Structure, Antioxidant Activity and Antimicrobial Study of Light Lanthanide Complexes with p-Coumaric Acid
Abstract
1. Introduction
2. Materials and Methods
2.1. Synthesis
2.2. Elemental and Thermal Analysis
2.3. Spectroscopic Study
2.4. Antioxidant Study
2.5. Minimal Inhibitory Concentration Test
2.6. Cell Viability of Tested Microorganisms (MTT Test)
2.7. Statistical Analysis
3. Results and Discussion
3.1. Elemental and Thermal Analysis
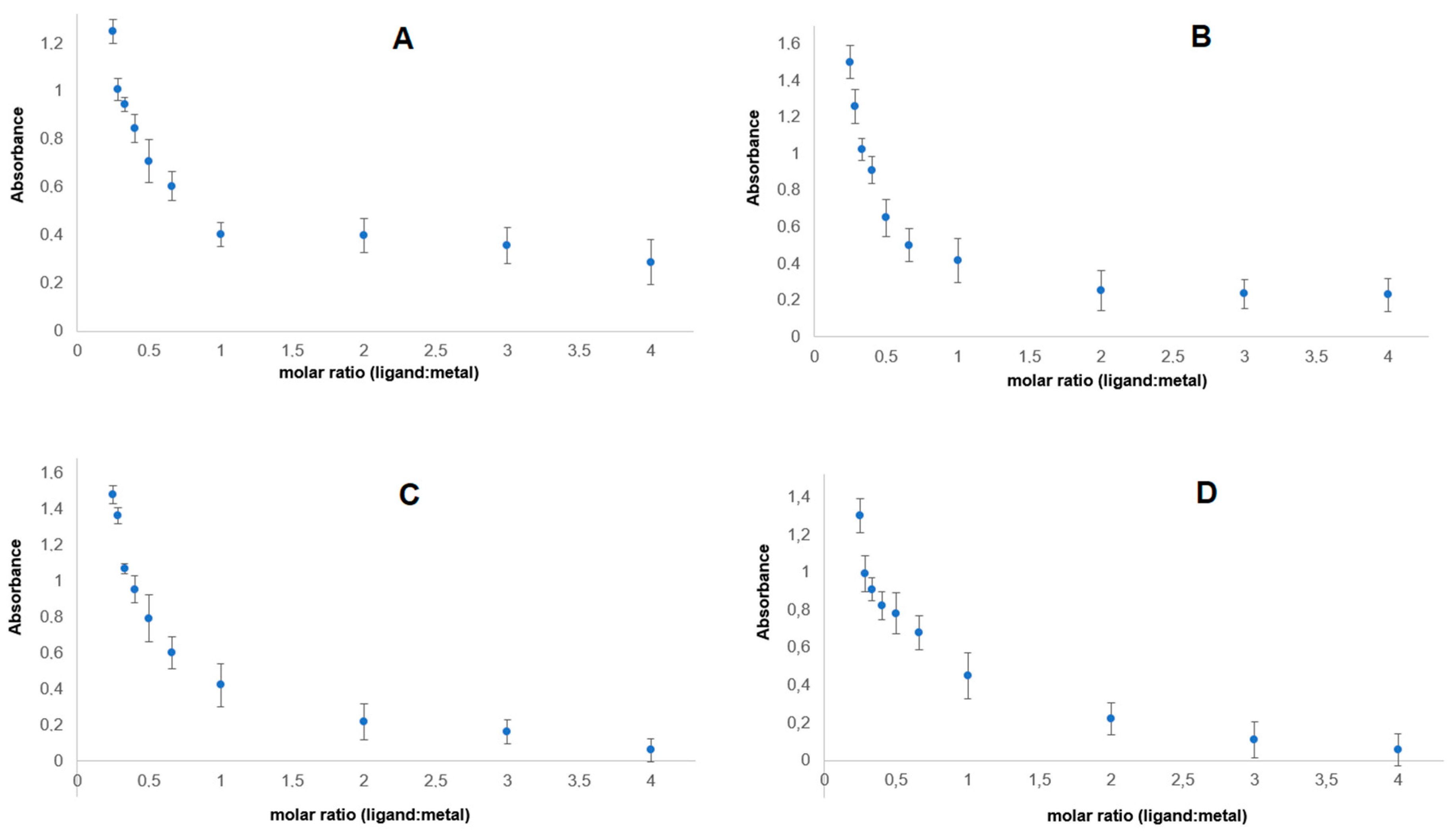
3.2. IR and Raman Spectra
| p-CAH2 [29] | [Ce(p-CAH)3(H2O)3]·3H2O | [Pr(p-CAH)3(H2O)3]·3H2O | [Nd(p-CAH)3(H2O)2]·3H2O | [Pr(p-CAH)3(H2O)3]·3H2O | Assignment | No. [27] | ||||||||||
|---|---|---|---|---|---|---|---|---|---|---|---|---|---|---|---|---|
| IRKBr | IRATR | Raman | IRKBr | IRATR | Raman | IRKBr | IRATR | Raman | IRKBr | IRATR | Raman | IRKBr | IRATR | Raman | ||
| 3383 s | 3375 w | - | 3394 m | - | - | 3422 m | - | - | 3378 m | - | - | 3357 m | - | - | ν(OH)ar | - |
| - | - | - | 3256 m | - | - | 3251 m | - | - | 3251 m | - | - | 3256 m | - | - | ν(OH)ar | - |
| 3026 w | - | 3025 vw | 3024 w | - | - | 3027 w | - | 3024 vw | 3025 w | - | - | 3027 w | - | - | ν(CH) + ν(CH)C=C | 20b |
| 2959 m | - | - | 2955 w | - | - | 2952 vw | - | - | 3952 vw | - | - | 2955 vw | - | - | ν(CH + ν(CH)C=C | 7b |
| 2839–2513 m | - | - | ν(OH) | - | ||||||||||||
| 1672 vs | 1667 vs | - | - | - | - | - | - | - | - | - | - | - | - | - | ν(C=O) | - |
| 1628 s | 1626 m | 1636 m | 1633 s | 1633 m | 1635 s | 1633 s | 1633 m | 1636 s | 1633 s | 1633 s | 1636 s | 1633 s | 1633 m | 1633 s | ν(CC)C=C | - |
| 1601 vs | 1600 s | 1606 vs | 1606 s | 1603 m | 1607 vs | 1606 s | 1603 m | 1608 vs | 1606 s | 1605 s | 1607 vs | 1606 s | 1605 m | 1605 vs | ν(CC) | 8a |
| 1591 s | 1589 s | 1593 m | 1589 m | - | - | 1589 m | - | - | 1589 m | - | - | 1588 m | - | - | ν(CC) | 8b |
| 1512 s | 1510 m | 1519 w | - | - | 1547 w | - | - | - | - | - | 1547 w | - | - | - | ν(CC) | 19a |
| - | - | - | 1514 vs | 1510 s | 1517 w | 1514 vs | 1510 vs | 1517 w | 1514 vs | 1510 vs | 1519 w | 1513 vs | 1510 vs | 1518 w | νas(COO) | - |
| 1449 vs | 1446 s | 1448 w | 1440 m | 1440 m | 1435 w | 1440 m | 1443 m | 1433 w | 1440 s | 1441 s | 1435 w | 1442 m | 1439 m | 1439 w | ν(CC) | 19b |
