Static and Vibration Analysis of Imperfect Thermoelastic Laminated Plates on a Winkler Foundation
Abstract
1. Introduction
2. Basic Equations
3. Formula Derivation
4. Imperfect Interface
5. Numerical Results and Discussion
5.1. Validation
5.2. Frequency Analysis
5.3. Modal Analysis
5.4. Static Bending Analysis
6. Conclusions
- (1)
 - The presence of imperfect interfaces reduces the overall stiffness of the laminated plate, leading to a decrease in its natural frequency. However, the foundation effect provides additional elastic support, thereby increasing the overall vibration frequency of the structure. Under low thermomechanical coupling and uniform thermal fields, thermal conductivity has a limited influence on the vibrational response.
 - (2)
 - Under thermo-mechanical coupling, phase inversion phenomena are observed between temperature and heat flux in the modal patterns. Incompatible thermal expansions at weak interfaces intensify displacement gradients, leading to enhanced local deformation and stress concentration.
 - (3)
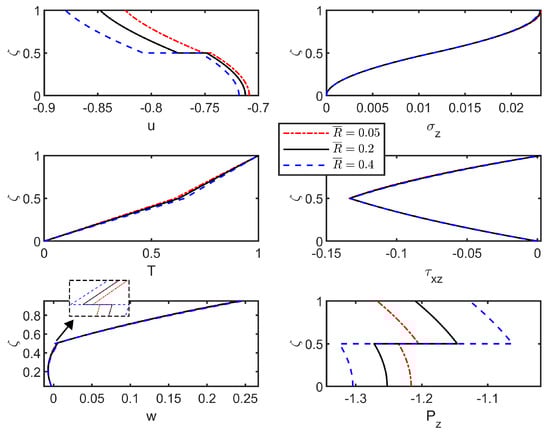
 - When the dimensionless foundation coefficient is small, its impact on deformation is more pronounced. As the dimensionless foundation coefficient increases, the changes in stress and displacement gradually diminish. When the dimensionless foundation coefficient reaches a specific value, the effect on field variables stabilizes.
 - (4)
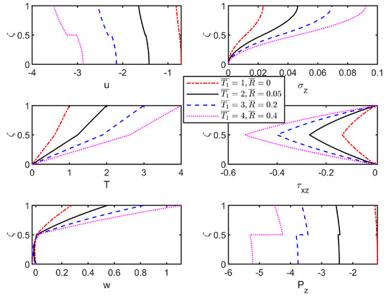
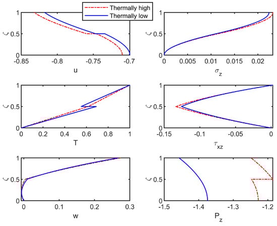
 - In the static analysis, it is evident that, under otherwise identical conditions, higher thermal conductivity leads to more pronounced variations in stress and displacement. Furthermore, an increase in the top surface temperature systematically amplifies the variations in all field variables.
 
Author Contributions
Funding
Institutional Review Board Statement
Informed Consent Statement
Data Availability Statement
Conflicts of Interest
Appendix A
Appendix A.1
Appendix A.2
Appendix A.3
References
- Vijayan, D.S.; Sivasuriyan, A.; Devarajan, P.; Stefańska, A.; Wodzyński, Ł.; Koda, E. Carbon fibre-reinforced polymer (CFRP) composites in civil engineering application-a comprehensive review. Buildings 2023, 13, 1509. [Google Scholar] [CrossRef]
 - Palomba, G.; Epasto, G.; Crupi, V. Lightweight sandwich structures for marine applications: A review. Mech. Adv. Mater. Struct. 2022, 29, 4839–4864. [Google Scholar] [CrossRef]
 - Georgantzinos, S.K.; Giannopoulos, G.I.; Stamoulis, K.; Markolefas, S. Composites in aerospace and mechanical engineering. Materials 2023, 16, 7230. [Google Scholar] [CrossRef]
 - Kausar, A.; Ahmad, I.; Rakha, S.A.; Eisa, M.H.; Diallo, A. State-of-the-art of sandwich composite structures: Manufacturing-to-high performance applications. J. Compos. Sci. 2023, 7, 102. [Google Scholar] [CrossRef]
 - Xue, Z.G.; Zhang, B.; Sun, B.Y.; Wang, D. Post-buckling paths and vibration characteristics of a plate resting on the elastic foundation in thermal environment. Sci. Technol. Eng. 2022, 22, 6393–6399. [Google Scholar]
 - Kardooni, M.R.; Shishesaz, M.; Mosalmani, R. Three-dimensional thermo-mechanical elastic analysis of functionally graded five layers composite sandwich plate on Winkler foundations. J. Compos. Sci. 2022, 6, 372. [Google Scholar] [CrossRef]
