You are currently viewing a new version of our website. To view the old version click .
Materials
  • Article
  • Open Access

10 April 2024

Nonlinear Static Bending and Forced Vibrations of Single-Layer MoS2 with Thermal Stress

,
and
Department of Engineering Mechanics, Faculty of Civil Engineering and Mechanics, Kunming University of Science and Technology, Kunming 650500, China
*
Author to whom correspondence should be addressed.

Abstract

Single-layer molybdenum disulfide (MoS2) has been a research focus in recent years owing to its extensive potential applications. However, how to model the mechanical properties of MoS2 is an open question. In this study, we investigate the nonlinear static bending and forced vibrations of MoS2, subjected to boundary axial and thermal stresses using modified plate theory with independent in-plane and out-of-plane stiffnesses. First, two nonlinear ordinary differential equations are obtained using the Galerkin method to represent the nonlinear vibrations of the first two symmetrical modes. Second, we analyze nonlinear static bending by neglecting the inertial and damping terms of the two equations. Finally, we explore nonlinear forced vibrations using the method of multiple scales for the first- and third-order modes, and their 1:3 internal resonance. The main results are as follows: (1) The thermal stress and the axial compressive stress reduce the MoS2 stiffness significantly. (2) The bifurcation points of the load at the low-frequency primary resonance are much smaller than those at high frequency under single-mode vibrations. (3) Temperature has a more remarkable influence on the higher-order mode than the lower-order mode under the 1:3 internal resonance.

1. Introduction

Since monolayer graphene was first mechanically exfoliated from graphite in 2004 [1], its excellent physical, chemical, and mechanical properties have attracted extensive attention [2,3,4,5,6,7]. At the same time, the graphene-like two-dimensional (2D) transition metal dichalcogenides (TMDCs) have attracted widespread attention due to their single-layer characteristics and their excellent mechanical properties similar to those of graphene [8,9,10,11,12,13]. Molybdenum disulfide (MoS2) is a typical TMDC material, it can be obtained using mechanical stripping, a chemical approach, CVD synthesis, and other methods [14,15,16]. There are significant differences in the size, quality, and yield of monolayer molybdenum disulfide prepared using different methods. MoS2 not only overcomes the zero-band-gap drawback of graphene but also retains its numerous advantages. This makes it suitable for a broad range of potential applications [15,17,18]. Thus far, research on MoS2 has focused on its electrical, thermal, and friction properties [19], whereas its mechanical properties have rarely been investigated. TMDCs have been used as high-quality nanoresonators [20,21]. Because the band structure of monolayer MoS2 can be changed according to the mechanical strain, new nanomechanical devices can be designed by applying mechanical deformation. For example, Andres [22] fabricated a single-layered mechanical resonator using MoS2 and demonstrated nonlinear behavior under room temperature and vacuum conditions. However, how to model the mechanical properties of 2D nanomaterials, in which the materials have a monolayer structure with single or multiple atoms, remains an open question. Because monolayer MoS2 can resist bending deformations, the macroscopic Föppl-von Karman plate theory has been used by most researchers to model its mechanical properties. The deformation energy density of the classical Föppl-von Karman plate is as follows [23]:
U = 1 2 s D 2 H 2 + 2 1 ν K + D 1 2 J 2 2 1 ν Q   d   S ,
where D = E h 3 / 12 1 ν 2 is the bending stiffness; D 1 = E h / 1 ν 2 is the extensional stiffness; and E , ν , and h are the elastic modulus, Poisson’s ratio, and thickness of the plate, respectively. This indicates that the bending and extensional stiffnesses are in D / D 1 = h 2 / 12 for classical plate theory, whereas the two stiffnesses in 2D monolayer nanomaterials are independent, namely D / D 1 h 2 / 12 [23]. Therefore, one cannot obtain the out-of-plane bending and torsional stiffnesses using the in-plane mechanical parameters and the thickness of the 2D monolayer materials. This is called the Yakobson paradox [23], whereas some authors believe that there is no paradox because much of the literature fails to distinguish h and E from the effective thickness and the effective elastic modulus [24]. Similarly, for a single-layer MoS2, one cannot directly obtain the out-of-plane bending and the torsional stiffness through its thickness. Based on the bond orbital theory of covalent bonds, Huang [25] obtained a continuous mechanical theory of monolayer graphene to explain the Yakobson paradox physically. This theory clarifies the physical mechanism of graphene resistance to deformations. The theory proves that graphene has two independent in-plane mechanical parameters and two independent out-of-plane mechanical parameters. Subsequently, Huang et al. obtained the deformation energy density of hexagonal boron nitride (h-BN) using the DREIDING force field, and also proved that the monolayer h-BN has four independent mechanical parameters [26]. By combining the classical fracture theory and the interaction potential of carbon atoms, the researchers in [27] theoretically explained the brittle fracture of graphene. The above studies demonstrate that the macroscopic continuum mechanics theory needs modification to describe the mechanical behaviors of nanomaterials.
The existing MoS2 molecular dynamics (MD) calculations have shown that the bending stiffness obtained using classical plate theory with the thickness of the three layers of atoms ( h = 3.2   nm ) is not identical to the stiffness obtained using MD calculations [28]. To solve this contradiction, Huang proposed a nonlinear plate theory with independent in-plane and out-of-plane mechanical parameters to model MoS2 mechanical behaviors based on finite temperature [29]. This theory has a deformation energy density similar to classical plate theory, but it has four independent mechanical parameters. This new theory abandons the equivalent thickness of MoS2 and directly takes in-plane and out-of-plane stiffnesses as independent mechanical parameters. Consequently, the Yakobson paradox is effectively avoided.
Two-dimensional nanomaterials are typically sensitive to temperature because their out-of-plane stiffness is low. MoS2 expands with increasing temperature [30,31]. Recent MD calculations have shown that temperature changes have little influence on the elastic parameters of MoS2; however, temperature can cause significant thermal expansion [32]. For single-layer MoS2 with immovable boundaries, thermal expansion may induce thermal stress, which can lead to thermal buckling. In this study, the nonlinear static bending and vibrations of single-layer MoS2 with four hinged edges were investigated based on a modified plate model proposed by Huang [29]. This study focuses on the influence of temperature on the nonlinear mechanical behavior of monolayer MoS2.

