You are currently viewing a new version of our website. To view the old version click .
Materials
  • Communication
  • Open Access

1 September 2025

Interdiffusion Behaviors and Microstructure Recombination Mechanisms of Fe2TiO4–CaO and FeTiO3–CaO Systems During Sintering at 1200 °C

,
,
,
and
1
State Key Laboratory for Advanced Iron and Steel Processes and Products, Central Iron and Steel Research Institute Co., Ltd., Beijing 100081, China
2
Beijing Steel Research Institute of Hydrometallurgy Technology Co., Beijing 100081, China
*
Author to whom correspondence should be addressed.
This article belongs to the Section Metals and Alloys

Abstract

Vanadium–titanium magnetite (VTM) is an iron ore abundantly available in China. The dominant utilization route is blast furnace smelting; however, Ti in the ore deteriorates sinter strength, making it urgent to clarify Fe-Ti-Ca interactions during sintering. In this work, single-phase FeTiO3 and Fe2TiO4 were synthesized and each paired with CaO to fabricate diffusion couples. The couples were heated at 1200 °C for 30, 60, 90, and 120 min to investigate their interdiffusion behaviors and microstructure recombination mechanisms. The results show that, at 1200 °C, solid-state diffusion—not interfacial reaction—controls mass transfer in both FeTiO3-CaO and Fe2TiO4-CaO systems. Distinct Fe-rich and Ti-rich sublayers appear within the reaction zone, and banded CaTiO3 forms adjacent to the FeTiO3/Fe2TiO4 matrices. The interdiffusion coefficients were determined to be 4.08 × 10−10 cm2·s−1 and 7.81 × 10−10 cm2·s−1, and the growth of the reaction layer follows a parabolic law, which can be expressed as x2 = 2 × 1.562 × 10−9 t and x2 = 2 × 0.8159 × 10−9 t, respectively. The coefficients of determination exceed 0.90, indicating reliable regression fits.

1. Introduction

Vanadium–titanium magnetite (VTM) is an iron ore enriched in valuable metallic elements such as iron, titanium, and vanadium [1,2,3]. China holds abundant reserves of this resource [4]. As a critical raw material for multiple industries, it is classified as a strategic resource in many countries [5,6,7]. Developing VTM resources has alleviated China’s iron ore supply constraints while enabling efficient recovery of vanadium and titanium [8,9]. Vanadium derived from VTM is widely used in steelmaking [10], titanium alloys [11], catalysts [12], the chemical sector [13], energy storage [14], and hydrogen storage [15]. The titanium industry follows two principal value chains: a chemical route producing titanium dioxide pigment [16] and a nonferrous metallurgical route manufacturing titanium alloys for use in the chemical industry [17], aerospace [18], shipbuilding [19], and biomedical applications [20,21].
At present, the dominant mode of utilizing VTM in China remains blast furnace (BF) ironmaking [22], in which sinter is a key burden material [23,24]. The quality of the sinter strongly affects the BF’s technical and economic indices. Sinter produced from VTM generally exhibits lower strength than that from conventional iron ores [13]. Because VTM contains a higher titanium content than ordinary iron ores, it is both urgent and necessary to investigate Fe–Ti–Ca interactions during sintering. Prior studies have shown that TiO2 in VTM promotes the formation of hard and brittle perovskite (CaTiO3) while decreasing the amount of calcium ferrite, thereby exerting a pronounced influence on sinter quality [25,26,27,28]. Budzik [29] reported that suppressing the formation of calcium titanate effectively improves ore utilization in BF smelting. Ding [30] found that when the temperature exceeds the melting point of calcium ferrite, abundant calcium titanate forms in the CaO–Fe2O3–TiO2 system. Under continuous heating, the ore undergoes two reaction stages: calcium ferrite melts to form a liquid phase and TiO2 substitutes Fe2O3 in the liquid calcium ferrite to produce calcium titanate. Zhou [31] observed that the mineralogy of VTM sinter is complex—dominated by magnetite, hematite, calcium ferrite, and perovskite—and found that perovskite decreases sinter strength and the reduction degradation index (RDI).
It is well established that the presence of titanium—occurring predominantly as FeTiO3 and Fe2TiO4—is a principal cause of the deterioration in the sintering performance of VTM. Prior studies have investigated reactions during sintering, including those between fluxes and VTM [32], between calcium ferrite and calcium titanate [33], and between Fe2O3 and TiO2 [34]. However, existing research has paid limited attention to the CaO–FeTiO3/Fe2TiO4 systems, and the interactions between them remain largely unexplored. Accordingly, this study focuses on the FeTiO3-CaO and Fe2TiO4-CaO systems pertinent to VTM sintering, which provides a direct means to elucidate the mutual interactions among Fe, Ti, and Ca during the sintering process. Clarifying the diffusion mechanisms—as well as the characteristics and parameters of elemental diffusion—will lay the foundation for controlling elemental transport and reaction pathways; it will also help regulate the relevant reactions so that they proceed at rational, production-favorable rates [35].

