Abstract
Methoxy poly(ethylene glycol)-block-poly(L-lactide) (MPEG-b-PLLA) has a wide range of applications in pharmaceuticals and biology, and its structure and morphology have been thoroughly studied. In the experiment, we synthesized MPEG-b-PLLA with different block lengths using the principle of ring-opening polymerization by controlling the amount of lactic acid added. The thermodynamic properties of copolymers and the crystallization properties of blends were studied separately. The crystallization kinetics of PDLA/MPEG-b-PLA and PLLA/MPEG-b-PLA composite films were studied using differential scanning calorimetry (DSC). The results indicate that the crystallization kinetics of composite films are closely related to the amount of block addition. The crystallinity of the sample first increases and then decreases with an increase in MPEG-b-PLLA content. These results were also confirmed in polarized optical microscope (POM) and wide-angle X-ray diffraction (WAXD) tests. When 3% MPEG-b-PLLA was added to the PDLA matrix, the blend exhibited the strongest crystallization performance.
1. Introduction
The fermentation of agricultural and sideline products produces lactic acid, and polylactic acid (PLA) is polymerized from lactic acid monomers [1,2]. PLA can be naturally degraded and is widely used in the field of biomedicine [3]. The crystallization performance has a significant impact on the molding and processing of polymers [4,5], ultimately affecting the performance of products. Stereocomplex (SCs) crystallization is a common phenomenon in polymer crystallization [6], where polymer chains that are stereoisomeric can undergo SCs crystallization in both blend systems and block copolymers [7]. The SCs crystallization of PLA is the most representative of the SCs crystallization system. In SCs-PLA, there are strong intermolecular interactions (hydrogen bonds) [8,9] between the molecular chains, which can form tight packing [10]. This unique structure often makes materials with stereocomposite crystallization have higher melting points [11,12] and better crystallization ability [12], heat resistance [13], mechanical properties [14], and chemical stability [15].
The melting temperature (Tm) of PLA is 150~170 °C, and its glass transition temperature (Tg) is 60 °C [16]. However, for traditional PLA materials, the disadvantages of low usage temperature and poor durability limit their application. Block copolymerization is an effective method for improving the performance of a single PLA material. The addition of PEG components can improve the hydrophilicity of PLA [17] while improving its resistance to degradation [18] and other physical properties [19]. Therefore, PEG-PLA has many applications in the field of drug release [20]. PEG-PLA block copolymers can form hydrogels [21], micelles [22], nanoparticles [23], etc. They have been used in biopharmaceutical fields such as controlled drug release and tissue engineering [24,25]. For example, morphology [26], self-organization [27], crystal structure [28], and crystallization rate [29,30] have been discussed in a variety of situations. The crystallization characteristics of one segment in block copolymers containing two crystal segments are influenced by the composition, structure, and size of the other segments [31]. Researching these impacts aids in enhancing the comprehension of crystallization patterns exhibited by block copolymers. In our previous work, we synthesized a block copolymer with a wide range of PLLA/PDLA molecular weights to study crystallization and melting behaviors [32,33,34]. However, a comprehensive investigation into the crystallization kinetics across various block lengths has not been conducted, a factor that holds importance in the regulation of performance and comprehension of crystallization tendencies exhibited by block copolymers.
This study synthesized MPEG-b-PLLA diblock copolymers with different PEG contents. Then, the crystallization behavior of MPEG-b-PLLA and its composite films with PDLA and PLLA was analyzed using differential scanning calorimetry (DSC). Simultaneously, these samples were isothermally crystallized at different times via a polarized optical microscope (POM). The results indicate that the crystallization behavior of block polymer MPEG-b-PLLA depends on its length; in contrast, for composite membrane samples, it depends on the amount of MPEG-b-PLLA block polymer added. With an increase in MPEG2-PLLLA2, the crystallization rate increases first and then decreases.
2. Materials and Methods
2.1. Synthesis of MPEG-b-PLLA Diblock Copolymers
The raw materials required for the experiment included tin(II)2-ethylhexanoate (Sn(Oct)2, >99.9%), toluene (99.8%, anhydrous), ethyl ether (99.8%, anhydrous), CHCl3 (density 1.47–1.48 g/mL), L-lactic acid monomer, and MPEG (Mn = 2000 g/mol, Đ = 1.08).
The synthesis route is shown in Figure 1. PLLA was synthesized via the ring-opening polymerization of L-lactide, following methods outlined in the existing literature [35,36]. Using Sn (Oct)2 as the catalyst and PEG as the initiator, MPEG-b-PLLA block copolymers were synthesized via the ring-opening polymerization (ROP) of PLA intermediate lactide in a toluene environment at 120 °C for 12 h. The copolymers were isolated via precipitation in diethyl ether. The unreacted raw materials and impurities were consumed during treatment with ethanol. MPEG and PLLA blocks were prepared with different molecular weights, and they were named MPEG2-PLLA1, MPEG2-PLLA2, MPEG2-PLLA3, and MPEG2-PLLA4. Numeric subscripts represent the proportion of each component in the polymer.
Figure 1.
Synthesis of MPEG-b-PLLA.