| 1422 s | 1422 m | - | - | - | - | - | - | - | - | - | - | - | - | - | β(CH)C=C | - |
| - | - | - | 1405 vs | 1397 vs | 1397 w | 1405 vs | 1398 vs | 1400 w | 1406 vs | 1399 vs | 1396 w | 1409 vs | 1399 vs | 1400 w | νs(COO-) | - |
| 1379 m | 1376 m | - | β(CH)C=C + β(OH)ar | 14 | ||||||||||||
| 1314 s | 1306 w | 1322 vw | - | 1321 vw | - | - | 1320 w | - | - | 1321 vw | - | - | 1323 vw | β(CH)C=C + β(OH)ar | 3 | |
| 1283 m | 1309 s | 1282 w | 1292 m | - | 1292 vw | 1292 w | - | 1293 vw | 1292 m | - | 1291 vw | 1289 sh | - | 1293 vw | ν(C-OH) | |
| 1244 vs | 1241 vs | 1260 m | 1244 s | 1239 s | 1249 m | 1244 s | 1239 s | 1249 m | 1244 s | 1241 vs | 1250 m | 1244 s | 1239 s | 1251 m | β(OH) | - |
| 1215 s | 1211 s | 1212 w | - | - | 1204 w | - | - | 1204 w | - | - | 1202 w | - | - | 1205 w | β(CH) | 13 |
| 1173 s | 1171 s | 1171 w | 1173 m | 1171 m | 1171 m | 1173 m | 1171 m | 1171 w | 1173 m | 1171 s | 1171 w | 1173 m | 1171 m | 1170 m | β(CH) | 9a |
| 1105 m | 1103 m | - | 1105 w | 1106 w | - | 1105 w | 1109 w | - | 1105 w | 1106 s | - | 1105 w | 1106 m | - | β(CH) | 18b |
| 1013 w | 1012 w | - | β(CH) | 18a | ||||||||||||
| 986 m | 986 w | 984 vw | 986 w | 986 m | 985 vw | 984 m | 986 s | 987 vw | 987 w | 986 m | 980 w | βs(COO) | ||||
| 978 s | 977 s | 977 vw | ν(CCO) | |||||||||||||
| 941 m | 937 m | 952 vw | 943 w | - | - | - | - | - | 942 w | 942 s | - | 943 vw | - | - | γ(CH) | 17a |
| 920 s | 912 m | - | - | - | - | - | - | - | γ(CO) | - | ||||||
| - | - | - | 877 m | 873 w | - | 877 w | 873 w | - | 875 w | 873 s | - | 873 w | 870 m | 867 w | γ(CH) | 5 |
| 860 w | - | 864 w | 867 m | - | 867 vw | 867 w | - | 866 vw | 867 w | - | 867 vw | - | - | - | γ(CH) | 10a |
| 833 s | 827 s | 837 w | 836 s | 834 m | 837 vw | 836 m | 834 m | - | 834 m | 834 s | - | 836 m | 834 s | - | γ(CH) | 17b |
| 799 m | 797 m | 800 w | 806 m | 805 w | 806 vw | 806 w | 807 m | 806 vw | 806 m | - | 807 vw | 806 w | 807 m | 806 w | α(CCC) | 1 |
| - | - | - | 731 m | 728 m | - | 731 m | 728 m | - | 731 m | 731 s | - | 732 w | 732 m | 732 vw | γs(COO) | - |
| 704 m | - | - | 704 w | 704 m | - | 703 w | 700 s | - | 704 vw | 703 m | 706 vw | βas(COO) | - | |||
| 692 m | 690 m | - | - | - | - | - | - | - | - | - | - | - | - | β(CO) | - | |
| 646 w | 645 w | 645 vw | 643 w | - | 642 vw | - | - | 643 vw | 642 w | - | 643 vw | 643 vw | 630 m | 642 vw | φ(CC) | 4 |