2. Experimental

2.1. Synthesis of FeTiO3 and Fe2TiO4

As the starting material for diffusion experiments on FeTiO3-CaO and Fe2TiO4-CaO systems, FeTiO3 and Fe2TiO4 were prepared from a 1:1:3 mixture (mole ratio) and 2:2:3 mixture (mole ratio) of Fe (98.0% purity, Tianjin Zhonglian Chemical Reagent Co., Ltd., Tianjin, China), Fe2O3 (99.0% purity, Shanghai Hushi Laboratory Apparatus Co., Ltd., Shanghai, China), and TiO2 (99.0% purity, Xilong Scientific Co., Ltd., Shantou, China) by a mixer for 2 h. The mixed power was placed in a mold with an inner diameter 30 mm and pressed to obtain a mixed sheet body. The mixture was heated at 1150 °C for 10 h in Ar atmosphere. The obtained samples were ground and analyzed by X-ray diffraction (X’Pert PRO MPD/PW3040, Panalytical B.V. Corp., Almelo, The Netherlands). The XRD pattern is displayed in Figure 1. The diffraction peaks of the synthesized FeTiO3 and Fe2TiO4 agree well with the standard reference patterns in JADE (ICDD PDF database)—PDF 75-1203 and PDF 75-1380, respectively. XRD characterization reveals only a few impurity peaks of extremely low intensity, indicating a negligible impurity level and an overall single-phase nature. Accordingly, the synthesized samples exhibit high phase purity, supporting the reliability of the experimental results.
Figure 1. XRD pattern of the sample. (a) FeTiO3; (b) Fe2TiO4.

2.2. Characterization Methods

Cross-sectional specimens of the reacted diffusion couples, sectioned perpendicular to the reaction layer, were mounted and polished following standard metallographic procedures. During metallographic preparation, the CaO layer exhibited severe pulverization; to facilitate specimen preparation and preservation, excess CaO was gently removed with a soft brush. Pronounced cracks were frequently observed within the FeTiO3 and Fe2TiO4 layers; however, examinations confirmed that the reaction layer was not affected. Surface morphology was examined by scanning electron microscopy equipped with energy-dispersive X-ray spectroscopy (JXA-8100, JEOL Ltd., Beijing, China), and the reaction layer thickness was determined by EDS elemental mapping.

2.3. Production of Diffusion Couple

The experimental procedure for a diffusion couple is illustrated in Figure 2. For the preparation of diffusion couples, first, 6 g of FeTiO3 (or Fe2TiO4) powder was loaded into a stainless steel die (inner diameter 30 mm) and uniaxially pressed under an axial load of 800 N for 3 min to obtain a binder-free disk. Without removing this disk from the die, 6g of CaO (98.0% purity, Tianjin ZhiYuan Reagent Co., Ltd., Tianjin, China) powder was added on top and pressed again at 800 N for 3 min to form the CaO layer. Finally, with the two layers remaining in the die, a final compaction at 800 N for 1 min was applied to consolidate the assembly, yielding an intimately bonded FeTiO3/Fe2TiO4–CaO bilayer compact.
Figure 2. Schematic of the diffusion-couple experimental procedure.

