Effect of ZrB2 Content on the Properties of Copper Matrix Composite
Abstract
1. Introduction
| Cu-Based Composites | Sintering Condition | Density | Hardness | Ref. |
|---|---|---|---|---|
| Cu-5 vol.% TiC | SPS; 800 °C; 10–80 MPa; 5 min | 7.0–8.6 g/cm3 | 125–268 HV1 | [31] |
| Cu-1 vol.% NbC | SPS; 1000 °C; 100 MPa; 10 min | 98.1% | 162 HV | [32] |
| Cu-5 vol.% NbC | 97.0% | 268 HV | ||
| Cu-15 vol.% NbC | 96.8% | 395 HV | ||
| Cu-25 vol.% NbC | 97.0% | 452 HV | ||
| Cu-1 vol.% Al2O3 | SPS; 700 °C; 10–50 MPa; 5 min | 93.2% | 77 HV0.3 | [33] |
| Cu-5 vol.% Al2O3 | 92.8% | 125 HV0.3 | ||
| Cu-7 vol.% Al2O3 | 86.1% | 75 HV0.3 | ||
| Cu-1 wt.% ZrB2 | Hot-pressed sintering; 840 °C; 25 MPa; 2 h | 96% | 69 HV0.2 | [37] |
| Cu-3 wt.% ZrB2 | 95% | 84 HV0.2 | ||
| Cu-5 wt.% ZrB2 | 92.5% | 93 HV0.2 | ||
| Cu-7 wt.% ZrB2 | 91.8% | 100.8 HV0.2 | ||
| Cu-9 wt.% ZrB2 | 91.3% | 82 HV0.2 | ||
| Cu-2 wt.% Mo2C | Hot-pressed sintering; 880 °C; 20 MPa; 10 min | 91.5% | 58.9 HV | [38] |
| Cu-5 wt.% Mo2C | 91.2% | 65.8 HV | ||
| Cu-7 wt.% Mo2C | 91.3% | 69.6 HV | ||
| Cu-1wt.% Y2O3 | SPS; 900 °C; 50 MPa; 5 min | 93.9% | 101.3 HV0.1 | [39] |
| Cu-3 wt.% Y2O3 | 100% | 125.7 HV0.1 | ||
| Cu-5 wt.% Y2O3 | 100% | 140.5 HV0.1 |
2. Materials and Methods

3. Results and Discussion
3.1. Physical and Mechanical Properties and Microstructure of the Sintered Materials
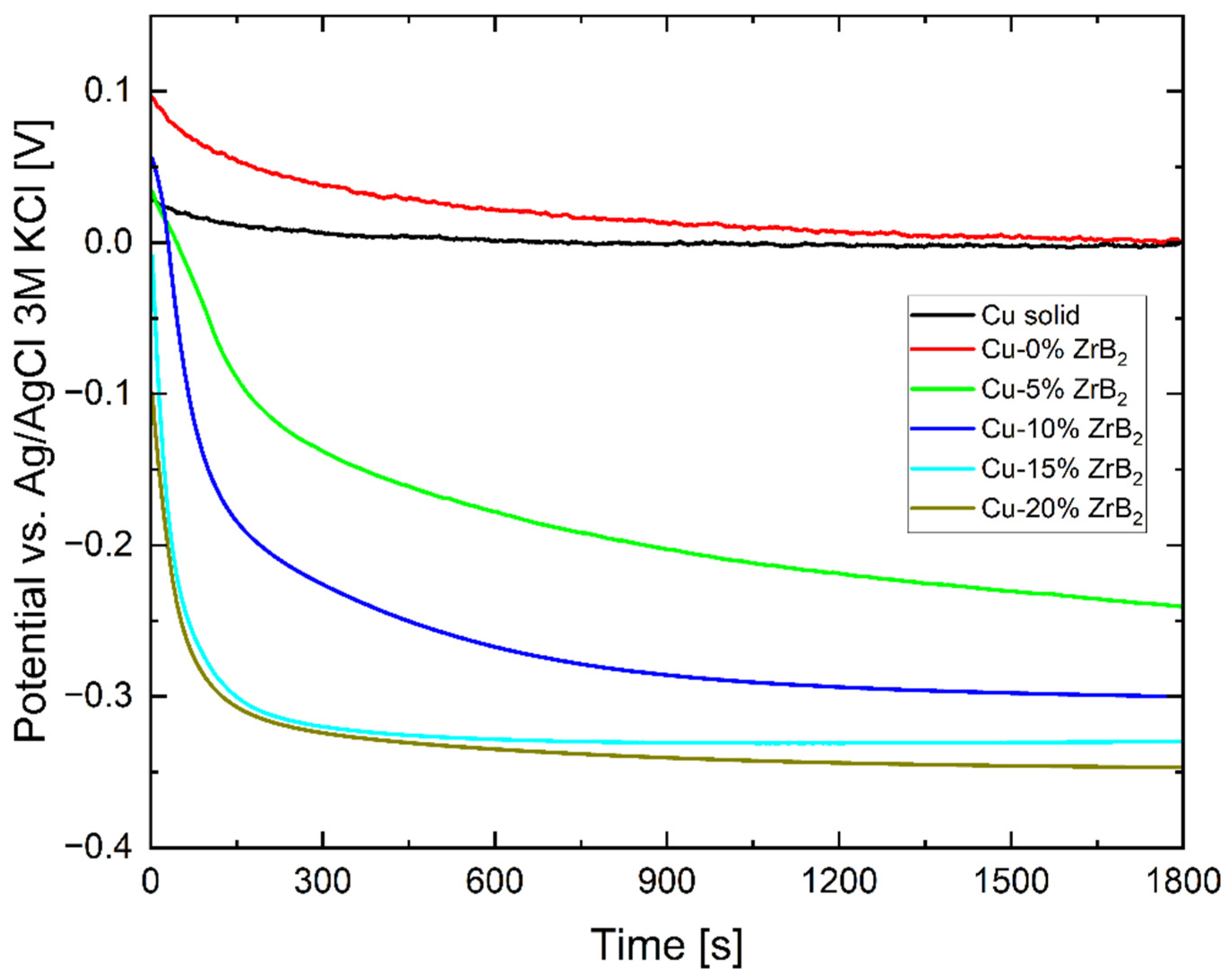
3.2. Corrosion Behavior
3.3. Wear Behavior
4. Conclusions
- Cu matrix composites reinforced with ZrB2 particles were successfully produced by Spark Plasma Sintering.
- Using ZrB2 as a reinforcing phase of the copper matrix improves its mechanical and tribological properties while decreasing its density, porosity, and corrosion resistance.
- Sintered copper without a reinforcing phase was characterized by the highest relative density (98%) and the lowest porosity (0.12). The relative density of the composites decreased from 96.0 to 90%, respectively, for 5–20% ZrB2 content.
- Composites with a higher ZrB2 content exhibit higher hardness, lower friction coefficient values, and specific wear rate values. The Cu-ZrB2 composites show very poor corrosion resistance in a sulphuric acid environment, probably due to the corrosion of the ceramic phase.
Author Contributions
Funding
Institutional Review Board Statement
Informed Consent Statement
Data Availability Statement
Conflicts of Interest
References
- Ibrahim, I.; Mohamed, F.; Lavernia, E. Particulate reinforced metal matrix composites—A review. J. Mater. Sci. 1991, 26, 1137–1156. [Google Scholar] [CrossRef]
