Electrical and Dielectrical Properties of Composites Based on Alumina and Cyclic Olefin Copolymers
Abstract
1. Introduction
2. Materials and Methods
2.1. Materials
2.2. Preparation of COC Film
2.2.1. Compounding
2.2.2. Injection
2.3. Analytical Investigation
2.4. Determination of Dielectric Features
2.4.1. Dielectric Constant
2.4.2. Electric Modulus
3. Results
3.1. Dielectric Constant Analysis
3.2. Electrical Modulus Analysis
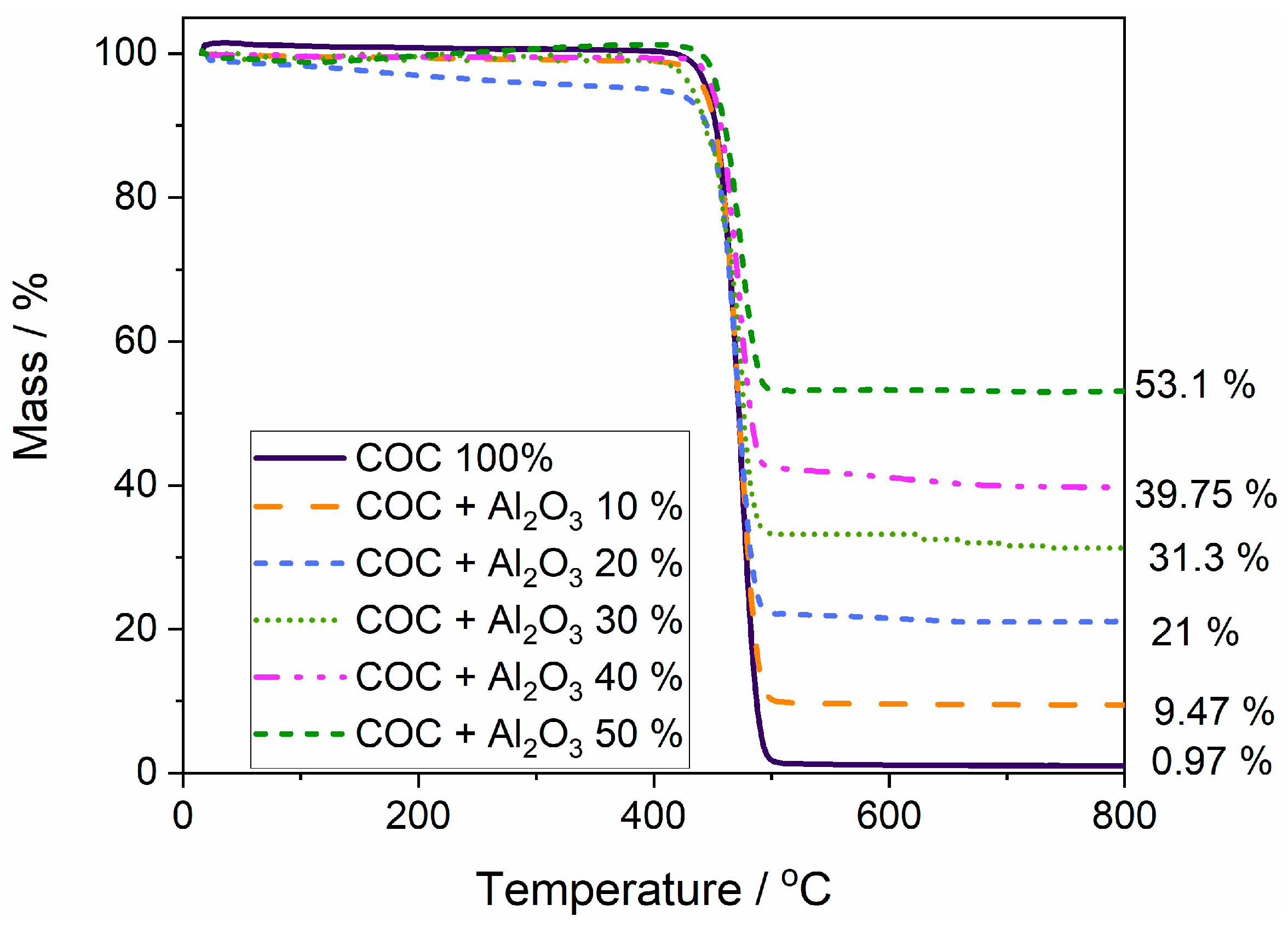
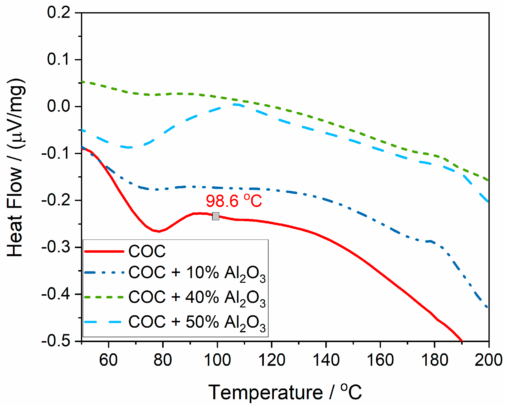
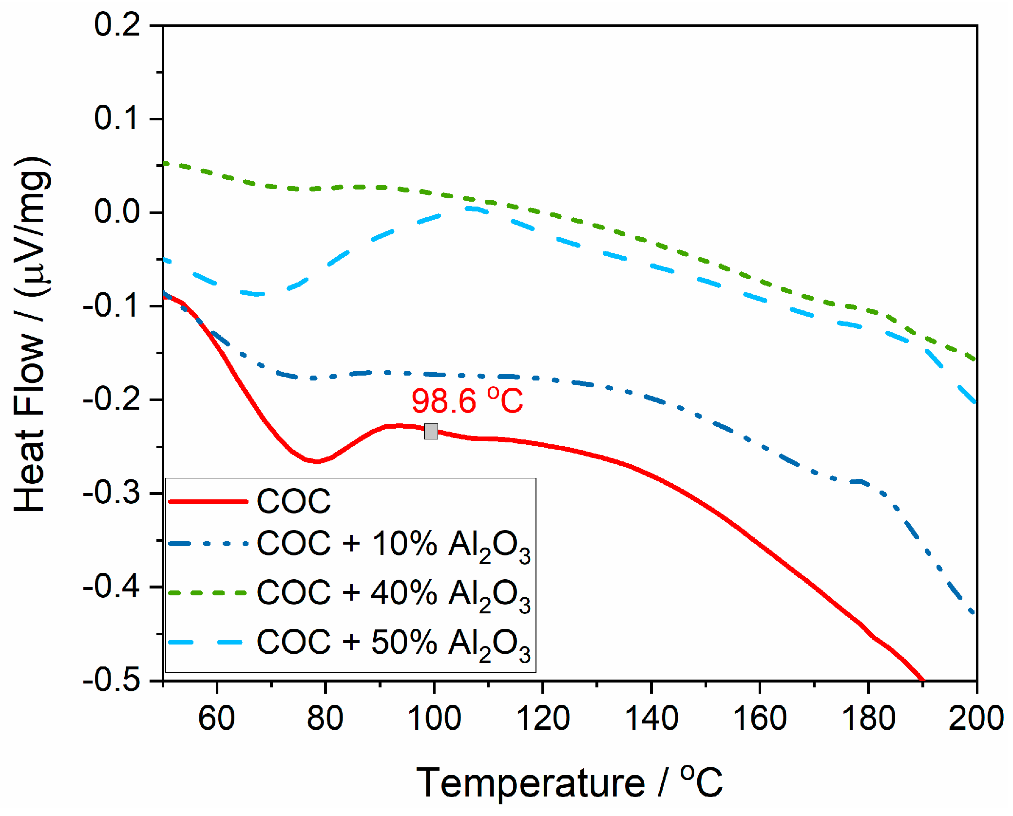
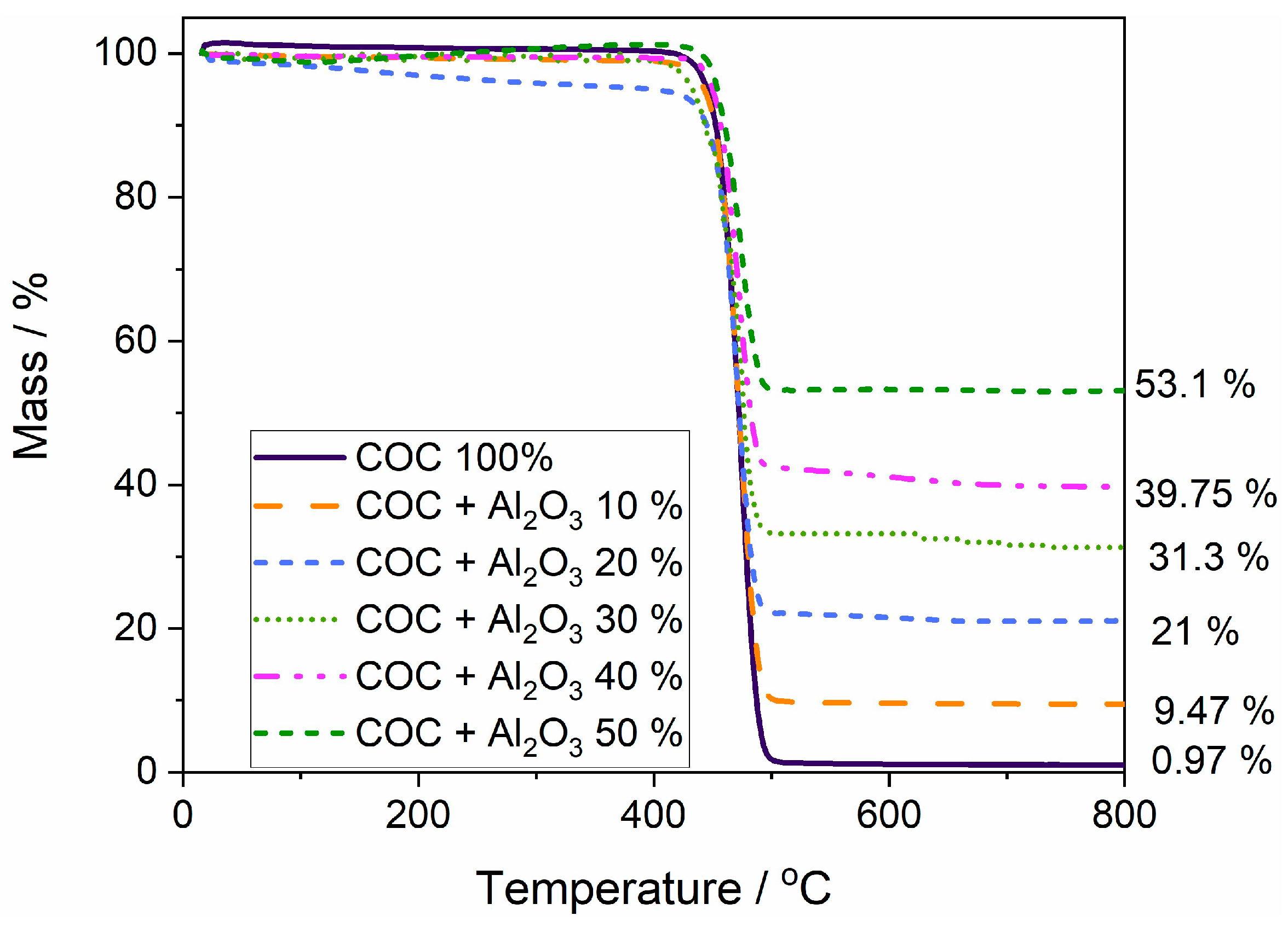
3.3. Thermal Analysis of COC Compounds
4. Conclusions
Supplementary Materials
Author Contributions
Funding
Institutional Review Board Statement
Informed Consent Statement
Data Availability Statement
Acknowledgments
Conflicts of Interest
References
- Rische, T.; Waddon, A.J.; Dickinson, L.C.; MacKnight, W.J. Microstructure and morphology of cycloolefin copolymers. Macromolecules 1998, 31, 1871–1874. [Google Scholar] [CrossRef]
- Ruchatz, D.; Fink, G. Ethene−norbornene copolymerization with homogeneous metallocene and half-sandwich catalysts: Kinetics and relationships between catalyst structure and polymer structure. 3. Copolymerization parameters and copolymerization diagrams. Macromolecules 1998, 31, 4681–4683. [Google Scholar] [CrossRef] [PubMed]
- Scrivani, T.; Benavente, R.; Pérez, E.; Pereña, J.M. Stress-Strain Behaviour, Microhardness, and Dynamic Mechanical Properties of a Series of Ethylene-Norbornene Copolymers. Macromol. Chem. Phys. 2001, 202, 2547–2553. [Google Scholar] [CrossRef]
