018, 72, 521–538. [Google Scholar] [CrossRef]
- Akgoz, B.; Civalek, O. A microstructure-dependent sinusoidal plate model based on the strain gradient elasticity theory. Acta Mech. 2015, 226, 2277–2294. [Google Scholar] [CrossRef]
- Farahmand, H. A variational approach for analytical buckling solution of moderately thick microplate using strain gradient theory incorporating two-variable refined plate theory: A benchmark study. J. Braz. Soc. Mech. Sci. Eng. 2021, 43, 125. [Google Scholar] [CrossRef]
- Thai, C.H.; Ferreira, A.J.M.; Nguyen-Xuan, H. Isogeometric analysis of size-dependent isotropic and sandwich functionally graded microplates based on modified strain gradient elasticity theory. Compos. Struct. 2016, 192, 274–288. [Google Scholar] [CrossRef]
- Ghayesh, M.H.; Farokhi, H. Nonlinear mechanics of doubly curved shallow microshells. Int. J. Eng. Sci. 2017, 119, 288–304. [Google Scholar] [CrossRef]
- Zeighampour, H.; Beni, Y.T. Cylindrical thin-shell model based on modified strain gradient theory. Int. J. Eng. Sci. 2014, 78, 27–47. [Google Scholar] [CrossRef]
- Qi, L.; Zhou, S. A size-dependent spherical microshell model based on strain gradient elasticity theory. Eur. J. Mech. A/Solids 2020, 84, 104087. [Google Scholar] [CrossRef]
- Tohidi, H.; Hosseini-Hashemi, S.H.; Maghsoudpour, A. Nonlinear size-dependent dynamic buckling analysis of embedded micro cylindrical shells reinforced with agglomerated CNYs using strain gradient theory. Microsyst. Technol. 2017, 23, 5727–5744. [Google Scholar] [CrossRef]
- Gholami, R.; Darvizeh, A.; Ansari, R.; Sadeghi, F. Vibration and buckling of first-order shear deformable circular cylindrical micro-/nano-shells based on Mindlin’s strain gradient elasticity theory. Eur. J. Mech. A/Solids 2016, 58, 76–88. [Google Scholar] [CrossRef]
- Le, T.M.; Vo, D.; Aung, Z.Y.; Atroshchenko, E.; Bui, T.Q.; Rungamornrat, J. Isogeometric analysis of shear-deformable, in-plane functionally graded microplates by Mindlin’s strain gradient theory. Eng. Comput. 2024, 40, 1397–1430. [Google Scholar] [CrossRef]
- Movahedfar, V.; Kheirikhah, M.M.; Mohammadi, Y.; Ebrahimi, F. Modified strain gradient theory for nonlinear vibration analysis of functionally graded piezoelectric doubly curved microshells. Proc. Instit. Mech. Eng. Sci. 2021, 236, 4219–4231. [Google Scholar] [CrossRef]
- Zhang, F.; Bai, C.Y.; Zhang, Y.; Cao, D.Y. Dynamic stability analysis of functionally graded three-dimensional graphene form cylindrical microshells using interior pressure based on modified strain gradient theory. Eur. Phys. J. Plus 2022, 137, 228. [Google Scholar] [CrossRef]
- Gholami, R.; Darvizeh, A.; Ansari, R.; Hosseinzadeh, M. Size-dependent axial buckling analysis of functionally graded circular cylindrical microshells based on the modified strain gradient elasticity theory. Meccanica 2014, 49, 1679–1695. [Google Scholar] [CrossRef]
- Hajilak, Z.E.; Pourghader, J.; Hashmabadi, D.; Bagh, F.S.; Habibi, M.; Safarpour, H. Multilayer GPLRC composite cylindrical nanoshell using modified strain gradient theory. Mech. Based Des. Struct. Mach. 2019, 47, 521–545. [Google Scholar] [CrossRef]
- Le, T.M.; Vo, D.; Rungamornrat, J.; Bui, T.Q. Strain-gradient theory for shear deformation free-form microshells: Governing equations of motion and general boundary conditions. Int. J. Solids Struct. 2022, 248, 111579. [Google Scholar] [CrossRef]
- Krishnan, N.M.A.; Ghosh, D. Buckling analysis of cylindrical thin-shells using strain gradient elasticity theory. Meccanica 2017, 52, 1369–1379. [Google Scholar] [CrossRef]
- Zhang, B.; He, Y.; Liu, D.; Shen, L.; Lei, J. Free vibration analysis of four-unknown shear deformable functionally graded cylindrical microshells based on the strain gradient elasticity theory. Compos. Struct. 2015, 119, 578–597. [Google Scholar] [CrossRef]
- Ashoori, A.; Mahmoodi, M.J. The modified version of strain gradient and couple stress theories in general curvilinear coordinates. Eur. J. Mech. A/Solids 2015, 49, 441–454. [Google Scholar] [CrossRef]
- Du, H.; Lim, M.K.; Lin, R.M. Application of generalized differential quadrature method to structural problems. Int. J. Numer. Methods Eng. 1994, 37, 1881–1896. [Google Scholar] [CrossRef]
- Bert, C.W.; Malik, M. Differential quadrature: A powerful new technique for analysis of composite structures. Compos. Struct. 1997, 3–4, 179–189. [Google Scholar] [CrossRef]
- Wu, C.P.; Lee, C.Y. Differential quadrature solution for the free vibration analysis of laminated conical shells with variable stiffness. Int. J. Mech. Sci. 2001, 43, 1853–1869. [Google Scholar] [CrossRef]