2.4. Reaction of Diffusion Couple

Guided by thermodynamic calculations, the diffusion behavior was investigated at 1200 °C for 30–120 min, which ensures a clearly measurable reaction while avoiding liquid formation. After preheating the horizontal tube furnace (Luoyang Shenjia Kiln IIndustry Co., Ltd., Luoyang, China) to 1200 °C, the bilayer compact was placed on an alumina crucible holder and inserted into the hot zone so that the reaction proceeded under isothermal conditions. Air was then introduced to initiate the diffusion reaction, with O2 and N2 flow rates set to 1.05 and 3.95 L/min, respectively. The reaction times were 30, 60, 90, and 120 min.

3. Results

3.1. Interfacial Microstructure of the Diffusion Couple

Electron probe microanalysis was performed on the FeTiO3–CaO and Fe2TiO4–CaO diffusion couples after the diffusion reaction, and the resulting cross-sectional images are shown in Figure 3. In the interface reaction, the reaction layer is smooth and can be divided into two distinct regions. The region near the CaO matrix exhibits a uniform color, while the portion closer to the FeTiO3 and Fe2TiO4 matrices shows a light-colored needle-like phase. This phenomenon occurs because, with increasing diffusion distance, the concentration of Ca2+ decreases, leading to the formation of different reaction products [32].
Figure 3. Microstructure of FeTiO3-CaO and Fe2TiO4-CaO diffusion Couples. (a) FeTiO3 30 min; (b) FeTiO3 60 min; (c) FeTiO3 90 min; (d) FeTiO3 120 min; (e) Fe2TiO4 30 min; (f) Fe2TiO4 60 min; (g) Fe2TiO4 90 min; (h) Fe2TiO4 120 min.
The cross-sectional images indicate that at 1200 °C, both FeTiO3-CaO and Fe2TiO4-CaO diffusion couples form relatively thick reaction layers within just 30 min. This observation suggests that the rate-limiting step for solid phase mass transfer in the FeTiO3-CaO and Fe2TiO4-CaO systems is not the interface reaction resistance. Another noticeable phenomenon is that the thickness of the reaction layers in both diffusion couples is positively correlated with the sintering time. Moreover, as the sintering time increases, the rate of increase in the reaction layer thickness slows down.
Both FeTiO3 and Fe2TiO4 decompose into Fe2O3 and TiO2 when heated in air. Therefore, in this study, the interface reaction behavior of the diffusion couple was explained using the example of Fe2TiO4-CaO sintered for 30 min. Figure 4 shows the EDS-SEM results, with the chemical compositions at different points listed in Table 1. The surface scanning results reveal a distinct titanium-rich region in the reaction layer, and a ferrite-rich region near the CaO matrix. This is because, during the interdiffusion process, Ca2+ ions diffuse into the FeTiO3 or Fe2TiO4 matrix, while Fe3+ and Ti4+ ions also diffuse into the CaO. However, the diffusion of Ti4+ requires the substitution of two Ca2+ ions to maintain charge neutrality, resulting in a higher electrochemical resistance to diffusion for Ti4+ compared to Fe3+ [32]. As a result, the diffusion rate of Ti4+ is slower than that of Fe3+. This conclusion is also supported by the data presented in Table 1.
Figure 4. Microstructure and elemental distribution of the Fe2TiO4-CaO diffusion couple after 30 min of sintering. (a) microstructure; (b) Fe distribution; (c) Ti distribution; (d) Ca distribution; (e) O distribution.
Table 1. Elemental compositions (wt%) at the points marked in Figure 4 and corresponding phases.

