Probing the Magnetic Ground State of Ba2YIrO6: Impact of Nonmagnetic Dopants and Spin–Orbit Coupling
Abstract
1. Introduction
2. Experimental Details
3. Results and Discussions
3.1. Crystal Structure from X-ray Diffraction
3.2. Local Structure from Extended X-ray Absorption Fine Structure (EXAFS)
3.3. Oxidation State and Valence Band Spectra from X-ray Photoelectron Spectroscopy
3.4. Magnetic Susceptibility
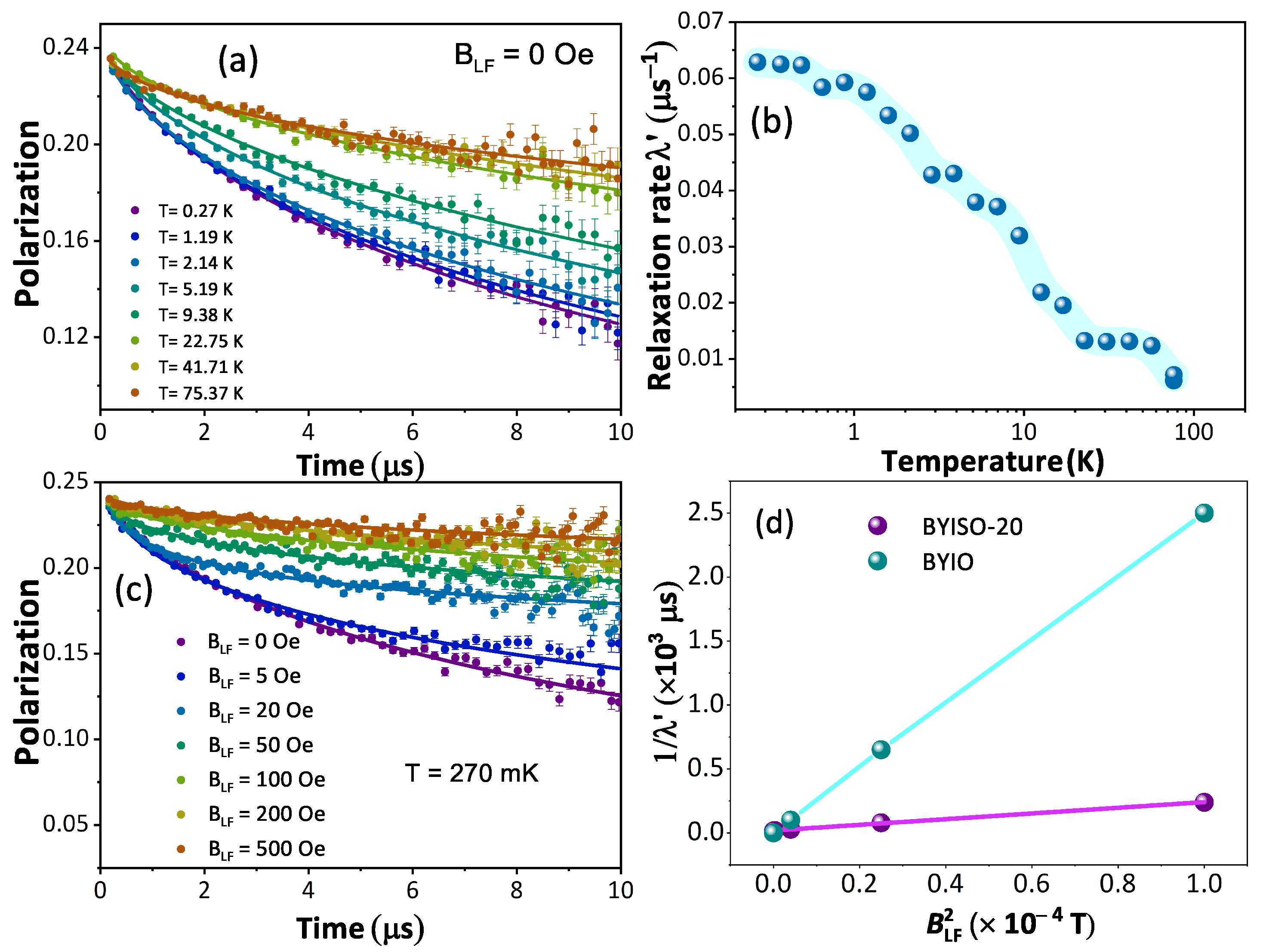
3.5. Muon Spin Relaxation—SR
4. Conclusions
Author Contributions
Funding
Data Availability Statement
Acknowledgments
Conflicts of Interest
References
- Kusch, M.; Katukuri, V.M.; Bogdanov, N.A.; Büchner, B.; Dey, T.; Efremov, D.V.; Hamann-Borrero, J.E.; Kim, B.H.; Krisch, M.; Maljuk, A.; et al. Observation of heavy spin-orbit excitons propagating in a nonmagnetic background: The case of (Ba,Sr)2YIrO6. Phys. Rev. B 2018, 97, 064421. [Google Scholar] [CrossRef]
- Rau, J.G.; Lee, E.K.H.; Kee, H.Y. Spin-Orbit Physics Giving Rise to Novel Phases in Correlated Systems: Iridates and Related Materials. Annu. Rev. Condens. Matter Phys. 2016, 7, 195–221. [Google Scholar] [CrossRef]
- Witczak-Krempa, W.; Chen, G.; Kim, Y.B.; Balents, L. Correlated Quantum Phenomena in the Strong Spin-Orbit Regime. Annu. Rev. Condens. Matter Phys. 2014, 5, 57–82. [Google Scholar] [CrossRef]
- Khomskii, D. Transition Metal Compounds; Cambridge University Press: Cambridge, UK, 2014. [Google Scholar]
- Shanavas, K.; Popović, Z.S.; Satpathy, S. Theoretical model for Rashba spin-orbit interaction in d electrons. Phys. Rev. B 2014, 90, 165108. [Google Scholar] [CrossRef]
- Kim, B.J.; Jin, H.; Moon, S.J.; Kim, J.Y.; Park, B.G.; Leem, C.S.; Yu, J.; Noh, T.W.; Kim, C.; Oh, S.J.; et al. Novel Jeff = 1/2 Mott State Induced by Relativistic Spin-Orbit Coupling in Sr2IrO4. Phys. Rev. Lett. 2008, 101, 076402. [Google Scholar] [CrossRef]
- Svoboda, C.; Randeria, M.; Trivedi, N. Effective magnetic interactions in spin-orbit coupled d4 Mott insulators. Phys. Rev. B 2017, 95, 014409. [Google Scholar] [CrossRef]
- Wan, X.; Turner, A.M.; Vishwanath, A.; Savrasov, S.Y. Topological semimetal and Fermi-arc surface states in the electronic structure of pyrochlore iridates. Phys. Rev. B 2011, 83, 205101. [Google Scholar] [CrossRef]
- Corredor, L.T.; Aslan-Cansever, G.; Sturza, M.; Manna, K.; Maljuk, A.; Gass, S.; Dey, T.; Wolter, A.U.B.; Kataeva, O.; Zimmermann, A.; et al. Iridium double perovskite Sr2YIrO6: A combined structural and specific heat study. Phys. Rev. B 2017, 95, 064418. [Google Scholar] [CrossRef]