- Ansari, R.; Shojaei, M.F.; Mohammadi, V.; Gholami, R.; Darabi, M.A. Nonlinear vibrations of functionally graded Mindlin microplates based on the modified couple stress theory. Compos. Struct. 2014, 114, 124–134. [Google Scholar] [CrossRef]
- Hosseini-Hashemi, S.; Sharifpour, F.; Ilkhani, M.R. On the free vibrations of size-dependent closed micro/nano-spherical shell based on the modified couple stress theory. Int. J. Mech. Sci. 2016, 115–116, 501–515. [Google Scholar] [CrossRef]
- Zhang, B.; Li, H.; Kong, L.; Zhang, X.; Feng, Z. Strain gradient differential quadrature finite element for moderately thick microplates. Int. J. Numer. Methods Eng. 2020, 121, 5600–5646. [Google Scholar] [CrossRef]
- Ansari, R.; Gholami, R.; Faghih Shojaei, M.; Mohammadi, V.; Darabi, M.A. Thermal buckling analysis of a Mindlin rectangular FGM microplate based on the strain gradient theory. J. Therm. Stress. 2013, 36, 446–465. [Google Scholar] [CrossRef]
- Adab, N.; Arefi, M.; Amabili, M. A comprehensive vibration analysis of rotating truncated sandwich conical microshells including porous core and GPL-reinforced face-sheets. Compos. Struct. 2022, 279, 114761. [Google Scholar] [CrossRef]
- Emdadi, M.; Mohammadimehr, M.; Bargozini, F. Vibration of a nanocomposite annular sandwich microplate based on HSDT using DQM. Multiscale Sci. Eng. 2023, 5, 180–194. [Google Scholar] [CrossRef]
- Yuan, Y.; Zhao, K.; Han, Y.; Sahmani, S.; Safaei, B. Nonlinear oscillations of composite conical microshells with in-plane heterogeneity based upon a couple stress-based shell model. Thin-Walled Struct. 2020, 154, 106857. [Google Scholar] [CrossRef]
- Yang, Y.; Sahmani, S.; Safaei, B. Couple stress-based nonlinear primary resonant dynamics of FGM composite truncated conical microshells integrated with magnetostricitive layers. Appl. Math. Mech. 2021, 42, 209–222. [Google Scholar] [CrossRef]
- Fan, L.; Sahmani, S.; Safaei, B. Couple stress-based dynamic stability analysis of functionally graded composite truncated conical microshells with magnetostrictive facesheets embedded within nonlinear viscoelastic foundations. Eng. Comput. 2021, 37, 1635–1655. [Google Scholar] [CrossRef]
- Suwankornkij, P.; Pulngern, T.; Tangbanjongkij, C.; Chucheepsakul, S.; Jiammeepreecha, W. Static analysis of a hemispherical nanoshell under uniform pressure based on MCST: A comparison of FEM and GDQ solutions. Arch. Appl. Mech. 2025, 95, 85. [Google Scholar] [CrossRef]
- Al-Furjan, M.S.H.; Habibi, M.; Ebrahimi, F.; Chen, G.; Safarpour, M.; Safarpour, H. A coupled thermomechanical approach for frequency information of electrically composite microshell using heat-transfer continuum problem. Eur. Phys. J. Plus 2020, 135, 837. [Google Scholar] [CrossRef]
- Mohammadimehr, M.; Atifeh, S.J.; Rousta, N.B. Stress and free vibration analysis of piezoelectric hollow circular FG-SWBNNTs reinforced nanocomposite plate based on modified couple stress theory subjected to thermo-mechanical loadings. J. Vibr. Control 2017, 24, 3471–3486. [Google Scholar] [CrossRef]
- Mao, Y.H.; Shang, Y.; Cen, S.; Li, C.F. An efficient 3-node triangular plate elementfor static and dynamic analyses of microplates based on modified couple stress theory with micro-inertia. Eng. Comput. 2023, 39, 3061–3084. [Google Scholar] [CrossRef]
- Wang, S.; Qian, Z.; Shang, Y. Size-dependent finite element analysis of FGMs in thermal environment based on the modified couple stress theory. Eng. Comput. 2024, 41, 1035–1066. [Google Scholar] [CrossRef]
- Dehrouyeh-Semnani, A.M.; Mostafaei, H. Vibration analysis of scale-dependent thin shallow microshells with arbitrary planform and boundary conditions. Int. J. Eng. Sci. 2021, 158, 103413. [Google Scholar] [CrossRef]
- Soleimani, I.; Beni, Y.T.; Dehkordi, M.B. Size-dependent two-node axisymmetric shell element for buckling analysis with couple stress theory. Proc. Instit. Mech. Eng. Part C J. Mech. Eng. Sci. 2019, 233, 4729–4741. [Google Scholar] [CrossRef]
- Wang, S.H.; Shang, Y.; Qian, Z.H. Size-dependent analysis of porous multi-directional FG shell structures based on the modified couple stress theory using the unsymmetric finite element method. Acta Mech. 2022, 233, 5105–5136. [Google Scholar] [CrossRef]
- Nguyen, T.C.N.; Le, M.H.; Tran, V.K.; Nguyen, T.D.; Phung, V.M. Static bending analysis of variable thickness microplates using the finite element method and modified couple stress theory. J. Sci. Technol. 2022, 17, 13–26. [Google Scholar] [CrossRef]