2.2. Solution-Cast Composite Films
PLA composite films were produced using a technique known as solution casting, with certain adjustments made to the process, as outlined in a prior scholarly article [37]. We chose MPEG2-PLLA2. Various loadings (1, 2, 3, 5 and 10 wt %) of MPEG-b-PLLA were used as fillers in the PDLA matrix to prepare PDLA/MPEG-b-PLLA and PLLA/MPEG-b-PLLA films, which were named PDLA-1, PDLA-2, PDLA-3, PDLA-5, and PDLA-10. Similarly, the same operations were applied with PLLA as a matrix, and these films were named PLLA-1, PLLA-2, PLLA-3, PLLA-5, and PLLA-10. A specified amount of MPEG-b-PLLA copolymer was mixed with 50 milliliters of CHCl3 and stirred magnetically at 500 rpm for 2 h. The solution was filtered to remove all insoluble impurities. After filtration, the filtrate was transferred to a conical flask, PLLA or PDLA was added, and mixing was carried out thoroughly for 2 h via magnetic stirring. After mixing, the solution was poured into a suitably sized mold and left to stand in a fume hood for 12 h. Then, the resulting film was dried in a vacuum oven at 40 °C for 12 h to eliminate any remaining solvents. Subsequently, the prepared dry film was used for further analysis (Table 1 and Table 2).
Table 1.
Content of MPEG-b-PLLA in PLLA/MPEG-b-PLLA composite films.
Table 2.
Content of MPEG-b-PLLA in PDLA/MPEG-b-PLLA composite films.
2.3. Characterizations
2.3.1. Analysis of Polymer Synthesis Results
The Fourier transform infrared spectrometer (FTIR) equipped with a DTGS detector (FT-IR-360, Perkin Elmer Enterprise Management Co., Ltd., Shanghai, China) was measured. The total attenuated reflectivity (ATR) technique is used for infrared measurement. The spectrum was obtained through 64 scans with a resolution of 2 cm−1, and a scanning range of 400–4000 cm−1 with a KBr pellet. All samples were dried in a vacuum oven at 40 °C for 48 h before testing.
The Mn values of MPEG-b-PLLA block copolymers were estimated by 600 MHz 1H-NMR spectroscopy (Bruker, Biospin, Switzerland), and CDCl3 and TMS were adopted as solvent and internal references, respectively.
The gel permeation chromatography (GPC) curve was measured by gel permeation chromatography (Malvern Viscotek 270, Worcestershire, UK), with N,N-dimethylformamide (DMF) used as a mobile phase at 40 °C. The sample was at a concentration of 1 mg/mL, with a flow rate of 1 mL/min and an injection volume of 100 μL. Characterization of the average molecular weight (Mn) and molecular weight distribution (Ð) was conducted via routine calibration using a refractive index (RI) detector and narrow distribution polystyrene (PS) as a standard.
2.3.2. Wide Angle X-ray Diffraction (WAXD)
WAXD patterns of the samples were obtained using an X-ray diffractometer (Rigaku Corporation, Akishima, Japan) with Cu Κα radiation (λ = 0.154 nm) generated at 50 kV and 250 mA. Samples were scanned from 5° to 45° at a scanning rate of 5° min−1.
2.3.3. Differential Scanning Calorimeter (DSC)
The DSC test was carried out using a Nash DSC-200F3 differential scanning calorimeter (NETZSCH-Ger ä tebau GmbH, Selb, Germany) equipped with an IC70 cooler under a nitrogen atmosphere. The samples were heated from room temperature to 200 °C at a rate of 10 °C min−1, and this was followed by heating for a duration of 5 min to eliminate any prior thermal effects. Subsequently, samples were cooled to 30 °C at a rate of 10 °C min−1 and then reheated to 200 °C at the same heating rate.
2.3.4. Thermogravimetric Analysis (TGA)
The TGA test was conducted on a NETZSCH-209F1 thermogravimetric analyzer (NETZSCH-209 F1, Selb, Germany) equipped with a special IC40 cooler at a nitrogen flow rate of 100 mL/min. The sample was approximately 3–5 mg and was heated from 20 °C to 600 °C at a heating rate of 10 °C min−1.
2.3.5. Polarized Optical Microscope (POM)
A polarizing microscope (POM) was used to observe the crystal morphology of spherulites. POM images were collected under a nitrogen atmosphere using a polarizing microscope (Eclipse E200 POL, Nikon, Japan) equipped with a hot table (LTS420; Linkam scientific instruments, Redhill, UK). The sample was melted at 180 °C, and the crystal morphology was observed at 120 °C. The overall crystallization behaviors of samples were also monitored using digital images.
2.3.6. Environmental Scanning Electron Microscope (ESEM)
The morphology of the particles was monitored using a scanning electron microscope. These images were taken with an FEI Model Quantum 200 in high vacuum mode and an acceleration voltage of 15 kV. Using an ion coating device (FEI, Quanta 200, Hillsboro, OR, USA), the sample was plated with 20 nm thick electroplated gold.
3. Results and Discussion
3.1. Evaluation of the Preparation Parameters
FTIR and 1H-NMR spectra of Supplementary Material confirmed the synthesis of MPEG-b-PLLA material (Figures S1 and S2). As the molecular weight of the MPEG block was definite, the number average molecular weight of PLLA was determined based on the integral area ratio of 5.18 ppm (-CH-) and 3.66 ppm (-O-CH2-CH2-). The molecular weight is presented in Table 3.
Table 3.
HNMR results and component content of MPEGx-PLlAy.