- Nag, A.; Middey, S.; Bhowal, S.; Panda, S.K.; Mathieu, R.; Orain, J.C.; Bert, F.; Mendels, P.; Freeman, P.G.; Mansson, M.; et al. Origin of the Spin-Orbital Liquid State in a Nearly J = 0 Iridate Ba3ZnIr2O9. Phys. Rev. Lett. 2016, 116, 097205. [Google Scholar] [CrossRef] [PubMed]
- Kim, C.H.; Kim, H.S.; Jeong, H.; Jin, H.; Yu, J. Topological Quantum Phase Transition in 5d Transition Metal Oxide Na2IrO3. Phys. Rev. Lett. 2012, 108, 106401. [Google Scholar] [CrossRef] [PubMed]
- Moon, S.J.; Jin, H.; Kim, K.W.; Choi, W.S.; Lee, Y.S.; Yu, J.; Cao, G.; Sumi, A.; Funakubo, H.; Bernhard, C.; et al. Dimensionality-Controlled Insulator-Metal Transition and Correlated Metallic State. Phys. Rev. Lett. 2008, 101, 226402. [Google Scholar] [CrossRef] [PubMed]
- Kim, B.; Ohsumi, H.; Komesu, T.; Sakai, S.; Morita, T.; Takagi, H.; Arima, T.H. Phase-sensitive observation of a spin-orbital Mott state in Sr2IrO4. Science 2009, 323, 1329–1332. [Google Scholar] [CrossRef] [PubMed]
- Cao, G.; Qi, T.F.; Li, L.; Terzic, J.; Yuan, S.J.; DeLong, L.E.; Murthy, G.; Kaul, R.K. Novel Magnetism of Ir5+(5d4) Ions in the Double Perovskite Sr2YIrO6. Phys. Rev. Lett. 2014, 112, 056402. [Google Scholar] [CrossRef] [PubMed]
- Bandyopadhyay, A.; Chakraborty, A.; Bhowal, S.; Kumar, V.; Sala, M.M.; Efimenko, A.; Bert, F.; Biswas, P.K.; Meneghini, C.; Büttgen, N.; et al. Breakdown of atomic spin-orbit coupling picture in an apparently isolated pseudo-one-dimensional iridate: Sr3NaIrO6. Phys. Rev. B 2022, 105, 104431. [Google Scholar] [CrossRef]
- Khan, M.S.; Meneghini, C.; Bert, F.; Sala, M.M.; Ray, S. Phase inhomogeneity and inapplicability of Jeff = 0 description in dilute Ir5+ doped Ba2YSb1−xIrxO6(x = 0.1, 0.2, 0.3). Phys. Rev. B 2021, 104, 214414. [Google Scholar] [CrossRef]
- Dey, T.; Maljuk, A.; Efremov, D.V.; Kataeva, O.; Gass, S.; Blum, C.G.F.; Steckel, F.; Gruner, D.; Ritschel, T.; Wolter, A.U.B.; et al. Ba2YIrO6: A cubic double perovskite material with Ir5+ ions. Phys. Rev. B 2016, 93, 014434. [Google Scholar] [CrossRef]
- Bremholm, M.; Dutton, S.; Stephens, P.; Cava, R. NaIrO3—A pentavalent post-perovskite. J. Solid State Chem. 2011, 184, 601–607. [Google Scholar] [CrossRef]
- Nag, A.; Bhowal, S.; Chakraborty, A.; Sala, M.M.; Efimenko, A.; Bert, F.; Biswas, P.K.; Hillier, A.D.; Itoh, M.; Kaushik, S.D.; et al. Origin of magnetic moments and presence of spin-orbit singlets in Ba2YIrO6. Phys. Rev. B 2018, 98, 014431. [Google Scholar] [CrossRef]