2. Materials and Methods

A modified Föppl-von Karman plate model with independent in-plane and out-of-plane stiffnesses was established by Huang to model the mechanical properties of single-layer MoS2 [29]. Because Huang’s theory was published in Chinese, we briefly review this new theory for reader understanding.
Single-layer MoS2 is considered a 2D plate in Huang’s theory, as shown in Figure 1, and its deformation energy density is as follows [29]:
U = s 1 2 k B 2 H 2 + k G K + 1 2 k b 2 J 2 k g Q d S .
Figure 1. Calculation diagram of a single-layer MoS2 under load: (a) plate model with the coordinate; (b) applied edge loads; (c) side view of the MoS2 lattice structure.
Here, H and K are the mean and Gaussian curvatures, respectively, of the deformed MoS2 middle surface. Q = det ε i j 0 and J = tr ε i j are the two invariants of the 2D strain tensor ε i j 0 ,   i , j = x , y on the middle surface. k B and k G are independent bending stiffness and torsional stiffness (Gaussian stiffness), respectively, whereas k b and k g are in-plane stiffness parameters. These four independent stiffness parameters are obtained through atomic simulations and experiments.
Using the von Karman nonlinear strain, the components of the strain tensor can be expressed as follows:
ε x x 0 = u x + 1 2 w x 2 ,   ε y y 0 = v y + 1 2 w y 2 , ε x y 0 = 1 2 u y + v x + w x w y .
Here, u , v , and w are the displacements of the middle surface in the x , y , and z directions, respectively. Equation (3) is consistent with the classical plate in addition to the four stiffness parameters. Therefore, we can define the Airy function of the in-plane 2D stress as N x x = 2 F / y 2 and N y y = 2 F / x 2 . From Equation (2), we obtain
N x x = k b ε x x 0 + k b k g ε y y 0 ,   N x y = k g ε x y 0 , N y y = k b k g ε x x 0 + k b ε y y 0 .
Therefore, the in-plane strain is expressed as follows:
ε x y 0 = N x y k g ,   ε x x 0 = 1 χ N x x 1 λ N y y , ε y y 0 = 1 λ N x x 1 χ N y y ,
where χ = k g 2 k b k g k b - 1 and λ = k g 2 k b k g k b k g 1 . According to Equation (5), the in-plane strain energy density can be rewritten as follows:
U s = S 1 2 χ 2 F y 2 + 2 F x 2 2 1 k g 2 F y 2 2 F x 2 2 F x y 2 d S .
To ensure the continuity and single-value of the displacement field, the strain field must satisfy the following completeness condition [33]: 2 2 ε x y 0 / x y 2 ε x x 0 / y 2 2 ε y y 0 / x 2 = K . This equation can be rewritten as Δ 2 F = χ K . The Lagrange multiplier l x , y must be introduced into the potential energy function because the stress function is introduced. Then, Equation (2) can be rewritten as follows:
U = s 1 2 k B 2 H 2 + k G K + 1 2 χ 2 F y 2 + 2 F x 2 2 1 k g 2 F y 2 2 F x 2 2 F x y 2 + l Δ 2 F + χ K d S .
By performing complex but direct computations on Equation (7) and identifying the Lagrange multiplier, Equation (7) can be transformed into
U = s 1 2 k B 2 H 2 + k G K + 1 2 χ 2 F y 2 + 2 F x 2 2 1 k g 2 F y 2 2 F x 2 2 F x y 2 + 1 2 2 F y 2 w x 2 + 2 F x 2 w y 2 2 2 F x y w x w y d S .
Considering the influence of temperature on MoS2, Huang applied a boundary axial external force and thermal stress to the structure [29]; therefore, the load work is as follows:
W = S q x , y , t w + 1 2 N x x 0 N x x T w x 2 + 2 N x y 0 w x w y + N y y 0 N y y T w y 2 d S ,
where q x , y , t is the load in the z direction, and N x x 0 and N y y 0 are the pre-applied axial tensile stresses in the x and y directions at the boundaries, respectively. N x x T and N y y T are the thermal stresses in the x and y directions at the boundaries [29,34]. The thermal stresses in the uniform temperature field are N x x T = k b ε x x T = k b α Τ and N y y T = k g ε y y T = k g α Τ , where ε x x T and ε y y T represent the thermal strain, and α is the coefficient of thermal expansion (CTE).
The Lagrange function can be constructed as L = U W , which is subjected to variational calculations, namely, letting δ L = 0 with the independent variables w and F . Therefore, we obtain the force balance equation and compatibility condition as follows:
K B 4 w = 2 F y 2 + N x x 0 N x x T 2 w x 2 + 2 F x 2 + N y y 0 N y y T 2 w y 2 2 2 F x y + N x y 0 2 w x y + q , 4 F = χ 2 w x 2 2 w y 2 2 w x y 2 .
Equation (10) is a mathematical model of MoS2 derived by Huang [29], in which the out-of-plane and in-plane stiffness parameters are independent. To study the dynamics problem, we add the inertial force term m 2 w / t 2 to Equation (10) using the D’Alembert principle [35]; thus, the move equations can be rewritten as follows:
K B 4 w = 2 F y 2 + N x x 0 N x x T 2 w x 2 + 2 F x 2 + N y y 0 N y y T 2 w y 2 2 2 F x y + N x y 0 2 w x y + q x , y , t m 2 w t 2 ,
4 F = χ 2 w x 2 2 w y 2 2 w x y 2 .
For simplification, we assume that q x , y , t in Equation (11) is a harmonic load; therefore,
q x , y , t = f x , y cos Ω t .
Here, we define the following dimensionless variables as follows:
w ˜ = w a ,   x ˜ = x a ,   y ˜ = y b ,   t ˜ = ω 0 t , F ˜ = F K B ,   Ω ˜ = Ω ω 0 ,   ω 0 = K B π 4 m a 4 ,
where a and b represent the side lengths of the monolayer MoS2, as shown in Figure 1. Thus, Equation (11) can be simplified into a dimensionless form as follows:
2 w ˜ t ˜ 2 + 1 π 4 w ˜ 4 x ˜ 4 + 2 a 2 π 4 b 2 w ˜ 4 x ˜ 2 y ˜ 2 + a 4 π 4 b 4 w ˜ 4 y ˜ 4 = a 2 π 4 b 2 2 F ˜ y ˜ 2 2 w ˜ x ˜ 2 + N x x 0 N x x T m a 2 ω 0 2 2 w ˜ x ˜ 2 + a 2 π 4 b 2 2 F ˜ x ˜ 2 2 w ˜ y ˜ 2 + N y y 0 N y y T m b 2 ω 0 2 2 w ˜ y ˜ 2 2 a 2 π 4 b 2 2 F ˜ x ˜ y ˜ 2 w ˜ x ˜ y ˜ 2 N x y 0 m a b ω 0 2 2 w ˜ x ˜ y ˜ + a 3 f π 4 K B cos Ω ˜ t ˜ ,
b 2 K B a 4 4 F ˜ x ˜ 4 + 2 K B a 2 4 F ˜ x ˜ 2 y ˜ 2 + K B b 2 4 F ˜ y ˜ 4 = χ 2 w ˜ x ˜ 2 2 w ˜ y ˜ 2 2 w ˜ x ˜ y ˜ 2 .

2.1. Analysis of Static Bending

Because Equations (15) and (16) are nonlinear partial differential equations, they are difficult to solve accurately. Therefore, the Galerkin method [36] is used to transform Equations (15) and (16) into ordinary differential equations in time. Equations (15) and (16) resemble the classical plate (but the mechanical parameters of the MoS2 are independent). Under small deformations, symmetric loads may only induce symmetric deformations, even when nonlinear terms emerge. We then analyze the static and dynamic bending deformations under symmetric loads through first- and third-order symmetric modes. We expand the transverse displacement w and stress function F as follows:
w ˜ = u 1 t ˜ sin π x ˜ sin π y ˜ + u 3 t ˜ sin 3 π x ˜ sin π y ˜ , F ˜ = ξ ˜ 11 t ˜ sin π x ˜ sin π y ˜ + ξ ˜ 31 t ˜ sin 3 π x ˜ sin π y ˜ .
Substituting the F ˜ in Equation (17) into Equation (16) and multiplying sin π x ˜ sin π y ˜ and sin 3 π x ˜ sin π y ˜ on the two sides of Equation (16) (the Galerkin model), we have
ξ 11 = k 1 * η 11 2 + k 2 * η 11 η 31 + k 3 * η 31 2 , ξ 31 = k 4 * η 11 2 + k 5 * η 11 η 31 + k 6 * η 31 2 .
The parameters in Equation (18) are as follows:
k 1 = 16 a 4 b 2 χ 3 π 2 K B ( a 2 + b 2 ) 2 ,   k 2 = 352 a 4 b 2 χ 45 π 2 K B ( a 2 + b 2 ) 2 , k 3 = 912 a 4 b 2 χ 35 π 2 K B ( a 2 + b 2 ) 2 ,   k 4 = 176 a 4 b 2 χ 45 π 2 K B ( a 2 + 9 b 2 ) 2 , k 5 = 1824 a 4 b 2 χ 35 π 2 K B ( a 2 + 9 b 2 ) 2 ,   k 6 = 16 a 4 b 2 χ π 2 K B ( a 2 + 9 b 2 ) 2 .
Similarly, we substitute the w ˜ in Equation (17) into Equation (15); subsequently, we multiply sin π x ˜ sin π y ˜ and sin 3 π x ˜ sin π y ˜ on the two sides of Equation (15), and considering Equation (18), the vibration equations for the first-order and third-order modes can be obtained as follows:
u ¨ 1 + ω 1 2 u 1 = α 1 u 1 3 + α 2 u 1 2 u 3 + α 3 u 1 u 3 2 + α 4 u 3 3 + f 1 cos Ω t , u ¨ 3 + ω 3 2 u 3 = α 5 u 1 3 + α 6 u 1 2 u 3 + α 7 u 1 u 3 2 + α 8 u 3 3 + f 3 cos Ω t .
The parameters in Equation (20) are listed in Appendix A. By omitting the inertial terms in Equation (20), the static deformations of the midpoint of the monolayer MoS2 are obtained as follows:
ω 1 2 u 1 = α 1 u 1 3 + α 2 u 1 2 u 3 + α 3 u 1 u 3 2 + α 4 u 3 3 + f 1 , ω 3 2 u 3 = α 5 u 1 3 + α 6 u 1 2 u 3 + α 7 u 1 u 3 2 + α 8 u 3 3 + f 3 .
We take the MoS2 mechanical parameters in Table 1 as an example. Using the data in the table and Equation (21), the static bending amplitudes under external loads are obtained with four hinged edges, as shown in Figure 2a,b.
Table 1. Mechanical parameters of the single-layered MoS2 [28,37,38].
Figure 2. (a) Static deformation amplitudes ( w ˜ 0 = w ˜ 0.5 , 0.5 ) under the loads and temperature for a = b = 6   nm ; (b) static deformation amplitudes with the loads for two temperatures at a = 5   nm , b = 10   nm for N x x 0 = 0.3   nN / nm , N y y 0 = 0.1   nN / nm .
The two figures show that the thermal stress and axial compressive stress decrease the MoS2 stiffness. If both the first- and third-order modes are considered, the deflections of the midpoint would be slightly smaller than those considering only the first-order mode, as shown in Figure 2b. This may indicate that the first-order mode can precisely represent static deformations under symmetric loads.