- Korayem, M.H.; Hefzabad, R.N. A quadrilateral non-classical microplate element considering the voltage effect. Proc. Instit. Mech. Eng. Part C J. Mech. Eng. Sci. 2024, 238, 9825–9839. [Google Scholar] [CrossRef]
- Zhang, B.; He, Y.; Liu, D.; Gan, Z.; Shen, L. A non-classical Mindlin plate finite element based on a modified couple stress theory. Eur. J. Mech. A/Solids 2013, 42, 63–80. [Google Scholar] [CrossRef]
- Taghizadeh, M.; Askari, A.R.; Farzinpoor, H. Size-dependent finite element buckling analysis of porous cylindrical microshells reinforced by graphene platelets. Mech. Based Des. Struct. Mach. 2024, 53, 2152–2181. [Google Scholar] [CrossRef]
- Genao, F.Y.; Kim, J.; Zur, K.K. Nonlinear finite element analysis of temperature-dependent functionally graded porous microplates under thermal and mechanical loads. Compos. Struct. 2021, 256, 112931. [Google Scholar]
- Karamanli, A.; Aydogdu, M. Vibration of functionally graded shear and normal deformable porous microplates via finite element method. Compos. Struct. 2020, 237, 111934. [Google Scholar] [CrossRef]
- Wu, H.P.; Shang, Y.; Cen, S.; Li, C.F. Penalty C0 8-node quadrilateral and 20-node hexahedral elements for consistent couple stress elasticity based on the unsymmetric finite element method. Eng. Anal. Bound. Elem. 2023, 147, 302–319. [Google Scholar] [CrossRef]
- Wang, S.; Qian, Z.; Shang, Y. Size-dependent vibration analysis of porous 3D-FG microshells in complex thermal environments using a neural network enhanced finite element model. Case Stud. Therm. Eng. 2024, 61, 104887. [Google Scholar] [CrossRef]
- Thai, T.Q.; Zhuang, X.; Rabczuk, T. A nonlinear geometric couple stress-based strain gradient Kirchhoff-Love shell formulation for microscale thin-wall structures. Int. J. Mech. Sci. 2021, 196, 106272. [Google Scholar] [CrossRef]
- Ansari, R.; Shojaei, M.F.; Mohammadi, V.; Bazdid-Vahdati, M.; Rouhi, H. Triangular Mindlin microplate element. Comput. Methods Appl. Mech. Eng. 2015, 295, 56–76. [Google Scholar] [CrossRef]
- Zuo, D.; Safaei, B.; Sahmani, S.; Ma, G. Nonlinear free vibrations of porous composite microplates incorporating various microstructural-dependent strain gradient tensors. Appl. Math. Mech. 2022, 43, 825–844. [Google Scholar] [CrossRef]
- Li, L.; Pan, Y.; Arabmarkadeh, A. Nonlinear finite element study on forced vibration of cylindrical micro-panels based on modified strain gradient theory. Mech. Adv. Mater. Struct. 2021, 29, 3727–3742. [Google Scholar] [CrossRef]
- Roque, C.M.C.; Ferreira, A.J.M.; Reddy, J.N. Analysis of Mindlin micro plates with a modified couple stress theory and a meshless method. Appl. Math. Modell. 2013, 37, 4626–4633. [Google Scholar] [CrossRef]
- Roque, C.M.C.; Zur, K.K. On the static, vibration, and transient responses of micro-plates made of materials with different microstructures. Eng. Anal. Bound. Elem. 2022, 143, 579–590. [Google Scholar] [CrossRef]
- Zhang, Y.; Sahmani, S.; Safaei, B. Meshfree-based applied mathematical modeling for nonlinear stability analysis of couple stress-based lateral pressurized randomly reinforced microshells. Eng. Comput. 2022, 38, 3523–3538. [Google Scholar] [CrossRef]
- Yang, Z.; Safaei, B.; Sahmani, S.; Zhang, Y. A couple-stress-based moving Kriging meshfree shell model for axial postbuckling analysis of random checkerboard composite cylindrical microshells. Thin-Walled Struct. 2022, 170, 108631. [Google Scholar] [CrossRef]
- Liu, H.; Safaei, B.; Sahmani, S. Combined axial and lateral stability behavior of random checkboard reinforced cylindrical microshells via a couple stress-based moving Kriging meshfree model. Arch. Civ. Mech. Eng. 2022, 22, 15. [Google Scholar]
- Liu, S.; Yu, T.; Bui, T.Q.; Xia, S. Size-dependent analysis of homogeneous and functionally graded microplates using IGA and a non-classical Kirchhoff plate theory. Compos. Struct. 2017, 172, 34–44. [Google Scholar] [CrossRef]
- Nguyen, H.X.; Atroshchenko, E.; Nguyen-Xuan, H.; Vo, T.P. Geometrically nonlinear isogeometric analysis of functionally graded microplates with the modified couple stress theory. Comput. Struct. 2017, 193, 110–127. [Google Scholar] [CrossRef]
- Nguyen, H.X.; Nguyen, T.N.; Abdel-Wahab, M.; Bordas, S.P.A.; Nguyen-Xuan, H.; Vo, T.P. A refined quasi-3D isogeometric analysis for functionally graded microplates based on the modified couple stress theory. Comput. Methods Appl. Mech. Eng. 2017, 313, 904–940. [Google Scholar] [CrossRef]