- Khomskii, D.; Kugel, K.; Sboychakov, A.; Streltsov, S. Role of local geometry in the spin and orbital structure of transition metal compounds. J. Exp. Theor. Phys. 2016, 122, 484–498. [Google Scholar] [CrossRef]
- Dodds, T.; Choy, T.P.; Kim, Y.B. Interplay between lattice distortion and spin-orbit coupling in double perovskites. Phys. Rev. B 2011, 84, 104439. [Google Scholar] [CrossRef]
- Hammerath, F.; Sarkar, R.; Kamusella, S.; Baines, C.; Klauss, H.H.; Dey, T.; Maljuk, A.; Gaß, S.; Wolter, A.U.B.; Grafe, H.J.; et al. Diluted paramagnetic impurities in nonmagnetic Ba2YIrO6. Phys. Rev. B 2017, 96, 165108. [Google Scholar] [CrossRef]
- Chen, Q.; Svoboda, C.; Zheng, Q.; Sales, B.C.; Mandrus, D.G.; Zhou, H.D.; Zhou, J.S.; McComb, D.; Randeria, M.; Trivedi, N.; et al. Magnetism out of antisite disorder in the J = 0 compound Ba2YIrO6. Phys. Rev. B 2017, 96, 144423. [Google Scholar] [CrossRef]
- Khaliullin, G. Excitonic Magnetism in Van Vleck–type d4 Mott Insulators. Phys. Rev. Lett. 2013, 111, 197201. [Google Scholar] [CrossRef] [PubMed]
- Laguna-Marco, M.A.; Kayser, P.; Alonso, J.A.; Martínez-Lope, M.J.; van Veenendaal, M.; Choi, Y.; Haskel, D. Electronic structure, local magnetism, and spin-orbit effects of Ir(IV)-, Ir(V)-, and Ir(VI)-based compounds. Phys. Rev. B 2015, 91, 214433. [Google Scholar] [CrossRef]
- Bhowal, S.; Baidya, S.; Dasgupta, I.; Saha-Dasgupta, T. Breakdown of J = 0 nonmagnetic state in d4 iridate double perovskites: A first-principles study. Phys. Rev. B 2015, 92, 121113. [Google Scholar] [CrossRef]
- Pajskr, K.; Novák, P.; Pokorný, V.; Kolorenč, J.; Arita, R.; Kuneš, J. On the possibility of excitonic magnetism in Ir double perovskites. Phys. Rev. B 2016, 93, 035129. [Google Scholar] [CrossRef]
- Terzic, J.; Zheng, H.; Ye, F.; Zhao, H.D.; Schlottmann, P.; De Long, L.E.; Yuan, S.J.; Cao, G. Evidence for a low-temperature magnetic ground state in double-perovskite iridates with Ir5+(5d4) ions. Phys. Rev. B 2017, 96, 064436. [Google Scholar] [CrossRef]
- Gong, H.; Kim, K.; Kim, B.H.; Kim, B.; Kim, J.; Min, B. Is the ground state of 5d4 double-perovskite Iridate Ba2YIrO6 magnetic or nonmagnetic? J. Magn. Magn. Mater. 2018, 454, 66–70. [Google Scholar] [CrossRef]
- Fuchs, S.; Dey, T.; Aslan-Cansever, G.; Maljuk, A.; Wurmehl, S.; Büchner, B.; Kataev, V. Unraveling the Nature of Magnetism of the 5 d 4 Double Perovskite Ba 2 YIrO 6. Phys. Rev. Lett. 2018, 120, 237204. [Google Scholar] [CrossRef] [PubMed]