3.2. Interface Formation Mechanisms

In order to gain a better understanding of the phase composition at the diffusion interface, a thermodynamic analysis was conducted by FactSage 8.1. Thermodynamic data were taken from the FactPS and FToxid databases. Reactions (1)–(9) represent the chemical reactions occurring in the FeTiO3-CaO and Fe2TiO4-CaO diffusion couples:
4FeTiO3 + O2 = 2Fe2O3 + 4TiO2
2Fe2TiO4 + O2 = 2Fe2O3 + 2TiO2
TiO2 + CaO = CaTiO3
2CaO + Fe2O3 = Ca2Fe2O5
CaO + 2Fe2O3 = CaFe4O7
CaO + Fe2O3 = CaFe2O4
CaFe2O4 + TiO2 = CaTiO3 + Fe2O3
CaFe4O7 + TiO2 = CaTiO3 + 2Fe2O3
Ca2Fe2O5 + 2TiO2 = 2CaTiO3 + Fe2O3
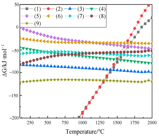
The variation of ΔG for reactions (1)–(9) with temperature is shown in Figure 5. At 1200 °C, FeTiO3 and Fe2TiO4 decompose into Fe2O3 and TiO2. Subsequently, Fe2O3 reacts with CaO to form calcium ferrite, while TiO2 reacts with CaO to form CaTiO3. Compared to calcium ferrite, TiO2 has a higher affinity for CaO, leading to the formation of CaTiO3. This also explains why two different phases are observed in the reaction layer, particularly in regions far from the CaO matrix, as shown in Figure 3.
Figure 5. Temperature dependence of ΔG for reactions (1)–(9).
The phase diagram of CaO-TiO2-Fe2O3 at 1200 °C is shown in Figure 6, with an oxygen partial pressure of 0.21 atm; the remainder is inert gas. Based on the phase diagram and Gibbs free energy, FeTiO3/Fe2TiO4 decomposes upon heating to form Fe2O3 and TiO2. This study is primarily based on Fick’s second law, and the reaction process was examined using the Matano plane. At the initial contact surface, the molar ratio of FeTiO3 to CaO is 1:1, and at the Matano plane, the molar content of CaO is 50%. At the Matano plane, CaO first reacts with the Fe2O3 and TiO2 produced during decomposition to form calcium ferrite and CaTiO3. During the diffusion process, the concentration of Ca2+ gradually decreases, and the products transform into CaFe4O7, CaTiO3, and Fe2O3. As the diffusion process continues, the Ca2+ concentration in the region farther from the CaO matrix further decreases, causing Ca2+ to preferentially react with TiO2 to form CaTiO3. Due to the depletion of Ca2+, the remaining TiO2 no longer participates in any further reactions with Fe2O3.
Figure 6. The phase diagram of CaO-TiO2-Fe2O3 at 1200 °C.

3.3. The Thickness of the Layer of Products

The thickness of the reaction layer was measured as follows. First, a relatively flat, band-like region of the reaction layer in the FeTiO3-CaO and Fe2TiO4-CaO diffusion couples was outlined in CAD 2021 software, with the left and right boundaries kept vertical. The area (S) of the selected region was obtained directly from the CAD calculation and converted to the actual size using the scale bar. The thickness of the reaction layer was then determined by the following equation:
S = L   d x = L x ¯
where L denotes the distance between the left and right boundaries of the reaction layer and x ¯ represents the average thickness of the reaction layer.
Figure 7 shows the reaction layer thicknesses of the FeTiO3-CaO and Fe2TiO4-CaO diffusion couples at 1200 °C for different sintering times. A clear positive correlation exists between reaction layer thickness and sintering time, and the layer in the Fe2TiO4-CaO couple is markedly thicker than that in FeTiO3-CaO. The primary difference between the two systems stems from the different concentrations of Fe3+ and Ti4+ ions generated after thermal decomposition in air. During interdiffusion, substitution of Ca2+ sites by Fe3+ creates positively charged defects and calcium vacancies; Ti4+ produces even more Ca vacancies, but at higher Ti4+ concentrations composite defects readily form, blocking diffusion pathways. Moreover, Ti4+ exerts a stronger electrostatic attraction on Ca2+ than Fe3+, thereby hindering Ca2+ diffusion. Consequently, under the same sintering time, the Fe2TiO4-CaO diffusion couple develops a wider reaction–diffusion layer [33].
Figure 7. Variation in reaction layer thickness with sintering time.
In a one-dimensional diffusion couple, the Matano plane is determined by the following relation:
x M C C 1 d x = x M + C 2 C d x
where C1 and C2 denote the end member concentrations at the two ends of the couple. The Matano plane was located from the experimental concentration profile using the equal area criterion, as shown in Figure 8, where regions I and II have equal areas.
Figure 8. Schematic for determining the Matano plane from the concentration profile.
Intermetallic products formed via cation exchange reactions can be schematically written as ABOx + DOy = ADOw + BOz, where A, B, and D are cations and O denotes oxygen. At 1200 °C no liquid phase is generated; hence, layer growth is governed by solid-state diffusion. For one-dimensional diffusion, Fick’s second law applies:
C t = D 2 c x 2
Initial and boundary conditions correspond to two semi-infinite end members brought into contact with the following equations:
C = C 0 ,   x < 0 ,       t = 0
C = 0 ,   x > 0 ,       t = 0
Using the Boltzmann–Matano method, the governing relation can be reformulated. The first step is to locate the Matano plane—the point on the concentration profile that satisfies the mass-balance condition—so that
C i + C i 0 x d C i + C i 0 C i x d C i = 0
where C i + denotes the terminal composition of the diffusion couple, and C i 0 denotes the composition at the Matano plane. The temperature dependence of interdiffusion is well described by the Arrhenius relation, implying that D increases with T:
D = D 0 exp ( Q D R T )
Here, D0 denotes the pre-exponential factor, QD denotes the activation energy for interdiffusion, T denotes the absolute temperature, and R denotes the universal gas constant. When growth is limited by diffusion through the product oxide, the mean Gibbs free energy gradient across the layer is given by the following:
d G d x = G 1 G 2 x
Define G1 and G1 as the molar free energies of Ca2+ at two positions across the layer; the term (G1G2) is a function of temperature and remains constant under isothermal conditions, and the diffusion flux J is given by the following:
J = D G 1 G 2 x
When growth is diffusion-limited, the thickening rate of the product layer d x d t proportional to the flux J: d x d t = k x .
Integrating both sides of the equation yields the following:
x2 = 2kt
Thus, x2 is proportional to t, and the reaction layer thickness is obtained from the preceding relation.
The diffusion coefficient D is calculated as follows [36]:
x2 = 4Dt
Figure 9 shows the fitting results between reaction layer thickness and reaction time. The interdiffusion coefficients of the FeTiO3-CaO and Fe2TiO4-CaO diffusion couples at 1200 °C are 4.08 × 10−10 cm2·s−1 and 7.81 × 10−10 cm2·s−1, respectively; the reason for this difference has been explained earlier in the text. The regression coefficients (R2) are all greater than 0.90, indicating a good fit and lending credibility to the regression equations.
Figure 9. The fitting results between reaction layer thickness and reaction time.