- Fayomi, J.; Popoola, A.P.I.; Popoola, O.M.; Aigbodon, V.S. Magnesium-based composite by nano-nucleation of β-Mg17Al12 using spark plasma sintering route for advanced structural application. J. Mater. Res. Technol. 2023, 24, 1547–1561. [Google Scholar] [CrossRef]
- Kumar, S.D.; Ravichandran, M.; Jeevika, A.; Stalin, B.; Kailasanathan, C.; Karthick, A. Effect of ZrB2 on microstructural, mechanical and corrosion behaviour of aluminium (AA7178) alloy matrix composite prepared by the stir casting route. Ceram. Int. 2021, 47, 12951–12962. [Google Scholar] [CrossRef]
- Wei, S.; Zhang, Z.; Wang, F.; Shen, X.; Cai, H.; Lee, S.; Wang, L. Effect of Ti content and sintering temperature on the microstructures and mechanical properties of TiB2 reinforced titanium composites synthesized by SPS process. Mater. Sci. Eng. A 2013, 560, 249–255. [Google Scholar] [CrossRef]
- Stępień, M.; Sulima, I.; Hyjek, P.; Kowalik, R. Evaluation of the corrosion resistance of spark plasma sintered stainless steel 316L matrix composites with zirconium diboride in sulfuric acid. Arch. Civ. Mech. Eng. 2022, 22, 127. [Google Scholar] [CrossRef]
- Hyjek, P.; Jaworska, L. Application of SHS in the Manufacture of (NiAl/Ni3Al)/TiB2 Composite. Metall. Mater. Trans. A 2019, 50, 3724–3735. [Google Scholar] [CrossRef]
- Zhimeng, T.; Zemin, W.; Lei, X.; Libo, Z.; Zhaohui, H.; Jianhua, L. Thermal and tribological properties of MoS2 doped graphite/copper composites by microwave sintering. J. Mater. Res. Technol. 2021, 15, 6001–6010. [Google Scholar] [CrossRef]
- Akhtar, F.; Askari, S.J.; Shah, K.A.; Du, X.; Guo, S. Microstructure, mechanical properties, electrical conductivity and wear behavior of high volume TiC reinforced Cu–matrix composites. Mater. Charact. 2009, 60, 327–336. [Google Scholar] [CrossRef]
- Akbarpour, M.R.; Gazani, F.; Mirabad, H.M.; Khezri, I.; Moeini, A.; Sohrabi, N.; Kim, H.S. Recent advances in processing, and mechanical, thermal and electrical properties of Cu-SiC metal matrix composites prepared by powder metallurgy. Prog. Mater. Sci. 2023, 140, 101191. [Google Scholar] [CrossRef]
- Yadav, M.; Kumaraswamidhas, L.A.; Singh, S.K. Investigation of solid particle erosion behavior of Al-Al2O3 and Al-ZrO2 metal matrix composites fabricated through powder metallurgy technique. Tribol. Int. 2022, 172, 107636. [Google Scholar] [CrossRef]
- Wąsik, A.; Leszczyńska-Madej, B.; Madej, M. Effects of TiO2 Nanoparticle Addition on Microstructure and Selected Properties of Ag–xTiO2 Composites. Materials 2021, 14, 4846. [Google Scholar] [CrossRef] [PubMed]
- Gao, S.; Wang, Q.; Guo, H.; Liu, X.; Li, G.; Dong, L.; Song, K. High strength and high electrical conductivity Cu composites reinforced by SiO2 aerogel particles. J. Mater. Res. Technol. 2023, 24, 2346–2356. [Google Scholar] [CrossRef]