- Kim, B.H.; Efremov, D.V.; van den Brink, J. Spin-orbital excitons and their potential condensation in pentavalent iridates. Phys. Rev. Mater. 2019, 3, 014414. [Google Scholar] [CrossRef]
- Aczel, A.A.; Chen, Q.; Clancy, J.; dela Cruz, C.; Reig-i Plessis, D.; MacDougall, G.; Pollock, C.; Upton, M.; Williams, T.; LaManna, N.; et al. Spin-orbit coupling controlled ground states in the double perovskite iridates A2BIrO6 (A = Ba, Sr; B = Lu, Sc). Phys. Rev. Mater. 2022, 6, 094409. [Google Scholar] [CrossRef]
- Paramekanti, A.; Singh, D.J.; Yuan, B.; Casa, D.; Said, A.; Kim, Y.J.; Christianson, A.D. Spin-orbit coupled systems in the atomic limit: Rhenates, osmates, iridates. Phys. Rev. B 2018, 97, 235119. [Google Scholar] [CrossRef]
- Singh, B.; Cansever, G.; Dey, T.; Maljuk, A.; Wurmehl, S.; Büchner, B.; Kumar, P. Orbiton–phonon coupling in Ir5+ (5d4) double perovskite Ba2YIrO6. J. Phys. Condens. Matter 2018, 31, 065603. [Google Scholar] [CrossRef] [PubMed]
- Schnait, H.; Bauernfeind, D.; Saha-Dasgupta, T.; Aichhorn, M. Small moments without long-range magnetic ordering in the zero-temperature ground state of the double perovskite iridate Ba2YIrO6. Phys. Rev. B 2022, 106, 035132. [Google Scholar] [CrossRef]
- Rodríguez-Carvajal, J. Recent advances in magnetic structure determination by neutron powder diffraction. Phys. B Condens. Matter 1993, 192, 55–69. [Google Scholar] [CrossRef]
- Rodríguez-Carvajal, J. Recent developments of the program FULLPROF. Comm. Powder Diffr. (IUCr) Newsl. 2001, 26, 12–19. [Google Scholar]
- Cicco, A.D.; Aquilanti, G.; Minicucci, M.; Principi, E.; Novello, N.; Cognigni, A.; Olivi, L. Novel XAFS capabilities at ELETTRA synchrotron light source. J. Phys. Conf. Ser. 2009, 190, 012043. [Google Scholar] [CrossRef]
- Ravel, B.; Newville, M. ATHENA, ARTEMIS, HEPHAESTUS: Data analysis for X-ray absorption spectroscopy using IFEFFIT. J. Synchrotron Radiat. 2005, 12, 537–541. [Google Scholar] [CrossRef] [PubMed]
- Newville, M. IFEFFIT: Interactive XAFS analysis and FEFF fitting. J. Synchrotron Radiat. 2001, 8, 322–324. [Google Scholar] [CrossRef]
- Meneghini, C.; Bardelli, F.; Mobilio, S. ESTRA-FitEXA: A software package for EXAFS data analysis. Nucl. Instrum. Methods Phys. Res. Sect. B Beam Interact. Mater. At. 2012, 285, 153–157. [Google Scholar] [CrossRef]