2.2. Nonlinear Primary Resonance without Internal Resonance

In this section, our study of the nonlinear vibrations of single-layer MoS2 using Equation (20) are presented. These equations only contain cubic nonlinear terms. If the geometric dimensions of MoS2 and the axial force have the given values, the equations may exhibit a 1:3 internal resonance. This study mainly includes the following three parts: exciting only the first- or third-order primary resonance and the 1:3 internal resonance with the load’s frequency near the low-order natural frequency.
To simplify the analysis, we assume that the damping force is 2 c ^ j u ˙ j with damping coefficient c ^ j . If there is no internal resonance in Equation (20), the vibrations of the unexcited modes rapidly decay because of damping. Therefore, the steady-state vibrations only contain the excited mode [39]. Thus, the coupling terms in Equation (20) can be neglected. The forced vibration equation of single-layer MoS2 in the first-order mode ( Ω ω 1 ) or third-order mode ( Ω ω 3 ) is as follows:
u ¨ j + ω j 2 u j + 2 c ^ j u ˙ j = β j u j 3 + f j cos Ω t , j = 1   or   3 ,
where β 1 = α 1 ,   β 3 = α 8 . We employ the multiple scale perturbation method to analyze Equation (22). The method is a classical perturbation method that is used to solve weak nonlinear differential equations. We supposed that the influences of damping, the nonlinear terms, and the loads emerge in a unified perturbation equation, so we set c ^ j = ε 2 c j and f j = ε 3 f j 1 . The small parameter ε = 0.1 is used in this research. Consequently, Equation (22) is rewritten as follows:
u ¨ j + ω j 2 u j + 2 ε 2 c j u ˙ j = β j u j 3 + ε 3 f j 1 cos Ω t , j = 1   or   3
We assume the solution of Equation (23) as
u j = ε u j 1 Τ 0 , Τ 2 + ε 3 u j 3 Τ 0 , Τ 2 + ,
where Τ 0 = t , Τ 1 = ε t , and Τ 2 = ε 2 t . By substituting Equation (24) into Equation (23) and equating the coefficients of ε and ε 3 on both sides, we obtain
ε :   D   0 2 u j 1 + ω   j 2 u j 1 = 0 ,
ε 3 :   D 0 2 u j 3 + ω j 2 u j 3 = 2 D 0 D 2 u j 1 + c j u j 1 + β j u j 1 3 + f j 1 cos Ω T 0 ,
where D 0 = d / d T 0 and D 2 = d / d T 2 . In accordance with the ordinary differential equation theory, the solution of Equation (25) is as follows:
u j 1 = A j T 2 exp i ω j T 0 + c c ,
where c c denotes the complex conjugate of the preceding term, and A j are the arbitrary functions of T 2 . Substituting Equation (27) into (26), we obtain
D 0 2 u j 3 + ω j 2 u j 3 = 2 i ω j D 1 A j + c j A j + 3 β j A j 2 A ¯ exp i ω j T 0 + β j A j 3 exp 3 i ω j T 0 + 1 2 f j 1 exp i Ω T 0 + c c ,
where A ¯ is the complex conjugate of A . Letting Ω = ω j + ε 2 σ j and applying the elimination condition for the secular terms in Equation (28), we obtain
2 i ω j D 1 A j + c j A j + 3 β j A j 2 A ¯ j + 1 2 f j 1 exp i σ j T 2 = 0 .
We introduce the polar forms A j = 1 / 2 λ j exp i θ j with λ j and θ j in the real functions of T 2 . Substituting the A j into Equation (28) and separating the real and imaginary parts of Equation (29), we obtain
D 1 λ j + c λ j = f j 1 2 ω j sin γ j , λ j D 1 θ j + 3 8 ω j β j λ j 3 = 1 2 ω j f j 1 cos γ j ,
where γ j = σ j T 2 θ j .
The steady-state motion will occur if D 1 λ j = D 1 γ j = 0 . This corresponds to the solution of the following equations:
c j λ j = 1 2 ω j f j 1 sin γ j , λ j σ j + 3 β j 8 ω j λ j 3 = 1 2 ω j f j 1 cos γ j .

2.2.1. Primary Resonance of Low Frequency without Internal Resonance

The vibration amplitude of the low-frequency primary resonance can be obtained from Equation (31) using j = 1 :
c 1 2 + σ 1 + 3 β 1 8 ω 1 λ 1 2 2 λ 1 2 = f 11 2 4 ω 1 2 .
One can obtain λ 1 from Equation (32). Then, we substitute it into Equation (24), so the first-order approximate solution is obtained.
u 1 ε λ 1 cos Ω t γ 1 .
The mechanical parameters of MoS2 are listed in Table 1. The geometric dimensions are a = 5   nm and b = 10   nm , and the axial tensile stresses are N x x 0 = 0.3   nN / nm and N y y 0 = 0.1   nN / nm . These parameters prevent internal resonance. Because there has been no thorough research on damping, we use 2 ε 2 c j = 0.05 for simplification. Therefore, we have c j = 2.5 ,   c ^ j = 0.025 for ε = 0.1 . By substituting these parameters into the expressions in Appendix A, we obtain 3 ω 1 ω 3 .
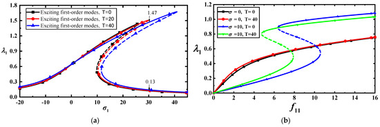
When these parameters are substituted into Equation (32), the amplitude–frequency response curves at three different temperatures were obtained with f 11 = 10 , as shown in Figure 3a. This figure shows that temperature had an insignificant effect on the MoS2 amplitude–frequency response curve. However, the combination of the load frequency and temperature had a significant effect on the load–amplitude curve, as shown in Figure 3b. Figure 3a,b also shows that the amplitude–frequency and load–amplitude response curves have two bifurcation points that lead to jumps in the vibration amplitude. The dotted lines in Figure 3 and Figure 4 indicate unstable solutions. The stability of steady-state solutions can be determined through the eigenvalues of the Jacobian matrix of Equation (30); the details can be found in [39].
Figure 3. (a) Frequency–response curves of low-frequency primary resonance with the three temperatures for f 11 = 10 ; (b) load–response curves of vibration amplitudes with two temperatures.
Figure 4. (a) Comparison between approximate analytical and numerical solutions for f 11 = 10 ; (b) phase diagram for f 11 = 10 , T = 40 .
To validate the effectiveness of the approximate analytical solution, we simulate Equation (22) with f 11 , N x x 0 , N y y 0 = 10 , 0.3 , 0.1 using the Runge–Kutta method at T = 0 and T = 40 , as shown in Figure 4a,b. Comparing the approximate analytical and numerical solutions, we find that the approximate analytical solution has good accuracy. The unstable solutions are indicated by dotted lines in Figure 3a,b and Figure 4a.