3.3. UV Spectra
3.4. Antioxidant Properties
3.5. Antimicrobial Properties
3.6. Cell Viability of Tested Microorganisms
4. Conclusions
Author Contributions
Funding
Institutional Review Board Statement
Informed Consent Statement
Data Availability Statement
Conflicts of Interest
References
- Zheng, J.; Ren, S.; Ren, N.; Zhang, J.; Zhang, D.; Wang, S. Synthesis, thermodynamic properties and antibacterial activities oflanthanide complexes with 3,5-dimethoxybenzoic acid and1,10-phenanthroline. Thermochim. Acta 2013, 572, 101–106. [Google Scholar] [CrossRef]
- Zhao, Q.; Zhu, M.; Zhang, J. A series of novel lanthanide complexes with 2-bromine-5-methoxybenzoic acid and 2,20-bipyridine: Syntheses, crystal structures, and luminescent properties. J. Mol. Struct. 2017, 1149, 171–182. [Google Scholar] [CrossRef]
- Świderski, G.; Kalinowska, M.; Gołębiewska, E.; Świsłocka, R.; Lewandowski, W.; Kowalczyk, N.; Naumowicz, M.; Cudowski, A.; Pietryczuk, A.; Nalewajko-Sieliwoniuk, E.; et al. Structures, Antioxidant Properties, and Antimicrobial Properties of Eu(III), Gd(III), and Dy(III) Caffeinates and p-Coumarates. Molecules 2023, 28, 6506. [Google Scholar] [CrossRef] [PubMed]
- Liu, J.Y.; Ren, N.; Zhang, J.J.; Zhang, C.Y. Preparation, thermodynamic property and antimicrobial activity of some rare-earth (III) complexes with 3-bromo-5-iodobenzoic acid and 1, 10-phenanthroline. Thermochim. Acta 2013, 570, 51–58. [Google Scholar] [CrossRef]
- Essawy, A.A.; Afifi, M.A.; Moustafa, H.; El-Medani, S.M. DFT calculations, spectroscopic, thermal analysis and biological activity of Sm (III) and Tb (III) complexes with 2-aminobenzoic and 2-amino-5-chloro-benzoic acids. Spectrochim. Acta 2014, 131, 388–397. [Google Scholar] [CrossRef] [PubMed]
- Xu, D.; Xu, Y.; Cheng, N.; Zhou, X.; Shi, Y.; He, Q. Synthesis, characterization, and biological studies of lanthanide complexes with 2, 6-pyridine dicarboxylic acid and α-picolinic acid. J. Coord. Chem. 2010, 63, 2360–2369. [Google Scholar] [CrossRef]
- Premkumar, T.; Govindarajan, S. Antimicrobial study on trivalent lighter rare-earth complexes of 2-pyrazinecarboxylate with hydrazinium cation. World J. Microbiol. Biotech. 2006, 22, 1105–1108. [Google Scholar] [CrossRef]
