Abstract
The micromechanical properties (i.e., hardness, elastic modulus, and stress–strain curve) of AlCu films were determined by an instrumented indentation test in this work. For three AlCu films with different thicknesses (i.e., 1 µm, 1.5 µm, and 2 µm), the same critical ratio (hmax/t) of 0.15 and relative indentation depth range of 0.15–0.5 existed, within which the elastic modulus (i.e., 59 GPa) and nanoindentation hardness (i.e., 0.75 GPa, 0.64 GPa and 0.63 GPa for 1 µm, 1.5 µm and 2 µm films) without pile-up and substrate influence can be determined. The yield strength (i.e., 0.754 GPa, 0.549 GPa and 0.471 GPa for 1 µm, 1.5 µm and 2 µm films) and hardening exponent (i.e., 0.073, 0.131 and 0.150 for 1 µm, 1.5 µm and 2 µm films) of Al-(4 wt.%)Cu films for MEMS were successfully reported for the first time using a nanoindentation reverse method. In dimensional analysis, the ideal representative strain εr was determined to be 0.038. The errors of residual depth hr between the simulations and the nanoindentation experiments was less than 5% when the stress–strain curve obtained by the nanoindentation reverse method was used for simulation.
1. Introduction
Advanced functional devices (e.g., sensors [1], power devices [2] or storage [3], solar cells [4]) are composed of complex stacks of multiple layers of heterogeneous thin films (e.g., metals, semiconductors, and dielectric ceramics) [5], and each layer has the role of one or more functions (e.g., signal transmission [6], energy conversion [7], insulation [8]). The bond pads (i.e., metal thin films), as metalized areas in integrated circuits, are used to connect the circuit on the chip to probe needles for wafer testing or to the pins of the outside package for assembly [9]. The demand for shrinking the device dimension and package minimization has raised a serious concern about the mechanical robustness of the thin-film stacked structure with the bond pad [10], especially in the wafer probe testing and wire bonding process [11]. Moreover, the mechanical properties of thin films fundamentally affect the long-term functional reliability of micro–electro–mechanical systems (MEMS) devices [12]. Therefore, understanding the mechanical response of metal bond pad thin films is crucial for optimizing the processes associated with MEMS manufacturing.
Several techniques have been developed to evaluate the mechanical properties of thin films with micrometer thickness, such as bulge tests, tensile tests, substrate curvature, X-ray diffraction, and nanoindentation methods [13]. The bulge and tensile tests require removing the thin film from the substrate, which is difficult for many films. The substrate curvature, X-ray diffraction, and nanoindentation techniques can be used to determine the mechanical properties of films attached to substrates, but they are limited by the spatial resolution of the X-ray diffraction method [14] and nonuniformity in film stress or thickness for the substrate curvature method [15], respectively. Nanoindentation is a powerful tool for characterizing the material properties of thin films due to its high load and displacement resolution, high testing efficiency, and microdamage nature [16,17,18].
The empirical rule of 10% was first proposed by Bückle [19] to address the effect of the substrate, which is not always valid for all materials. Pelletier et al. [20] found that the critical ratio of indentation depth to the film thickness for extracting the mechanical properties of Al2O3 films is 0.35. Lim et al. [21] observed the pile-up behavior of residual nanoindentation imprints on Al films on sapphire substrates and suggested considering the projected contact area of the imprints when using nanoindentation technology to determine the hardness and elastic modulus of the film to improve the accuracy of measurement results. Gouldstone et al. [22] found that the nanoindentation response of Al and Cu films is mainly composed of pure elastic behavior with intermittent microplasticity, and the overall plastic response of the film is related to its thickness. Lee et al. [23] found that the pop-out event of Au films during the unloading curve is related to the amorphous transformation. Cao et al. [24] revealed the indentation size effects of Au and Ag films using the strain gradient theory and found that the variation in the yield strengths and hardnesses of the films with grain size was in accordance with the Hall–Petch relationship. Wang et al. [25] proposed a method for quantitatively evaluating the influence of the substrate on the measurement of the mechanical properties of a single-layer thin film by the loading curve exponent. Ma et al. [26] studied the effects of indentation depth and substrate on indentation hardness and proposed a simple method for predicting the intrinsic hardness of thin films.
The plastic characteristics of thin films can be directly extracted from nanoindentation experiments using dimensional analysis and finite element simulation methods [27,28]. Dao et al. [29] developed a reverse analysis procedure and expressions for predicting the plastic properties of materials based on the nanoindentation technique. Lee et al. [30] reduced data sensitivity and experimental errors, using loading curvature and the ratio of plastic work to total mechanical work as independent parameters of indentation response. Zhao et al. [31] proposed an inverse method for measuring the elastic modulus, yield stress, and hardening exponent of thin films using a sharp indentation test and validated on a Cu thin film/Si substrate system. In references [32,33], the researchers validated the effectiveness of parameterization in inversion analysis methods. In references [34,35], the researchers emphasize that the finite element method can help evaluate the elastic–plastic properties of thin films from nanoindentation experimental data. Zhao et al. measured the coefficient of thermal expansion, elastic modulus, and Poisson’s ratio of Al-(0.5 wt.%)Cu films deposited on Si (100) substrates using a wafer curvature technique. Read et al. [36] reported the yield strength, elastic modulus, and failure elongation of Al-(0.5 wt.%)Cu films deposited on Si substrates using tensile testing combined with digital image correlation methods at 25–150 °C. Jeon et al. [37] proposed a new specimen micro-fabrication process for evaluating the interfacial toughness of Al-(0.5 wt.%)Cu films on Si substrates, and verified the reliability of the proposed method based on the finite element method and linear elastic fracture mechanics theory. However, it remains a challenge to reverse the plastic characteristics of MEMS films that are only a few micrometers thick by nanoindentation tests, and the mechanical properties of AlCu films for MEMS have yet to be systematically reported.