2.2.2. Primary Resonance of High Frequency without Internal Resonance

For the primary high-frequency resonance, the vibration amplitude can be obtained from Equation (31) using j = 3 . We square the two equations and add them such that
c 3 2 + σ 3 + 3 β 3 8 ω 3 λ 3 2 2 λ 3 2 = f 31 2 4 ω 3 2 .
Substituting the λ 3 and γ 3 determined by Equation (34) into Equation (24), we obtain the third-order approximate solution as follows:
u 3 ε λ 3 cos Ω t γ 3 .
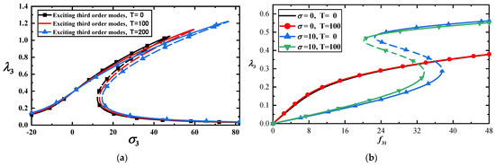
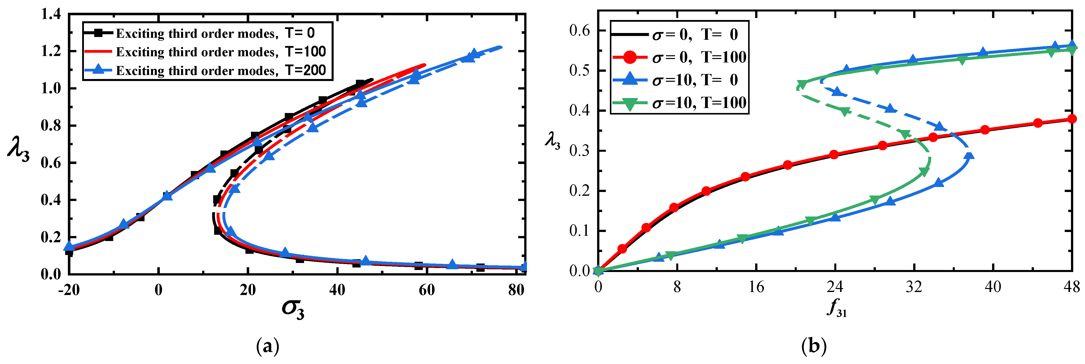
The frequency–response or load–amplitude curves can be obtained using Equation (34) at different temperatures when the third-order mode is excited, as shown in Figure 5a,b. The precision of the approximate analytical solution is examined using the Runge–Kutta method as shown in Figure 6a,b. The dotted lines in Figure 5 and Figure 6 indicate the unstable solutions. The stability of the steady-state solutions can be determined using the eigenvalues of the Jacobian matrix of Equation (30); the details can be found in [39].
Figure 5. (a) Frequency–response curves of the high-frequency primary resonance with three temperatures for f31 = 50; (b) load–response curves of vibration amplitudes with two temperatures.
Figure 6. (a) Comparison between approximate analytical and numerical solutions with f 31 = 50 for T = 0   or   T = 200 ; (b) time–response curves with f 31 = 50 , σ 2 = 20 for T = 0   or   T = 200 .
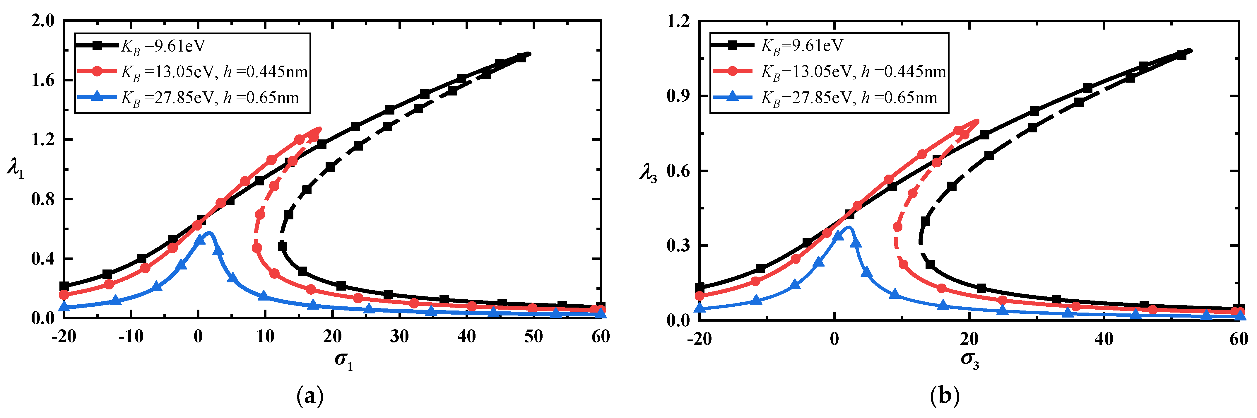
From Figure 5a,b and Figure 6a, the following three main results can be drawn. First, the vibration amplitudes of the third-order mode are significantly smaller than those of the first-order mode under the same load. Second, the temperature has little effect on the amplitude of the third-order mode. Finally, the bifurcation points of the f 11 of the low-frequency primary resonance are much smaller than those of the high-frequency resonance. A small bifurcation point of the first-order mode indicates that the low-frequency vibration is more prone to a large vibration amplitude. We use the Runge–Kutta method to calculate Equation (22) with f 31 = 50 , as shown in Figure 6a,b. The unstable solutions are indicated by dotted lines in Figure 5a,b and Figure 6a.
Here, we have used two thicknesses [28], h = 0.445   nm and h = 0.65   nm , to show the differences in nonlinear vibrations between the classical Föppl-von Karman plate model and the modified Föppl-von Karman plate model in this paper. So, the partial mechanical parameters with different effective thicknesses are shown in Table 2. The outstanding differences in the frequency–response curves between the two models can be found from Figure 7a,b.
Table 2. The partial mechanical parameters of the classical Föppl-von Karman plate model for a = 5 , b = 10 , N x x T = 0.3 , N y y T = 0.1 , T = 50 .
Figure 7. (a) Frequency–response curves of the low-frequency primary resonance with the classical plate model and the modified plate model” for f = 10 ; (b) frequency–response curves of the high-frequency primary resonance with the classical plate model and the modified plate model for f = 50 .