4. Conclusions

This study elucidates the interdiffusion behavior of the Fe2TiO4–CaO and FeTiO3–CaO systems during sintering at 1200 °C, thereby informing the selection of basicity in VTM sinter blend design. Such guidance helps suppress the formation of perovskite, leading to improved sinter strength and resistance to reduction degradation. The results also provide a useful reference for phase-selective control in the Fe–Ti–Ca system. The main conclusions are as follows:
(1) Numerous irregular pores form in FeTiO3 and Fe2TiO4 during sintering, weakening the strength of vanadium–titanium sinter. In the FeTiO3-CaO and Fe2TiO4-CaO diffusion couples, differences in the diffusion rates of Ti4+ and Fe3+ generate distinct Ti-rich and Fe-rich regions, and banded CaTiO3 develops adjacent to the FeTiO3 and Fe2TiO4 matrices. This hard, brittle perovskite phase markedly reduces the sinter’s tumble strength.
(2) At 1200 °C, the FeTiO3-CaO and Fe2TiO4-CaO diffusion couples form relatively thick reaction layers within 30 min, indicating that the rate-limiting step is solid-state mass transport rather than the interfacial reaction rate.
(3) At 1200 °C, as Ca2+ diffuses into FeTiO3 and Fe2TiO4, CaO first reacts simultaneously with the decomposition products Fe2O3 and TiO2 to form calcium ferrite and CaTiO3. With increasing diffusion distance, the Ca2+ concentration progressively decreases and the products evolve to CaFe4O7, CaTiO3, and Fe2O3. As diffusion proceeds further—i.e., in regions farther from the CaO matrix—the Ca2+ level drops even more; Ca2+ then preferentially combines with TiO2 to form CaTiO3. Owing to the shortage of Ca2+, the remaining TiO2 and Fe2O3 no longer participate in additional reactions.
(4) At 1200 °C, the interdiffusion coefficients of the FeTiO3-CaO and Fe2TiO4-CaO diffusion couples are 4.08 × 10−10 cm2·s−1 and 7.81 × 10−10 cm2·s−1, respectively. The reaction layer thickness can be predicted by the regression equations x2 = 2 × 1.562 × 10−9 t and x2 = 2 × 0.8159 × 10−9 t, and the coefficients of determination are all greater than 0.90, indicating reliable fits.