The current work aimed to estimate the micromechanical properties (i.e., hardness, elastic modulus, and stress–strain curve) of AlCu films with different thicknesses by instrumented indentation tests. The microstructure of AlCu films was investigated by scanning electron microscopy, energy dispersive spectrometer, and atomic force microscopy. The hardness and elastic modulus of AlCu films with pile-up behavior were evaluated based on nanoindentation tests and residual imprints. The stress–strain curves of AlCu films were obtained by combining finite element simulation and dimensional analysis, and imported into ABAQUS Workbench for finite element simulation to verify the accuracy of plastic parameters. The result of this research can effectively facilitate the acquisition of true plastic parameters of metal bond pads for MEMS and is helpful in providing guidance for improving the wafer probe testing and optimizing the associated processes of MEMS manufacturing.
2. Materials and Methods
2.1. Microstructural and Mechanical Characterization
AlCu films with different thicknesses were deposited by magnetron sputtering from an Al-(4 wt.%)Cu target on the commercial Si (111) substrates. Before depositing, the Si substrate is soaked and cleaned in isopropanol and baked in a 120 °C oven for 1 h. The thin-film deposition was carried out at 160 °C in an Ar atmosphere with a vacuum degree of 5.0 × 10−6 Torr. The deposition process was divided into four stages, as shown in Table 1, and the thickness of the thin film depends on the deposition time. The prepared wafer was sawn mechanically into a 3 × 3 cm2 die size. Scanning electron microscopy (SEM, Tescan CLARA, Brno, Czech Republic) with an energy dispersive spectroscopy (EDS) was utilized to characterize the thickness and composition of AlCu films. The vertically placed AlCu film samples were embedded with resin material using a metallographic mounting machine (XQ-2B, Xiwaka Precision Measuring Instrument Co., Ltd., Dongguan, China), and then polished by the automatic mechanical grinding and polishing machine (MP-3S-2, Huayin Testing Instrument Co., Ltd., Zhengzhou, China) to obtain the polished sample section. The surface roughness of the samples was measured by atomic force microscopy (AFM, JPK NanoWizard, Bruker, Billerica, MA, USA), and then the surface roughness profile of the samples was obtained using Gwyddion 2.66 software.
Table 1.
The summary parameters of AlCu films deposited by magnetron sputtering, which were provided by a commercial semiconductor manufacturing company.
Nanoindentation tests were performed using Anton Paar (Graz, Austria) nanoindentation tester NHT2 with a Berkovich indenter at room temperature and different maximum loads Fmax. The durations for loading and unloading were 30 s each, with a holding period of 10 s and a data acquisition frequency of 10 Hz [38,39]. The loading segment of the curve is written by Kick’s law [40]:
where FL is the loading load, C is the loading curvature, and h is the indentation depth.
According to the Oliver–Pharr (OP) method, reduced elastic modulus E* can be calculated [38]:
where S = dF/dh, representing the slope of the initial unloading curve, is the contact stiffness, β (=1.034 for Berkovich indenter [41]) is a numerical factor related to the shape of the indenter, and the projected contact area Ap is a function of contact depth hc and can be obtained by calibrating on a reference material with known elastic modulus and Poisson’s ratio [42]; EIT and v are the elastic modulus and Poisson’s ratio of the specimen, respectively; Ei = 1141 GPa and νi = 0.07 are the elastic modulus and Poisson’s ratio of the diamond indenter used in the present study. The Poisson’s ratio v of AlCu films is 0.35 [43].
Nanoindentation hardness HIT can be calculated as follows:
The ratio of the load-over-stiffness square can be expressed as [41]:
2.2. Dimensional Analysis
The stress-strain relationship of the materials with an assumption of isotropic hardening can be expressed as [30]:
where σy is the yielding strength, εp is the plastic strain, and n is the hardening exponent.
Assuming the Berkovich indenter is rigid, the loading load FL is a function of the mechanical parameters of materials, and the indentation imprint parameters and can be expressed as [44]:
where σr is the representative stress.
Based on the dimensional analysis, Equation (6) becomes:
Similarly, the unloading load FU can be expressed as:
When FU = 0, the specimen is fully unloaded, and h = hr. Therefore, Equation (8) becomes:
where hr is the residual depth, and hmax is the maximum indentation depth.
2.3. Finite Element Simulation
Figure 1a shows the geometry and mesh of a two-dimensional (2D) axisymmetric nanoindentation model built by the commercial software ABAQUS 2022. The FE simulation in this study was implemented based on the static equilibrium equation inside ABAQUS/CAE, and an incremental–iterative method based on the Newton–Raphson method was adopted to solve the non-behavior equations. A 2D model was used instead of a 3D model to enhance computational efficiency, since the simulation results of the 2D model have been proven to be consistent with those of the 3D model [45]. An asymmetrical conical indenter with a half-angle of 70.3° was built to be equivalent to the Berkovich indenter, which can be modeled as a rigid body due to the elastic modulus (1141 GPa) of the indenter being far greater than that of AlCu films. The surface-to-surface contact type was used, and the contact between the indenter and the film was assumed to be frictionless, as the influence of friction on the F-h curves can be neglected [46].
Figure 1.
Schematic illustration of the geometry and mesh of 2D axisymmetric model used for nanoindentation simulations: (a) global view and (b) local view.