- Selvaraj, S.; Krishnaswamy, S.; Devashya, V.; Sethuraman, S.; Krishnan, U.M. Flavonoid–metal ion complexes: A novel class of therapeutic agents. Med. Res. Rev. 2014, 34, 677–702. [Google Scholar] [CrossRef]
- Kopacz, M.; Woznicka, E.; Gruszecka, J. Antibacterial activity of morin and its complexes with La(III), Gd(III) and Lu(III) ions. Acta Pol. Pharm. 2005, 62, 65–67. [Google Scholar]
- Jayaprakash, S.; Ramesh, S.; Karthikeyan, A.; Murugappan, S.; Sidharthan, P.; Selvaraj, S. Transition Metal Coordination Complexes of Flavonoids: A Class of Better Pharmacological Active Molecules to Develop New Drugs. Anticancer Agents Med. Chem. 2023, 23, 417–431. [Google Scholar]
- Alghool, S.; Zoromba, M.S.; Abd El-Halim, H.F. Lanthanide amino acid Schiff base complexes: Synthesis, spectroscopic characterization, physical properties and in vitro antimicrobial studies. J. Rare Earths 2013, 31, 715–721. [Google Scholar] [CrossRef]
- Kaczmarek, M.T.; Zabiszak, M.; Nowak, M.; Jastrzab, R. Lanthanides: Schiff base complexes, applications in cancer diagnosis, therapy, and antibacterial activity. Coord. Chem. Rev. 2018, 370, 42–54. [Google Scholar] [CrossRef]
- Catalano, A.; Sinicropi, M.S.; Iacopetta, D.; Ceramella, J.; Mariconda, A.; Rosano, C.; Longo, P. A review on the advancements in the field of metal complexes with Schiff bases as antiproliferative agents. Appl. Sci. 2021, 11, 6027. [Google Scholar] [CrossRef]
- Alghool, S.; Abd El-Halim, H.F.; Abd El-sadek, M.S.; Yahia, I.S.; Wahab, L.A. Synthesis, thermal characterization, and antimicrobial activity of lanthanum, cerium, and thorium complexes of amino acid Schiff base ligand. J. Therm. Anal. Calorim. 2013, 112, 671–681. [Google Scholar] [CrossRef]
- Shiju, C.; Arish, D.; Kumaresan, S. Synthesis, characterization, cytotoxicity, DNAcleavage, and antimicrobial activity of lanthanide(III) complexes of a Schiff base ligand derived from glycylglycine and 4-nitrobenzaldehyde. Arab. J. Chem. 2017, 10, 2584–2591. [Google Scholar] [CrossRef]
- Taha, Z.A.; Hijazi, A.K.; Al Momani, W.M. Lanthanide complexes of the tridentate Schiff base ligand salicylaldehyde-2-picolinoylhydrazone: Synthesis, characterization, photophysical properties, biological activities and catalytic oxidation of aniline. J. Mol. Struct. 2020, 1220, 128712. [Google Scholar] [CrossRef]