2.2.3. Primary Resonance and 1:3 Internal Resonance at Low Frequency

To research the 1:3 internal resonance, we rewrite Equation (20) as follows:
u ¨ 1 + ω 1 2 u 1 + 2 ε 2 c 1 u ˙ 1 = α 1 u 1 3 + α 2 u 1 2 u 3 + α 3 u 1 u 3 2   + α 4 u 3 3 + ε 3 f 11 cos Ω t , u ¨ 3 + ω 3 2 u 3 + 2 ε 2 c 3 u ˙ 3 = α 5 u 1 3 + α 6 u 1 2 u 3 + α 7 u 1 u 3 2   + α 8 u 3 3 + ε 3 f 31 cos Ω t .
Here, we add two damping terms to the first- and third-order equations. The solution of Equation (36) are as follows:
u 1 = ε u 11 Τ 0 , Τ 2 + ε 3 u 13 Τ 0 , Τ 2 + , u 3 = ε u 31 Τ 0 , Τ 2 + ε 3 u 33 Τ 0 , Τ 2 + .
By substituting Equation (37) into Equation (36) and equating the coefficients of ε and ε 3 , we obtain
ε : D 0 2 u 11 + ω 1 2 u 11 = 0 , D 0 2 u 31 + ω 3 2 u 31 = 0 ,
ε 3 : D 0 2 u 13 + ω 1 2 u 13 = 2 D 0 D 2 u 11 + c 1 u 11 + α 1 u 11 3 + α 2 u 11 2 u 31   + α 3 u 11 u 31 2 + α 4 u 31 3 + f 11 cos Ω T 0 , D 0 2 u 33 + ω 3 2 u 33 = 2 D 0 D 2 u 31 + c 3 u 31 + α 5 u 11 3 + α 6 u 11 2 u 31   + α 7 u 11 u 31 2 + α 8 u 31 3 + f 31 cos Ω T 0 .
According to the theory of ordinary differential equations, we assume that the solution of Equation (38) are as follows:
u 11 = A 1 T 2 exp i ω 1 T 0 + c c , u 31 = A 2 T 2 exp i ω 3 T 0 + c c ,
Here, c c denotes the complex conjugate of the preceding terms, and A 1   A 2 represent the functions of T 2 . Substituting Equation (40) into (39), we obtain
D 0 2 u 13 + ω 1 2 u 13 = 2 i ω 1 D 2 A 1 + c 1 A 1 + 3 α 1 A 1 2 A ¯ 1 + 2 α 3 A 1 A ¯ 2 A 2 exp i ω 1 T 0 + α 2 A ¯ 1 2 A 2 exp i 2 ω 1 + ω 3 T 0 + f 31 2 exp i Ω T 0 + c c + N S T ,
D 0 2 u 33 + ω 2 2 u 33 = 2 i ω 3 D 2 A 2 + c 3 A 2 + 3 α 8 A 2 2 A ¯ 2 + 2 α 6 A 1 A ¯ 1 A 2 exp i ω 3 T 0 + α 5 A 1 3 exp 3 i ω 1 T 0 + f 31 2 exp i Ω T 0 + c c + N S T ,
where A ¯ denotes the complex conjugate of A and N S T is the non-secular term.
These equations may exhibit an internal resonance of ω 3 3 ω 1 . Introducing the detuning parameters σ 1 and σ 2 , we obtain
ω 3 = 3 ω 1 + ε 2 σ   1 .
Ω = ω 1 + ε 2 σ 2 .
Therefore, the solvability conditions of Equations (41) and (42) are as follows:
1 2 f 11 exp i σ 1 T 2 2 i ω 1 D 2 A 1 + c 1 A 1 + 3 α 1 A 1 2 A ¯ 1 + 2 α 3 A 2 A ¯ 2 A 1 + α 2 A ¯ 1 2 A 2 exp i σ 1 T 2 = 0 , 2 i ω 3 D 2 A 2 + c 3 A 2 + α 5 A 1 3 exp i σ 1 T 2 + 2 α 6 A 1 A ¯ 1 A 2 + 3 α 8 A 2 2 A ¯ 2 = 0 .
If the polar coordinate form A m = 1 / 2 a m exp i β m , m = 1 , 2 is introduced and substituted into Equation (45), and the real and imaginary parts of the equation are separated, we obtain
8 ω 1 D 2 a 1 + c 1 a 1 = α 2 a 1 2 a 2 sin γ 1 + 4 f 11 sin γ 2 , 8 ω 3 D 2 a 2 + c 3 a 2 = α 5 a 1 3 sin γ 1 , 8 ω 1 a 1 D 2 β 1 = 3 α 1 a 1 2 + 2 α 3 a 2 2 a 1 α 2 a 1 2 a 2 cos γ 1 4 f 11 cos γ 2 , 8 ω 3 a 2 D 2 β 2 = 3 α 8 a 2 2 + 2 α 6 a 1 2 a 2 α 5 a 1 3 cos γ 1 .
Here, α m and β m are real functions of T 2 , and γ 1 = σ 1 T 2 3 β 1 + β 2 ,   γ 2 = σ 2 T 2 β 1 . The steady-state motion may occur when D 2 a m = D 2 γ m = 0 . The steady-state solution can be obtained using the following nonlinear equations:
8 ω 1 c 1 a 1 α 2 a 1 2 a 2 sin γ 1 4 f 11 sin γ 2 = 0 , 8 ω 3 c 3 a 2 + α 5 a 1 3 sin γ 1 = 0 , 8 ω 1 a 1 σ 2 + 3 α 1 a 1 2 + 2 α 3 a 2 2 a 1 = α 2 a 1 2 a 2 cos γ 1 4 f 11 cos γ 2 , 8 ω 3 a 2 3 σ 2 σ 1 + 3 α 8 a 2 2 + 2 α 6 a 1 2 a 2 = α 5 a 1 3 cos γ 1 .
An algebraic equation revealing the relationship between the vibration amplitude and other parameters can be derived by squaring the second and fourth formulas of Equation (47) and summing them as follows:
32 ω 3 α 6 a 2 2 3 σ 2 σ 1 + 12 α 6 α 8 a 2 4 a 1 2 + 4 α 6 2 a 2 2 a 1 4 α 5 2 a 1 6 + 9 α 8 2 a 2 6 + 64 ω 3 2 a 2 2 c 3 2 + 3 σ 2 σ 1 2 + 48 ω 3 α 8 a 2 4 3 σ 2 σ 1 = 0 .
Letting a 1 2 = A 1 , Equation (48) can be simplified as a cubic equation for A 1 ,
d A 1 3 + e A 1 2 + g A 1 + h = 0 d 0 ,
where
d = α 5 2 ,   e = 4 α 6 2 a 2 2 , g = 12 α 6 α 8 a 2 4 32 ω 3 α 6 a 2 2 3 σ 2 σ 1 , h = 64 ω 3 2 a 2 2 c 3 2 + 3 σ 2 σ 1 2 48 ω 3 α 8 a 2 4 3 σ 2 σ 1 9 α 8 2 a 2 6 .
Equation (49) can be rewritten as follows:
x 3 + p x + q = 0 ,
with A 1 = x e / 3 d , p = 3 d g e 2 / 3 d 2 , and q = 27 d 2 h 9 d e g + 2 e 3 / 27 d 3 . According to the Cardano formula, the solutions of Equation (51) are as follows:
x 1 = q 2 + q 2 2 + p 3 3 3 + q 2 q 2 2 + p 3 3 3 , x 2 = ω q 2 + q 2 2 + p 3 3 3 + ω 2 q 2 q 2 2 + p 3 3 3 , x 3 = ω 2 q 2 + q 2 2 + p 3 3 3 + ω q 2 q 2 2 + p 3 3 3 .
There is one real root and two complex roots in Equation (51) if Δ q / 2 2 + p / 3 3 > 0 . When Δ = 0 and p , q 0 , there is one double root and one single root; the equation has three distinct real roots if Δ   <   0 .
A 1 is real because it is the vibration amplitude. Thus, we disregard the complex roots. Equation (48) provides the relationship between the low-frequency vibration amplitude a 1 and the high-frequency vibration amplitude a 2 . Equation (52) implies that a given a 2 corresponds to one or three values of a 1 . To simplify the research, we only consider that an a 2 corresponds to an a 1 . The more intricate cases will be studied in another paper. Hence, we had
A 1 = q 2 + q 2 2 + p 3 3 3 + q 2 q 2 2 + p 3 3 3 e 3 d .
Equation (53) can be transformed into
A 1 = 27 d 2 h 9 d e g + 2 e 3 54 d 3 + 27 d 2 h 9 d e g + 2 e 3 54 d 3 2 + 3 d g e 2 9 d 2 3 1 / 2 1 / 3 + 27 d 2 h 9 d e g + 2 e 3 54 d 3 + 27 d 2 h 9 d e g + 2 e 3 54 d 3 2 + 3 d g e 2 9 d 2 3 1 / 2 1 / 3 e 3 d .
From the second and the fourth formulas of Equation (46), we obtain
sin γ 1 = 8 ω 3 c 3 a 2 / α 5 a 1 3 , cos γ 1 = 8 ω 3 a 2 3 σ 2 σ 1 + 3 α 8 a 2 2 + 2 α 6 a 1 2 a 2 / α 5 a 1 3 .
Substituting sin γ 1 and cos γ 1 into the first and third formulas of Equation (47), and then squaring and summing the two equations, we obtain
16 f 11 2 = 64 ω 1 2 a 1 2 c 1 2 + σ 2 2 + 8 ω 3 c 3 α 2 a 2 2 / α 5 a 1 2 + 128 ω 1 ω 3 c 1 c 3 α 2 a 2 2 / α 5 + 3 α 1 a 1 3 + 2 α 3 a 1 a 2 2 2 + 8 ω 3 σ 1 α 2 a 2 2 24 ω 3 σ 2 α 2 a 2 2 3 α 8 α 2 a 2 4 2 α 6 α 2 a 1 2 a 2 2 2 + ω 1 σ 2 48 α 1 a 1 4 + 32 α 3 a 1 2 a 2 2 + 16 ω 1 α 2 σ 2 a 2 2 8 ω 3 σ 1 24 ω 3 σ 2 3 α 8 a 2 2 2 α 6 a 1 2 / α 5 + 6 α 1 α 2 a 1 2 a 2 2 + 4 α 2 α 3 a 2 4 24 ω 3 σ 2 + 8 ω 3 σ 1 3 α 8 a 2 2 2 α 6 a 1 2 / α 5
The vibration amplitude of the first- and third-order models can be obtained using the following procedure: First, a 1 2 is obtained using Equation (54); subsequently, a 1 2 is substituted into Equation (54) to find a 2 . The angles γ 1 and γ 2 can be obtained by substituting a 1 and a 2 into the second and fourth formulas of Equation (47).