- Fu, W.; IJdo, D. Re-examination of the structure of Ba2MIrO6 (M=La, Y): Space group revised. J. Alloys Compd. 2005, 394, L5–L8. [Google Scholar] [CrossRef]
- Shannon, R.D. Revised effective ionic radii and systematic studies of interatomic distances in halides and chalcogenides. Acta Crystallogr. Sect. A 1976, 32, 751–767. [Google Scholar] [CrossRef]
- Wu, L.; Mei, X.; Zheng, W. Hydrothermal synthesis and characterization of double perovskite Ba2YSbO6. Mater. Lett. 2006, 60, 2326–2330. [Google Scholar] [CrossRef]
- Bandyopadhyay, A.; Neogi, S.K.; Atanu, P.; Meneghini, C.; Daasgupta, I.; Bandyopadhyay, S.; Ray, S.R. Atomic-scale chemical fluctuation in LaSrVMoO6, a proposed half-metallic antiferromagnet. Phys. Rev. B 2017, 95, 024432. [Google Scholar] [CrossRef]
- Jana, S.; Meneghini, C.; Sanyal, P.; Sarkar, S.; Saha-Dasgupta, T.; Karis, O.; Ray, S. Signature of an antiferromagnetic metallic ground state in heavily electron-doped Sr2FeMoO6. Phys. Rev. B 2012, 86, 054433. [Google Scholar] [CrossRef]
- Cao, G.; Durairaj, V.; Chikara, S.; DeLong, L.E.; Parkin, S.; Schlottmann, P. Non-Fermi-liquid behavior in nearly ferromagnetic SrIrO3 single crystals. Phys. Rev. B 2007, 76, 100402. [Google Scholar] [CrossRef]
- Cao, G.; Subedi, A.; Calder, S.; Yan, J.Q.; Yi, J.; Gai, Z.; Poudel, L.; Singh, D.J.; Lumsden, M.D.; Christianson, A.D.; et al. Magnetism and electronic structure of La2ZnIrO6 and La2MgIrO6: Candidate Jeff = Mott insulators. Phys. Rev. B 2013, 87, 155136. [Google Scholar] [CrossRef]
- Konopka, J.; Jose, R.; Wołcyrz, M. Structural and dielectric properties of Ba2YbTaO6, Ba2YSbO6 and Ba2EuZrO5.5. Phys. C Supercond. Appl. 2006, 435, 53–58. [Google Scholar] [CrossRef]
- Nag, A.; Ray, S. Misjudging frustrations in spin liquids from oversimplified use of Curie-Weiss law. J. Magn. Magn. Mater. 2017, 424, 93–98. [Google Scholar] [CrossRef]
- Uemura, Y.J.; Yamazaki, T.; Harshman, D.R.; Senba, M.; Ansaldo, E.J. Muon-spin relaxation in AuFe and CuMn spin glasses. Phys. Rev. B 1985, 31, 546–563. [Google Scholar] [CrossRef]








| Sample | Phase (%) | a (Å) | Atom | Occupancy | x | y | z | B (Å) |
|---|---|---|---|---|---|---|---|---|
| BYISO-10 | BaYIrSbO | 8.356 (1) | Ba | 1 | 0.25 | 0.25 | 0.25 | 0.357 (4) |
| Y | 1 | 0.00 | 0.00 | 0.00 | 0.276 (1) | |||
| Ir | 0.90 | 0.50 | 0.50 | 0.50 | 0.225 (3) | |||
| Sb | 0.10 (1) | 0.50 | 0.50 | 0.50 | 0.225 | |||
| O | 1 | 0.263 (5) | 0.00 | 0.00 | 0.205 (2) | |||