- Taha, Z.A.; Ajlouni, A.M.; Momani, W.A.; Al-Ghzawi, A. Syntheses, characterization, biological activities and photophysical properties of lanthanides complexes with a tetradentate Schiff base ligand. Spectrochim. Acta Part A 2011, 81, 570–577. [Google Scholar] [CrossRef] [PubMed]
- Kostova, I.; Traykova, M.; Rastogi, V.K. New lanthanide complexes with antioxidant activity. Med. Chem. 2008, 4, 371–378. [Google Scholar] [CrossRef] [PubMed]
- Shaghaghi, M.; Rashtbari, S.; Vejdani, S.; Dehghan, G.; Jouyban, A.; Yekta, R. Exploring the interactions of a Tb (III)–quercetin complex with serum albumins (HSA and BSA): Spectroscopic and molecular docking studies. Luminescence 2020, 35, 512–524. [Google Scholar] [CrossRef]
- Boz, H. p-Coumaric acid in cereals: Presence, antioxidant and antimicrobial effects. Inter. J. Food Sci. Technol. 2015, 50, 2323–2328. [Google Scholar] [CrossRef]
- Pei, K.; Ou, J.; Huang, J.; Ou, S. p-Coumaric acid and its conjugates: Dietary sources, pharmacokinetic properties and biological activities. J. Sci. Food Agric. 2016, 96, 2952–2962. [Google Scholar] [CrossRef] [PubMed]
- Laderiere, B.; Champagne, P.; Kalinowska, M.; Kowczyk, M.; Lewandowski, W. Mn(II), Cu(II), Zn(II), Cd(II) and Ca(II) p-coumarate: FT-IR, FT-Raman, 1H and 13C NMR, thermogravimetric and microbiological studies. In Proceedings of the Colloquim Spectroscopicum Internationale XXXVII, Buzios, Brazil, 28 August–2 September 2011. [Google Scholar]
- Re, R.; Pellegrini, N.; Proteggente, A.; Pannala, A.; Yang, M.; Rice-Evans, C. Antioxidant activity applying an improved ABTS radical cation decolorization assay. Free Radic. Biol. Med. 1999, 26, 1231–1237. [Google Scholar] [CrossRef]
- Apak, R.; Güçlü, K.; Özyürek, M.; Karademir, S.E. Novel total antioxidant capacity index for dietary polyphenols and vitamins C and E, using their cupric ion reducing capability in the presence of neocuproine: CUPRAC method. J. Agric. Food Chem. 2004, 52, 7970–7981. [Google Scholar] [CrossRef] [PubMed]
- Jabłońska-Trypuć, A.; Wydro, U.; Serra-Majem, L.; Wołejko, E.; Butarewicz, A. The Analysis of Bifenox and Dichlobenil Toxicity in Selected Microorganisms and Human Cancer Cells. Int. J. Environ. Res. Public Health 2019, 16, 4137. [Google Scholar] [CrossRef] [PubMed]