2.2.4. Stability Analysis of Steady-State Solutions

The stability of the solutions can be determined by investigating the nature of the singular points in Equation (46). To accomplish this, we set a 1 = a 1 0 + a 1 1 , a 2 = a 2 0 + a 2 1 , γ 1 = γ 1 0 + γ 1 1 , and γ 2 = γ 2 0 + γ 2 1 . Subsequently, by substituting them into Equation (46) and considering that α j 0 , γ j 0 , j = 1 , 2 meet Equation (47), we obtain
a 1 = α 2 a 1 2 a 2 sin γ 1 + 4 f 11 sin γ 2 / 8 ω 1 c 1 a 1 F 1 a 1 , a 2 , γ 1 , γ 2 , a 2 = α 5 a 1 3 sin γ 1 8 ω 3 c 3 a 2 F 2 a 1 , a 2 , γ 1 , γ 2 , γ 2 = 3 α 1 a 1 2 + 2 α 3 a 2 2 a 1 + α 2 a 1 2 a 2 cos γ 1 + 4 f 11 cos γ 2 / 8 ω 1 a 1 + σ 2 F 3 a 1 , a 2 , γ 1 , γ 2 , γ 1 = 9 α 1 a 1 2 + 6 α 3 a 2 2 a 1 + 3 α 2 a 1 2 a 2 cos γ 1 + 12 f 11 cos γ 2 / 8 ω 1 a 1 3 α 8 a 2 2 + 2 α 6 a 1 2 a 2 + α 5 a 1 3 cos γ 1 / 8 ω 3 a 2 + σ 1 F 4 a 1 , a 2 , γ 1 , γ 2 .
The Jacobian matrix of Equation (57) is as follows:
J = F 1 a 1 F 1 a 2 F 1 γ 2 F 1 γ 1 F 2 a 1 F 2 a 2 F 2 γ 2 F 2 γ 1 F 3 a 1 F 3 a 2 F 3 γ 2 F 3 γ 1 F 4 a 1 F 4 a 2 F 4 γ 2 F 4 γ 1
The elements in this matrix are shown in Appendix B. From Equation (47), we obtain
γ 1 = arctan 8 ω 3 c 3 8 ω 3 3 σ 2 σ 1 + 3 α 8 a 2 2 + 2 α 6 a 1 2 ± π , γ 2 = arctan 8 α 2 ω 3 c 3 a 2 2 + 8 ω 1 c 1 α 5 a 1 2 8 ω 1 σ 2 + 3 α 1 a 1 2 + 2 α 3 a 2 2 α 5 a 1 2 8 ω 3 3 σ 2 σ 1 + 3 α 8 a 2 2 + 2 α 6 a 1 2 1 ± π
The stability of steady-state solutions can be determined using the eigenvalues of the Jacobian matrix J . The steady-state solution is unstable if the eigenvalues of the corresponding Jacobian matrix contain positive real components. The unstable solutions are indicated by the dotted lines in Figure 8, Figure 9, Figure 10 and Figure 11.
Figure 8. (a) Frequency–response curves of the first-mode vibration amplitudes with σ 2 for T = 0 ; (b) frequency–response curves of the third-mode vibration amplitudes with σ 2 for T = 0 .
Figure 9. (a) Amplitude–frequency response curves of the first-mode vibration amplitudes with three temperatures for f 11 = 100 ; (b) amplitude–frequency response curves of the third-mode vibration amplitudes with three temperatures for f 11 = 100 .
Figure 10. (a) Comparison between approximate analytical and numerical solutions for vibration amplitudes of the first-order model with two loads for T = 0 ; (b) comparison between approximate analytical and numerical solutions for vibration amplitudes of the first-order model with two temperatures for f 11 = 100 .
Figure 11. (a) Amplitude–response curves of the first-order mode for three temperatures at σ 2 = 7 ; (b) amplitude–response curves corresponding to the third-order mode for three temperatures at σ 2 = 7 .
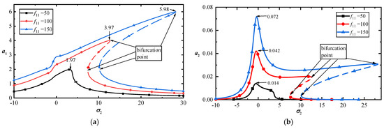
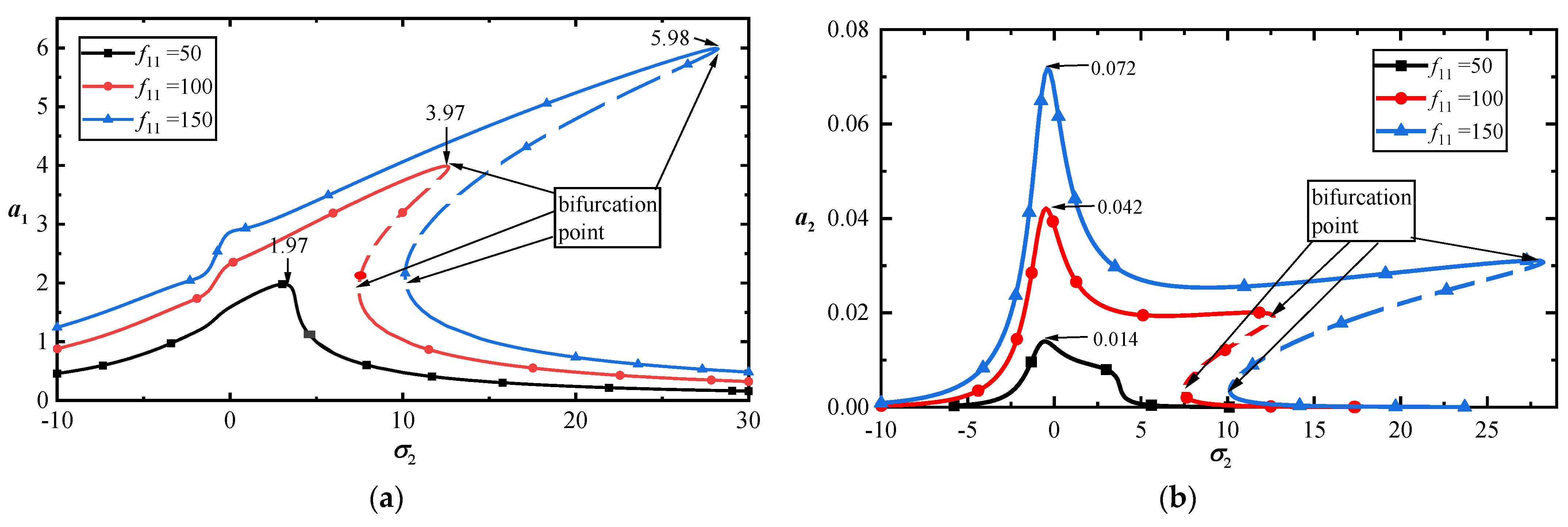
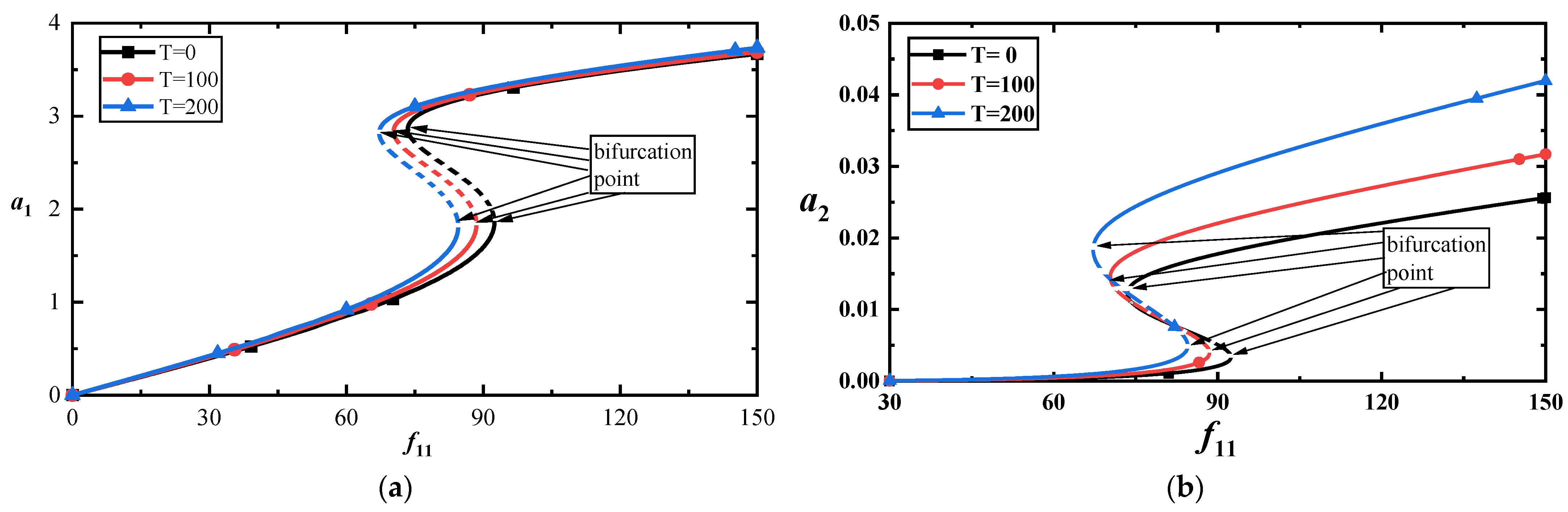
To study the 1:3 internal resonance, we use the mechanical and geometric coefficients listed in Table 1 and Table 3; the axial stresses are N x x 0 = 10   nN / nm , N y y 0 = 49.8   nN / nm . By substituting these data into Equations (54) and (56), the relationship between the load frequency and amplitude can be displayed with a 1:3 internal resonance, as shown in Figure 8, Figure 9, Figure 10 and Figure 11.
Table 3. Coefficients in Equation (56) for a = 5 , b = 15 , N x x T = 10 , N y y T = 49.8 .
Figure 8a,b illustrates the amplitude–frequency response curves of the first- and third-order modes with three external forces at T = 0 . The two figures show that the vibration amplitudes of the low-order mode are significantly larger than those of the high-order mode under the same loads. Because the nonlinear terms increase the stiffness of MoS2, the resonance peaks shift toward higher frequencies. Furthermore, the vibration amplitude may increase with frequency, which indicates significant changes in motion.
Figure 9a,b shows the effects of temperature on the amplitude–frequency response curves with f 11 = 100 . The two figures reveal that the temperature has a more significant influence on the higher-order mode than on the lower-order mode. A slight temperature difference may induce an abrupt increase in the vibration amplitude.
To validate the reliability of the approximate analytical solutions, we perform numerical calculations for Equation (20) using the Runge–Kutta method. A comparison between the analytical solution and numerical calculations is shown in Figure 10a (the first-order mode) and Figure 10b (the third-order mode). The results indicate that the approximate analytical solution is reliable.
To show the effect of temperature on the vibration amplitude, we draw the load–amplitude response curves with σ 2 = 7 under different temperatures, as shown in Figure 11a,b. They imply that temperature has a more significant impact on the higher-order mode than on the low-order mode. The time–history curves display this feature, as shown in Figure 12a,b at f 11 = 100 .
Figure 12. (a) Time–history response curves of the first-order mode with two temperatures at f 11 = 100 ; (b) time–history response curves of the third-order mode with two temperatures at f 11 = 100 .