The polydispersity index (PDI) of PEG, PDLA, and PLLA samples was determined via gel permeation chromatography (GPC). The specific data are shown in Table 4.
Table 4.
Molecular weights and polydispersity index of PEG, PDLA and PLLA.
3.2. Crystalline Species and Crystallinity of MPEG-b-PLLA Copolymers, PDLA/MPEG-b-PLLA and PLLA/MPEG-b-PLLA Films
In order to determine the crystal types of MPEG-b-PLLA diblock copolymers, WAXD measurements were conducted. The test results of copolymers and composite films are shown in Figure 2. PLA is recognized as a thermoplastic with relatively slow crystallization properties [38]. Pure PLA exhibits various polymorphs, including α, β, and γ forms. The α form is the most stable [39]. Through our experiments, we found that the MPEG-b-PLLA diblock polymer has a significant impact on the crystal structure of PDLA and PLLA blends. As shown in Figure 2, the diffraction peaks at 12°, 21°, and 24° correspond to the (110), (300/030), and (220) planes of stereocomposite crystals (SCs) [40,41]. The diffraction peaks at 16° and 19.0° correspond to the (110/200) and (203) planes of the α-form of homocrystals (HCs) [42,43]. The diffraction pattern in Figure 2 shows that the peaks related to the HCs coexist with SCs.
Figure 2.
WAXD profiles of MPEG-b-PLLA diblock copolymers (a), PDLA/MPEG-b-PLLA composite film (b), and PLLA/MPEG-b-PLLA composite film (c) copolymers crystallized isothermally. The broken lines show the 2θ values.
For the MPEG-b-PLLA diblock copolymer, all five peaks were observed, indicating that with the addition of MPEG, both stereocomplexes and homocrystals were observed in the polymer. For PDLA/MPEG-b-PLLA composite films, the peak values at 12° and 16° show a significant increase with an increase in MPEG-b-PLLA diblock copolymer content. This result indicates that: (1) For block copolymers, the introduction of PEG enhances HCs in the PLLA matrix, which is the role of melted PEG chain segments as the plasticizer and diluting agent [33]. In MPEG2-PLLA1 and MPEG2-PLLA2 diblock copolymers, the crystallization performs the best. (2) For composite films, PDLA-10 exhibits the strongest SCs, and PLLA-3 exhibits the strongest HCs.
3.3. Crystallization Behavior of PDLA/MPEG-b-PLLA and PLLA/MPEG-b-PLLA Composite Films
Figure 3 shows the DSC curve of PDLA/MPEG-b-PLLA and PLLA/MPEG-b-PLLA composite films. The curves were analyzed, and we obtained the glass transition temperature (Tg), cooling crystallization temperature (Tc), melting temperature (Tm), melting enthalpy (ΔH), and crystallinity (Χtc) of PDLA/MPEG-b-PLLA and PLLA/MPEG-b-PLLA composite films. The Tg, Tc, and Tm of PLA films are 60.8, 134.3, and 159.5 °C, respectively. By calculating the ratio of the melting enthalpy of the sample to the melting enthalpy of fully crystallized PLLA (93.6 J/g) [44], we obtained the crystallinity of different samples.
Figure 3.
DSC thermograms of MPEG-b-PLLA and PLLA (a), PDLA/MPEG-b-PLLA (b) and PLLA/MPEG-b-PLLA (c).
For the PLLA/MPEG-b-PLLA composite films in Figure 3c, the addition of MPEG-b-PLLA block polymers had almost no significant effect on their Tg, Tc, and Tm, but the melting enthalpy and crystallinity first increased and then decreased with an increase in MPEG-b-PLLA content.
Compared with the PLLA/MPEG-b-PLLA composite films, the Tc and Tm of the PDLA/MPEG-b-PLLA composite films all increased. The addition of MPEG-b-PLLA had a significant impact: (1) Tc first decreased and then increased. This is attributed to the plasticizing effect of the MPEG block [45], which is beneficial for reducing the conformational energy barrier and adjusting the regular stacking, and the PLLA chain was reset in order to be neatly stacked. As MPEG content increased, the early crystallization process α’ began. The increase in formation leads to an increase in Tc. (2) α’-to-α [31,46]. The increase in the enthalpy value of the transformation indicates that during the early crystallization process, α’ increased crystallization; in other words, it enhanced crystallization performance. This can be attributed to the heat release signal of α’-to-α. Then, to a certain extent, the competitive effect between the MPEG and PLLA crystallization processes inhibited PLLA crystallization. Figure 4 provides a more intuitive representation of this principle.
Figure 4.
MPEG-b-PLLA and composite films crystallization principle.
Figure 3a and Table 5 show that the Tc of MPEG-b-PLLA samples is significantly reduced, as the addition of PEG acts as a plasticizer, promoting the migration of molecular chains, and crystallization can be completed at lower temperatures. Figure 3b and Table 6 show that the crystallinity of PDLA/MPEG-b-PLLA composite films increased significantly with the addition of MPEG-b-PLLA. Figure 3c and Table 7 show the crystallinity of the PLLA/MPEG-b-PLLA composite films increased first and then decreased with an increase in MPEG-b-PLLA addition. The results show that MPEG-b-PLLA acts as a nucleating agent in the process of the recrystallization of composite films and improves the crystallization ability of composite films [33]. It should be noted that in Table 6, the crystallinity of the PLLA-10 sample decreased, which may be due to the entanglement of the MPEG-b-PLLA block polymer with the pure polylactic acid chain, further reducing the segment’s movement [12].