- Fan, F.; Xu, Y.; Sahmani, S.; Safaei, B. Modified couple stress-based geometrically nonlinear oscillations of porous functionally graded microplates using NURBS-based isogeometric approach. Comput. Methods Appl. Mech. Eng. 2020, 372, 113400. [Google Scholar] [CrossRef]
- Thai, C.H.; Nguyen-Xuan, H.; Nguyen, L.B.; Phung-Van, P. A modified strain gradient meshfree approach for functionally graded microplates. Eng, Comput. 2022, 38, 4545–4567. [Google Scholar] [CrossRef]
- Hung, P.T.; Phung-Van, P.; Thai, C.H. Small scale thermal analysis of piezoelectric-piezomagnetic FG microplates using modified strain gradient theory. Int. J. Mech. Mater. Des. 2023, 19, 739–761. [Google Scholar] [CrossRef]
- Thai, H.T.; Vo, T.P. A size-dependent functionally graded sinusoidal plate model based on a modified couple stress theory. Compos. Struct. 2013, 96, 376–383. [Google Scholar] [CrossRef]








| Year | Authors | Non-CCM Theories | Relevant Models | Structures | Mechanical Behaviors |
|---|---|---|---|---|---|
| 2011 | Askes and Aifantis [47] | ENET, Mindlin’s SGT, Aifantis’s SGT. | FEMs | Microplates. | Static bending, Wave propagation. |
| 2015 | Hassanpour; Hepple [48] | Micropolar elasticity theory | Experimental tests. | Bone, Polystyrene foams. | Torsion, Bending. |
| 2017 | Thai et al. [49] | ENET, MCST. | The Euler–Bernoulli theory, FOSDT, RSDT, HOSDT. | Microbeams, Microplates. | Static bending, Free vibration, Static buckling. |
| 2018 | Farajpour et al. [50] | ENET | The Euler–Bernoulli theory, Kirchhoff–Love theory. | Nanorods, Nanobeams, Nanoplates, Nanoshells. | Static bending, Free vibration, Static buckling, Wave propagation. |
| 2019 | Ghayesh and Farajpour [51] | ENET, MCST, MSGT. | The Euler–Bernoulli theory, The Kirchhoff–Love theory. | Microbeams, Microplates. | Static bending, Nonlinear free vibration. |
| 2019 | Wu and Yu [52] | ENET | The Kirchhoff–Love theory, FOSDT, RSDT, HOSDT. | Nanobeams, Nanoshells, Carbon nanotubes. | Static bending, Free vibration, Static buckling. |
| 2021 | Wu and Hu [53] | ENET | The Kirchhoff–Love theory, FOSDT, RSDT, HOSDT. | Nanoplates, Graphene sheets. | Static bending, Free vibration, Static buckling. |
| 2022 | Kong [54] | MCST | The Euler–Bernoulli theory, The Kirchhoff–Love theory, FOSDT. | Microbeams, Microplates. | Static bending, Free vibration, Static buckling, Pull-in instability. |
| 2022 | Roudbari et al. [55] | ENET, CST, SGT. | The Euler–Bernoulli theory, The Kirchhoff–Love theory, FOSDT. | Microstructures, Nanostructures. | Static bending, Free vibration, Static buckling, Wave propagation. |
| 2022 | Nuhu and Safaei [56] | CST, SGT. | The Kirchhoff–Love theory, FOSDT, RSDT, HOSDT. | Microplates, Nanoplates. | Coupled multifield vibration. |
| Year | Authors | Non-CCM Theories | Relevant Methods | Structures | Mechanical Behaviors |
|---|---|---|---|---|---|
| 2015 | Salehipour et al. [65] | MCST | State space method | FG micro-/ nano-plates | Free vibration |
| 2018 | Salehipour and Shahsavar [67] | MSGT | State space method | FG micro-/ nano-plates | Free vibration |
| 2020 | Salehipour et al. [66] | MCST | State space method | FG porous cylindrical micro-/nano-shells | Static bending, Free vibration |
| 2023 | Wu and Lyu [64] | CCST | Perturbation method | FG microplates | Free vibration |
| 2024 | Wu and Chang [62] | CCST | Meshless DRK point collocation method | FG microplates | Static bending |
| 2025 | Wu and Chou [63] | CCST | Meshless DRK point collocation method | FG microplates | Free vibration, Static buckling |
| Year | Authors | Non-CCM Theories | Relevant Methods | Structures | Mechanical Behaviors |
|---|---|---|---|---|---|
| 2022 | Wu and Hsu [68] | CCST | FLM | FG microplates | Static bending, Free vibration |
| 2023 | Wu and Lu [69] | CCST | FLM | FG piezoelectric microplates | Free vibration |
| 2023 | Wu et al. [70] | CCST | FLM | FG-GPLRC cylindrical shells | Free vibration |
| 2024 | Wu et al. [71] | CCST | FLM | FG cylindrical microshells | Dynamic instability |
| 2024 | Wu and Hsu [72] | CCST | FLM | FG piezoelectric cylindrical microshells | Static buckling, Free vibration |
| 2023 | Wu and Lu [69] | CCST | FLM | FG piezoelectric microplates | Static bending |
| 2025 | Wu and Chang [46] | CSGT | LPGM method | FG microplates | Static bending, Free vibration |
| 2025 | Wu and Chang [74] | CCST | Finite DRK element method | FG doubly curved microshells | Free vibration |
| Year | Authors | Non-CCM Theories | Structures | Mechanical Behaviors |
|---|---|---|---|---|
| 2015 | Lou et al. [75] | MCST | FG elastic microplates | Static bending, Free vibration, Buckling |
