Production of Anisotropic NdFeB Permanent Magnets with In Situ Magnetic Particle Alignment Using Powder Extrusion
Abstract
1. Introduction
- Compounding;
- Shaping;
- Debinding;
- Sintering.
2. Experimental
2.1. Materials
2.2. Production of Anisotropic NdFeB Permanent Magnets via Powder Extrusion Molding Under an External Magnetic Field
2.3. In Situ Alignment of Magnetic Particles with PEM
2.4. Debinding and Sintering
3. Results and Discussion
3.1. Characterization of the Starting Material for the Extrusion Process
3.2. Extrusion with Alignment Tool V1
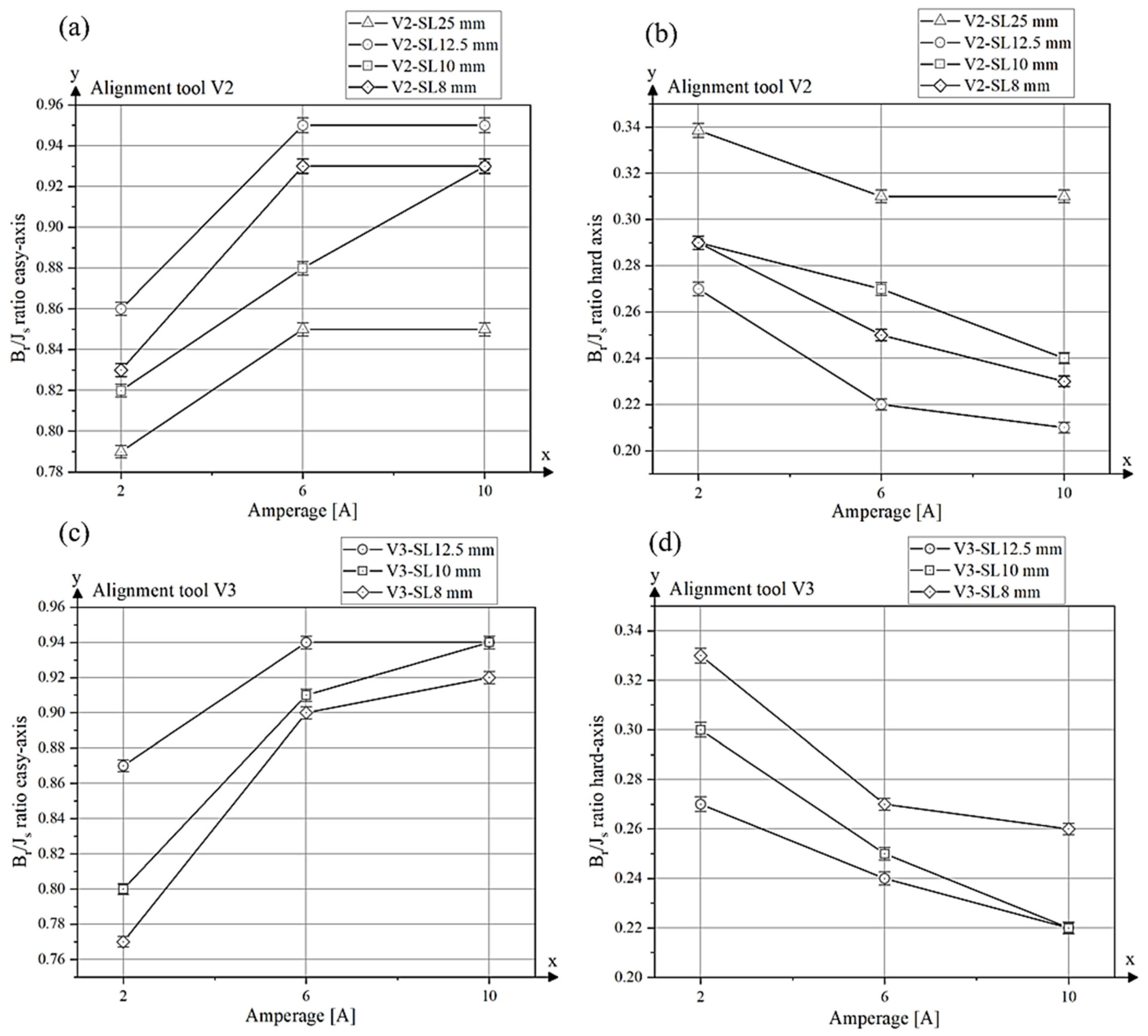
3.3. Extrusion with Alignment Tools V2 and V3
4. Summary/Further Work
Author Contributions
Funding
Data Availability Statement
Conflicts of Interest
Abbreviations
| BHmax | Maximum energy product |
| Br | Remanence |
| EBSD | Electron Backscatter Diffraction |
| Eol | End-of-life |
| EU | European Union |
| FFF | Fused Filament Fabrication |
| FEM | Finite Element Method |
| FEMM | Finite Element Method Magnetics |
| HPMS | Hydrogen Processing of Magnetic Scrap |
| HcJ | Coercivity |
| Js | Saturation polarization |
| MEX | Material Extrusion |
| MIM | Metal Injection Molding |
| NdFeB | Neodymium-Iron-Boron |
| PA6/PA12 | Polyamide 6/Polyamide 12 |
| PE | Polyethylene |
| PEM | Powder Extrusion Molding |
| REE | Rare Earth Elements |
| REPM | Rare Earth Permanent Magnets |
| VSM | Vibrating Sample Magnetometer |
| XRD | X-ray Diffraction |
Appendix A

Appendix B

| Windings | Values |
|---|---|
| Relative permeability µr | 1 |
| Electrical conductivity [MS/m] | 58 |