3. Conclusions

In this study, we employ a modified plate model in which four independent elastic parameters and thermal stresses are considered to investigate the nonlinear static bending and vibrations of monolayer MoS2. First, we use the Galerkin method to truncate the partial differential equation with the first and third modes. Subsequently, nonlinear static bending and forced vibrations are explored using ordinary differential equations obtained using the Galerkin method. The main conclusions are as follows:
(1)
The first-order mode can accurately represent the static deformation of MoS2 under symmetric loads.
(2)
Temperature has a slight effect on the single-mode vibrations of the MoS2. However, the combination of the load frequency and temperature have a more significant effect on the vibrations. When the temperature has a slight change, the bifurcation points of vibration amplitude will change significantly with the identical load’s amplitude and frequency.
(3)
The bifurcation points of the load at the low-frequency primary resonance are significantly smaller than those at the high frequency for single-mode vibrations.
(4)
The vibration amplitudes of the first-order mode are significantly larger than those of the higher-order modes under the same loads when a 1:3 internal resonance appear in the MoS2.
(5)
For the 1:3 internal resonance, the temperature has a more significant influence on the higher-order mode than on the lower-order mode, and a slight temperature difference may induce an unexpected jump in the vibration amplitude. Under the same load, the maximum value of the amplitude–frequency curve will increase significantly with the temperature’s increase.
The above findings may give some important inspirations when a single-layer MoS2 is used in nano-resonators and mass sensors.

Author Contributions

Conceptualization, K.H. and Y.Z.; methodology, K.H. and X.C.; software, X.C. and Y.Z.; validation, X.C. and K.H.; formal analysis, X.C. and K.H.; resources, K.H.; data curation, Y.Z.; writing—original draft preparation, X.C.; writing—review and editing, K.H.; visualization, X.C.; supervision, K.H. and Y.Z.; project administration, K.H.; funding acquisition, K.H. All authors have read and agreed to the published version of the manuscript.

Funding

This work was supported by the National Natural Science Foundation of China (grant no. 12050001).

Data Availability Statement

No new data were created.

Conflicts of Interest

The authors declare no conflicts of interest.

Appendix A

The parameters of Equation (20):
ω 1 2 = ( b 2 + a 2 ) 2 b 4 + a 2 ( N x x 0 N x x T ) K B π 2 + a 4 ( N y y 0 N y y T ) b 2 K B π 2 ,   f 1 = 16 a 3 f π 6 K B ,   f 3 = 16 a 3 f 3 K B π 6 ,   ω 2 2 = ( 9 b 2 + a 2 ) 2 b 4 + 9 a 2 ( N x x 0 N x x T ) K B π 2 + a 4 ( N y y 0 N y y T ) b 2 K B π 2 , α 1 = 56.89 a 6 χ K B π 4 ( a 2 + b 2 ) 2 + 55.62 a 6 χ K B π 4 ( a 2 + 9 b 2 ) 2 ,   α 2 = 125.16 a 6 χ K B π 4 ( a 2 + b 2 ) 2 + 1029.34 a 6 χ K B π 4 ( a 2 + 9 b 2 ) 2 , α 3 = 339.13 a 6 χ K B π 4 ( a 2 + b 2 ) 2 + 4918.36 a 6 χ K B π 4 ( a 2 + 9 b 2 ) 2 ,   α 4 = 203.82 a 6 χ K B π 4 ( a 2 + b 2 ) 2 1579.89 a 6 χ K B π 4 ( a 2 + 9 b 2 ) 2 , α 5 = 41.72 a 6 χ K B π 4 ( a 2 + b 2 ) 2 + 214.55 a 6 χ K B π 4 ( a 2 + 9 b 2 ) 2 ,   α 6 = 339.13 a 6 χ K B π 4 ( a 2 + b 2 ) 2 + 2691.97 a 6 χ K B π 4 ( a 2 + 9 b 2 ) 2 , α 7 = 611.47 a 6 χ K B π 4 ( a 2 + b 2 ) 2 3101.26 a 6 χ K B π 4 ( a 2 + 9 b 2 ) 2 , α 8 = 1357.95 a 6 χ K B π 4 ( a 2 + b 2 ) 2 + 682.7 a 6 χ K B π 4 ( a 2 + 9 b 2 ) 2 .

Appendix B

The Jacobian matrix coefficients of Equation (58) are as follows:
F 1 a 1 = α 2 a 1 a 2 sin γ 1 4 ω 1 c 1 , F 1 a 2 = α 2 a 1 2 sin γ 1 8 ω 1 , F 1 γ 2 = f 11 cos γ 2 2 ω 1 , F 1 γ 1 = α 2 a 1 2 a 2 cos γ 1 8 ω 1 , F 2 a 1 = α 5 3 a 1 2 sin γ 1 8 ω 3 , F 2 a 2 = c 3 , F 2 γ 2 = 0 , F 2 γ 1 = α 5 a 1 3 cos γ 1 8 ω 3 , F 3 a 1 = 6 α 1 a 1 + α 2 a 2 cos γ 1 8 ω 1 f 11 cos γ 2 2 ω 1 a 1 2 , F 3 a 2 = 4 α 3 a 2 a 1 + α 2 a 1 2 cos γ 1 8 ω 1 a 1 , F 3 γ 2 = f 11 sin γ 2 2 ω 1 a 1 , F 3 γ 1 = α 2 a 1 2 a 2 sin γ 1 8 ω 1 a 1 , F 4 a 1 = 18 α 1 a 1 + 3 α 2 a 2 cos γ 1 8 ω 1 3 f 11 cos γ 2 2 ω 1 a 1 2 4 α 6 a 1 a 2 + 3 α 5 a 1 2 cos γ 1 8 ω 3 a 2 , F 4 a 2 = 12 α 3 a 2 + 3 α 2 a 1 cos γ 1 8 ω 1 3 α 8 a 2 4 ω 3 + α 5 a 1 3 cos γ 1 8 ω 3 a 2 2 , F 4 γ 2 = 3 f 11 sin γ 2 2 ω 1 a 1 , F 4 γ 1 = α 5 a 1 3 sin γ 1 8 ω 3 a 2 3 α 2 a 1 2 a 2 sin γ 1 8 ω 1 a 1 .