Table 5.
Thermal properties of MPEG-b-PLLA diblock copolymers.
Table 6.
Thermal properties of PDLA/MPEG-b-PLLA composite films.
Table 7.
Thermal properties of PLLA/MPEG-b-PLLA composite films.
3.4. Thermal Stability of MPEG-b-PLLA Diblock Copolymers
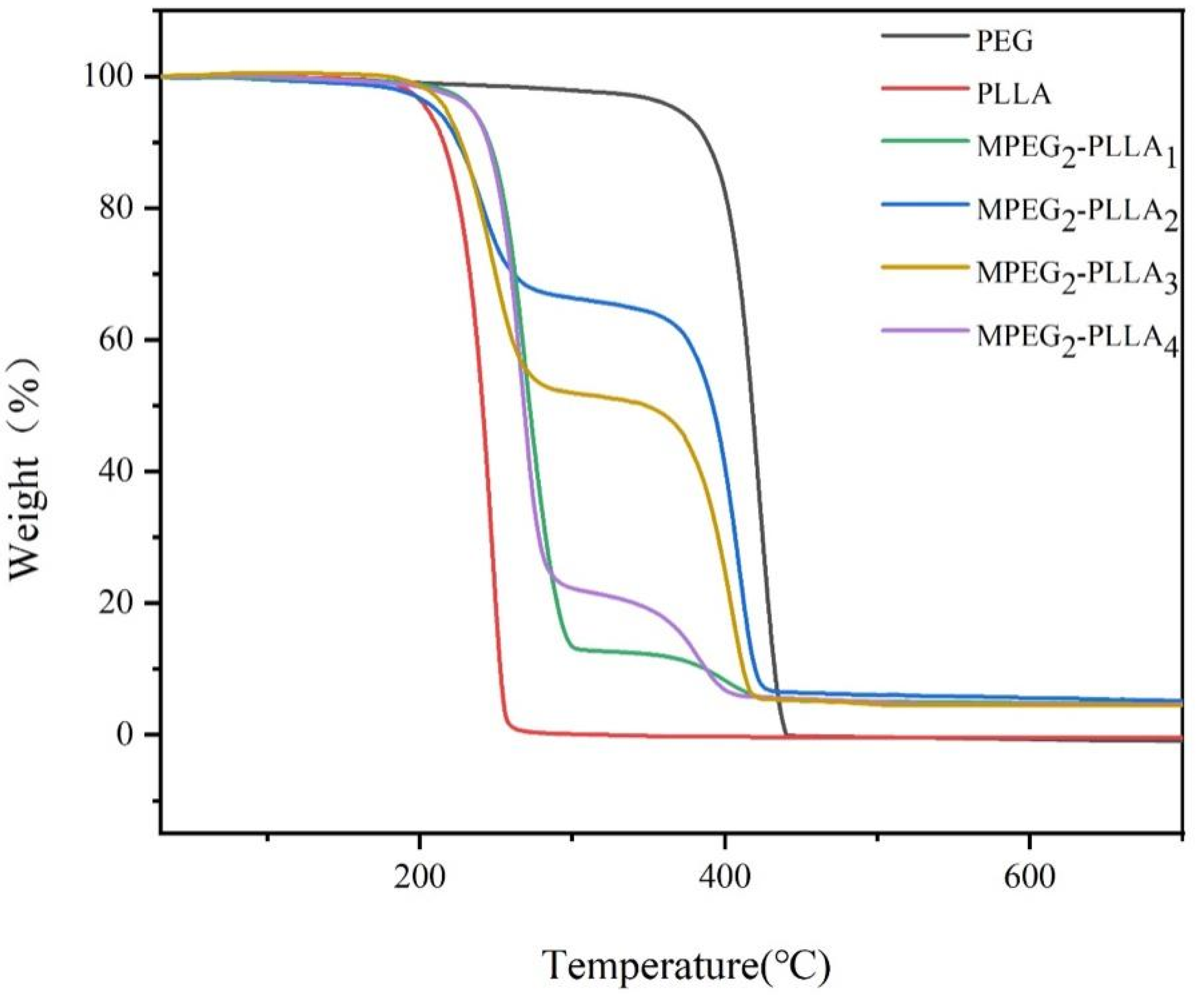
TGA curves of PEG, PLLA, and MPEG-b-PLLA diblock copolymers with different chain lengths are shown in Figure 5. The weight loss of the test samples is 5% and 50%, and the maximum degradation rate temperature (Tmax) data are shown in Table 8. The thermogravimetric analysis results show that PEG and PLLA underwent a one-step thermal degradation process. PLLA starts to decompose at 170.6 °C and completes decomposition at 269.1 °C, with almost no residue. Due to its more stable ether bonds, PEG undergoes thermal decomposition at temperatures higher than PLLA, with an initial temperature of 352.2 °C and a stable temperature of 450.1 °C. The MPEG-b-PLLA diblock copolymer underwent a two-step thermal degradation process, and the starting temperature for thermal degradation is based on the intermediate values of MPEG and PLLA. The initial thermal degradation temperature (T5%) of MPEG2-PLLA2 has decreased, which may be due to the enhanced ester exchange effect of the PLLA segments at both ends under the low melting point MPEG, promoting the thermal degradation of the copolymer. However, for the copolymers of MPEG2-PLLA1, MPEG2-PLLA3, and MPEG2-PLLA4, there is a certain degree of increase in T5% (~20 °C), which is explained by MPEG segments acting as plasticizers during the heating process to enhance the interaction (hydrogen bonding) between PLLA segments, thereby increasing the initial thermal degradation temperature (T5%). Meanwhile, the maximum thermal degradation rate temperature (T1max) and final decomposition temperature (Tfinal) confirm the above results.