- Kirubagharan, R.; Ramesh, C.; Ranjith, M.; Kumar, V.S.; Soundhirarajan, N. Mechanical behaviour of aluminium based metal matrix composite reinforced with Si3N4 and B4C. Mater. Today Proc. 2020, 33, 3347–3352. [Google Scholar] [CrossRef]
- Kushwah, R.; Jayan, M.; Kanagasabapathy, H.; Kumar, T.C.A.; Halder, S.; Begum, N.; Rajkumar, S. The impact of boron nitride (BN) on tribological behaviour of AZ84 magnesium matrix composites. Mater. Today Proc. 2022, 59, 1271–1276. [Google Scholar] [CrossRef]
- Sulima, I.; Hyjek, P.; Podsiadło, M.; Boczkal, S. Effect of Zirconium Diboride and Titanium Diboride on the Structure and Properties of 316L Steel-Based Composites. Materials 2023, 16, 439. [Google Scholar] [CrossRef] [PubMed]
- Bacon, D.H.; Edwards, L. Fatigue and fracture of a 316 stainless steel metal matrix composite reinforced with 25% titanium diboride. Int. J. Fatigue 2012, 48, 39–47. [Google Scholar] [CrossRef]
- Guo, X.; Jia, L.; Lu, Z.; Xie, H.; Kondoh, K. Enhanced combination of strength and electrical conductivity properties with CrB2 reinforced Cu matrix composites fabricated by powder metallurgy. Mater. Today Commun. 2024, 38, 107980. [Google Scholar] [CrossRef]
- Li, Y.; Fang, W.; Guo, S.; Duan, M.; Luo, B.; Li, Y.; Liu, J.; Gu, J.; Peng, Y.; Zhou, Q.; et al. In-situ reinforced Ti6Al4V-TiB2 titanium matrix composite fabricated by selective laser melting: Microstructure, mechanical properties and heat treatment. Mater. Charact. 2024, 212, 113952. [Google Scholar] [CrossRef]
- Demirtaş, H.; Karakulak, E.; Nadendla, H.B. Production and characterization of in-situ Al-NbB2 composites. Mater. Lett. 2023, 330, 133377. [Google Scholar] [CrossRef]
- Fahrenholtz, W.G.; Hilmas, G.E.; Talmy, I.G.; Zaykoski, J.A. Refractory diborides of zirconium and hafnium. J. Am. Ceram. Soc. 2007, 90, 1347–1364. [Google Scholar] [CrossRef]
- Mroz, C. Zirconium Diboride. Am. Ceram. Soc. Bull. 1994, 73, 141. [Google Scholar]
- Sivakumar, S.; Golla, B.R.; Rajulapati, K.V. Influence of ZrB2 hard ceramic reinforcement on mechanical and wear properties of aluminum. Ceram. Int. 2019, 45, 7055–7070. [Google Scholar] [CrossRef]
- Jiang, Y.; Wang, C.; Liang, S.; Ren, J.; Du, X.; Liu, F. TiB2(-TiB)/Cu in-situ composites prepared by hot-press with the sintering temperature just beneath the melting point of copper. Mater. Charact. 2016, 121, 76–81. [Google Scholar] [CrossRef]
- Ružić, J.; Stašić, J.; Rajković, V.; Božić, D. Synthesis, microstructure and mechanical properties of ZrB2 nano and microparticle reinforced copper matrix composite by in situ processings. Mater. Des. 2014, 62, 409–415. [Google Scholar] [CrossRef]