| BYISO-20 | BaYIrSbO | 8.364 (1) | Ba | 1 | 0.25 | 0.25 | 0.25 | 0.388 (2) |
| Y | 1 | 0.00 | 0.00 | 0.00 | 0.306 (2) | |||
| Ir | 0.78 | 0.50 | 0.50 | 0.50 | 0.295 (1) | |||
| Sb | 0.22 (2) | 0.50 | 0.50 | 0.50 | 0.295 | |||
| O | 1 | 0.262 (9) | 0.00 | 0.00 | 0.191 (4) | |||
| BaYIrO | 8.357 (1) | Ba | 1 | 0.25 | 0.25 | 0.25 | 0.188 | |
| Y | 1 | 0.00 | 0.00 | 0.00 | 0.316 | |||
| Ir | 1 | 0.50 | 0.50 | 0.50 | 0.195 | |||
| O | 1 | 0.262 (1) | 0.00 | 0.00 | 0.191 | |||
| BYISO-50 | BaYIrSbO | 8.384 (1) | Ba | 1 | 0.25 | 0.25 | 0.25 | 0.363 (1) |
| Y | 1 | 0.00 | 0.00 | 0.00 | 0.288 (3) | |||
| Ir | 0.41 | 0.50 | 0.50 | 0.50 | 0.257 (3) | |||
| Sb | 0.59 (3) | 0.50 | 0.50 | 0.50 | 0.257 | |||
| O | 1 | 0.262 (2) | 0.00 | 0.00 | 0.211 (5) | |||
| BaYIrO | 8.359 (1) | Ba | 1 | 0.25 | 0.25 | 0.25 | 0.363 | |
| Y | 1 | 0.00 | 0.00 | 0.00 | 0.288 | |||
| Ir | 1 | 0.50 | 0.50 | 0.50 | 0.257 | |||
| O | 1 | 0.262 (3) | 0.00 | 0.00 | 0.211 | |||
| BYISO-80 | BaYIrSbO | 8.408 (1) | Ba | 1 | 0.25 | 0.25 | 0.25 | 0.284 (9) |
| Y | 1 | 0.00 | 0.00 | 0.00 | 0.369 (7) | |||
| Ir | 0.12 | 0.50 | 0.50 | 0.50 | 0.378 (8) | |||
| Sb | 0.88 (1) | 0.50 | 0.50 | 0.50 | 0.378 | |||
| O | 1 | 0.263 (3) | 0.00 | 0.00 | 0.378 (8) | |||
| BaYIrO | 8.356 (1) | Ba | 1 | 0.25 | 0.25 | 0.25 | 0.284 | |
| Y | 1 | 0.00 | 0.00 | 0.00 | 0.369 | |||
| Ir | 1 | 0.50 | 0.50 | 0.50 | 0.378 | |||
| O | 1 | 0.267 (1) | 0.00 | 0.00 | 0.378 |
| Compounds | Bond Length in Å | |
|---|---|---|
| Ir(Sb)-O | Y-O | |
| BYIO | 1.98 | 2.19 |
| BYISO-10 | 1.97 | 2.20 |
| BYISO-20 | 1.98 | 2.20 |
| BYISO-50 | 1.99 | 2.19 |
| BYISO-80 | 1.99 | 2.21 |
| BYSO | 1.96 | 2.24 |
| Sample | Shell | N | × (Å) | R (Å) |
|---|---|---|---|---|
| BYISO-10 | Ir-O | 6 | 0.18 (2) | 1.961 (6) |
| Ir-O-O | 24 | 0.9 (1) | 3.31 (3) | |
| Ir-Ba | 8 | 13 (2) | 3.62 (3) | |
| Ir-Y (SS) | 6 | 1.1 (1) | 4.17 (3) | |
| Ir-O-Y (MS-3 legs) | 12 | 6.6 | 4.17 | |
| Ir-O-Y-O (MS-4 legs) | 6 | 12.1 (1) | 4.17 | |
| BYISO-20 | Ir-O | 6 | 0.27 (3) | 1.968 (6) |
| Ir-O-O | 24 | 1.1 (2) | 3.36 (3) | |
| Ir-Ba | 8 | 14 (2) | 3.64 (2) | |
| Ir-Y (SS) | 6 | 2.7 (2) | 4.20 (2) | |
| Ir-O-Y (MS-3 legs) | 12 | 5.8 | 4.20 | |
| Ir-O-Y-O (MS-4 legs) | 6 | 8.8 (4) | 4.20 | |
| BYISO-50 | Ir-O | 6 | 0.15 (2) | 1.962 (6) |
| Ir-O-O | 24 | 1.2 (2) | 3.31 (3) | |
| Ir-Ba | 8 | 12 (1) | 3.63 (2) | |
| Ir-Y (SS) | 6 | 2.7 (2) | 4.21 (2) | |
| Ir-O-Y (MS-3 legs) | 12 | 5.0 | 4.21 | |
| Ir-O-Y-O (MS-4 legs) | 6 | 7.4 (3) | 4.21 | |