Figure 5.
TGA curves of PEG, PLLA, and MPEG-b-PLLA.
Table 8.
Results of thermogravimetric analysis of PLLA, MPEG and MPEG-b-PLLA.
3.5. Morphological Structures of MPEG-b-PLLA Diblock Copolymers
Polarization microscopy can be used to visually observe the spherical structure and growth behavior of MPEG-b-PLLA diblock copolymers. As shown in Figure 6, clear Maltese cross-shaped spherulites can be observed in all samples, indicating that the radial orientation of the SCs layer from the center of the spherulites is not affected by the chain segment’s length [33]. The higher the crystallinity, the stronger the crystallization ability and the faster the crystallization rate of SCs before HCs crystallization. Moreover, the number of spherical crystals per unit area is positively correlated with the molecular weight of the copolymer. The crystallization ability of the composite film is significantly enhanced with the addition of MEPG-b-PLLA.
Figure 6.
Isothermal crystallization of MPEG-b-PLLA diblock copolymer and composite film samples were observed under POM.
In order to further explore the properties and characteristics of MPEG-b-PLLA copolymers, SEM analysis was chosen as a tool to directly observe the morphological differences between the particles of MPEG-b-PLLA copolymers with different structures. Figure 7 shows MPEG-b-PLLA copolymers with different surface structures. For the MPEG2-PLLA1 copolymer, its surface morphology and structure are relatively flat. The remaining sample images exhibit irregular concave–convex structures that have begun to appear in relatively dense surface morphology, with enhanced copolymer aggregation. In Figure 8, it can be seen that when the amount of MPEG-b-PLLA added is small, such as PDLA-1, PDLA-2, PLLA-1, and PLLA-2, the samples all exhibit a flat and smooth surface. As the content of MPEG-b-PLLA increases, irregular concave–convex structures appear on the surface of the composite film.
Figure 7.
SEM images of MPEG-b-PLLA diblock copolymer samples at different magnifications.
Figure 8.
SEM images of PDLA/MPEG-b-PLA and PLLA/MPEG-b-PLA composite films at different magnifications.
4. Conclusions
This article describes the use of WAXD, DSC, POM, and other methods to investigate the crystallization behavior and morphology of MPEG-b-PLLA and its composites with PDLA and PLLA. The results show that the introduction of MPEG accelerated the crystallization rate of PLLA, and the content of MPEG-b-PLLA had a significant impact on the crystallinity of PLLA and PDLA. The crystallinity of the composite film increases with an increase in block copolymer content. The isothermal crystallization of POM indicates that the addition of PEG promotes the crystallization of the polymer, and PEG chains have a nucleation effect on the formation of PLLA chain spherulites. During the heating process, PEG segments act as plasticizers to enhance the interaction between PLLA segments and form hydrogen bonds. In short, MPEG-b-PLLA copolymers regulate composites to achieve specific structural forms and offer potential insights for polymer medical materials, such as self-assembly.
Supplementary Materials
The following supporting information can be downloaded at: https://www.mdpi.com/article/10.3390/ma17092105/s1, Figure S1: FTIR spectra of PLLA, MPEG-b-PLLA; Figure S2: 1H NMR spectra of MPEG-b-PLLA. References [24,47,48] are cited in the Supplementary Materials.
Author Contributions
Resources, W.W. (Weixin Wu), M.G., R.W. and X.W.; Writing—original draft, W.W. (Wenjing Wu); Writing—review & editing, Q.G. All authors have read and agreed to the published version of the manuscript.
Funding
This research received no external funding.
Institutional Review Board Statement
Not applicable.
Informed Consent Statement
Not applicable.
Data Availability Statement
Data are contained within the article or Supplementary Material.
Conflicts of Interest
The authors declare no conflict of interest.