Figure 1b displays the local view of the 2D model. The meshes were refined to an element size of 50 nm in the region beneath the indenter tip to ensure numerical convergence and the independence of mesh size, see Figure A1 in Appendix B, and became gradually coarser as the distance from the tip increased. As for the boundary conditions of the film/substrate system, the element node at the plane of the symmetry axis was constrained horizontally; the right boundary is a free surface due to it being sufficiently far away from the indentation location; and the element node at the bottom of the model was completely fixed for all the degrees-of-freedom. The indenter was restricted to vertical movement, and the load type was displacement control. The F-h curve was obtained based on the reaction force and displacement of a reference point on the rigid indenter [47]. The frequency of data points is increased using the time-points option to obtain a more accurate unloading curve, with each point spaced 0.5–1 nm for different indentation depths.
Assuming all interfaces have perfect adhesion, without considering the intrinsic stresses within the stacked structure caused by manufacturing processes, the film and the substrate materials are isotropic [48,49]. The 2D nanoindentation finite element model (FEM) of the AlCu/Si system was built using a mesh type of the linear quadrilateral CAX4R with reduced integration. For each sample, 60 sets of FEM simulations considering plastic parameters were performed to obtain stress–strain curves, respectively: σy varied from 0.05 to 5 GPa and n from 0 to 0.5. The initial values of σy and n are set to 0.05 and 0, respectively.
2.4. Framework of Reverse Analysis
The framework of the proposed reverse analysis method in this study was summarized in Figure 2. The reverse analysis procedure can be implemented through the following program: the representative strain εr independent of the hardening index n is first determined by assuming two extreme values of εr; the representative stress σr is determined by solving the dimensional function in Equation (7) after choosing εr; and then n is determined by solving the dimensional function in Equation (9); the yield strength σy was determined by substituting E, εr, σr, and n into Equation (5), and then obtaining the complete stress–strain curve; finally, the accuracy of the reverse method was verified by substituting the stress–strain curve into the ABAQUS Workbench.
Figure 2.
Flow chart of the proposed reverse analysis method.
3. Results
3.1. Microstructure Characterization
Figure 3a–c shows the SEM images of cross-sections of AlCu films with different thicknesses, indicating that the film thickness t of the three samples are approximately 1 μm, 1.5 µm, and 2 µm, respectively. Figure 3d–f and Figure 3g–i show AFM images and the roughness profile of the surface topography of AlCu films with different thicknesses, respectively. The root-mean-square (RMS) surface roughness, which is one of the most common parameters for characterizing the surface morphology [50] of AlCu films, was in the order of a nanometer (i.e., 6.6 nm, 4.8 nm and 3.9 nm for t = 1 µm, 1.5 µm and 2 µm films, respectively) over a 2 × 2 μm2 area, indicating the good smoothness of the films, ensuring the accuracy and consistency of nanoindentation experimental results. Figure 3j shows the EDS spectra of AlCu films, and corresponding peaks of Al, Cu, and C with no impurity peaks were observed. Al and Cu contents in AlCu films are approximately 89.4 wt.% and 4 wt.%, respectively, which is consistent with the composition of the target used for depositing thin films.
Figure 3.
The microstructural characterization of AlCu films with different thicknesses: SEM images of the cross-section for (a) 1 µm, (b) 1.5 µm and (c) 2 µm films; AFM images of surface topography for (d) 1 µm, (e) 1.5 µm and (f) 2 µm films; the roughness profile of surface topography for (g) 1 µm, (h) 1.5 µm and (i) 2 µm films; and (j) EDS spectra.
3.2. Elastic Modulus and Hardness Characterization
Nanoindentation tests were also performed on Si substrates, which can provide the baseline data for the AlCu/Si system. Figure 4 shows the variation in nanoindentation hardness HIT and elastic modulus EIT of the Si (111) substrate with the maximum indentation depth hmax, and the Poisson ratios of 0.18 were used for Si (111) [51]. The HIT and EIT of Si (111) substrate exhibited an approximately constant value between the maximum indentation depth hmax of 0 and 1800 nm. The average nanoindentation hardness value of 11.6 GPa was obtained, which is close to the 11.8 GPa reported in the literature [52]. The average elastic modulus value of 194.3 GPa was determined, which is almost the same as the 193 GPa obtained by nanoindentation tests [53].
Figure 4.
Variation in HIT and EIT of Si (111) substrate with hmax.
Figure 5 shows the variations in elastic modulus and indentation hardness calculated by the OP method (i.e., Equations (2) and (3)) with relative indentation depths hmax/t. Under small hmax/t (<0.15), and exhibit a stable platform, while the average values of (i.e., 99.8 GPa, 110.4 GPa and 101.5 GPa for t = 1 µm, 1.5 µm and 2 µm films, respectively) and (i.e., 2.18 GPa, 1.70 GPa and 1.87 GPa for t = 1 µm, 1.5 µm and 2 µm films, respectively) within the stable platform are significantly larger than the reasonable ranges of the similar films (e.g., for elastic modulus, Al-(0.5 wt.%) Cu films are 40–59 GPa [36,37,54], Al films are 23–64 GPa [55,56,57,58]; for hardness, Al-(0.5 wt.%) Cu films are 0.17–0.25 GPa [59], Al films is 0.4–0.8 GPa for [60]), which is attributed to the OP method, which does not consider the effect of pile-up behavior, see Figure 6, on evaluated material properties [61]. Under large hmax/t (>0.15), and increase with increasing hmax/t, which can be explained by the substrate effects [62].
Figure 5.
Variations in (a) and (b) obtained by the OP method with hmax/t.
Figure 6.
Optical images of residual imprints of AlCu films with different thicknesses under applied load of 50 mN: (a) 1 µm, (b) 1.5 µm, and (c) 2 µm; (d) schematic illustration for calculating the projected area considering pile-up.