- Forsyth, J.F.; Scrivani, T.; Benavente, R.; Marestin, C.; Perena, J.M. Thermal and dynamic mechanical behavior of ethylene/norbornene copolymers with medium norbornene contents. J. Appl. Polym. Sci. 2001, 82, 2159–2165. [Google Scholar] [CrossRef]
- Lamonte, R.R.; McNally, D. Cyclic olefin copolymers. Adv. Mater. Process. 2001, 159, 33–36. [Google Scholar] [CrossRef]
- Shin, J.Y.; Park, J.Y.; Liu, C.; He, J.; Kim, S.C. Chemical structure and physical properties of cyclic olefin copolymers (IUPAC Technical Report). Pure Appl. Chem. 2005, 77, 801–814. [Google Scholar] [CrossRef]
- Tritto, I.; Boggioni, L.; Ferro, D.R. Metallocene catalyzed ethene-and propene co-norbornene polymerization: Mechanisms from a detailed microstructural analysis. Coord. Chem. Rev. 2006, 250, 212–241. [Google Scholar] [CrossRef]
- Edwards, J.P.; Wolf, W.J.; Grubbs, R.H. The synthesis of cyclic polymers by olefin metathesis: Achievements and challenges. J. Polym. Sci. Part A Polym. Chem. 2019, 57, 228–242. [Google Scholar] [CrossRef]
- Han, X.W.; Zhang, X.; Zhou, Y.; Maimaitiming, A.; Sun, X.L.; Gao, Y.; Li, P.; Zhu, B.; Chen, E.Y.X.; Kuang, X.; et al. Circular olefin copolymers made de novo from ethylene and α-olefins. Nat. Commun. 2024, 15, 1462. [Google Scholar] [CrossRef]
- Qin, H.; Liu, M.; Li, Z.; Fu, Y.; Song, J.; Xie, J.; Xiong, C.; Wang, S. Cycloolefin copolymer dielectrics for high temperature energy storage. J. Energy Storage 2022, 55, 105756. [Google Scholar] [CrossRef]
- Khanarian, G.; Celanese, H. Optical properties of cyclic olefin copolymers. Opt. Eng. 2001, 40, 1024–1029. [Google Scholar] [CrossRef]
- Ban, H.T.; Hagihara, H.; Nishii, K.; Tsunogae, Y.; Nojima, S.; Shiono, T. A new approach for controlling birefringent property of cyclic olefin copolymers. J. Polym. Sci. Part A Polym. Chem. 2008, 46, 7395–7400. [Google Scholar] [CrossRef]