References
- John, R.P.; Nampoothiri, K.M.; Pandey, A. Solid-state fermentation for l-lactic acid production from agro wastes using Lactobacillus delbrueckii. Process Biochem. 2006, 41, 759–763. [Google Scholar] [CrossRef]
- Chen, C.; Ding, S.; Wang, D.; Li, Z.; Ye, Q. Simultaneous saccharification and fermentation of cassava to succinic acid by Escherichia coli NZN111. Bioresour. Technol. 2014, 163, 100–105. [Google Scholar] [CrossRef]
- Carvalho, J.R.G.; Conde, G.; Antonioli, M.L.; Dias, P.P.; Vasconcelos, R.O.; Taboga, S.R.; Canola, P.A.; Chinelatto, M.A.; Pereira, G.T.; Ferraz, G.C. Biocompatibility and biodegradation of poly(lactic acid) (PLA) and an immiscible PLA/poly(ε-caprolactone) (PCL) blend compatibilized by poly(ε-caprolactone-b-tetrahydrofuran) implanted in horses. Polym. J. 2020, 52, 629–643. [Google Scholar] [CrossRef]
- Yan, C.; Hou, D.-F.; Zhang, K.; Yang, M.-B. Effects of PDLA molecular weight on the crystallization behaviors and rheological properties of asymmetric PDLA/PLLA blends. Polymer 2023, 270, 125764. [Google Scholar] [CrossRef]
- Zhang, Y.; Chen, J.; Fu, Q.; Zhang, J. Novel Strategy to Improve the Performance of Poly(l-lactide): The Synergistic Effect of Disentanglement and Strong Shear Field. ACS Sustain. Chem. Eng. 2023, 11, 9630–9642. [Google Scholar] [CrossRef]
- Shao, J.; Xu, L.; Pu, S.; Hou, H. The crystallization behavior of poly(l-lactide)/poly(d-lactide) blends: Effect of stirring time during solution mixing. Polym. Bull. 2021, 78, 147–163. [Google Scholar] [CrossRef]
- Wei, Y.; Tian, Y.; Tian, X.; Fu, Z.; Zhao, L. Induction of Stereocomplex Crystallization in Poly(l-lactide)/Poly(d-lactide) Blends with High Molecular Weight by Halloysite Nanotubes. Macromol. Chem. Phys. 2022, 223, 2100356. [Google Scholar] [CrossRef]
- Park, H.-S.; Hong, C.-K. Relationship between the Stereocomplex Crystallization Behavior and Mechanical Properties of PLLA/PDLA Blends. Polymers 2021, 13, 1851. [Google Scholar] [CrossRef] [PubMed]
- Lv, T.; Li, J.; Liu, L.; Huang, S.; Li, H.; Jiang, S. Effects of molecular weight on stereocomplex and crystallization of PLLA/PDLA blends. Polymer 2023, 283, 126259. [Google Scholar] [CrossRef]
- Liu, X.; Wang, S.; Huang, K.; Liu, H.; Zhang, X.; Zou, L.; Shi, H.; Chang, B.; Liu, C. Competition effect of solid-state stretching induced orientation and phase separation on stereocomplex crystallization of PLLA/PDLA during annealing. Polymer 2023, 269, 125739. [Google Scholar] [CrossRef]
- Li, R.; Wu, Y.; Bai, Z.; Guo, J.; Chen, X. Effect of molecular weight of polyethylene glycol on crystallization behaviors, thermal properties and tensile performance of polylactic acid stereocomplexes. RSC Adv. 2020, 10, 42120–42127. [Google Scholar] [CrossRef] [PubMed]
- Sun, C.; Zheng, Y.; Xu, S.; Ni, L.; Li, X.; Shan, G.; Bao, Y.; Pan, P. Role of Chain Entanglements in the Stereocomplex Crystallization between Poly(lactic acid) Enantiomers. ACS Macro Lett. 2021, 10, 1023–1028. [Google Scholar] [CrossRef]
- Li, W.; Srithep, Y.; Shen, J.; Pholharn, D.; Sriprateep, K.; Worajittiphon, P.; Khoklang, N. Preferential formation of the stereocomplex crystals of poly(L-lactide) and poly(D-lactide) blend by epoxidized soybean oil under nonisothermal crystallization. Polym. Adv. Technol. 2024, 35, e6278. [Google Scholar] [CrossRef]
- Jing, Z.; Li, J.; Xiao, W.; Xu, H.; Hong, P.; Li, Y. Crystallization, rheology and mechanical properties of the blends of poly(l-lactide) with supramolecular polymers based on poly(d-lactide)–poly(ε-caprolactone-co-δ-valerolactone)–poly(d-lactide) triblock copolymers. RSC Adv. 2019, 9, 26067–26079. [Google Scholar] [CrossRef] [PubMed]
- Srithep, Y.; Pholharn, D. Plasticizer effect on melt blending of polylactide stereocomplex. e-Polymers 2017, 17, 409–416. [Google Scholar] [CrossRef]
- Bai, L.; Zhao, X.; Bao, R.-Y.; Liu, Z.-Y.; Yang, M.-B.; Yang, W. Effect of temperature, crystallinity and molecular chain orientation on the thermal conductivity of polymers: A case study of PLLA. J. Mater. Sci. 2018, 53, 10543–10553. [Google Scholar] [CrossRef]
- Murthy, N.S.; Zhang, Z.; Borsadia, S.; Kohn, J. Nanospheres with a smectic hydrophobic core and an amorphous PEG hydrophilic shell: Structural changes and implications for drug delivery. Soft Matter 2018, 14, 1327–1335. [Google Scholar] [CrossRef] [PubMed]