References

  1. Novoselov, K.S.; Geim, A.K.; Morozov, S.V.; Jiang, D.; Zhang, Y.; Dubonos, S.V.; Grigorieva, I.V.; Firsov, A.A. Electric field effect in atomically thin carbon films. Science 2004, 306, 666–669. [Google Scholar] [CrossRef]
  2. Xiong, Z.X.; Zhong, L.; Wang, H.T.; Li, X.Y. Structural Defects, Mechanical Behaviors, and Properties of Two-Dimensional Materials. Materials 2021, 14, 1192. [Google Scholar] [CrossRef]
  3. Cao, S.H.; Wang, Q.; Gao, X.F.; Zhang, S.J.; Hong, R.J.; Zhang, D.W. Monolayer-Graphene-Based Tunable Absorber in the Near-Infrared. Micromachines 2021, 12, 1320. [Google Scholar] [CrossRef]
  4. Savin, A.V.; Kosevich, Y.A. Modeling of One-Side Surface Modifications of Graphene. Materials 2019, 12, 4179. [Google Scholar] [CrossRef]
  5. Liang, T.; Liu, R.F.; Lei, C.; Wang, K.; Li, Z.Q.; Li, Y.W. Preparation and Test of NH3 Gas Sensor Based on Single-Layer Graphene Film. Micromachines 2020, 11, 965. [Google Scholar] [CrossRef]
  6. Mazur, O.; Awrejcewicz, J. Ritz Method in Vibration Analysis for Embedded Single-Layered Graphene Sheets Subjected to In-Plane Magnetic Field. Symmetry 2020, 12, 515. [Google Scholar] [CrossRef]
  7. Jiang, M.J.; Zhang, K.X.; LV, X.Y.; Wang, L.; Zhang, L.B.; Han, L.; Xing, H.Z. Monolayer Graphene Terahertz Detector Integrated with Artificial Microstructure. Sensors 2023, 23, 3203. [Google Scholar] [CrossRef]
  8. Peng, B.; Zheng, W.; Qin, J.; Zhang, W. Two-Dimensional MX2 Semiconductors for Sub-5 nm Junctionless Field Effect Transistors. Materials 2018, 11, 430. [Google Scholar] [CrossRef]
  9. Shendokar, S.; Aryeetey, F.; Hossen, M.F.; Ignatova, T.; Aravamudhan, S. Towards Low-Temperature CVD Synthesis and Characterization of Mono- or Few-Layer Molybdenum Disulfide. Micromachines 2023, 14, 1758. [Google Scholar] [CrossRef]
  10. Manish, C.; Suk, S.H.; Goki, E.; Li, L.J.; Ping, L.K.; Zhang, H. The chemistry of two-dimensional layered transition metal dichalcogenide nanosheets. Nat. Chem. 2013, 5, 263–275. [Google Scholar]
  11. Shi, H.; Yan, R.; Bertolazzi, S.; Bertolazzi, S.; Brivio, J.; Huang, L. Exciton Dynamics in Suspended Monolayer and Few-Layer MoS2 2D Crystals. ACS Nano 2013, 7, 1072–1080. [Google Scholar] [CrossRef]
  12. Chong, C.; Liu, H.X.; Wang, S.L.; Yang, K. First-Principles Study on the Effect of Strain on Single-Layer Molybdenum Disulfide. Nanomaterials 2021, 11, 3127. [Google Scholar] [CrossRef]
  13. Yang, R.; Fan, J.N.; Sun, M.T. Transition Metal Dichalcogenides (TMDCs) Heterostructures: Synthesis, Excitons and Photoelec-tric Properties. Chem. Rec. 2022, 22, 43202. [Google Scholar]
  14. Gacem, K.; Boukhicha, M.; Chen, Z.; Shukla, A. High quality 2D crystals made by anodic bonding: A general technique for layered materials. Nanotechnology 2012, 23, 505709. [Google Scholar] [CrossRef]
  15. Ganatra, R.; Zhang, Q. Few-layer MoS2: A promising layered semiconductor. ACS Nano 2014, 8, 4074–4099. [Google Scholar] [CrossRef]
  16. Lee, Y.H.; Zhang, X.Q.; Zhang, W.j.; Chang, M.T.; Lin, C.T.; Chang, K.D.; Yu, Y.C.; Wang, J.; Chang, C.; Li, L.; et al. Synthesis of large-area MoS2 atomic layers with chemical vapor deposition. Adv. Mater. 2012, 24, 2320–2325. [Google Scholar] [CrossRef]
  17. Mak, K.F.; He, K.; Shan, J.; Heinz, T.F. Control of valley polarization in monolayer MoS2 by optical helicity. Nat. Nanotechnol. 2012, 7, 494–498. [Google Scholar] [CrossRef]
  18. Muhammad, I.; Hina, M.; Abdul, S.; Umar, A.; Farah, A.; Arslan, U.; Irfan, S.; Pang, W.; Qin, S. Top-gate engineering of field-effect transistors based on single layers of MoS2 and graphene. J. Phys. Chem. Solids 2024, 184, 111710. [Google Scholar]
  19. Li, X.; Zhu, H.W. Two-dimensional MoS2: Properties, preparation, and applications. J. Mater. 2015, 1, 33–44. [Google Scholar] [CrossRef]
  20. Sajedeh, M.; Dumitru, D.; Guilherme, M.M.; Andras, K. Self-sensing, tunable monolayer MoS2 nanoelectromechanical resonators. Nat. Commun. 2019, 10, 4831. [Google Scholar]
  21. Zhang, Y.; Xu, F.; Zhang, X.Y. The influence of temperature on the large amplitude vibration of circular single-layered MoS2 resonator. Eur. Phys. J. Plus 2022, 137, 428. [Google Scholar] [CrossRef]
  22. Andres, C.G.; Ronald, L.V.; Michele, B.; Vander, Z.H.; Steele, G.A.; Venstra, W.J. Single-layer MoS2 mechanical resonators. Adv. Mater. 2013, 25, 6719–6723. [Google Scholar]
  23. Akinwande, D.; Brennan, J.C.; Bunch, S.J.; Egberts, P.; Felts, J.R. A review on mechanics and mechanical properties of 2D materials—Graphene and beyond. Extrem. Mech. Lett. 2017, 13, 1342–1377. [Google Scholar] [CrossRef]
  24. Sun, Y.W.; Papageorgiou, D.G.; Humphreys, C.J.; Dunstan, D.J.; Puech, P.; Proctor, J.E.; Bousige, C.; Machon, D.; San-Miguel, A. Mechanical properties of graphene. Appl. Phys. Rev. 2021, 8, 021310. [Google Scholar] [CrossRef]
  25. Huang, K.; Yin, Y.; Qu, B. Tight-binding theory of graphene mechanical properties. Microsyst. Technol. 2021, 27, 1–8. [Google Scholar] [CrossRef]
  26. Huang, K.; Wu, J.; Yin, Y. An Atomistic-Based Nonlinear Plate Theory for Hexagonal Boron Nitride. Nanomaterials 2021, 11, 3113. [Google Scholar] [CrossRef]
  27. Huang, K.; Wu, J.; Yin, Y.; Xu, W. Atomistic-Continuum theory of graphene fracture for opening mode crack. Int. J. Solids Struct. 2023, 268, 112172. [Google Scholar] [CrossRef]
  28. Xiong, S.; Cao, G.X. Bending response of single layer MoS2. Nanotechnology 2016, 27, 105701. [Google Scholar] [CrossRef]
  29. Huang, K.; Wang, T.; Yao, J. Nonlinear plate theory of single-layered MoS2 with thermal effect. Acta Phys. Sin. 2021, 70, 369–375. [Google Scholar] [CrossRef]
  30. Late, D.J.; Shirodkar, S.N.; Waghmare, U.V.; Dravid, V.P.; Rao, C.N.R. Thermal Expansion, Anharmonicity and Temperature-Dependent Raman Spectra of Single- and Few-Layer MoSe2 and WSe2. ChemPhysChem 2014, 15, 1592–1598. [Google Scholar] [CrossRef]
  31. Hu, X.; Yasaei, P.; Jokisaari, J.; Öğüt, S.; Salehi, K.A.; Klie, R.F. Mapping Thermal Expansion Coefficients in Freestanding 2D Materials at the Nanometer Scale. Phys. Rev. Lett. 2018, 120, 055902. [Google Scholar] [CrossRef]
  32. Zhang, R.S.; Cao, H.Y.; Jiang, J.W. Tunable thermal expansion coefficient of transition-metal dichalcogenide lateral hetero-structures. Nanotechnology 2020, 31, 405709. [Google Scholar] [CrossRef]
  33. Audoly, B.; Pomeau, Y. Elasticity and Geometry: From Hair Curls to the Nonlinear Response of Shells; Oxford University Press: New York, NY, USA, 2010. [Google Scholar]
  34. Eduard, E.; Krauthammer, T. Thin Plates and Shells: Theory, Analysis, and Applications; CRC Press: New York, NY, USA, 2001. [Google Scholar]
  35. Vujanovic, B. Conservation laws of dynamical systems via D’alembert’s principle. Int. J. Non-Linear Mech. 1978, 13, 185–197. [Google Scholar] [CrossRef]
  36. Hu, H. Variational Principles of Theory of Elasticity with Applications; Science Press: Beijing, China, 1981. [Google Scholar]
  37. Jiang, J.W.; Qi, Z.A.; Harold, S. Elastic bending modulus of single-layer molybdenum disulfide (MoS2): Finite thickness effect. Nanotechnology 2013, 24, 435705. [Google Scholar] [CrossRef]
  38. Xiong, S.; Cao, G.X. Molecular dynamics simulations of mechanical properties of monolayer MoS2. Nanotechnology 2015, 26, 185705. [Google Scholar] [CrossRef]
  39. Nayfeh, A.H.; Mook, D.T. Nonlinear Oscillations; John Wiley & Sons: New York, NY, USA, 1980. [Google Scholar]
Disclaimer/Publisher’s Note: The statements, opinions and data contained in all publications are solely those of the individual author(s) and contributor(s) and not of MDPI and/or the editor(s). MDPI and/or the editor(s) disclaim responsibility for any injury to people or property resulting from any ideas, methods, instructions or products referred to in the content.

Article Metrics

Citations

Article Access Statistics

Multiple requests from the same IP address are counted as one view.