Figure 6a–c shows the optical images of residual imprints of AlCu films with different thicknesses under an applied load of 50 mN. An obvious pile-up was observed, and the pile-up material formed an arc around the edges of the indent, indicating that the calculating actual contact area (CACA) methods can be used to correct the pile-up errors in the OP analysis [30,63]. When pile-up occurs, the total areas At supporting the load are composed of the projected contact area Ap calculated by the OP method and the areas Apile-up produced by pile-up, as follows:
where Atriangle and a are the area and edge length of the Berkovich imprint in Figure 6d, respectively, which was assumed to be equilateral triangular; θ = 65.27° is the centerline-to-face angle of the Berkovich indenter [41].
Assuming that the center of the arc is located at the opposite corner of the imprint, then the radius r of the arc is approximately equal to a, and Apile-up can be expressed as:
Figure 7 shows the variations in elastic modulus and indentation hardness calculated by the CACA method (i.e., Equations (10) and (11)) with relative indentation depths hmax/t, and the and of three AlCu thin films with different thicknesses show the same trend with hmax/t. Under small hmax/t (<0.15), can be approximated to be constant (i.e., = 58.9 GPa, 58.3 GPa and 59.4 for t = 1 µm, 1.5 µm and 2 µm films, respectively), which lies within the reasonable range. As anticipated, the elastic response of the films is independent of thickness [22]. Under large hmax/t (>0.15), increases with increasing hmax/t due to the substrate effects [64], since the observed rise follows the elastic modulus of the substrates. Under small hmax/t (<0.15), decreases with hmax/t due to the indentation size effect [65]; the constant values of (i.e., HCA IT = 0.75 GPa, 0.64 GPa and 0.63 GPa for t = 1 µm, 1.5 µm and 2 µm films, respectively) can be approximated for intermediate indentation depths (i.e., 0.15 < hmax/t < 0.5), and can be regarded as the ones without the influence of the substrate; increases with hmax/t due to the substrate effects under large hmax/t. The results indicate that the nanoindentation hardness values of soft films on hard substrates at intermediate indentation depths (i.e., 0.15 < hmax/t < 0.5 for AlCu films) can be accurately obtained by correcting the error of the elastic modulus caused by pile-up behavior, which is to be expected, as the plastic field under the indenter is a short-range field compared to the elastic field [20,64].
Figure 7.
Variations in (a) and (b) obtained by the CACA method with hmax/t.
3.3. Stress–Strain Characteristic
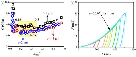
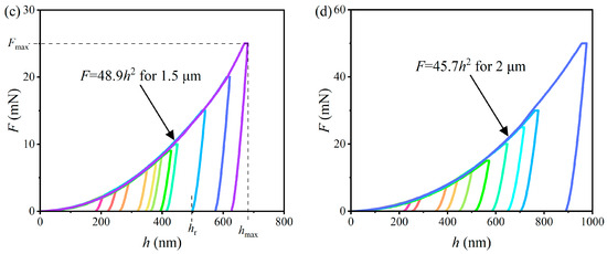
The maximum indentation depth is maintained within the AlCu film thickness of 15–50% to avoid the poor fit of the curvature C data by Kick’s law under small hmax/t (<0.15) and the effect of Si substrate under large hmax/t (>0.5), as shown in Figure 8d. Figure 8b–d shows the indentation load F-displacement h curves of three AlCu films at different Fmax, and the hysteresis phenomenon between the loading and unloading curves indicates that the AlCu film undergoes elastic–plastic deformation during nanoindentation. The smooth loading and unloading curves indicate no cracks or fractures in the AlCu film during nanoindentation [66,67]. The loading curves under different loads follow the same trace, indicating the good repeatability of the nanoindentation experiment. The loading curves of thin films with different thicknesses reflect the ability of the films to resist external deformation. Under the same load, it can be seen that hmax of 1 μm AlCu film is the smallest, hmax of 1.5 μm AlCu film is in the middle, and hmax of 2 μm AlCu film is the largest, indicating that the ability of AlCu films to resist external deformation decreases with increasing t. The average value of C decreases with an increase in the film thickness t by 0.15 < hmax/t < 0.5, and the average value C of three AlCu films is listed in Table 2.

Figure 8.
(a) Variations in C with hmax/t; F-h curves of AlCu films with different thicknesses under different Fmax: (b) 1 µm, (c) 1.5 µm, and (d) 2 µm.
Table 2.
Summary parameters for calculating stress–strain curves of AlCu films.
Figure 9a–c shows the variation in C/σr (i.e., ∏1 function) with E*/σr for 2 µm AlCu film at different hardening exponents n and representative strain εr. Within the range of E*/σr from 10.61 to 1278.3, C/σr increased as n increased when εr < 0.038; when εr > 0.038, C/σr decreased with an increase in n; C/σr was independent of n when εr = 0.038, indicating that power law plastic responses of all stress–strain curves can exhibit the same stress σr at a plastic strain of 3.8%, which is close to the representative strain value (i.e., 0.033) reported by Dao [29], for given E* and C. Figure 9d shows the proportional relationship between residual depth hr and the maximum indentation depth hmax. The large hr/hmax (i.e., 0.905–0.944) corroborated elastic–plastic and pile-up behavior for AlCu films [68]. The value of εr and hr/hmax will serve as a critical reference for determining the plastic characteristics of AlCu films for MEMS.
Figure 9.
Variation in C/σr with E*/σr for 2 µm AlCu film at different n and εr: (a) εr = 0.010, (b) εr = 0.038, and (c) εr = 0.290; and (d) the relationships between hr and hmax for 0.15 < hmax/t < 0.5.