| Quantity | 300 |
| Diameter [mm] | 1 |
| C-Core | |
| Relative permeability µr | 14,872 |
| Electrical conductivity [MS/m] | 10.44 |
| Yoke structural steel | |
| Relative permeability µr | 760 |
| Electrical conductivity [MS/m] | 5.8 |
| PEM-material | |
| Relative permeability µr | 1.1 |
| Electrical conductivity [MS/m] | 0.01 |
Appendix C

References
- Sagawa, M.; Fujimura, S.; Togawa, N.; Yamamoto, H.; Matsuura, Y. New material for permanent magnets on a base of Nd and Fe (invited). J. Appl. Phys. 1984, 55, 2083–2087. [Google Scholar] [CrossRef]
- European Commission. Directorate General for Communication. In European Critical Raw Materials Act; Publications Office: Brussels, Belgium, 2023. [Google Scholar]
- Gauß, R.; Burkhardt, C.; Carencotte, F.; Gasparon, M.; Gutfleisch, O.; Higgins, I.; Karajić, M.; Klossek, A.; Mäkinen, M.; Schäfer, B.; et al. Rare Earth Magnets and Motors: A European Call for Action: A Report by the Rare Earth Magnets and Motors Cluster of the European Raw Materials Alliance; European Raw Materials Alliance: Berlin, Germany, 2021. [Google Scholar]
- Horizon 2020. Sustainable Recovery, Reprocessing and Reuse of Rare-Earth Magnets in a Circular Economy (SUSMAGPRO): Grant agreement ID: 821114. Available online: https://cordis.europa.eu/project/id/821114 (accessed on 20 January 2025).
- Horizon Europe. Resilient and Sustainable Critical Raw Materials REE Supply Chains for the e-Mobility and Renewable Energy Ecosystems and Strategic Sectors. Available online: https://cordis.europa.eu/project/id/101058598 (accessed on 20 January 2025).