- Kefer, S.; Limbach, T.; Pape, N.; Klamt, K.; Schmauss, B.; Hellmann, R. Birefringence in injection-molded cyclic olefin copolymer substrates and its impact on integrated photonic structures. Polymers 2024, 16, 168. [Google Scholar] [CrossRef] [PubMed]
- Trombley, K. Cyclic Olefin Copolymer: An Alternative Plastic Film for Pharmaceutical Blister Packages. Master’s Thesis, Rochester Institute of Technology, Rochester, NY, USA, 2001. [Google Scholar]
- Agha, A.; Waheed, W.; Alamoodi, N.; Mathew, B.; Alnaimat, F.; Abu-Nada, E.; Abderrahmane, A.; Alazzam, A. A review of cyclic olefin copolymer applications in microfluidics and microdevices. Macromol. Mater. Eng. 2022, 307, 2200053. [Google Scholar] [CrossRef]
- Rodrigues, R.G.; Condelipes, P.G.; Rosa, R.R.; Chu, V.; Conde, J.P. Scalable Processing of Cyclic Olefin Copolymer (COC) Microfluidic Biochips. Micromachines 2023, 14, 1837. [Google Scholar] [CrossRef] [PubMed]
- Mallegni, N.; Milazzo, M.; Cristallini, C.; Barbani, N.; Fredi, G.; Dorigato, A.; Cinelli, P.; Danti, S. Characterization of Cyclic Olefin Copolymers for Insulin Reservoir in an Artificial Pancreas. J. Funct. Biomater. 2023, 14, 145. [Google Scholar] [CrossRef]
- Cutroneo, M.; Silipigni, L.; Mackova, A.; Malinsky, P.; Miksova, R.; Holy, V.; Maly, J.; Stofik, M.; Aubrecht, P.; Fajstavr, D.; et al. Mask-assisted deposition of Ti on cyclic olefin copolymer foil by pulsed laser deposition. Micromachines 2023, 14, 1298. [Google Scholar] [CrossRef]
- Amer, M.S.; Schadler, I.S. Micromechanical behavior of graphite/epoxy composites—Part I: The effect of fiber sizing. Sci. Eng. Compos. Mater. 1998, 7, 81–113. [Google Scholar] [CrossRef]