- Jabłońska-Trypuć, A.; Wydro, U.; Wołejko, E.; Świderski, G.; Lewandowski, W. Biological Activity of New Cichoric Acid–Metal Complexes in Bacterial Strains, Yeast-Like Fungi, and Human Cell Cultures In Vitro. Nutrients 2020, 12, 154. [Google Scholar] [CrossRef]
- Varsányi, G. Vibrational Spectra of Benzene Derivatives; Elsevier: Amsterdam, The Netherlands, 2012. [Google Scholar]
- Nakamoto, K.; McCarthy, P.J. Spectroscopy and Structure of Metal Chelate Compounds; John Wiley and Sons: New York, NY, USA, 1968. [Google Scholar]
- Świsłocka, R.; Kowczyk-Sadowy, M.; Kalinowska, M.; Lewandowski, W. Spectroscopic (FT-IR, FT-Raman, 1H and 13C NMR) and theoretical studies of p-coumaric acid and alkali metal p-coumarates. Spectroscopy 2012, 27, 35–48. [Google Scholar] [CrossRef]
- Lewandowski, W.; Kalinowska, M.; Lewandowska, H. The influence of metals on the electronic system of biologically important ligands. Spectroscopic study of benzoates, salicylates, nicotinates and isoorotates. Review. J. Inorg. Biochem. 2005, 99, 1407–1423. [Google Scholar] [CrossRef] [PubMed]
- Santos-Sánchez, N.F.; Salas-Coronado, R.; Villanueva-Cañongo, C.; Hernández-Carlos, B. Antioxidant compounds and their antioxidant mechanism. Antioxidants 2019, 10, 1–29. [Google Scholar]
- Yuan, S.; Li, W.; Li, Q.; Wang, L.; Cao, J.; Jiang, W. Defense responses, induced by p-coumaric acid and methyl p-coumarate, of Jujube (Ziziphus jujuba Mill.) fruit against black spot rot caused by Alternaria alternata. J. Agric. Food Chem. 2019, 67, 2801. [Google Scholar] [CrossRef]
- Pohl, C.H. Recent advances and opportunities in the study of Candida albicans polymicrobial biofilms. Front. Cell. Infect. Microbiol. 2022, 12, 836379. [Google Scholar] [CrossRef]
- Chohan, Z.H.; Arif, M.; Akhtar, M.A.; Supuran, C.T. Metal-Based antibacterial and antifungal agents: Synthesis, characterization, and in vitro biological evaluation of Co(II), Cu(II), Ni(II), and Zn(II) complexes with amino acid-derived compoun. Bioinorg. Chem. Appl. 2006, 2006, 83131. [Google Scholar] [CrossRef] [PubMed]
- Carmo, P.H.F.; Garcia, M.T.; Figueiredo-Godoi, L.M.A.; Lage, A.C.P.; Silva, N.S.; Junqueira, J.C. Metal nanoparticles to combat Candida albicans infections: An Update. Microorganisms 2023, 11, 138. [Google Scholar] [CrossRef] [PubMed]