- Rodewald, W.; Katter, M.; Reppel, G. Fortschritte bei pulvermetallurgisch hergestellten Neodym-Eisen-Bor Magneten. In Proceedings of the Hagener Tagungsbände: Pulvermetallurgie in Wissenschaft und Praxis.21, Hagener Symposium Pulvermetallurgie, Fachverband Pulvermetallurgie, Hagen, Germany, 28–29 November 2002; pp. 225–245. [Google Scholar]
- Burkhardt, C.; Weber, O.; Podmiljsak, B.; Gonzalez-Gutierrez, J.; Kukla, C.; Degri, M.; Harris, I.; Walton, A. Isotropic NdFeB hard magnets: MIM production using recycled powders with and without Nd additions. Powder Inject. Mould. Int. 2017, 11, 75–81. [Google Scholar]
- Bioud, T.; Ollivier, M.; Favergeon, L.; Luca, S.; Rolère, S. Organic Contamination During the PIM Process of High-Performance NdFeB Magnets: Mechanisms and Solutions. In Proceedings of the World PM 2022, Session 68: Functional Materials—Hard Magnetics, Lyon, France, 9–13 October 2022; European Powder Metallurgy Association: Chantilly, France, 2022. [Google Scholar]
- Hartwig, T.; Lopes, L.; Wendhausen, P.; Ünal, N. Metal Injection Molding (MIM) of NdFeB Magnets. EPJ Web Conf. 2014, 75, 4002. [Google Scholar] [CrossRef]
- Sotomayor, M.; Levenfeld, B.; Varez, A. Powder extrusion moulding of 430L stainless steel thin tubes for porous metal supported SOFCs. Powder Metall. 2011, 54, 103–107. [Google Scholar] [CrossRef]
- Strano, M.; Rane, K.; Briatico Vangosa, F.; Di Landro, L. Extrusion of metal powder-polymer mixtures: Melt rheology and process stability. J. Mater. Process. Technol. 2019, 273, 116250. [Google Scholar] [CrossRef]
- Rathfelder, S.; Schuschnigg, S.; Kukla, C.; Holzer, C.; Burkhardt, C. Production of Permanent Magnets from Recycled NdFeB Powder with Powder Extrusion Moulding. J. Manuf. Mater. Process. 2024, 8, 81. [Google Scholar] [CrossRef]
- Lopes, L.; Santos, E.; Hartwig, T.; Wendhausen, P. On the Texture Evaluation of Nd-Fe-B Magnets with Different Alignment Degrees. In Proceedings of the 23rd International Workshop on Rare Earth and Future Permanent Magnets and Their Applications (REPM2014), Annapolis, MD, USA, 17–21 August 2014. [Google Scholar]
- Quispe, L.T.; Röhrig, M.; Monteiro, J.L.; Lopes, L.U.; Wendhausen, P.A. Fast experimental estimation of texture distribution and alignment degree in permanent magnets. J. Appl. Phys. 2020, 128, 165101. [Google Scholar] [CrossRef]
- Pototsching, P.; Gratz, E.; Kirchmayr, H.; Lindbaum, A. X-ray diffraction in magnetic fields. J. Alloys Compd. 1997, 247, 234–239. [Google Scholar] [CrossRef]
- Bahl, C.R.H. Estimating the demagnetization factors for regular permanent magnet pieces. AIP Adv. 2021, 11, 75028. [Google Scholar] [CrossRef]
- Kaneko, Y.; Tokuhara, K.; Ishigaki, N. Research on high performance Nd2Fe14B sintered magnets. Vacuum 1996, 47, 907–910. [Google Scholar] [CrossRef]
- Sarkar, A.; Somashekara, M.A.; Paranthaman, M.P.; Kramer, M.; Haase, C.; Nlebedim, I.C. Functionalizing magnet additive manufacturing with in-situ magnetic field source. Addit. Manuf. 2020, 34, 101289. [Google Scholar] [CrossRef]
- Sarkar, A.; Paranthaman, M.P.; Nlebedim, I.C. In-situ magnetic alignment model for additive manufacturing of anisotropic bonded magnets. Addit. Manuf. 2021, 46, 102096. [Google Scholar] [CrossRef]