- Kasgoz, A.; Akın, D.; Ayten, A.I.; Durmus, A. Effect of different types of carbon fillers on mechanical and rheological properties of cyclic olefin copolymer (COC) composites. Compos. B Eng. 2014, 66, 126–135. [Google Scholar] [CrossRef]
- Ou, C.F.; Hsu, M.C. Preparation and characterization of cyclo olefin copolymer (COC)/silica nanoparticle composites by solution blending. J. Polym. Res. 2007, 14, 373–378. [Google Scholar] [CrossRef]
- Kasgoz, A.; Akın, D.; Durmus, A. Rheological behavior of cycloolefin copolymer/graphite composites. Polym. Eng. Sci. 2012, 52, 2645–2653. [Google Scholar] [CrossRef]
- Dorigato, A.; Pegoretti, A.; Migliaresi, C. Physical properties of polyhedral oligomeric silsesquioxanes–cycloolefin copolymer nanocomposites. J. Appl. Polym. Sci. 2009, 114, 2270–2279. [Google Scholar] [CrossRef]
- Mahmood, H.; Dorigato, A.; Pegoretti, A. Healable carbon fiber-reinforced epoxy/cyclic olefin copolymer composites. Materials 2020, 13, 2165. [Google Scholar] [CrossRef] [PubMed]
- Motlagh, G.H.; Hrymak, A.N.; Thompson, M.R. Properties of a carbon filled cyclic olefin copolymer. J. Polym. Sci. B Polym. Phys. 2007, 45, 1808–1820. [Google Scholar] [CrossRef]
- Kaşgöz, A.; Akın, D.; Durmus, A.; Ercan, N.; Öksüzömer, F.; Kaşgöz, A. Effects of various polyolefin copolymers on the interfacial interaction, microstructure and physical properties of cyclic olefin copolymer (COC)/graphite composites. J. Polym. Res. 2013, 20, 194. [Google Scholar] [CrossRef]
- Takahashi, S.; Imai, Y.; Kan, A.; Hotta, Y.; Ogawa, H. High-frequency dielectric and mechanical properties of cyclo-olefin polymer/MgO composites. Polym. Bull. 2015, 72, 1595–1601. [Google Scholar] [CrossRef]