- Ju, Z.; Brosse, N.; Hoppe, S.; Wang, Z.; Ziegler-Devin, I.; Zhang, H.; Shu, B. Thermal and mechanical properties of polyethylene glycol (PEG)-modified lignin/polylactic acid (PLA) biocomposites. Int. J. Biol. Macromol. 2024, 262, 129997. [Google Scholar] [CrossRef] [PubMed]
- Feng, L.; Ding, J.; Hu, H.; Lv, Z.; Zhang, Y.; Xu, B.; Quan, J.; Hao, S.; Fan, H.; Hang, Z. Preparation and Characterization of Bio-Based PLA/PEG/g-C3N4 Low-Temperature Composite Phase Change Energy Storage Materials. Polymers 2023, 15, 2872. [Google Scholar] [CrossRef]
- Nazari, T.; Bayandori Moghaddam, A.; Davoodi, Z. Optimized polylactic acid/polyethylene glycol (PLA/PEG) electrospun fibrous scaffold for drug delivery: Effect of graphene oxide on the cefixime release mechanism. Mater. Res. Express 2019, 6, 115351. [Google Scholar] [CrossRef]
- Kirmic Cosgun, S.N.; Ceylan Tuncaboylu, D. Cyclodextrin-linked PVP/PEG supramolecular hydrogels. Carbohydr. Polym. 2021, 269, 118278. [Google Scholar] [CrossRef] [PubMed]
- Taipaleenmäki, E.M.; Mouritzen, S.A.; Schattling, P.S.; Zhang, Y.; Städler, B. Mucopenetrating micelles with a PEG corona. Nanoscale 2017, 9, 18438–18448. [Google Scholar] [CrossRef] [PubMed]
- Zalba, S.; ten Hagen, T.L.M.; Burgui, C.; Garrido, M.J. Stealth nanoparticles in oncology: Facing the PEG dilemma. J. Control. Release 2022, 351, 22–36. [Google Scholar] [CrossRef] [PubMed]
- Cui, H.; Shao, J.; Wang, Y.; Zhang, P.; Chen, X.; Wei, Y. PLA-PEG-PLA and its electroactive tetraaniline copolymer as multi-interactive injectable hydrogels for tissue engineering. Biomacromolecules 2013, 14, 1904–1912. [Google Scholar] [CrossRef] [PubMed]
- Basu, A.; Kunduru, K.R.; Doppalapudi, S.; Domb, A.J.; Khan, W. Poly(lactic acid) based hydrogels. Adv. Drug Deliv. Rev. 2016, 107, 192–205. [Google Scholar] [CrossRef] [PubMed]
- Fujiwara, T.; Miyamoto, M.; Kimura, Y. Crystallization-Induced Morphological Changes of a Poly(l-lactide)/Poly(oxyethylene) Diblock Copolymer from Sphere to Band via Disk: A Novel Macromolecular Self-Organization Process from Core−Shell Nanoparticles on Surface. Macromolecules 2000, 33, 2782–2785. [Google Scholar] [CrossRef]
- Fujiwara, T.; Miyamoto, M.; Kimura, Y.; Sakurai, S. Intriguing morphology transformation due to the macromolecular rearrangement of poly(l-lactide)-block-poly(oxyethylene): From core–shell nanoparticles to band structures via fragments of unimolecular size. Polymer 2001, 42, 1515–1523. [Google Scholar] [CrossRef]
- Sun, J.; Hong, Z.; Yang, L.; Tang, Z.; Chen, X.; Jing, X. Study on crystalline morphology of poly(l-lactide)-poly(ethylene glycol) diblock copolymer. Polymer 2004, 45, 5969–5977. [Google Scholar] [CrossRef]
- Huang, S.; Jiang, S.; An, L.; Chen, X. Crystallization and morphology of poly(ethylene oxide-b-lactide) crystalline–crystalline diblock copolymers. J. Polym. Sci. Part B Polym. Phys. 2008, 46, 1400–1411. [Google Scholar] [CrossRef]
- Huang, C.-I.; Tsai, S.-H.; Chen, C.-M. Isothermal crystallization behavior of poly(L-lactide) in poly(L-lactide)-block-poly(ethylene glycol) diblock copolymers. J. Polym. Sci. Part B Polym. Phys. 2006, 44, 2438–2448. [Google Scholar] [CrossRef]
- Song, Y.; Wang, D.; Jiang, N.; Gan, Z. Role of PEG Segment in Stereocomplex Crystallization for PLLA/PDLA-b-PEG-b-PDLA Blends. ACS Sustain. Chem. Eng. 2015, 3, 1492–1500. [Google Scholar] [CrossRef]
- Guo, M.; Wu, W.; Wu, W.; Gao, Q. Competitive Mechanism of Stereocomplexes and Homocrystals in High-Performance Symmetric and Asymmetric Poly(lactic acid) Enantiomers: Qualitative Methods. ACS Omega 2022, 7, 41412–41425. [Google Scholar] [CrossRef] [PubMed]
- Guo, M.; Zhao, Z.; Xie, Z.; Wu, W.; Wu, W.; Gao, Q. Role of the Branched PEG-b-PLLA Block Chain in Stereocomplex Crystallization and Crystallization Kinetics for PDLA/MPEG-b-PLLA-g-glucose Blends with Different Architectures. Langmuir 2022, 38, 15866–15879. [Google Scholar] [CrossRef] [PubMed]
- Guo, M.; Wu, W.; Wu, W.; Wang, R.; Huang, L.; Gao, Q. Recent advances in enhancing stereocomplexation between poly(lactide) enantiomeric chains. Phys. Chem. Chem. Phys. 2023, 25, 17737–17758. [Google Scholar] [CrossRef] [PubMed]