| 2020 | Wang et al. [77] | MCST | FG elastic cylindrical microshells | Free vibration |
| 2021 | Wu and Hu [76] | CCST | FG elastic microplates | Static bending, Free vibration |
| 2022 | Tran et al. [78] | MCST | FG elastic microplates | Stochastic, Vibration, Static buckling |
| 2022 | Wu and Lin [79] | CCST | FG piezoelectric microplates | Free vibration |
| 2025 | Shaban et al. [80] | CCST | FG microplates | Static bending |
| 2025 | Wu and Hsu [81] | CCST | FG magneto–electro–elastic microplates | Free vibration |
| CCST/MCST-Based Size-Dependent Theories | Articles |
|---|---|
| Classical plate theory | 3, 7 Tang et al. [82], 4 Wang et al. [83], 6 Wang et al. [84], 1, 2, 3 Thai and Choi [85] |
| FOSDT | 1, 2, 3 Thai and Choi [85], 5, 11, 12 Simsek and Aydin [86], 2 Ke et al. [87], 1, 2, 3, 11 Kim et al. [88], 1, 2, 3 Yekani and Fallah [89], 1, 2, 11 Tounsi et al. [90], 1, 2, 15 Jung et al. [91], 1, 2, 11 Beitollahi et al. [92], 1, 2, 4, 11 Cuong-Le et al. [93], 1, 16, 15, 17, 18 Arefi and Kiani [94], 1, 2, 3, 11, 12 Van-Hieu et al. [95], 1, 2, 3, 17, 18 Wang et al. [96], 2, 10, 19 Yin and Fang [97], 3, 15 Jung et al. [98] |
| RSDT | 1, 2, 3, 13, 16 Trinh et al. [99], 4, 11 Tranh et al. [100], 1, 2 Lei et al. [101] |
| TOSDT | 1, 2 Thai and Kim [102], 2, 3, 13, 10, 11, 19 Fang et al. [103], 1, 11, 19 Arefi et al. [104], 1, 2, 3, 11 Coskun et al. [105] |
| SSDT | 1, 2, 19 Afshari and Adab [106], 6, 20 Tranh et al. [107], 3, 16, 17 Zhang et al. [108], 1, 2, 3, 14, 15 Sobhy and Zenkour [109], 1, 2, 5, 19 Arefi and Adab [110] |
| HSDT | 3, 9, 13, 19 Khorasani et al. [111] |
| TSNDT | 2, 9 Mohseni et al. [112], 1, 9 Mohseni et al. [113] |
| 4-variable SDT | 2, 3, 9, 19 Thai et al. [114], 1, 8, 13, 15, 16, 18, 20 Radwan and Sobhy [115], 1, 2, 3 He et al. [116] |
| CCST/MCST-Based Size-Dependent Theories | Articles |
|---|---|
| Classical shell theory | 2, 11 Mohammadpour et al. [117], 2, 17 Razavi et al. [118], 1, 2, 3 Tang et al. [119], 3, 16 Zeighampour and Shojaeian [120], 2 Beni et al. [121], 4, 6 Farokhi and Ghayesh [122], 2, 19 Wang et al. [123], 8, 11, 13, 15 Khuat Duc et al. [124], 2, 3, 19 Liu and Wang [125], 2, 17, 19 Abbaspour [126]. |
| FOSDT | 2, 11 Karami et al. [127], 3 Lou et al. [128], 2, 16 Zeighampour and Shojaeian [129], 8, 13 Mirfatah et al. [130], 3, 13, 17, 19 Abbaspour and Hosseini [131], 2, 13, 15 SafarPour et al. [132], 2, 17, 19 Abbaspour and Hosseini [133], 6 Veysi et al. [134], 6, 13, 15 Sheng and Wang [135], 2, 11, 13 Ghadird and SafarPour [136], 3, 8 Gholami et al. [137], 2 Beni et al. [138], 1, 2 Ma et al. [139]. |
| RSDT | 3, 13 Mehditabar et al. [140], 2 Wang et al. [77], 8 Sahmani et al. [141]. |
| TOSDT | 1 Arefi [142]. |
| TSNDT | 2, 9 Zhang et al. [143], 2, 9, 17 Lori Dehsaraji et al. [144], 3, 9, 13, 17 Lori Dehsaraji et al. [145]. |
| CSGT/MSGT-Based Size-Dependent Theories | Articles |
|---|---|
| Classical shell theory | 1 Li et al. [146], 1 Movassagh and Mahmoodi [147], 1, 2, 3 Wang et al. [148], 3, 16 Hosseini et al. [149], 3 Farahmand et al. [150], 3 Mohammadi and Mahani [151]. |
| FOSDT | 3, 7, 13 Ansari et al. [152], 1, 2, 3 Ansari et al. [153], 2 Markolefas and Fafalis [154], 1, 2, 16 Ma et al. [155], 6 Gholami and Ansari [156]. |
| RSDT | 1, 2, 3 Thai et al. [157], 2, 16, 19 Thai et al. [158], 3, 7, 11 Wang et al. [159], 2, 11, 17 Nguyen et al. [160], 2 Sahmani and Ansari [161], 6, 11, 15 Jain and Kumar [162], 1, 2, 3, 15 Zhang et al. [163], 2, 16, 19 Hung et al. [164], 1, 2, 20 Thai et al. [165]. |
| SSDT | 1, 2, 3 Akgoz and Civalek [166]. |
| Two-variable SDT | 1, 2, 3 Farahmand [167]. |
| Four-variable SDT | 1, 2, 3 Thai et al. [168]. |
| CSGT/MSGT-Based Size-Dependent Theories | Articles |
|---|---|
| Classical shell theory | 2, 3, 19 Liu and Wang [125], 4, 6 Ghayesh and Farokhi [169], 2, 21 Zeighampour and Beni [170], 1, 2 Qi and Zhou [171]. |
| FOSDT | 7, 8, 20 Tohidi et al. [172], 2, 3 Gholami et al. [173], 1, 2, 5 Le et al. [174], 6, 13, 17 Movahedfar et al. [175], 8, 19 Zhang et al. [176], 3 Gholami et al. [177], 2, 3, 5, 16, 19 Hajilak et al. [178], 1, 2, 5 Le et al. [179]. |
| RSDT | 3 Krishnan and Ghosh [180]. |
| Four-variable SDT | 2 Zhang et al. [181]. |
| CCST/MCST-Based Size-Dependent Theories | Microstructures | Articles |
|---|---|---|
| FOSDT | Microplates | 6 Ansari [186] |
| Microshells | 2 Hosseini-Hashemi [187] | |
| FOSDT | Microplates | 1, 2 Zhang et al. [188], 3, 13 Ansari et al. [189] |
| Microshells | 2, 10, 11, 19 Adab et al. [190] | |
| RSDT | Microplates | 2, 15, 16 Emdadi et al. [191] |