- Sonnleitner, K.; Huber, C.; Teliban, I.; Kobe, S.; Saje, B.; Kagerbauer, D.; Reissner, M.; Lengauer, C.; Groenefeld, M.; Suess, D. 3D printing of polymer-bonded anisotropic magnets in an external magnetic field and by a modified production process. Appl. Phys. Lett. 2020, 116, 92403. [Google Scholar] [CrossRef]
- Gandha, K.; Li, L.; Nlebedim, I.C.; Post, B.K.; Kunc, V.; Sales, B.C.; Bell, J.; Paranthaman, M.P. Additive manufacturing of anisotropic hybrid NdFeB-SmFeN nylon composite bonded magnets. J. Magn. Magn. Mater. 2018, 467, 8–13. [Google Scholar] [CrossRef]
- Walton, A.; Yi, H.; Rowson, N.A.; Speight, J.D.; Mann, V.; Sheridan, R.S.; Bradshaw, A.; Harris, I.R.; Williams, A.J. The use of hydrogen to separate and recycle neodymium–iron–boron-type magnets from electronic waste. J. Clean. Prod. 2015, 104, 236–241. [Google Scholar] [CrossRef]
- Sprecher, B.; Kleijn, R.; Kramer, G.J. Recycling potential of neodymium: The case of computer hard disk drives. Environ. Sci. Technol. 2014, 48, 9506–9513. [Google Scholar] [CrossRef]
- Fruchart, D.; Miraglia, S.; de Rango, P.; Wolfers, P. Hydrogen location in hard magnet materials: Scheme, fundamental aspects, processes. J. Alloys Compd. 2004, 383, 17–22. [Google Scholar] [CrossRef]
- Wiesinger, G.; Hilscher, G.; Grössinger, R. Effect of hydrogen absorption on the magnetic properties of Nd15Fe77B8. J. Less Common Met. 1987, 131, 409–417. [Google Scholar] [CrossRef]
- Sun, Y.; Gao, R.W.; Han, G.B.; Bai, G.; Liu, T.; Wang, B. Effects of powder flowability on the alignment degree and magnetic properties for NdFeB sintermagnets. J. Magn. Magn. Mater. 2006, 299, 82–86. [Google Scholar] [CrossRef]
- Givord, D.; Tenaud, P.; Viadieu, T. Analysis of hysteresis loops in Nd-Fe-B sintered magnets. J. Appl. Phys. 1986, 60, 3263–3265. [Google Scholar] [CrossRef]
- Tannous, C.; Gieraltowski, J. The Stoner–Wohlfarth model of ferromagnetism. Eur. J. Phys. 2008, 29, 475–487. [Google Scholar] [CrossRef]
- Schrefl, T.; Schmidts, H.F.; Fidler, J.; Kronmüller, H. The role of exchange and dipolar coupling at grain boundaries in hard magnetic materials. J. Magn. Magn. Mater. 1993, 124, 251–261. [Google Scholar] [CrossRef]













| Extrusion Parameters | Values |
|---|---|
| Temperature Zone 1 [°C] | 80 |
| Temperature Zone 2 [°C] | 170 |
| Temperature Zone 3 [°C] | 175 |
| Temperature Zone 4 [°C] | 175 |
| Temperature Zone 5 [°C] | 175 |
| Temperature Zone 6 [°C] | 180 |
| Screw speed slow [rpm] | 7 |
| Haul-off speed slow [m/min] | 0.1 |
| Powder loading [%] | 50 |
| Amperage 1 [A] | 2 |
| Amperage 2 [A] | 6 |
| Amperage 3 [A] | 10 |
| Sample | Br∥[mT] | Js∥[mT] | Density [g/cm3] | |
|---|---|---|---|---|
| Eol magnet | 1194 | 1247 | 0.96 | 7.50 |
| PEM magnet, isotropic | 531 | 678 | 0.78 | 7.28 |
| Sample | Coercivity [kA/m] | Remanence [mT] | Saturation [mT] | BHmax [kJ/m3] | Br/Js Ratio ‖Easy Axis | Br/Js Ratio ‖Hard Axis | Density [g/cm3] |
|---|---|---|---|---|---|---|---|
| V2-SL–25 mm-2 A | 1269.20 | 604.74 | 769.83 | 59.12 | 0.79 | 0.34 | 7.32 |
| V2-SL–25 mm-6 A | 1372.37 | 718.11 | 849.68 | 86.40 | 0.85 | 0.30 | 7.31 |
| V2-SL–25 mm-10 A | 1271.61 | 703.24 | 823.93 | 80.88 | 0.85 | 0.29 | 7.29 |
| V2-SL–12.5 mm-2 A | 1103.79 | 713.76 | 832.85 | 80.99 | 0.86 | 0.27 | 7.30 |