 - Celep, Z.; Özcan, Z.; Güner, A. Elastic triangular plate dynamics on unilateral Winkler foundation: Analysis using Chebyshev polynomial expansion for forced vibrations. J. Mech. Sci. Technol. 2025, 39, 65–79. [Google Scholar] [CrossRef]
 - Zhao, Y.Y.; Tang, H.P.; Lai, Z.D.; Zhang, J.J. Free vibration analysis of porous 2D functionally graded material microbeams on Winkler’s foundation. J. Appl. Math. Mech. 2023, 4, 1354–1365. [Google Scholar]
 - Buczkowski, R.; Taczała, M.; Kleiber, M. A 16-node locking-free Mindlin plate resting on two-parameter elastic foundation-static and eigenvalue analysis. Comput. Assist. Methods Eng. Sci. 2017, 22, 99–114. [Google Scholar]
 - Zakria, A.; Yahya, A.M.; Saidi, A.; Suhail, M.; Rabih, M.N.A.; Osman, O.A.A.; Salih, E. Vibration analysis of a generalized thermoelastic microbeam based on a Pasternak foundation with dual phase-lag model. Eng. Res. Express 2025, 7, 025108. [Google Scholar] [CrossRef]
 - Daikh, A.A.; Belarbi, M.O.; Ahmed, D.; Houari, M.S.A.; Avcar, M.; Tounsi, A.; Eltaher, M.A. Static analysis of functionally graded plate structures resting on variable elastic foundation under various boundary conditions. Acta Mech. 2023, 234, 775–806. [Google Scholar] [CrossRef]
 - Van Vinh, P.; Zenkour, A.M. Vibration analysis of functionally graded sandwich porous plates with arbitrary boundary conditions: A new general viscoelastic Winkler-Pasternak foundation approach. Eng. Comput. 2025, 1–29. [Google Scholar] [CrossRef]
 - Kumar, V.; Singh, S.J.; Saran, V.H.; Harsha, S.P. Vibration analysis of the rectangular FG materials plate with variable thickness on Winkler–Pasternak–Kerr elastic foundation. Mater. Today Proc. 2022, 62, 184–190. [Google Scholar] [CrossRef]
 - Williams, T.O. Efficiency and accuracy considerations in a unified plate theory with delamination. Compos. Struct. 2001, 52, 27–40. [Google Scholar] [CrossRef]
 - Shu, X.P. Vibration and bending of antisymmetrically angle-ply laminated plates with perfectly and weakly bonded layers. Compos. Struct. 2001, 53, 245–255. [Google Scholar] [CrossRef]
 - Icardi, U.; Sciuva, M.D.; Librescu, L. Dynamic response of adaptive cross-ply cantilevers featuring interlaminar bonding imperfections. AIAA J. 2000, 38, 499–506. [Google Scholar] [CrossRef]
 - Liu, C.B.; Lu, C.F. Free Vibration of Laminated Piezoelectric Spherical Shells with Weak Interface Characteristics. J. Solid. Mech. 2012, 33, 317–324. [Google Scholar]
 - Zheng, Y.F.; Kang, C.C.; Gao, J.; Chen, C.P. Nonlinear static analysis of magneto-electro-elastic laminated beam with weak interfacial bonding. J. Fuzhou Univ. (Nat. Sci. Ed.) 2022, 50, 214–221. [Google Scholar]
 - Chen, W.Q.; Lee, K.Y. Three-dimensional exact analysis of angle-ply laminates in cylindrical bending with interfacial damage via state-space method. Compos. Struct. 2004, 64, 275–283. [Google Scholar] [CrossRef]
 - Wang, X.; Pan, E. Exact solutions for simply supported and multilayered piezo-thermoelastic plates with imperfect interfaces. Open Mech. Eng. J. 2007, 1, 1–10. [Google Scholar] [CrossRef]
 - Chen, W.Q.; Zhou, Y.Y.; Lu, C.F.; Ding, H.J. Bending of multiferroic laminated rectangular plates with imperfect interlaminar bonding. Eur. J. Mech. A/Solids. 2009, 28, 720–727. [Google Scholar] [CrossRef]