| Microshells | 6 Yuan et al. [192], 3, 13 Mehditabar et al. [140] | |
| TOSDT | Microshells | 6, 18 Yang et al. [193], 8, 15, 16, 18 Fan et al. [194] |
| Elasticity | Microshells | 1 Suwankornkij et al. [195], 2, 3, 11, 17, 19 Al-Furjan [196], 1, 2, 13, 17 Mohammadimehr et al. [197] |
| CCST/MCST-Based Size-Dependent Theories | Microstructures | Articles |
|---|---|---|
| Classical plate/shell theory | Microplates | 1, 2, 5 Mao et al. [198], 1, 2, 13 Wang et al. [199]. |
| Microshells | 2 Dehrouyeh-Semnani and Mostafaei [200], 3 Soleimani et al. [201], 1, 2 Wang et al. [202]. | |
| FOSDT | Microplates | 1 Nguyen et al. [203], 1, 2, 16, 17 Korayem and Hefzabad [204], 1, 2, 3 Zhang et al. [205]. |
| Microshells | 3, 11, 19 Taghizadeh et al. [206]. | |
| TOSDT | Microplates | 4, 11, 13 Genao et al. [207]. |
| TSNDT | Microplates | 2, 11 Karamanli and Aydogdu [208]. |
| Plane elasticity | Microplates | 1 Wu et al. [209]. |
| 3D elasticity | Microshells | 2, 11, 13 Wang et al. [210]. |
| Classical shell theory | Microshells | 4 Thai et al. [211]. |
| FOSDT | Microplates | 1, 2 Ansari et al. [212]. |
| Microahells | 1, 2, 5 Le et al. [174]. | |
| RSDT | Microplates | 6 Zuo et al. [213]. |
| Microahells | 5 Li et al. [214]. | |
| Four-variable SDT | Microshells | 2 Zhang et al. [181]. |
| Basis Functions | CCST/MCST-Based Size-Dependent Theories | Microstructures | Articles |
|---|---|---|---|
| Multi-quadric basis functions | FOSDT | Microplates | 1 Roque et al. [215], 1, 2, 5 Roque and Zur. [216]. |
| Moving Kriging interpolation functions | RSDT | Microplates | 3, 7, 19 Zhang et al. [217], 3, 7, 19 Yang et al. [218]. |
| Moving Kriging interpolation functions | TOSDT | Microshells | 3, 7 Liu et al. [219]. |
| B-spline basis functions | CPT | Microplates | 1, 2, 3 Liu et al. [220]. |
| B-spline basis functions | RSDT | Microplates | 4 Nguyen et al. [221], 1, 2, 3 Nguyen et al. [222], 6, 11 Fan et al. [223], 1, 2, 3, 19 Thai et al. [114]. |
| Moving Kriging interpolation functions | RSDT | Microplates | 1, 2, 3 Thai et al. [224]. |
| B-spline basis functions | RSDT | Microplates | 2, 3, 13, 17, 18 Hung et al. [225]. |
| Deflection | Theories | |||||||||||||
|---|---|---|---|---|---|---|---|---|---|---|---|---|---|---|
| l/h = 0 | l/h = 0.2 | l/h = 0.4 | l/h = 0.8 | l/h = 0 | l/h = 0.2 | l/h = 0.4 | l/h = 0.8 | l/h = 0 | l/h = 0.2 | l/h = 0.4 | l/h = 0.8 | |||
| 5 | Hermitian C2 DRK meshless method [62] | 0.3357 | 0.2849 | 0.1991 | 0.0953 | 0.6620 | 0.5462 | 0.3652 | 0.1656 | 1.2197 | 1.0421 | 0.7409 | 0.3639 | |
| 3D CCST-based FLM [68] | 0.3357 | 0.2851 | 0.1991 | 0.0953 | 0.6622 | 0.5476 | 0.3653 | 0.1656 | 1.2194 | 1.0394 | 0.7388 | 0.3636 | ||
| CCST-based SSDT [76] | 0.3433 | 0.2875 | 0.1934 | 0.0838 | 0.6688 | 0.5468 | 0.3535 | 0.1464 | 1.2276 | 1.0247 | 0.6908 | 0.3052 | ||
| CCST-based RSDT [76] | 0.3433 | 0.2875 | 0.1934 | 0.0838 | 0.6688 | 0.5468 | 0.3535 | 0.1464 | 1.2276 | 1.0247 | 0.6908 | 0.3052 | ||
| MCST-based RSDT [102] | 0.3433 | 0.2875 | 0.1934 | 0.0838 | 0.6688 | 0.5468 | 0.3535 | 0.1464 | 1.2276 | 1.0247 | 0.6908 | 0.3052 | ||
| CCST-based CPT [76] | 0.2803 | 0.2399 | 0.1676 | 0.0760 | 0.5623 | 0.4687 | 0.3127 | 0.1341 | 0.9355 | 0.8171 | 0.5922 | 0.2819 | ||
| 20 | Hermitian C2 DRK meshless method [62] | 0.2838 | 0.2428 | 0.1696 | 0.0773 | 0.5686 | 0.4727 | 0.3161 | 0.1362 | 0.9534 | 0.8337 | 0.6041 | 0.2879 | |
| 3D CCST-based FLM [68] | 0.2838 | 0.2428 | 0.1697 | 0.0773 | 0.5686 | 0.4738 | 0.3161 | 0.1362 | 0.9353 | 0.8315 | 0.6020 | 0.2875 | ||
| CCST-based SSDT [76] | 0.2842 | 0.2430 | 0.1693 | 0.0765 | 0.5689 | 0.4737 | 0.3153 | 0.1349 | 0.9538 | 0.8303 | 0.5986 | 0.2834 | ||
| CCST-based RSDT [76] | 0.2842 | 0.2430 | 0.1693 | 0.0765 | 0.5689 | 0.4737 | 0.3153 | 0.1349 | 0.9358 | 0.8303 | 0.5986 | 0.2834 | ||
| MCST-based RSDT [102] | 0.2842 | 0.2430 | 0.1693 | 0.0765 | 0.5689 | 0.4737 | 0.3153 | 0.1349 | 0.9538 | 0.8303 | 0.5986 | 0.2834 | ||
| CCST-based CPT [76] | 0.2803 | 0.2399 | 0.1676 | 0.0760 | 0.5623 | 0.4687 | 0.3127 | 0.1341 | 0.9355 | 0.8171 | 0.5922 | 0.2819 | ||
| Deflection and Stress Parameters | Theories | |||||||||||||
| l/h = 0 | l/h = 0.2 | l/h = 0.5 | l/h = 1 | l/h = 0 | l/h = 0.2 | l/h = 0.5 | l/h = 1 | l/h = 0 | l/h = 0.2 | l/h = 0.5 | l/h = 1 | |||
| 10 | Hermitian C2 DRK meshless method [62] | 0.2943 | 0.2514 | 0.1437 | 0.0583 | 0.5875 | 0.4876 | 0.2618 | 0.1013 | 1.0074 | 0.8790 | 0.5273 | 0.2216 | |
| 3D CCST-based FLM [68] | 0.2942 | 0.2514 | 0.1437 | 0.0583 | 0.5875 | 0.4888 | 0.2617 | 0.1012 | 1.0073 | 0.8734 | 0.5228 | 0.2212 | ||