Author Contributions

Conceptualization, B.W. and J.G.; methodology, J.G.; software, Y.Y.; validation, F.W., Y.Q. and Y.Y.; formal analysis, B.W.; investigation, B.W.; resources, J.G.; data curation, F.W.; writing—original draft preparation, B.W.; writing—review and editing, F.W.; visualization, J.G.; supervision, Y.Q.; project administration, Y.Q.; funding acquisition, F.W. All authors have read and agreed to the published version of the manuscript.

Funding

This research was funded by the National Key Research & Development Program of China, grant number 2024YFC3909505.

Institutional Review Board Statement

Not applicable.

Data Availability Statement

The data supporting this study are openly available in FigShare at https://doi.org/10.6084/m9.figshare.29643143.v1.

Conflicts of Interest

Authors Bin Wang, Jianjun Gao, Feng Wang, Yue Yu, Yuanhong Qi were employed by the company Central Iron and Steel Research Institute Co., Ltd. and Beijing Steel Research Institute of Hydrometallurgy Technology Co. The remaining authors declare that the research was conducted in the absence of any commercial or financial relationships that could be construed as a potential conflict of interest.

References

  1. Lv, H.; Gan, M.; Wen, X.P.; Ji, Z.Y.; Fan, X.H.; Li, S.X.; Li, J.H.; Wang, S.; Wang, X.Y.; Xie, L.B. Promoting low-temperature consolidation of vanadium titano-magnetite pellets by high-pressure grinding roll: Mechanism of mechanical activation. J. Mater. Res. Technol. 2024, 30, 2435–2445. [Google Scholar] [CrossRef]
  2. Lai, L.D.; Zhou, H.Y.; Lai, B. Heterogeneous degradation of bisphenol A by peroxymonosulfate activated with vanadium-titanium magnetite: Performance, transformation pathways and mechanism. Chem. Eng. J. 2018, 349, 633–645. [Google Scholar] [CrossRef]
  3. Wang, B.; Zhao, W.; Zhang, X.H.; Hu, S.Y.; Guo, H.W.; Chu, M.S. Revealing the Softening-Melting Behaviors and Slag Characteristics of Vanadium-Titanium Magnetite Burden with Various MgO Addition. Minerals 2022, 12, 842. [Google Scholar] [CrossRef]
  4. Wu, Q.X.; Wang, J.P.; Che, D.; Gu, Y. Situation analysis and sustainable development suggestions of vanadium resources in China. Resour. Ind. 2016, 18, 29. [Google Scholar] [CrossRef]
  5. Chen, L.; Wang, Z.H.; Qin, Z.F.; Zhang, G.Q.; Yue, H.R.; Liang, B.; Luo, D.M. Investigation of the selective oxidation roasting of vanadium-iron spinel. Powder Technol. 2021, 387, 434–443. [Google Scholar] [CrossRef]
  6. Tong, S.; Ai, L.Q.; Hong, L.K.; Sun, C.J.; Li, Y.Q.; Yuan, Y.P. Reduction of chengde vanadium titanium magnetite concentrate by microwave enhanced Ar–H2 atmosphere. Int. J. Hydrogen Energy 2024, 49, 42–48. [Google Scholar] [CrossRef]
  7. Gu, H.Z.; Cao, J.; Wu, J.J.; Xu, M.; Ma, W.H. Recovery of Ti-bearing blast furnace slag and diamond wire saw silicon powder waste by alloying and electromagnetic separation technique. J. Clean. Prod. 2022, 359, 132080. [Google Scholar] [CrossRef]
  8. Li, S. Study on China’s Iron Ore Import and Countermeasures. Ph.D. Thesis, Dongbei University of Finance and Economics, Dalian, China, 2010. [Google Scholar]
  9. Zhang, D.B.; Wan, H.M.; Zheng, J. Analysis on global iron ore resources and China’s iron ore supply and demand. China Metall. 2004, 6, 26–29. [Google Scholar] [CrossRef]