By choosing εr = 0.038, Equation (7) can be expressed as:
The dimensionless function ∏1 can be established by fitting all data points presented in Figure 9b, and then the value of σr corresponding to a plastic strain of 3.8% can be calculated by substituting the nanoindentation test data C and E∗ into ∏1. The dimensionless function ∏2 can be determined by fitting all data points presented in Figure 10. The ∏1 and ∏2 of three AlCu films with different thicknesses are the same, due to the difference in the elastic modulus between them being small [44]. The ∏1 and ∏2 in the Appendix A can be well-fitted, since their formats refer to Dao’s study [29] and accurate εr values can be determined for AlCu films. The value of n can be calculated by substituting hr/hmax and E* obtained by the nanoindentation tests, and σr calculated by ∏1 into ∏2. Finally, σy can be solved by substituting σr, n, εr into Equation (5).
Figure 10.
Variation in hr/hmax as a function of E*/σr and n for 2 µm AlCu film.
Figure 11a shows the stress–strain curves of three AlCu films with different thicknesses, and the material parameters for calculating stress–strain curves of AlCu films are listed in Table 2. The yield strength σy decreases with increasing film thickness t, which is consistent with the inference made from the curvature and X-ray diffraction measurements of thin films [69,70,71,72]. The 2 μm AlCu film will reach σy more readily, resulting in irrecoverable plastic deformation, which is consistent with the results of F-h curves from the nanoindentation tests. The hardening exponent n increases with increasing t, indicating that the “hardening” is more significant during the plastic deformation stage [73]. The stress–strain curves of AlCu films with different thicknesses in Figure 11a were imported into ABAQUS Workbench for finite element simulations, and the results are shown in Figure 11b. The residual depth hr between simulations and nanoindentation tests are in good agreement, and the errors all remained within 5%, indicating that the plastic parameters of AlCu films in this work are pretty accurate. Figure 11c shows the comparison of σy between this work and that reported by various methods in the literature, and σy decreases with increasing t. The σy reversed by nanoindentation tests in this work is slightly larger than that reported by the literature at the same as t, which can be attributed to such factors as the different experimental methods [22], indentation size effect [74], the differences between the localized and macroscopic deformation [75], the influence of grain size [76], residual stress [77], temperature [78], and the fact that the non-ideal indenter shape is not considered in the FEM [43]. Therefore, the σy curves of the AlCu films obtained in this work are reasonable considering the complexity of influencing factors.
Figure 11.
The results and validation of σy obtained by the nanoindentation reverse method for Al-(4 wt.%)Cu films with different thicknesses: (a) stress–strain curves; (b) the comparison of hr between simulation and experimental results; (c) the comparison of σy between this work and that reported by various methods in the literature: Macionczyk [79], Nix [60], Doerner [80], Cai [81], Yeo [5], Stone [82], Yu [83], Hommel [84], Balk [85], Gouldstone [22], Keller [71], Flinn [72], and Zhang [86].
Currently, the accuracy of the proposed method is significantly dependent on the measurement accuracy of residual depth, which can be improved by constructing dimensionless functions based on the energy theory. In addition, the proposed method is limited by the constitutive model, which is a common limitation of the indentation reversed method, since power-law equations may not describe many stress–strain curves well. In the future, the automatic acquisition of material parameters with the combination of nanoindentation and finite element simulation methods based on algorithm optimization, especially an artificial intelligence technique, will be further developed, which can greatly improve the reverse efficiency of material parameters and help break through the limitations of power–law equations.
4. Conclusions
The microstructure and surface topography of three AlCu films with different thicknesses were characterized by SEM, EDS, AFM and XRD. We established an analytical procedure of measuring the micromechanical properties (i.e., hardness, elastic modulus, and stress–strain curve) of Al-(4 wt.%)Cu films for MEMS by nanoindentation tests. The conclusions are as follows:
- (1)
- For AlCu films with a thickness of several micrometers, nanoindentation measurement errors caused by pile-up behavior can be corrected by determining the actual contact area.
- (2)
- The nanoindentation hardness of soft films on hard substrates can be accurately obtained by correcting the error of elastic modulus caused by pile-up behavior.
- (3)
- The elastic modulus of Al-(4 wt.%)Cu films is independent of film thickness and is approximately 59 GPa. The nanoindentation hardnesses of Al-(4 wt.%)Cu films for 1 µm, 1.5 µm and 2 µm were 0.75 GPa, 0.64 GPa and 0.63 GPa, respectively.
- (4)
- With the increasing film thickness, the yield strength of Al-(4 wt.%)Cu films decreased, and the hardening exponent increased.
Author Contributions
D.H.: Conceptualization, Formal Analysis, Investigation, Writing—Original Draft, Visualization. Y.O.: Discussion, Supervision, Writing—Review and Editing. Z.Z.: Discussion, Supervision, Validation. F.D.: Supervision, Validation, Resources, Writing—Review and Editing. S.L.: Funding Acquisition, Project Administration, Writing—Review and Editing. All authors have read and agreed to the published version of the manuscript.
Funding
This work was supported by the National Key R&D Program of China (No. 2022YFB3207100); the Hubei Provincial Strategic Scientist Training Plan (No. 2022EJD009); and the Fundamental Research Funds for the Central Universities (No. 2042023kf1041).
Institutional Review Board Statement
Not applicable.
Informed Consent Statement
Not applicable.
Data Availability Statement
The original contributions presented in the study are included in the article, further inquiries can be directed to the corresponding authors.