| CCST-based SSDT [76] | 0.2960 | 0.2519 | 0.1414 | 0.0551 | 0.5889 | 0.4884 | 0.2576 | 0.0959 | 1.0089 | 0.8704 | 0.5085 | 0.2060 | ||
| CCST-based RSDT [76] | 0.2961 | 0.2520 | 0.1415 | 0.0552 | 0.5890 | 0.4885 | 0.2577 | 0.0959 | 1.0087 | 0.8697 | 0.5079 | 0.2058 | ||
| MCST-based RSDT [102] | 0.2960 | 0.2520 | NA | 0.0552 | 0.5890 | 0.4885 | NA | 0.0959 | 1.0087 | 0.8697 | NA | 0.2058 | ||
| CCST-based CPT [76] | 0.2803 | 0.2399 | 0.1367 | 0.0539 | 0.5623 | 0.4687 | 0.2502 | 0.0939 | 0.9355 | 0.8171 | 0.4909 | 0.2024 | ||
| 10 | Hermitian C2 DRK meshless method [62] | 2.0049 | 1.7099 | 0.9700 | 0.3841 | 3.0978 | 2.5638 | 1.3597 | 0.5046 | 5.0662 | 4.4161 | 2.6079 | 1.0235 | |
| 3D CCST-based FLM [68] | 2.0044 | 1.7103 | 0.9700 | 0.3841 | 3.0973 | 2.5701 | 1.3592 | 0.5044 | 5.0633 | 4.3906 | 2.5857 | 1.0205 | ||
| CCST-based SSDT [76] | 1.9955 | 1.7002 | 0.9579 | 0.3750 | 3.0870 | 2.5613 | 1.3530 | 0.5044 | 5.0890 | 4.4135 | 2.6258 | 1.0727 | ||
| CCST-based RSDT [76] | 1.9943 | 1.6992 | 0.9575 | 0.3750 | 3.0850 | 2.5598 | 1.3524 | 0.5042 | 5.0849 | 4.4103 | 2.6156 | 1.0733 | ||
| MCST-based SSDT [226] | 1.9955 | 1.6945 | 0.9528 | 0.3762 | 3.0870 | 2.5541 | 1.3467 | 0.5048 | 5.0890 | 4.4019 | 2.6050 | 1.0737 | ||
| CCST-based CPT [76] | 1.9758 | 1.6916 | 0.9638 | 0.3799 | 3.0537 | 2.5456 | 1.3588 | 0.5099 | 5.0173 | 4.3824 | 2.6330 | 1.0855 | ||
| 10 | Hermitian C2 DRK meshless method [62] | 0.7083 | 0.6057 | 0.3437 | 0.1346 | 0.6111 | 0.5067 | 0.2689 | 0.0989 | 0.5926 | 0.5185 | 0.3091 | 0.1239 | |
| 3D CCST-based FLM [68] | 0.7085 | 0.6058 | 0.3437 | 0.1346 | 0.6112 | 0.5081 | 0.2689 | 0.0989 | 0.5927 | 0.5156 | 0.3065 | 0.1237 | ||
| CCST-based SSDT [76] | 0.7065 | 0.6022 | 0.3396 | 0.1331 | 0.6110 | 0.5071 | 0.2680 | 0.1000 | 0.5894 | 0.5120 | 0.3049 | 0.1255 | ||
| CCST-based RSDT [76] | 0.7067 | 0.6023 | 0.3398 | 0.1332 | 0.6111 | 0.5072 | 0.2681 | 0.1000 | 0.5896 | 0.5123 | 0.3053 | 0.1257 | ||
| MCST-based SSDT [68] | 0.7065 | 0.6007 | 0.3392 | 0.1345 | 0.6110 | 0.5061 | 0.2677 | 0.1007 | 0.5894 | 0.5111 | 0.3044 | 0.1262 | ||
| CCST-based CPT [76] | 0.7093 | 0.6072 | 0.3460 | 0.1364 | 0.6125 | 0.5106 | 0.2726 | 0.1023 | 0.5926 | 0.5176 | 0.3110 | 0.1282 | ||
| 1 | 0 | 0 | 0 | 0.5875 | 3.0958 | 0.6112 |
| 0 | 0 | 0.5 | 0.2618 | 1.3583 | 0.2689 | |
| 0 | 0.5 | 0 | 0.3426 | 2.3704 | 0.3437 | |
| 0.5 | 0 | 0 | 0.4730 | 1.6522 | 0.4860 | |
| 0.5 | 0.5 | 0.5 | 0.1546 | 0.6532 | 0.1459 | |
| 5 | 0 | 0 | 0 | 0.9118 | 4.2559 | 0.5765 |
| 0 | 0 | 0.5 | 0.4463 | 2.0481 | 0.2810 | |
| 0 | 0.5 | 0 | 0.5745 | 3.4625 | 0.3554 | |
| 0.5 | 0 | 0 | 0.7592 | 2.4555 | 0.4729 | |
| 0.5 | 0.5 | 0.5 | 0.2741 | 1.0462 | 0.1596 | |
| 10 | 0 | 0 | 0 | 1.0074 | 5.0644 | 0.5927 |
| 0 | 0 | 0.5 | 0.5231 | 2.5860 | 0.3065 | |
| 0 | 0.5 | 0 | 0.65892 | 4.1671 | 0.3793 | |
| 0.5 | 0 | 0 | 0.8466 | 3.0601 | 0.4907 | |
| 0.5 | 0.5 | 0.5 | 0.3294 | 1.3766 | 0.1789 |
| Lx/h | ||||||
|---|---|---|---|---|---|---|
| 5 | 0 | 0 | 0 | 0.9750 | 2.0507 | 0.2721 |
| 0 | 0 | 0.5 | 0.4412 | 0.8691 | 0.1202 | |
| 0 | 0.5 | 0 | 0.6666 | 1.6566 | 0.1756 | |
| 0.5 | 0 | 0 | 0.8189 | 1.1251 | 0.2177 | |
| 0.5 | 0.5 | 0.5 | 0.3239 | 0.4401 | 0.0724 | |
| 10 | 0 | 0 | 0 | 0.8381 | 3.8898 | 0.5522 |
| 0 | 0 | 0.5 | 0.3872 | 1.7662 | 0.2534 | |
| 0 | 0.5 | 0 | 0.5063 | 3.0844 | 0.3248 | |
| 0.5 | 0 | 0 | 0.6874 | 2.1485 | 0.4465 | |
| 0.5 | 0.5 | 0.5 | 0.2322 | 0.8707 | 0.1400 | |
| 20 | 0 | 0 | 0 | 0.8033 | 7.6772 | 1.1082 |
| 0 | 0 | 0.5 | 0.3729 | 3.5477 | 0.5135 | |
| 0 | 0.5 | 0 | 0.4632 | 6.0591 | 0.6341 | |
| 0.5 | 0 | 0 | 0.6539 | 4.2395 | 0.8988 | |
| 0.5 | 0.5 | 0.5 | 0.2056 | 1.7341 | 0.2765 |
| Et/Eb | Theories | |||||||
|---|---|---|---|---|---|---|---|---|
| 5 | 5 | 3D DRK meshless point method [63] | 5.0168 | 5.5043 | 6.7133 | 8.2707 | 9.9435 | 11.6073 |
| 3D CCST-based FLM [68] | 5.0168 | 5.5043 | 6.7133 | 8.2707 | 9.9435 | 11.6073 | ||
| 3D MCST [65] | 5.0168 | 5.5043 | 6.7133 | 8.2707 | 9.9435 | 11.607 | ||
| CCST-based RSDPT [76] | 5.0088 | 5.5286 | 6.8528 | 8.6156 | 10.5995 | 12.7014 | ||
| CCST-based SSDPT [76] | 5.0089 | 5.5286 | 6.8530 | 8.6160 | 10.6004 | 12.7028 | ||
| 5 | 10 | 3D DRK meshless point method [63] | 4.7524 | 5.2747 | 6.5481 | 8.1611 | 9.8741 | 11.5655 |
| 3D CCST-based FLM [68] | 4.7524 | 5.2745 | 6.5480 | 8.1611 | 9.8741 | 11.5655 | ||
| 3D MCST [65] | 4.7524 | 5.2745 | 6.5480 | 8.1611 | 9.8741 | 11.5660 | ||
| CCST-based RSDPT [76] | 4.7550 | 5.3058 | 6.6883 | 8.5031 | 10.5283 | 12.6634 | ||
| CCST-based SSDPT [76] | 4.7545 | 5.3049 | 6.6870 | 8.5017 | 10.5270 | 12.6623 | ||