- Huang, L.; Lv, X.; Tang, Y.; Ge, G.; Zhang, P.; Li, Y. Effect of Alumina Nanowires on the Thermal Conductivity and Electrical Performance of Epoxy Composites. Polymers 2020, 12, 2126. [Google Scholar] [CrossRef]
- Chen, L.Y.; Hunter, G.W. Temperature Dependent Dielectric Properties of Polycrystalline 96%Al2O3. MRS Proc. 2004, 833, 228–233. [Google Scholar] [CrossRef]
- Antula, J. Temperature Dependence of Dielectric Constant of Al2O3. Phys. Lett. A 1967, 25, 308. [Google Scholar] [CrossRef]
- Deeba, F.; Shrivastava, K.; Bafna, M.; Jain, A. Tuning of Dielectric Properties of Polymers by Composite Formation: The Effect of Inorganic Fillers Addition. J. Compos. Sci. 2022, 6, 355. [Google Scholar] [CrossRef]
- Farhan, A.J.; Hussein, W.A. Effect of alumina contents on some mechanical properties of alumina (Al2O3) reinforced polymer composites. NeuroQuantology 2020, 18, 35–42. [Google Scholar] [CrossRef]
- Chen, L.Y. Dielectric performance of a high purity HTCC alumina at high temperatures—A comparison study with other polycrystalline alumina. Addit. Pap. Present. 2014, 2014, 000271–000277. [Google Scholar] [CrossRef]
- Yasmin, A.; Luo, J.J.; Daniel, I.M. Processing of expanded graphite reinforced polymer nanocomposites. Compos. Sci. Technol. 2006, 66, 1182–1189. [Google Scholar] [CrossRef]
- Kim, H.; Abdala, A.A.; Macosko, C.W. Graphene/polymer nanocomposites. Macromolecules 2010, 43, 6515–6530. [Google Scholar] [CrossRef]
- Zhao, J.; Liu, Y.; Du, X.; Huang, Y. Effects of Silica Nanoparticles on the Mechanical and Thermal Properties of Polycarbonate. Polym.-Plast. Technol. Eng. 2011, 50, 1050–1055. [Google Scholar] [CrossRef]
- Mittal, V. Polymer Nanocomposites: Advances in Filler Surface Modifications; Mittal, V., Ed.; Nova Science Publishers: New York, NY, USA, 2009. [Google Scholar]