 - Khatir, A.; Capozucca, R.; Khatir, S.; Magagnini, E.; Benaissa, B.; Le Thanh, C.; Abdel Wahab, M. A new hybrid PSO-YUKI for double cracks identification in CFRP cantilever beam. Compos. Struct. 2023, 311, 116803. [Google Scholar] [CrossRef]
 - Zhou, Y.-Y.; Chen, W.-Q.; Lu, C.-F. Exact solution for simply supported multiferroic laminates with imperfect interfaces. In Proceedings of the 2009 Symposium on Piezoelectricity, Acoustic Waves, and Device Applications (SPAWDA 2009), Wuhan, China, 17–20 December 2009; IEEE: Piscataway, NJ, USA, 2009; pp. 309–403. [Google Scholar]
 - Zhou, Y.Y.; Chen, W.Q.; Lu, C.F.; Wang, J. Free vibration of cross-ply piezoelectric laminates in cylindrical bending with arbitrary edges. Compos. Struct. 2009, 87, 93–100. [Google Scholar] [CrossRef]
 - Benveniste, Y. On the decay of end effects in conduction phenomena: A sandwich strip with imperfect interfaces of low or high conductivity. J. Appl. Phys. 1999, 86, 1273–1279. [Google Scholar] [CrossRef]
 - Wang, X.; Pan, E. Magnetoelectric effects in multiferroic fibrous composite with imperfect interface. Phys. Rev. B Condens. Matter Mater. Phys. 2007, 76, 214107.1–214107.7. [Google Scholar] [CrossRef]
 - Lu, C.F.; Chen, W.Q.; Bian, Z.G. Free vibration analysis of beams on Winkler foundation via state-space-based differential quadrature. J. Zhejiang Univ. Eng. Sci. 2004, 38, 5. [Google Scholar]
 - Zhou, Y.Y.; Liu, J.H.; Mei, H.; Hou, D.G.; Yue, Z.J.; Zhang, Y.X. Study on the effects of initial stress and imperfect interface on static and dynamic problems in thermoelastic laminated plates. Sci. Eng. Compos. Mater. 2025, 32, 20240050. [Google Scholar] [CrossRef]
 - Zhou, Y.Y. Vibration and Wave Propagation in the Multi-Field Laminated Structures; Zhejiang University: Hangzhou, China, 2011. [Google Scholar]
 - Wang, X.; Li, F.; Zhang, B.; Xu, J.; Zhang, X. Wave propagation in thermoelastic inhomogeneous hollow cylinders by analytical integration orthogonal polynomial approach. Appl. Math. Model. 2021, 99, 57–80. [Google Scholar] [CrossRef]
 









| Material Properties | Material I (BaTiO3)  | Material II (CoFe2O4)  | |
|---|---|---|---|
| Density (×103 kg/m3)  | 5.85 | 5.3 | |
| Elastic constants (×109 N/m2)  | 166 | 286 | |
| 77 | 173 | ||
| 162 | 269.5 | ||
| 43 | 45.3 | 
| = 0 | = 0.1 | |||||
|---|---|---|---|---|---|---|
| Mode | Ref. [29] | Present | Error (%) | Ref. [29] | Present | Error (%) | 
| 1 | 0.05331489 | 0.05338911 | 0.139 | 0.05314471 | 0.05322836 | 0.157 | 
| 0.60148603 | 0.60435096 | 0.476 | 0.60145326 | 0.60424158 | 0.464 | |
| 3.37140364 | 3.32553823 | –1.360 | 3.04452649 | 3.02939519 | 0.497 | |
| 2 | 0.20256454 | 0.20250937 | –0.027 | 0.20032587 | 0.20040456 | 0.039 | 
| 1.19839311 | 1.2023193 | 0.328 | 1.19813853 | 1.20132375 | 0.266 | |
| 3.54649453 | 3.50637683 | –1.131 | 3.23138724 | 3.22232972 | –0.280 | |
| 3 | 0.42370808 | 0.4227022 | –0.237 | 0.41505409 | 0.41461008 | –0.107 | 
| 1.78561828 | 1.78702302 | 0.079 | 1.78480695 | 1.78289915 | –0.107 | |
| 3.80931899 | 3.77788484 | –0.825 | 3.5098448 | 3.50995143 | 0.003 | |
| 4 | 0.69261942 | 0.68949411 | –0.451 | 0.67240478 | 0.67068738 | 0.255 | 
| 2.3569225 | 2.35060323 | –0.268 | 2.35518253 | 2.33780214 | –0.738 | |