| 10 | 5 | 3D DRK meshless point method [63] | 5.4392 | 5.9427 | 7.2307 | 8.9499 | 10.8718 | 12.8764 |
| 3D CCST-based FLM [68] | 5.4392 | 5.9424 | 7.2307 | 8.9499 | 10.8717 | 12.8764 | ||
| 3D MCST [65] | 5.4392 | 5.9424 | 7.2307 | 8.9499 | 10.872 | 12.876 | ||
| CCST-based RSDPT [76] | 5.4365 | 5.9501 | 7.2756 | 9.0624 | 11.0896 | 13.2472 | ||
| CCST-based SSDPT [76] | 5.4364 | 5.9500 | 7.2754 | 9.0623 | 11.0896 | 13.2473 | ||
| 10 | 10 | 3D DRK meshless point method [63] | 5.1295 | 5.6638 | 7.0110 | 8.7827 | 10.7443 | 12.7786 |
| 3D CCST-based FLM [68] | 5.1295 | 5.6635 | 7.0109 | 8.7827 | 10.7443 | 12.7785 | ||
| 3D MCST [65] | 5.1295 | 5.6635 | 7.0109 | 8.7827 | 10.744 | 12.779 | ||
| CCST-based RSDPT [76] | 5.1302 | 5.6734 | 7.0553 | 8.8920 | 10.9569 | 13.1430 | ||
| CCST-based SSDPT [76] | 5.1300 | 5.6730 | 7.0547 | 8.8913 | 10.9562 | 13.1422 |
| Flexural Mode | Extensional Mode | Flexural Mode | Extensional Mode | ||||
|---|---|---|---|---|---|---|---|
| 1 | 0 | 0 | 0 | 4.4258 | 22.9003 | 10.6265 | 36.1557 |
| 0 | 0 | 0.5 | 6.6319 | 22.9513 | 15.9332 | 36.3549 | |
| 0 | 0.5 | 0 | 5.7995 | 23.1987 | 12.9510 | 37.3279 | |
| 0.5 | 0 | 0 | 4.9347 | 22.9003 | 11.7962 | 36.1557 | |
| 0.5 | 0.5 | 0.5 | 8.6414 | 23.3314 | 19.3672 | 37.8375 | |
| 5 | 0 | 0 | 0 | 3.7716 | 17.8505 | 8.9274 | 28.1231 |
| 0 | 0 | 0.5 | 5.3906 | 17.8968 | 12.8578 | 28.3059 | |
| 0 | 0.5 | 0 | 4.7512 | 18.0916 | 10.6085 | 29.0717 | |
| 0.5 | 0 | 0 | 4.1375 | 17.8505 | 9.7425 | 28.1231 | |
| 0.5 | 0.5 | 0.5 | 6.8896 | 18.1963 | 15.3976 | 29.4726 | |
| 10 | 0 | 0 | 0 | 3.6412 | 16.2854 | 8.5853 | 25.6901 |
| 0 | 0 | 0.5 | 5.0532 | 16.3371 | 12.0107 | 25.8937 | |
| 0 | 0.5 | 0 | 4.5033 | 16.4981 | 10.0661 | 26.5257 | |
| 0.5 | 0 | 0 | 3.9745 | 16.2854 | 9.3176 | 25.6901 | |
| 0.5 | 0.5 | 0.5 | 6.3767 | 16.5995 | 14.2301 | 26.9156 | |
| Lx/h | |||||||
|---|---|---|---|---|---|---|---|
| Flexural Mode | Extensional Mode | Flexural Mode | Extensional Mode | ||||
| 5 | 0 | 0 | 0 | 3.5368 | 9.6049 | 7.7359 | 14.9660 |
| 0 | 0 | 0.5 | 5.2572 | 9.6881 | 11.7347 | 15.2897 | |
| 0 | 0.5 | 0 | 4.2867 | 10.1261 | 8.7027 | 16.9791 | |
| 0.5 | 0 | 0 | 3.8769 | 9.6049 | 8.4040 | 14.9660 | |
| 0.5 | 0.5 | 0.5 | 6.1913 | 10.3311 | 12.8685 | 17.7029 | |
| 10 | 0 | 0 | 0 | 3.8727 | 19.3499 | 9.2260 | 30.4842 |
| 0 | 0 | 0.5 | 5.6976 | 19.3918 | 13.6422 | 30.6492 | |
| 0 | 0.5 | 0 | 4.9825 | 19.6127 | 11.1169 | 31.5187 | |
| 0.5 | 0 | 0 | 4.2806 | 19.3499 | 10.1498 | 30.4842 | |
| 0.5 | 0.5 | 0.5 | 7.3689 | 19.7220 | 16.4938 | 31.9368 | |
| 20 | 0 | 0 | 0 | 3.9780 | 38.7696 | 9.8100 | 61.2448 |
| 0 | 0 | 0.5 | 5.8390 | 38.7905 | 14.4156 | 61.3277 | |
| 0 | 0.5 | 0 | 5.2378 | 38.9012 | 12.3431 | 61.7647 | |
| 0.5 | 0 | 0 | 4.4101 | 38.7696 | 10.8587 | 61.2448 | |
| 0.5 | 0.5 | 0.5 | 7.8645 | 38.9568 | 18.7472 | 61.9827 | |
Disclaimer/Publisher’s Note: The statements, opinions and data contained in all publications are solely those of the individual author(s) and contributor(s) and not of MDPI and/or the editor(s). MDPI and/or the editor(s) disclaim responsibility for any injury to people or property resulting from any ideas, methods, instructions or products referred to in the content. |
© 2025 by the authors. Licensee MDPI, Basel, Switzerland. This article is an open access article distributed under the terms and conditions of the Creative Commons Attribution (CC BY) license (https://creativecommons.org/licenses/by/4.0/).
Share and Cite
Wu, C.-P.; Chang, T.-Y. A Review of Modified/Consistent Couple Stress and Strain Gradient Theories for Analyzing Static and Dynamic Behaviors of Functionally Graded Microscale Plates and Shells. Materials 2025, 18, 4475. https://doi.org/10.3390/ma18194475
Wu C-P, Chang T-Y. A Review of Modified/Consistent Couple Stress and Strain Gradient Theories for Analyzing Static and Dynamic Behaviors of Functionally Graded Microscale Plates and Shells. Materials. 2025; 18(19):4475. https://doi.org/10.3390/ma18194475
Chicago/Turabian StyleWu, Chih-Ping, and Ting-Yu Chang. 2025. "A Review of Modified/Consistent Couple Stress and Strain Gradient Theories for Analyzing Static and Dynamic Behaviors of Functionally Graded Microscale Plates and Shells" Materials 18, no. 19: 4475. https://doi.org/10.3390/ma18194475
APA StyleWu, C.-P., & Chang, T.-Y. (2025). A Review of Modified/Consistent Couple Stress and Strain Gradient Theories for Analyzing Static and Dynamic Behaviors of Functionally Graded Microscale Plates and Shells. Materials, 18(19), 4475. https://doi.org/10.3390/ma18194475