- Vila, R.; Gonzalez, M.; Molla, J.; Ibarra, A. Section 4. Physical properties of unirradiated and irradiated ceramics—Dielectric spectroscopy of alumina ceramics over a wide frequency range. J. Nucl. Mater. 1998, 253, 141–148. [Google Scholar] [CrossRef]
- Niittymäki, M.; Lahti, K.; Suhonen, T.; Metsäjoki, J. Effect of temperature and humidity on dielectric properties of thermally sprayed alumina coatings. IEEE Trans. Dielectr. Electr. Insul. 2018, 25, 908–918. [Google Scholar] [CrossRef]
- d’Amour, H.; Schiferl, D.; Denner, W.; Schulz, H.; Holzapfel, W.B. High-pressure single-crystal structure determinations for ruby up to 90 kbar using an automatic diffractometer. J. Appl. Phys. 1978, 49, 4411–4416. [Google Scholar] [CrossRef]
- Zhou, R.S.; Snyder, R.L. Structures and transformation mechanisms of the η, γ and θ transition aluminas. Acta Crystallogr. B Struct. Sci. 1991, 47, 617–630. [Google Scholar] [CrossRef]
- Ahmad, Z. Polymer dielectric materials. In Dielectric Material; Silaghi, M.A., Ed.; IntechOpen: Winchester, UK, 2012; pp. 3–26. [Google Scholar] [CrossRef]
- Hassan, M.M.; Ahmed, A.S.; Chaman, M.; Khan, W.; Naqvi, A.H.; Azam, A. Structural and frequency dependent dielectric properties of Fe3+ doped ZnO nanoparticles. Mater. Res. Bull. 2012, 47, 3952–3958. [Google Scholar] [CrossRef]
- Soares, B.G.; Leyva, M.E.; Barra, G.M.; Khastgir, D. Dielectric behavior of polyaniline synthesized by different techniques. Eur. Polym. J. 2006, 42, 676–686. [Google Scholar] [CrossRef]
- TOPAS® COC Cyclic Olefin Copolymer, Brochure. 2019. Available online: https://topas.com/wp-content/uploads/2023/05/TOPAS_Product-Brochure.pdf (accessed on 12 August 2024).