Conflicts of Interest
The authors declare that they have no known competing financial interests or personal relationships that could have appeared to influence the work reported in this paper.
Appendix A
The ∏1 and ∏2 functions used in this work are detailed as follows:
Appendix B
Figure A1 shows the independence test results of FEM mesh in this study. When the element number of FEM is larger than 8466, the residual depth hr obtained by nanoindentation ABAQUS simulation is independent of the element number. The total element number of FEM used in this study is 11,462, ensuring the accuracy of the simulation results.
Figure A1.
The independence test results of FEM mesh.
References
- Lin, B.; Liu, Y.; Cai, Y.; Zhou, J.; Zou, Y.; Zhang, Y.; Liu, W.; Sun, C. A high Q value ScAlN/AlN-based SAW resonator for load sensing. IEEE Trans. Electron Devices 2021, 68, 5192–5197. [Google Scholar] [CrossRef]
- Zhao, F.; Amnuayphol, O.; Cheong, K.Y.; Wong, Y.H.; Jiang, J.Y.; Huang, C.F. Post deposition annealing effect on properties of Y2O3/Al2O3 stacking gate dielectric on 4H-SiC. Mater. Lett. 2019, 245, 174–177. [Google Scholar] [CrossRef]
- Pan, Z.; Wang, P.; Hou, X.; Yao, L.; Zhang, G.; Wang, J.; Liu, J.; Shen, M.; Zhang, Y.; Jiang, S. Fatigue-free aurivillius phase ferroelectric thin films with ultrahigh energy storage performance. Adv. Energy Mater. 2020, 10, 2001536. [Google Scholar] [CrossRef]
- Mao, Y.; Xu, C.; Yuan, J.; Zhao, H. A two-dimensional GeSe/SnSe heterostructure for high performance thin-film solar cells. J. Mater. Chem. A 2019, 7, 11265–11271. [Google Scholar] [CrossRef]
- Yeo, A.; Chan, Y.S.; Che, F.; Liu, M.; Zhou, K. A combined experimental and modelling study of indentation damage test on thin-film stacked structures. Thin Solid Films 2016, 615, 74–83. [Google Scholar] [CrossRef]
- Khan, A.; Abas, Z.; Kim, H.S.; Oh, I.K. Piezoelectric thin films: An integrated review of transducers and energy harvesting. Smart Mater. Struct. 2016, 25, 053002. [Google Scholar] [CrossRef]
- Wasa, K.; Matsushima, T.; Adachi, H.; Kanno, I.; Kotera, H. Thin-film piezoelectric materials for a better energy harvesting MEMS. J. Microelectromech. Syst. 2012, 21, 451–457. [Google Scholar] [CrossRef]
- Palumbo, F.; Wen, C.; Lombardo, S.; Pazos, S.; Aguirre, F.; Eizenberg, M.; Hui, F.; Lanza, M. A review on dielectric breakdown in thin dielectrics: Silicon dioxide, high-k, and layered dielectrics. Adv. Funct. Mater. 2020, 30, 1900657. [Google Scholar] [CrossRef]
- Zhao, D.; Letz, S.; Jank, M.; März, M. Adhesion strength of ductile thin film determined by cross-sectional nanoindentation. Int. J. Mech. Sci. 2024, 270, 109103. [Google Scholar] [CrossRef]
- Unterreitmeier, M.; Nagler, O. An improved crack probability model for silicon oxide layers using three-parameter Weibull analysis. Microelectron. Reliab. 2023, 150, 115193. [Google Scholar] [CrossRef]
- Brezmes, A.O.; Reuther, G.; Gneupel, A.; Breitkopf, C. Characterization of critical conditions for fracture during wafer testing by FEM and experiments. Mater. Sci. Semicond. Process. 2017, 67, 124–140. [Google Scholar] [CrossRef]
- Li, X.; Bhushan, B.; Takashima, K.; Baek, C.-W.; Kim, Y.-K. Mechanical characterization of micro/nanoscale structures for MEMS/NEMS applications using nanoindentation techniques. Ultramicroscopy 2003, 97, 481–494. [Google Scholar] [CrossRef] [PubMed]
- Richard, P.; Vinci, J. Mechanical behavior of thin films. Annu. Rev. Mater. Sei 1996, 26, 431–462. [Google Scholar]
- Yamamoto, N.; Hosokawa, Y. Development of an Innovative 5 µm φ Focused X-ray Beam Energy-Dispersive Spectrometer and its Applications. Jpn. J. Appl. Phys. 1988, 27, L2203. [Google Scholar] [CrossRef]
- Von Preissig, F. Applicability of the classical curvature-stress relation for thin films on plate substrates. J. Appl. Phys. 1989, 66, 4262–4268. [Google Scholar] [CrossRef]
- Liu, M.; Yang, F. Indentation-induced interface decohesion between a piezoelectric film and an elastic substrate. J. Comput. Theor. Nanosci. 2014, 11, 1863–1873. [Google Scholar] [CrossRef]
- Yang, F.; Liu, M. Analysis for the indentation with a flat indenter on an elastic-perfectly plastic thin film. J. Comput. Theor. Nanosci. 2014, 11, 265–271. [Google Scholar] [CrossRef]
- Chen, S.; Liu, L.; Wang, T. Investigation of the mechanical properties of thin films by nanoindentation, considering the effects of thickness and different coating–substrate combinations. Surf. Coat. Technol. 2005, 191, 25–32. [Google Scholar] [CrossRef]