| V2-SL–12.5 mm-6 A | 1179.55 | 936.95 | 982.36 | 152.24 | 0.95 | 0.22 | 7.28 |
| V2-SL–12.5 mm-10 A | 1110.50 | 1019.66 | 1074.49 | 160.97 | 0.95 | 0.21 | 7.27 |
| V2-SL–10 mm-2 A | 1065.13 | 693.92 | 844.27 | 69.97 | 0.82 | 0.27 | 7.30 |
| V2-SL–10 mm-6 A | 1114.84 | 857.75 | 972.89 | 105.71 | 0.88 | 0.24 | 7.20 |
| V2-SL–10 mm-10 A | 1072.21 | 996.83 | 1071.61 | 142.27 | 0.93 | 0.23 | 7.26 |
| V2-SL–8 mm-2 A | 1103.98 | 693.47 | 831.72 | 68.74 | 0.83 | 0.31 | 7.31 |
| V2-SL–8 mm-6 A | 1052.09 | 922.96 | 987.40 | 132.62 | 0.93 | 0.29 | 7.23 |
| V2-SL–8 mm-10 A | 1119.89 | 937.38 | 1008.87 | 142.65 | 0.93 | 0.25 | 7.24 |
| Sample | Coercivity [kA/m] | Remanence [mT] | Saturation [mT] | BHmax [kJ/m3] | Br/Js Ratio ‖Easy-Axis | Br/Js Ratio ‖Hard-Axis | Density [g/cm3] |
|---|---|---|---|---|---|---|---|
| V3-SL–12.5 mm-2 A | 1145.61 | 691.67 | 798.49 | 73.83 | 0.87 | 0.27 | 7.30 |
| V3-SL–12.5 mm-6 A | 1279.49 | 947.34 | 1002.84 | 148.79 | 0.94 | 0.24 | 7.29 |
| V3-SL–12.5 mm-10 A | 1190.18 | 986.81 | 1048.38 | 138.19 | 0.94 | 0.22 | 7.27 |
| V3-SL–10 mm-2 A | 1273.35 | 549.31 | 686.53 | 51.71 | 0.80 | 0.30 | 7.31 |
| V3-SL–10 mm-6 A | 1120.33 | 898.43 | 982.04 | 129.17 | 0.91 | 0.25 | 7.22 |
| V3-SL–10 mm-10 A | 1119.63 | 953.25 | 1017.71 | 142.56 | 0.94 | 0.22 | 7.29 |
| V3-SL–8 mm-2 A | 1005.81 | 549.69 | 711.42 | 47.72 | 0.77 | 0.33 | 7.29 |
| V3-SL–8 mm-6 A | 1139.50 | 740.43 | 822.37 | 92.98 | 0.90 | 0.27 | 7.22 |
| V3-SL–8 mm-10 A | 1058.42 | 897.55 | 977.53 | 122.58 | 0.92 | 0.26 | 7.19 |
Disclaimer/Publisher’s Note: The statements, opinions and data contained in all publications are solely those of the individual author(s) and contributor(s) and not of MDPI and/or the editor(s). MDPI and/or the editor(s) disclaim responsibility for any injury to people or property resulting from any ideas, methods, instructions or products referred to in the content. |
© 2025 by the authors. Licensee MDPI, Basel, Switzerland. This article is an open access article distributed under the terms and conditions of the Creative Commons Attribution (CC BY) license (https://creativecommons.org/licenses/by/4.0/).
Share and Cite
Rathfelder, S.; Schuschnigg, S.; Kukla, C.; Holzer, C.; Suess, D.; Burkhardt, C. Production of Anisotropic NdFeB Permanent Magnets with In Situ Magnetic Particle Alignment Using Powder Extrusion. Materials 2025, 18, 3668. https://doi.org/10.3390/ma18153668
Rathfelder S, Schuschnigg S, Kukla C, Holzer C, Suess D, Burkhardt C. Production of Anisotropic NdFeB Permanent Magnets with In Situ Magnetic Particle Alignment Using Powder Extrusion. Materials. 2025; 18(15):3668. https://doi.org/10.3390/ma18153668
Chicago/Turabian StyleRathfelder, Stefan, Stephan Schuschnigg, Christian Kukla, Clemens Holzer, Dieter Suess, and Carlo Burkhardt. 2025. "Production of Anisotropic NdFeB Permanent Magnets with In Situ Magnetic Particle Alignment Using Powder Extrusion" Materials 18, no. 15: 3668. https://doi.org/10.3390/ma18153668
APA StyleRathfelder, S., Schuschnigg, S., Kukla, C., Holzer, C., Suess, D., & Burkhardt, C. (2025). Production of Anisotropic NdFeB Permanent Magnets with In Situ Magnetic Particle Alignment Using Powder Extrusion. Materials, 18(15), 3668. https://doi.org/10.3390/ma18153668