- Xiao, M.; Fan, K.; Zhang, M.; Du, B.; Ran, Z.; Xing, Z. Effect of cyclic olefin copolymer on dielectric performance of polypropylene films for capacitors. IEEE Trans. Dielectr. Electr. Insul. 2022, 29, 2266–2273. [Google Scholar] [CrossRef]
- Huang, Y.; Tan, L.; Zheng, S.; Liu, Z.; Feng, J.; Yang, M.B. Enhanced dielectric properties of polyamide 11/multi-walled carbon nanotubes composites. J. Appl. Polym. Sci. 2015, 132, 42642. [Google Scholar] [CrossRef]
- Mtioui, O.; Litaiem, H.; Garcia-Granda, S.; Ktari, L.; Dammak, M. Thermal behavior and dielectric and vibrational studies of Cs2(HAsO4)0.32(SO4)0.68·Te(OH)6. Ionics 2015, 21, 411–420. [Google Scholar] [CrossRef]
- Chatterjee, B.; Gupta, P.N. Nanocomposite films dispersed with silica nanoparticles extracted from earthworm humus. J. Non-Cryst. Solids 2012, 358, 3355–3364. [Google Scholar] [CrossRef]









| Sample Code | Composition | Injection Temperature (°C) | Barrel Temperature (°C) | Injection Pressure (bar) | Mold Temperature (°C) | Screw Speed (rpm) | Mixing Time (min) |
|---|---|---|---|---|---|---|---|
| COC6 | COC | 270 | 290 | 500 | 140 | 150 | 3 |
| COC6-10 | COC 90%w + Al2O3 10%w | 275 | 290 | 500 | 140 | 150 | 3 |
| COC6-20 | COC 90%w + Al2O3 20%w | 275 | 290 | 500 | 140 | 150 | 3 |
| COC6-30 | COC 90%w + Al2O3 30%w | 275 | 290 | 500 | 140 | 150 | 3 |
| COC6-40 | COC 90%w + Al2O3 40%w | 275 | 290 | 500 | 140 | 150 | 3 |
| COC6-50 | COC 90%w + Al2O3 50%w | 275 | 290 | 500 | 140 | 150 | 3 |
Disclaimer/Publisher’s Note: The statements, opinions and data contained in all publications are solely those of the individual author(s) and contributor(s) and not of MDPI and/or the editor(s). MDPI and/or the editor(s) disclaim responsibility for any injury to people or property resulting from any ideas, methods, instructions or products referred to in the content. |
© 2024 by the authors. Licensee MDPI, Basel, Switzerland. This article is an open access article distributed under the terms and conditions of the Creative Commons Attribution (CC BY) license (https://creativecommons.org/licenses/by/4.0/).
Share and Cite
Ionete, E.I.; Visse, A.; Andrei, R.D.; Petreanu, M.I.; Spiridon, S.I.; Ionete, R.E. Electrical and Dielectrical Properties of Composites Based on Alumina and Cyclic Olefin Copolymers. Materials 2024, 17, 5349. https://doi.org/10.3390/ma17215349
Ionete EI, Visse A, Andrei RD, Petreanu MI, Spiridon SI, Ionete RE. Electrical and Dielectrical Properties of Composites Based on Alumina and Cyclic Olefin Copolymers. Materials. 2024; 17(21):5349. https://doi.org/10.3390/ma17215349
Chicago/Turabian StyleIonete, Eusebiu Ilarian, Artur Visse, Radu Dorin Andrei, Mirela Irina Petreanu, Stefan Ionut Spiridon, and Roxana Elena Ionete. 2024. "Electrical and Dielectrical Properties of Composites Based on Alumina and Cyclic Olefin Copolymers" Materials 17, no. 21: 5349. https://doi.org/10.3390/ma17215349
APA StyleIonete, E. I., Visse, A., Andrei, R. D., Petreanu, M. I., Spiridon, S. I., & Ionete, R. E. (2024). Electrical and Dielectrical Properties of Composites Based on Alumina and Cyclic Olefin Copolymers. Materials, 17(21), 5349. https://doi.org/10.3390/ma17215349