- Zak, S.; Trost, C.; Kreiml, P.; Cordill, M. Accurate measurement of thin film mechanical properties using nanoindentation. J. Mater. Res. 2022, 37, 1373–1389. [Google Scholar] [CrossRef]
- Pelletier, H.; Krier, J.; Mille, P. Characterization of mechanical properties of thin films using nanoindentation test. Mech. Mater. 2006, 38, 1182–1198. [Google Scholar] [CrossRef]
- Lim, Y.; Chaudhri, M.; Enomoto, Y. Accurate determination of the mechanical properties of thin aluminum films deposited on sapphire flats using nanoindentations. J. Mater. Res. 1999, 14, 2314–2327. [Google Scholar] [CrossRef]
- Gouldstone, A.; Koh, H.; Zeng, K.; Giannakopoulos, A.; Suresh, S. Discrete and continuous deformation during nanoindentation of thin films. Acta Mater. 2000, 48, 2277–2295. [Google Scholar] [CrossRef]
- Lee, W.S.; Fong, F.J. Microstructural study of annealed gold–silicon thin films under nanoindentation. Mater. Sci. Eng. A 2008, 475, 319–326. [Google Scholar] [CrossRef]
- Cao, Y.; Allameh, S.; Nankivil, D.; Sethiaraj, S.; Otiti, T.; Soboyejo, W. Nanoindentation measurements of the mechanical properties of polycrystalline Au and Ag thin films on silicon substrates: Effects of grain size and film thickness. Mater. Sci. Eng. A 2006, 427, 232–240. [Google Scholar] [CrossRef]
- Wang, J.; Zheng, X.; Zheng, H.; Zhu, Z.; Song, S. Evaluation of the substrate effect on indentation behavior of film/substrate system. Appl. Surf. Sci. 2010, 256, 5998–6002. [Google Scholar] [CrossRef]
- Ma, Z.; Zhou, Y.; Long, S.; Lu, C. On the intrinsic hardness of a metallic film/substrate system: Indentation size and substrate effects. Int. J. Plast. 2012, 34, 1–11. [Google Scholar] [CrossRef]
- DiCarlo, A.; Yang, H.; Chandrasekar, S. Semi-inverse method for predicting stress–strain relationship from cone indentations. J. Mater. Res. 2003, 18, 2068–2078. [Google Scholar] [CrossRef]
- Fauvel, V.; Gaillard, Y.; Guillemet, R.; Garabédian, P.; Richard, F. Simultaneous extraction of the elastic-plastic properties of a thin film and its substrate from an identifiability-based design of depth-sensing nanoindentation testing. J. Mech. Phys. Solids 2022, 163, 104860. [Google Scholar] [CrossRef]
- Dao, M.; Chollacoop, N.; Van Vliet, K.; Venkatesh, T.; Suresh, S. Computational modeling of the forward and reverse problems in instrumented sharp indentation. Acta Mater. 2001, 49, 3899–3918. [Google Scholar] [CrossRef]
- Zhou, X.; Jiang, Z.; Wang, H.; Yu, R. Investigation on methods for dealing with pile-up errors in evaluating the mechanical properties of thin metal films at sub-micron scale on hard substrates by nanoindentation technique. Mater. Sci. Eng. A 2008, 488, 318–332. [Google Scholar] [CrossRef]
- Zhao, M.; Chen, X.; Xiang, Y.; Vlassak, J.J.; Lee, D.; Ogasawara, N.; Chiba, N.; Gan, Y.X. Measuring elastoplastic properties of thin films on an elastic substrate using sharp indentation. Acta Mater. 2007, 55, 6260–6274. [Google Scholar] [CrossRef]
- Li, Y.G.; Kanoute, P.; François, M.; Chen, D.; Wang, H.W. Inverse identification of constitutive parameters with instrumented indentation test considering the normalized loading and unloading P-h curves. Int. J. Solids Struct. 2019, 156, 163–178. [Google Scholar] [CrossRef]
- Sanchez Camargo, C.M.; Hor, A.; Mabru, C. A robust inverse analysis method for elastoplastic behavior identification using the true geometry modeling of Berkovich indenter. Int. J. Mech. Sci. 2020, 171, 105370. [Google Scholar] [CrossRef]
- Alaboodi, A.S.; Hussain, Z. Finite element modeling of nano-indentation technique to characterize thin film coatings. J. King Saud Univ. Eng. Sci. 2019, 31, 61–69. [Google Scholar] [CrossRef]
- Long, X.; Dong, R.; Su, Y.; Chang, C. Critical review of nanoindentation-based numerical methods for evaluating elastoplastic material properties. Coatings 2023, 13, 1334. [Google Scholar] [CrossRef]
- Read, D.T.; Cheng, Y.; McColskey, J.D.; Keller, R.R. Mechanical behavior of contact aluminum alloy. MRS Online Proc. Libr. 2001, 695, L6.11.1. [Google Scholar] [CrossRef]
- Jeon, I.; Omiya, M.; Inoue, H.; Kishimoto, K.; Asahina, T. A new specimen for measuring the interfacial toughness of Al-0.5% Cu thin film on Si substrate. Key Eng. Mater. 2005, 297, 521–526. [Google Scholar] [CrossRef]
- Hou, D.; Liu, M.; Liu, S.; Yang, F. Indentation fracture of 4H-SiC single crystal. Int. J. Mech. Sci. 2024, 270, 109096. [Google Scholar] [CrossRef]
- Xu, Z.; Liu, M.; Yang, F. Calculation of elastic constants of bulk metallic glasses from indentation tests. J. Mater. Res. Technol. 2024, 28, 4382–4391. [Google Scholar] [CrossRef]