- Prajapati, P.K.; Chaira, D. Fabrication and characterization of Cu–B4C metal matrix composite by powder metallurgy: Effect of B4C on microstructure, mechanical properties and electrical conductivity. Trans. Indian Inst. Met. 2018, 72, 673–684. [Google Scholar] [CrossRef]
- Roosta, M.; Baharvandi, H. The comparison of W/Cu and W/ZrC composites fabricated through hot-press. Int. J. Refract. Met. Hard Mater. 2010, 28, 587–592. [Google Scholar] [CrossRef]
- Zhang, G.; Jiang, X.; Qiao, C.; Shao, Z.; Zhu, D.; Zhu, M. Investigation of the microstructure and mechanical properties of copper-graphite composites reinforced with single-crystal α-Al2O3 fibres by hot isostatic pressing. Materials 2018, 11, 982. [Google Scholar] [CrossRef]
- Sule, R.; Olubambi, P.A.; Sigalas, I.; Asante, J.K.O.; Garrett, J.C. Effect of SPS consolidation parameters on submicron Cu and Cu-CNT composites for thermal management. Powder Technol. 2014, 258, 198–205. [Google Scholar] [CrossRef]
- Sulima, I.; Boczkal, G. Processing and Properties of ZrB2-Copper Matrix Composites Produced by Ball Milling and Spark Plasma Sintering. Materials 2023, 16, 7455. [Google Scholar] [CrossRef] [PubMed]
- Tokita, M. Progress of Spark Plasma Sintering (SPS) Method, Systems, Ceramics Applications and Industrialization. Ceramics 2021, 4, 160–198. [Google Scholar] [CrossRef]
- Wang, F.; Li, Y.; Wang, X.; Koizumi, Y.; Kenta, Y.; Chib, A. In-situ fabrication and characterization of ultrafine structured Cu-TiC composites with high strength and high conductivity by mechanical milling. J. Alloys Compd. 2016, 657, 122–132. [Google Scholar] [CrossRef]
- Long, B.D.; Othman, R.; Umemoto, M.; Zuhailawati, H. Spark plasma sintering of mechanically alloyed in situ copper–niobium carbide composite. J. Alloys Compd. 2010, 505, 510–515. [Google Scholar] [CrossRef]
- Dash, K.; Ray, B.C.; Chaira, D. Synthesis and characterization of copper–alumina metal matrix composite by conventional and spark plasma sintering. J. Alloys Compd. 2012, 512, 78–84. [Google Scholar] [CrossRef]
- Tokita, M. Industrial applications for functionally graded materials fabricated by spark plasma sintering (SPS) systems. Sci. Technol. 2000, 3, 251–256. [Google Scholar]
- Soloviova, T.; Solodkyi, I.; Loboda, P.I. Spark plasma sintering of Cu-(LaB6-TiB2) metal-ceramic composite and its physical-mechanical properties. J. Superhard Mater. 2019, 41, 213–220. [Google Scholar] [CrossRef]
- Cipolloni, G.; Pellizzari, M.; Molinari, A.; Hebda, M.; Zadra, M. Contamination during the high-energy milling of atomized copper powder and its effects on spark plasma sinteing. Powder Technol. 2015, 275, 51–59. [Google Scholar] [CrossRef]