  10. Wu, Y.; Chen, D.H.; Liu, W.H.; Zhang, B.X.; He, R. Global vanadium industry development report 2022. Iron Steel Vanadium Titan. 2023, 44, 1–8. [Google Scholar] [CrossRef]
  11. Matykina, E.; Arrabal, R.; Mingo, B.; Mohedano, M.; Pardo, A.; Merino, M.C. In vitro corrosion performance of PEO coated Ti and Ti6Al4V used for dental and orthopaedic implants. Surf. Coat. Technol. 2016, 307, 1255–1264. [Google Scholar] [CrossRef]
  12. Li, H.Y.; Wu, J.; Li, M.Y.; Wang, Y.D. Recent Advances in Vanadium-Based Electrocatalysts for Hydrogen and Oxygen Evolution Reactions: A Review. Catalysts 2024, 14, 368. [Google Scholar] [CrossRef]
  13. Hu, P.; Hu, P.; Vu, T.D.; Li, M.; Wang, S.; Ke, Y.; Zeng, X.T.; Mai, L.Q.; Long, Y. Vanadium oxide: Phase diagrams, structures, synthesis, and applications. Chem. Rev. 2023, 123, 4353–4415. [Google Scholar] [CrossRef]
  14. Chuanyu, S.; Keti, V.; Gioele, P.; Angeloclaudio, N.; Yannick, H.B.; Giuseppe, P.; Enrico, N.; Chiara, G.; Laura, M.; Thomas, A.Z.; et al. Elucidation of the interplay between vanadium species and charge-discharge processes in VRFBs by Raman spectroscopy. Electrochim. Acta 2019, 318, 913–921. [Google Scholar] [CrossRef]
  15. Tarnawski, Z.; Kim-Ngan, N.T.H. Hydrogen storage characteristics of Ti– and V–based thin films. J. Sci. Adv. Mater. Devices 2016, 1, 141–146. [Google Scholar] [CrossRef]
  16. Zhang, H.; Liu, H.; Qiu, S.J.; Zhang, B.; Wu, S.Q. reparation and properties of TiO—2-whitening PA6/GF composites with excellent mechanical performance. China Plast. 2025, 39, 12–18. [Google Scholar] [CrossRef]
  17. Shaarawy, H.H.; Hussein, H.S.; Hussien Nabila, H.A.B.; Ghada, A.H.; Salwa, I. Green production of titanium dioxide nanometric particles through electrolytic anodic dissolution of titanium metal. Environ. Sci. Pollut. Res. 2023, 30, 24043–24061. [Google Scholar] [CrossRef] [PubMed]
  18. Srivastava, M.; Jayakumar, V.; Udayan, Y.; Sathishkumar, M.; Muthu, S.M.; Gautam, P.; Nag, A. Additive manufacturing of Titanium alloy for aerospace applications: Insights into the process, microstructure, and mechanical properties. Appl. Mater. Today 2024, 41, 102481. [Google Scholar] [CrossRef]
  19. Liu, H.C.; Fan, L.; Zhang, H.B.; Wang, Y.Y.; Tang, J.L.; Bai, X.H.; Sun, M.X. Research Progress of Stress Corrosion Cracking of Ti-alloy in Deep Sea Environments. J. Chin. Soc. Corros. Prot. 2022, 42, 175–185. Available online: https://www.jcscp.org/EN/10.11902/1005.4537.2021.050 (accessed on 23 July 2025).
  20. Marin, E.; Lanzutti, A. Biomedical Applications of Titanium Alloys: A Comprehensive Review. Materials 2024, 17, 114. [Google Scholar] [CrossRef]
  21. Zhang, Y.K.; Lei, Y.; Ma, W.H.; Ren, Y.S. Simultaneous recycling of Si and Ti from diamond wire saw silicon powder and Ti–bearing blast furnace slag via reduction smelting: An investigation of the effects of refractories on recycling. Waste Manag. 2023, 157, 36–46. [Google Scholar] [CrossRef]
  22. Liu, Z.J.; Li, S.D.; Zhang, J.L.; Wang, Y.Z.; Wang, G.L.; Liu, L.L. Production practice and development trend of sinter with ultra-high basicity. Iron Steel 2022, 57, 39. [Google Scholar] [CrossRef]
  23. Wang, M.Y.; Tang, J.; Chu, M.S.; Shi, Q.; Zhang, Z. Prediction and optimization of flue pressure in sintering process based on SHAP. Int. J. Miner. Metall. Mater. 2025, 32, 346–359. [Google Scholar] [CrossRef]