| Formula | Experimental | Theoretical | ||
|---|---|---|---|---|
| %C | %H | %C | %H | |
| [Ce(CAH)3(H2O)3]·3H2O | 43.45 | 4.42 | 43.96 | 4.51 |
| [Pr(p-CAH)3(H2O)3]·3H2O | 43.74 | 4.34 | 43.91 | 4.50 |
| Nd(p-CAH)3(H2O)2]·3H2O | 43.62 | 434 | 43.72 | 4.48 |
| [Sm(p-CAH)3(H2O)3]·3H2O | 43.97 | 400 | 43.36 | 4.45 |
| Compound | Stage | TG Trange [°C] | DTG (DSC) Tmax. Peaks [°C] | Peak Nature | Mass Loss [%] | Final Residue | |
|---|---|---|---|---|---|---|---|
| Calc. | Found | ||||||
| p-CAH2 | decomposition | 180–550 | 225.5 (221.8) | endo | 100% | 2.3% | - |
| [Ce(p-CAH)3(H2O)3]·3H2O | dehydration | 75–120 | 74.5 | endo | 7.89% | 8.29% | [Ce(p-CAH)3(H2O)3] |
| dehydration | 180–240 | 224.89 | endo | 14.64% | 15.23% | Ce(p-CAH)3 | |
| decomposition | 260–380 | 314.64 (331.26) | egzo | 73.69% | 74.51% | Ce2O3 | |
| [Pr(p-CAH)3(H2O)3]·3H2O | dehydration | 75–130 | 76.99 | endo | 7.89% | 7.86% | [Pr(p-CAH)3(H2O)3] |
| dehydration | 180–260 | 212.35 | endo | 14.62% | 15.11% | Pr(p-CAH)3 | |
| decomposition | 260–460 | 443.69 (454.26) | egzo | 73.59% | 73.75% | Pr2O3 | |
| Nd(p-CAH)3(H2O)2]·3H2O | dehydration | 60–120 | 78.09 | endo | 7.85% | 8.56% | [Nd(p-CAH)3·(H2O)2] |
| dehydration | 180–240 | 207.38 | endo | 14.56% | 15.45% | Nd(p-CAH)3 | |
| decomposition | 260–410 | 388.26 (401.94) | egzo | 73.15% | 72.72% | Nd2O3 | |
| [Sm(p-CAH)3(H2O)3]·3H2O | dehydration | 60–120 | 76.99 | endo | 7.78% | 7.86% | [Sm(p-CAH)3(H2O)] |
| dehydration | 175–220 | 208.10 | endo | 14.44% | 15.46% | Sm(p-CAH)3 | |
| decomposition | 240–460 | 443.69 (454.26) | egzo | 72.68% | 74.75% | Sm2O3 | |
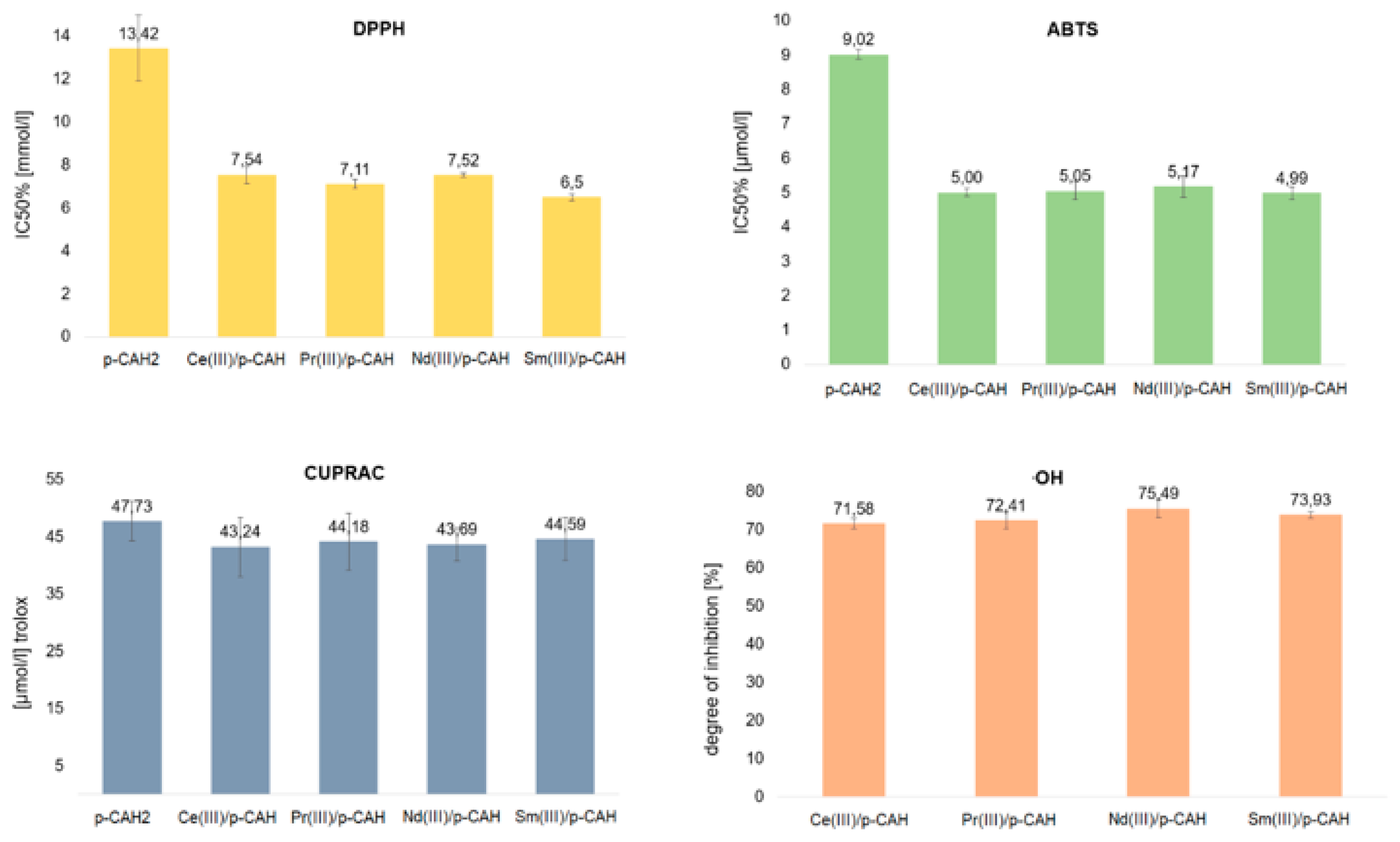
| DPPH | SD * | ABTS | SD | CUPRAC | SD | ·OH | SD | |
|---|---|---|---|---|---|---|---|---|
| p-CAH | 13.42 | 1.54 | 9.02 | 0.13 | 47.73 | 3.44 | - | - |
| Ce(III)/pCAH | 7.54 | 0.4 | 5.00 | 0.12 | 43.24 | 5.20 | 71.58 | 1.33 |
| Pr(III)/pCAH | 7.11 | 0.2 | 5.05 | 0.26 | 44.18 | 4.94 | 72.41 | 2.15 |
| Nd(III)/pCAH | 7.52 | 0.1 | 5.17 | 0.30 | 43.69 | 2.88 | 75.49 | 2.38 |
| Sm(III)/pCAH | 60.5 | 0.16 | 4.99 | 0.19 | 44.59 | 3.76 | 73.93 | 0.87 |
| Species of Microorganism | Compound | ||||||
|---|---|---|---|---|---|---|---|
| p-CAH2 | Ce(III)/p-CAH | Pr(III)/CAH | Nd(III)/p-CAH | Sm(III)/p-CAH | Fluconazole | Gentamicin | |