- Wang, C.; Lin, H.; Zhang, Z.; Li, W. Fabrication, Interfacial characteristics and strengthening mechanisms of ZrB2 microparticles reinforced Cu composites prepared by hot-pressed sintering. J. Alloys Compd. 2018, 748, 546–552. [Google Scholar] [CrossRef]
- Zhang, X.; Qian, L.; Bin, L.; Xi, C.; You, L.; Zhen, H.; Huan, L. Enhanced softening resistance and mechanical properties of Mo2C particle-reinforced Cu-matrix composites. Compos. Struct. 2023, 305, 11650. [Google Scholar] [CrossRef]
- Qin, Y.Q.; Tian, Y.; Zhuang, Y.; Luo, L.M.; Zan, X.; Wu, Y.C. Effects of solid–liquid doping and spark plasma sintering on the microstructure and mechanical properties of Y2O3-doped copper matrix composites. Vacuum 2021, 192, 110436. [Google Scholar] [CrossRef]
- ISO 6892-1:2019; Metallic Materials—Tensile Test, Part 1: Method of Test at Room Temperature. ISO: Geneva, Switzerland, 2019.
- ISO 20808:2004(E); Part 1: Test Method International Standard, Fine Ceramics (Advanced Ceramics, Advanced Technical Ceramics)—Determination of Friction and Wear Characteristics of Monolithic Ceramics by Ball-on-Disc Method. ISO: Geneva, Switzerland, 2004.
- Shaik, M.; Golla, B. Two body abrasion wear behaviour of Cu–ZrB2 composites against SiC emery paper. Wear 2020, 450–451, 203260. [Google Scholar] [CrossRef]
- Zhang, H.; Li, Y.; Xu, Z.; Fu, Y.; Li, M.; Zhao, G.; Chen, J. The microstructure, mechanical properties and tribological behaviors of YB2C2 reinforced Cu matrix composites prepared by spark plasma sintering. Compos. Part A 2024, 187, 108500. [Google Scholar] [CrossRef]
- Zhai, Z.; Dong, H.; Li, D.; Wang, Z.; Sun, C.; Chen, C. Effect of TiC Particles on the Properties of Copper Matrix Composites. Inorganics 2024, 12, 120. [Google Scholar] [CrossRef]
- Monticelli, C.; Bellosi, A.; Collec, M.D. Electrochemical Behavior of ZrB2 in Aqueous Solutions. J. Electrochem. Soc. 2004, 151, B331–B339. [Google Scholar] [CrossRef]
- Sulima, I.; Stępień, M.; Hyjek, P.; Boczkal, S.; Kowalik, R. Mechanical, Corrosion and Wear Characteristics of Cu-Based Composites Reinforced with Zirconium Diboride Consolidated by SPS. Metals 2024, 14, 974. [Google Scholar] [CrossRef]
- Monticelli, C.; Zucchi, F.; Pagnoni, A.; Colle, M.D. Corrosion of a zirconium diboride/silicon carbide composite in aqueous solutions. Electrochim. Acta 2005, 50, 3461–3469. [Google Scholar] [CrossRef]
- Zhou, J.; Ma, C.; Kang, X.; Zhang, L.; Liu, X. Effect of WS2 particle size on mechanical properties and tribological behaviors of Cu−WS2 composites sintered by SPS. Trans. Nonferrous Met. Soc. China 2018, 28, 1176–1185. [Google Scholar] [CrossRef]
- Fathy, A.; Elkady, O.; Abu-Oqail, M. Synthesis and characterization of Cu–ZrO2 nanocomposite produced by thermochemical process. J. Alloys Compd. 2017, 719, 411–419. [Google Scholar] [CrossRef]