  24. Chen, Y. The Investigation of Phase Constitution and Reaction Between Titanium Dioxide and Calcium Ferrite. Ph.D. Thesis, Chongqing University, Chongqing, China, 2017. [Google Scholar]
  25. Lin, W.K.; Hu, P. Influence of TiO2 content and basicity level on the metallogenic regularity of V-Ti sinter. Iron Steel Vanadium Titan. 2020, 41, 94. [Google Scholar] [CrossRef]
  26. Liao, J.F.; Zhao, B.J. Phase equilibrium studies of titanomagnetite and ilmenite smelting slags. Int. J. Miner. Metall. Mater. 2022, 29, 2162–2171. [Google Scholar] [CrossRef]
  27. Yang, S.T.; Tang, W.D.; Xue, X.X. Effect of TiO2 on the sintering behavior of low-grade vanadiferous titanomagnetite ore. Materials 2021, 14, 4376. [Google Scholar] [CrossRef]
  28. Chen, B.J.; Jiang, T.; Wen, J.; Yang, G.D.; Yu, T.X.; Zhu, F.X.; Hu, P. High-chromium vanadium–titanium magnetite all-pellet integrated burden optimization and softening–melting behavior based on flux pellets. Int. J. Miner. Metall. Mater. 2024, 31, 498–507. [Google Scholar] [CrossRef]
  29. Budzik, R. The balance of titanium and vanadium in the blast furnace with the use of sinter containing a titanium-vanadium-magnetite concentrate. Metalurgija 2007, 46, 145–147. [Google Scholar] [CrossRef]
  30. Ding, C.Y.; Lv, X.W.; Chen, Y.; Li, G.; He, W.C.; Lv, X.M. Reaction sequence and formation kinetics of perovskite by calcium ferrite–titania reaction. J. Alloys Compd. 2019, 789, 537–546. [Google Scholar] [CrossRef]
  31. Zhou, M.; Yang, S.T.; Jiang, T.; Cue, X.X. Influence of basicity on high-chromium vanadium-titanium magnetite sinter properties, productivity, and mineralogy. JOM 2015, 67, 1203–1213. [Google Scholar] [CrossRef]
  32. Wang, Z.; Pinson, D.; Chew, S.; Rogers, H.; Monaghan, B.J.; Zhang, G.Q. Interaction of New Zealand ironsand and flux materials. ISIJ Int. 2016, 56, 1315–1324. [Google Scholar] [CrossRef]
  33. Wang, W.; Yue, H.R.; Xue, X.X. Diffusion coefficient of Ti4+ in calcium ferrite/calcium titanate diffusion couple. Int. J. Miner. Metall. Mater. 2020, 27, 1216–1225. [Google Scholar] [CrossRef]
  34. Ren, Z.S.; Hu, X.J.; Li, S.Y.; Xue, X.X.; Chou, K.C. Interdiffusion in the Fe2O3-TiO2 system. Int. J. Miner. Metall. Mater. 2013, 20, 273–278. [Google Scholar] [CrossRef]
  35. Wu, D.; Zhang, L.G.; Liu, L.B.; Bai, W.M.; Zeng, L.J. Effect of Fe content on microstructures and properties of Ti6Al4V alloy with combinatorial approach. Trans. Nonferrous Met. Soc. China 2018, 28, 1714–1723. [Google Scholar] [CrossRef]
  36. Ren, Z.; Hu, X.; Xue, X.; Chou, K. Solid state reaction studies in Fe3O4–TiO2 system by diffusion couple method. J. Alloys Compd. 2013, 580, 182–186. [Google Scholar] [CrossRef]
Disclaimer/Publisher’s Note: The statements, opinions and data contained in all publications are solely those of the individual author(s) and contributor(s) and not of MDPI and/or the editor(s). MDPI and/or the editor(s) disclaim responsibility for any injury to people or property resulting from any ideas, methods, instructions or products referred to in the content.

Article Metrics

Citations

Article Access Statistics

Multiple requests from the same IP address are counted as one view.