| 4.13355602 | 4.11264194 | –0.506 | 3.85138203 | 3.86009914 | 0.226 | |
| 5 | 0.99129138 | 0.98482602 | –0.652 | 0.955109 | 0.95130404 | –0.398 | 
| 2.90417579 | 2.88382145 | –0.701 | 2.90130344 | 2.84936174 | –1.781 | |
| 4.49781778 | 4.48699559 | –0.241 | 4.23358868 | 4.23334453 | –0.006 | |
| 6 | 1.30791029 | 1.29696028 | –0.837 | 1.25267996 | 1.24595091 | –0.537 | 
| 3.41658095 | 3.37589287 | –1.191 | 3.41281569 | 3.29208185 | –3.538 | |
| 4.88532846 | 4.87951409 | –0.119 | 4.63907934 | 4.56049991 | –1.694 | |
| 7 | 1.63511459 | 1.61862439 | –1.009 | 1.55908477 | 1.54854661 | –0.676 | 
| 3.88061699 | 3.81512673 | –1.688 | 3.87677183 | 3.6369564 | –6.186 | |
| 5.28208894 | 5.26968072 | –0.235 | 6.4357201 * | 4.8423924 | –24.76 | 
| Material Properties | Material I (Si3N4) | Material II (Cobalt) | |
|---|---|---|---|
| Density (×103 kg/m3)  | 3.2 | 8.836 | |
| Elastic constants (×109 N/m2)  | 574 | 307.1 | |
| 127 | 102.7 | ||
| 433 | 358.1 | ||
| 108 | 75.5 | ||
| Thermal moduli (×106 N/K/m2)  | 3.22 | 7.04 | |
| 2.71 | 6.9 | ||
| Heat conduction  coefficients (W/K/m)  | 55.4 | 69 | |
| 43.5 | 69 | 
| = 0 | = 0.05 | = 0.1 | = 0.5 | = 1 | 
|---|---|---|---|---|
| 0.0379 | 0.0378 | 0.0377 | 0.0373 | 0.0368 | 
| 0.1420 | 0.1413 | 0.1406 | 0.1357 | 0.1357 | 
| 0.2925 | 0.2899 | 0.2874 | 0.2706 | 0.2551 | 
| 0.4402 | 0.4396 | 0.4389 | 0.4240 | 0.3948 | 
| 0.4712 | 0.4652 | 0.4595 | 0.4342 | 0.4286 | 
| = 0 | = 0.05 | = 0.1 | = 0.5 | = 1 | 
|---|---|---|---|---|
| 0.4402 | 0.4395 | 0.4389 | 0.4342 | 0.4286 | 
| 0.4402 | 0.8503 | 0.8461 | 0.8164 | 0.7747 | 
| 0.4402 | 1.2168 | 1.2063 | 1.0246 | 0.7828 | 
| 0.4402 | 1.5425 | 1.5223 | 1.0258 | 0.7886 | 
| 0.4402 | 1.6933 | 1.5551 | 1.0313 | 0.7939 | 
Disclaimer/Publisher’s Note: The statements, opinions and data contained in all publications are solely those of the individual author(s) and contributor(s) and not of MDPI and/or the editor(s). MDPI and/or the editor(s) disclaim responsibility for any injury to people or property resulting from any ideas, methods, instructions or products referred to in the content.  | 
© 2025 by the authors. Licensee MDPI, Basel, Switzerland. This article is an open access article distributed under the terms and conditions of the Creative Commons Attribution (CC BY) license (https://creativecommons.org/licenses/by/4.0/).
Share and Cite
Liu, J.; Zhou, Y.; Meng, Y.; Mei, H.; Yue, Z.; Liu, Y. Static and Vibration Analysis of Imperfect Thermoelastic Laminated Plates on a Winkler Foundation. Materials 2025, 18, 3514. https://doi.org/10.3390/ma18153514
Liu J, Zhou Y, Meng Y, Mei H, Yue Z, Liu Y. Static and Vibration Analysis of Imperfect Thermoelastic Laminated Plates on a Winkler Foundation. Materials. 2025; 18(15):3514. https://doi.org/10.3390/ma18153514
Chicago/Turabian StyleLiu, Jiahuan, Yunying Zhou, Yipei Meng, Hong Mei, Zhijie Yue, and Yan Liu. 2025. "Static and Vibration Analysis of Imperfect Thermoelastic Laminated Plates on a Winkler Foundation" Materials 18, no. 15: 3514. https://doi.org/10.3390/ma18153514
APA StyleLiu, J., Zhou, Y., Meng, Y., Mei, H., Yue, Z., & Liu, Y. (2025). Static and Vibration Analysis of Imperfect Thermoelastic Laminated Plates on a Winkler Foundation. Materials, 18(15), 3514. https://doi.org/10.3390/ma18153514
        