| BYISO-80 | Ir-O | 6 | 0.13 (1) | 1.958 (6) |
| Ir-O-O | 24 | 2.0 (2) | 3.25 (3) | |
| Ir-Ba | 8 | 10 (1) | 3.53 (2) | |
| Ir-Y (SS) | 5.5 (1) | 3.8 (2) | 4.24 (2) | |
| Ir-O-Y (MS-3 legs) | 11 | 4.5 | 4.24 | |
| Ir-O-Y-O (MS-4 legs) | 5.5 | 5.2 (2) | 4.24 | |
| Ir-Ir (SS) (ASD) | 0.5 | 9.5 (2) | 4.24 | |
| Ir-O-Ir (MS-3 legs) | 1.0 | 7.8 | 4.24 | |
| Ir-O-Ir-O (MS-4 legs) | 1.0 | 5.3 (2) | 4.24 |
| Sample | Energy (eV) | SO Splitting (eV) |
|---|---|---|
| BYISO-10 | 63.18 | 3.05 |
| BYISO-20 | 63.21 | 3.04 |
| BYISO-50 | 63.15 | 3.04 |
| BYISO-80 | 63.13 | 3.04 |
| Overall Compound | Phase I | |||
|---|---|---|---|---|
| Sample | (K) | (/Ir) | Sb (%) | (/Ir) |
| BYISO-10 | −96 | 0.45 | 10 | 0.45 |
| BYISO-20 | −76 | 0.47 | 22 | 0.47 |
| BYISO-50 | −44 | 0.57 | 59 | 0.59 |
| BYISO-80 | −31 | 0.67 | 88 | 0.69 |
Disclaimer/Publisher’s Note: The statements, opinions and data contained in all publications are solely those of the individual author(s) and contributor(s) and not of MDPI and/or the editor(s). MDPI and/or the editor(s) disclaim responsibility for any injury to people or property resulting from any ideas, methods, instructions or products referred to in the content. |
© 2024 by the authors. Licensee MDPI, Basel, Switzerland. This article is an open access article distributed under the terms and conditions of the Creative Commons Attribution (CC BY) license (https://creativecommons.org/licenses/by/4.0/).
Share and Cite
Halder, S.; Khan, M.S.; Bert, F.; Aich, P.; Meneghini, C.; Ray, S. Probing the Magnetic Ground State of Ba2YIrO6: Impact of Nonmagnetic Dopants and Spin–Orbit Coupling. Materials 2024, 17, 1766. https://doi.org/10.3390/ma17081766
Halder S, Khan MS, Bert F, Aich P, Meneghini C, Ray S. Probing the Magnetic Ground State of Ba2YIrO6: Impact of Nonmagnetic Dopants and Spin–Orbit Coupling. Materials. 2024; 17(8):1766. https://doi.org/10.3390/ma17081766
Chicago/Turabian StyleHalder, Shuvajit, Md Salman Khan, Fabrice Bert, Payel Aich, Carlo Meneghini, and Sugata Ray. 2024. "Probing the Magnetic Ground State of Ba2YIrO6: Impact of Nonmagnetic Dopants and Spin–Orbit Coupling" Materials 17, no. 8: 1766. https://doi.org/10.3390/ma17081766
APA StyleHalder, S., Khan, M. S., Bert, F., Aich, P., Meneghini, C., & Ray, S. (2024). Probing the Magnetic Ground State of Ba2YIrO6: Impact of Nonmagnetic Dopants and Spin–Orbit Coupling. Materials, 17(8), 1766. https://doi.org/10.3390/ma17081766