- Tjong, S.C.; Lau, K.C. Tribological behaviour of SiC particle-reinforced copper matrix composites. Mater. Lett. 2000, 43, 274–280. [Google Scholar] [CrossRef]
- Tjong, S.C.; Lau, K.C. Abrasive wear behavior of TiB2 particle-reinforced copper matrix composites. Mater. Sci. Eng. 2000, 282A, 183–186. [Google Scholar] [CrossRef]
















| Sintered Materials | Apparent Density [g/cm3] | Relative Density [%] | Open Porosity [%] | Young’s Modulus [GPa] | Hardness HV0.3 [-] |
|---|---|---|---|---|---|
| Cu-0% ZrB2 | 8.72 | 98 | 0.12 | 107 | 61.2 |
| Cu-5% ZrB2 | 8.41 | 96 | 1.91 | 120 | 105 |
| Cu-10% ZrB2 | 8.06 | 94 | 3.45 | 131 | 133 |
| Cu-15% ZrB2 | 7.59 | 91 | 6.86 | 141 | 140 |
| Cu-20% ZrB2 | 7.34 | 90 | 8.85 | 148 | 161 |
| Sample | OCP [mV] | Ecorr [mV] | Icorr µA/cm2 | β-Anodic Tafel Const. | β Cathodic Tafel Const. |
|---|---|---|---|---|---|
| Cu solid | 4 ± 4 | −3 ± 5 | 0.7 ± 0.1 | 33 ± 1 | −361 ± 20 |
| Cu-0% ZrB2 | 1 ± 3 | −8 ± 3 | 0.6 ± 0.05 | 31 ± 1 | −610 ± 27 |
| Cu-5% ZrB2 | 285 ± 20 | 302 ± 9 | 7.3 ± 2 | 595 ± 20 | −120 ± 15 |
| Cu-10% ZrB2 | 290 ± 7 | 315 ± 8 | 58 ± 7 | 509 ± 48 | −107 ± 9 |
| Cu-15% ZrB2 | 340 ± 10 | 345 ± 10 | 133 ± 20 | 650 ± 70 | −178 ± 5 |
| Cu-20% ZrB2 | 340 ± 15 | 350 ± 12 | 289 ± 27 | 467 ± 20 | −193 ± 8 |
Disclaimer/Publisher’s Note: The statements, opinions and data contained in all publications are solely those of the individual author(s) and contributor(s) and not of MDPI and/or the editor(s). MDPI and/or the editor(s) disclaim responsibility for any injury to people or property resulting from any ideas, methods, instructions or products referred to in the content. |
© 2024 by the authors. Licensee MDPI, Basel, Switzerland. This article is an open access article distributed under the terms and conditions of the Creative Commons Attribution (CC BY) license (https://creativecommons.org/licenses/by/4.0/).
Share and Cite
Sulima, I.; Kowalik, R.; Stępień, M.; Hyjek, P. Effect of ZrB2 Content on the Properties of Copper Matrix Composite. Materials 2024, 17, 6105. https://doi.org/10.3390/ma17246105
Sulima I, Kowalik R, Stępień M, Hyjek P. Effect of ZrB2 Content on the Properties of Copper Matrix Composite. Materials. 2024; 17(24):6105. https://doi.org/10.3390/ma17246105
Chicago/Turabian StyleSulima, Iwona, Remigiusz Kowalik, Michał Stępień, and Paweł Hyjek. 2024. "Effect of ZrB2 Content on the Properties of Copper Matrix Composite" Materials 17, no. 24: 6105. https://doi.org/10.3390/ma17246105
APA StyleSulima, I., Kowalik, R., Stępień, M., & Hyjek, P. (2024). Effect of ZrB2 Content on the Properties of Copper Matrix Composite. Materials, 17(24), 6105. https://doi.org/10.3390/ma17246105