| MIC (mmol/L) | |||||||
| Escherichia coli | 42.91 | 6.6 | 6.58 | 6.51 | 6.39 | - | 1.05 |
| Candida albicans | 49.03 | 13.20 | 13.15 | 13.03 | 15.97 | 0.82 | - |
| Bacillus subtilis | 42.91 | 6.6 | 9.86 | 9.77 | 6.39 | - | 10.50 |
Disclaimer/Publisher’s Note: The statements, opinions and data contained in all publications are solely those of the individual author(s) and contributor(s) and not of MDPI and/or the editor(s). MDPI and/or the editor(s) disclaim responsibility for any injury to people or property resulting from any ideas, methods, instructions or products referred to in the content. |
© 2024 by the authors. Licensee MDPI, Basel, Switzerland. This article is an open access article distributed under the terms and conditions of the Creative Commons Attribution (CC BY) license (https://creativecommons.org/licenses/by/4.0/).
Share and Cite
Świderski, G.; Gołębiewska, E.; Kowalczyk, N.; Kalinowska, M.; Świsłocka, R.; Wołejko, E.; Wydro, U.; Malinowski, P.; Pietryczuk, A.; Cudowski, A.; et al. Structure, Antioxidant Activity and Antimicrobial Study of Light Lanthanide Complexes with p-Coumaric Acid. Materials 2024, 17, 1324. https://doi.org/10.3390/ma17061324
Świderski G, Gołębiewska E, Kowalczyk N, Kalinowska M, Świsłocka R, Wołejko E, Wydro U, Malinowski P, Pietryczuk A, Cudowski A, et al. Structure, Antioxidant Activity and Antimicrobial Study of Light Lanthanide Complexes with p-Coumaric Acid. Materials. 2024; 17(6):1324. https://doi.org/10.3390/ma17061324
Chicago/Turabian StyleŚwiderski, Grzegorz, Ewelina Gołębiewska, Natalia Kowalczyk, Monika Kalinowska, Renata Świsłocka, Elżbieta Wołejko, Urszula Wydro, Piotr Malinowski, Anna Pietryczuk, Adam Cudowski, and et al. 2024. "Structure, Antioxidant Activity and Antimicrobial Study of Light Lanthanide Complexes with p-Coumaric Acid" Materials 17, no. 6: 1324. https://doi.org/10.3390/ma17061324
APA StyleŚwiderski, G., Gołębiewska, E., Kowalczyk, N., Kalinowska, M., Świsłocka, R., Wołejko, E., Wydro, U., Malinowski, P., Pietryczuk, A., Cudowski, A., Priebe, W., & Lewandowski, W. (2024). Structure, Antioxidant Activity and Antimicrobial Study of Light Lanthanide Complexes with p-Coumaric Acid. Materials, 17(6), 1324. https://doi.org/10.3390/ma17061324