- Shao, J.; Sun, J.; Bian, X.; Cui, Y.; Li, G.; Chen, X. Investigation of Poly(lactide) Stereocomplexes: 3-Armed Poly(l-lactide) Blended with Linear and 3-Armed Enantiomers. J. Phys. Chem. B 2012, 116, 9983–9991. [Google Scholar] [CrossRef] [PubMed]
- Shao, J.; Xiang, S.; Bian, X.; Sun, J.; Li, G.; Chen, X. Remarkable Melting Behavior of PLA Stereocomplex in Linear PLLA/PDLA Blends. Ind. Eng. Chem. Res. 2015, 54, 2246–2253. [Google Scholar] [CrossRef]
- Pal, A.K.; Katiyar, V. Nanoamphiphilic Chitosan Dispersed Poly(lactic acid) Bionanocomposite Films with Improved Thermal, Mechanical, and Gas Barrier Properties. Biomacromolecules 2016, 17, 2603–2618. [Google Scholar] [CrossRef]
- Zhao, X.; Yu, J.; Liang, X.; Huang, Z.; Li, J.; Peng, S. Crystallization behaviors regulations and mechanical performances enhancement approaches of polylactic acid (PLA) biodegradable materials modified by organic nucleating agents. Int. J. Biol. Macromol. 2023, 233, 123581. [Google Scholar] [CrossRef] [PubMed]
- Tsuji, H.; Yamasaki, M.; Arakawa, Y. Synthesis and Stereocomplexation of New Enantiomeric Stereo Periodical Copolymers Poly(l-lactic acid–l-lactic acid–d-lactic acid) and Poly(d-lactic acid–d-lactic acid–l-lactic acid). Macromolecules 2021, 54, 6226–6237. [Google Scholar] [CrossRef]
- Zhang, B.; Liu, Y.; Ren, M.; Li, W.; Zhang, X.; Vajtai, R.; Ajayan, P.M.; Tour, J.M.; Wang, L. Sustainable Synthesis of Bright Green Fluorescent Nitrogen-Doped Carbon Quantum Dots from Alkali Lignin. ChemSusChem 2019, 12, 4202–4210. [Google Scholar] [CrossRef]
- Zhuang, Z.; Li, T.; Ning, Z.; Jiang, N.; Gan, Z. Melt and nucleation reinforcement for stereocomplex crystallites in poly(l-lactide)/lignin-grafted-poly(ᴅ-lactide) blend. Eur. Polym. J. 2022, 167, 111072. [Google Scholar] [CrossRef]
- Sun, Y.; He, C. Synthesis and Stereocomplex Crystallization of Poly(lactide)–Graphene Oxide Nanocomposites. ACS Macro Lett. 2012, 1, 709–713. [Google Scholar] [CrossRef] [PubMed]
- Bao, R.-Y.; Yang, W.; Wei, X.-F.; Xie, B.-H.; Yang, M.-B. Enhanced Formation of Stereocomplex Crystallites of High Molecular Weight Poly(l-lactide)/Poly(d-lactide) Blends from Melt by Using Poly(ethylene glycol). ACS Sustain. Chem. Eng. 2014, 2, 2301–2309. [Google Scholar] [CrossRef]
- Zhu, Q.; Chang, K.; Qi, L.; Li, X.; Gao, W.; Gao, Q. Surface Modification of Poly(l-lactic acid) through Stereocomplexation with Enantiomeric Poly(d-lactic acid) and Its Copolymer. Polymers 2021, 13, 1757. [Google Scholar] [CrossRef] [PubMed]
- Hurst, P.J.; Rakowski, A.M.; Patterson, J.P. Ring-opening polymerization-induced crystallization-driven self-assembly of poly-L-lactide-block-polyethylene glycol block copolymers (ROPI-CDSA). Nat. Commun. 2020, 11, 4690. [Google Scholar] [CrossRef] [PubMed]
- Xu, C.; Zhang, J.; Bai, J.; Ding, S.; Wang, X.; Wang, Z. Two-Stage Crystallization Kinetics and Morphological Evolution with Stereocomplex Crystallite-Induced Enhancement for Long-Chain Branched Polylactide/Poly(D-lactic acid) Blends. Ind. Eng. Chem. Res. 2021, 60, 5319–5329. [Google Scholar] [CrossRef]
- Gupta, A.; Mulchandani, N.; Shah, M.; Kumar, S.; Katiyar, V. Functionalized chitosan mediated stereocomplexation of poly(lactic acid): Influence on crystallization, oxygen permeability, wettability and biocompatibility behavior. Polymer 2018, 142, 196–208. [Google Scholar] [CrossRef]
- Kim, K.-S.; Chung, S.; Chin, I.-J.; Kim, M.-N.; Yoon, J.-S. Crystallization behavior of biodegradable amphiphilic poly(ethylene glycol)-poly(L-lactide) block copolymers. Appl. Polym. 1999, 72, 341–348. [Google Scholar] [CrossRef]
Disclaimer/Publisher’s Note: The statements, opinions and data contained in all publications are solely those of the individual author(s) and contributor(s) and not of MDPI and/or the editor(s). MDPI and/or the editor(s) disclaim responsibility for any injury to people or property resulting from any ideas, methods, instructions or products referred to in the content. |
© 2024 by the authors. Licensee MDPI, Basel, Switzerland. This article is an open access article distributed under the terms and conditions of the Creative Commons Attribution (CC BY) license (https://creativecommons.org/licenses/by/4.0/).