- Liu, M.; Hou, D.; Wang, Y.; Lakshminarayana, G. Micromechanical properties of Dy3+ ion-doped (LuxY1-x) 3Al5O12 (x= 0, 1/3, 1/2) single crystals by indentation and scratch tests. Ceram. Int. 2023, 49, 4482–4504. [Google Scholar] [CrossRef]
- Gao, C.; Liu, M. Instrumented indentation of fused silica by Berkovich indenter. J. Non-Cryst. Solids 2017, 475, 151–160. [Google Scholar] [CrossRef]
- Gao, C.; Liu, M. Characterization of spherical indenter with fused silica under small deformation by Hertzian relation and Oliver and Pharr’s method. Vacuum 2018, 153, 82–90. [Google Scholar] [CrossRef]
- Brezmes, A.O.; Breitkopf, C. Mechanical analysis of wafer testing with FEM simulations. Microelectron. Reliab. 2016, 63, 166–182. [Google Scholar] [CrossRef]
- Du, J.; Xu, Y.; Liu, C.; Yu, Q. Study on stress-strain characteristics of SiO2 films for high-temperature SiC capacitive pressure sensors using FEA and dimensional analysis of nanoindentation. IEEE Sens. J. 2022, 22, 19220–19227. [Google Scholar] [CrossRef]
- Long, X.; Shen, Z.; Jia, Q.; Li, J.; Dong, R.; Su, Y.; Yang, X.; Zhou, K. Determine the unique constitutive properties of elastoplastic materials from their plastic zone evolution under nanoindentation. Mech. Mater. 2022, 175, 104485. [Google Scholar] [CrossRef]
- Zhao, M.; Ogasawara, N.; Chiba, N.; Chen, X. A new approach to measure the elastic–plastic properties of bulk materials using spherical indentation. Acta Mater. 2006, 54, 23–32. [Google Scholar] [CrossRef]
- Gao, X.; Hong, D.; Paranjape, H.M.; Zhang, W.; Anderson, P.M. Berkovich indentation and the Oliver-Pharr method for shape memory alloys. Int. J. Mech. Sci. 2024, 270, 109077. [Google Scholar] [CrossRef]
- Chakroun, N.; Tekaya, A.; Belhadjsalah, H.; Benameur, T. A new inverse analysis method for identifying the elastic properties of thin films considering thickness and substrate effects simultaneously. Int. J. Appl. Mech. 2017, 9, 1750096. [Google Scholar] [CrossRef]
- Long, X.; Shen, Z.; Lu, C.; Jia, Q.; Guan, C.; Chen, C.; Wang, H.; Li, Y. Reverse analysis of surface strain in elasto-plastic materials by nanoindentation. Int. J. Appl. Mech. 2021, 13, 2150106. [Google Scholar] [CrossRef]
- Cao, Y.; Zhou, C. Thickness dependence of surface roughness and magnetic properties of FeNiCr thin films. J. Magn. Magn. Mater. 2013, 333, 1–7. [Google Scholar] [CrossRef]
- Zhang, L.; Barrett, R.; Cloetens, P.; Detlefs, C.; Sanchez del Rio, M. Anisotropic elasticity of silicon and its application to the modelling of X-ray optics. J. Synchrotron Radiat. 2014, 21, 507–517. [Google Scholar] [CrossRef] [PubMed]
- Ebrahimi, F.; Kalwani, L. Fracture anisotropy in silicon single crystal. Mater. Sci. Eng. A 1999, 268, 116–126. [Google Scholar] [CrossRef]
- Norimasa, O.; Hase, M.; Hayamizu, M.; Nagata, S.; Tanaka, S.; Miyake, S.; Nishi, T.; Murotani, H.; Takashiri, M. Phonon transport properties depending on crystal orientation analyzed by nanoindentation using single-crystal silicon wafers. Appl. Phys. Express 2021, 14, 126502. [Google Scholar] [CrossRef]
- Zhao, J.H.; Du, Y.; Morgen, M.; Ho, P.S. Simultaneous measurement of Young’s modulus, Poisson ratio, and coefficient of thermal expansion of thin films on substrates. J. Appl. Phys. 2000, 87, 1575–1577. [Google Scholar] [CrossRef]
- Read, D.T.; Cheng, Y.; Keller, R.R.; McColskey, J.D. Tensile properties of free-standing aluminum thin films. Scr. Mater. 2001, 45, 583–589. [Google Scholar] [CrossRef]
- Hoffman, K.A.; Constantine, V.L.; Morse, D.L. Determination of absolute palaeointensity using a multi-specimen procedure. Nature 1989, 339, 295–297. [Google Scholar] [CrossRef]
- Rosenmayer, C.; Brotzen, F.; Gale, R. Mechanical testing of thin films. MRS Online Proc. Libr. 1988, 130, 77. [Google Scholar] [CrossRef]
- Heinen, D.; Bohn, H.; Schilling, W. On the mechanical strength of free-standing and substrate-bonded Al thin films. J. Appl. Phys. 1995, 77, 3742–3745. [Google Scholar] [CrossRef]
- Mercier, D. Lois de comportement des matériaux utilisés dans les contacts électriques pour application “flip chip”. Ph.D. Thesis, Université de Grenoble, Grenoble, France, 2013. [Google Scholar]
- Nix, W.D. Mechanical properties of thin films. Metall. Trans. A 1989, 20, 2217–2245. [Google Scholar] [CrossRef]
- Beegan, D.; Chowdhury, S.; Laugier, M. The nanoindentation behaviour of hard and soft films on silicon substrates. Thin Solid Films 2004, 466, 167–174. [Google Scholar] [CrossRef]
- Liu, M.; Xu, Z.; Zhang, G. Effects of dopants on scratch responses of diamond-like carbon films by Rockwell C diamond indenter. J. Mater. Eng. Perform. 2023, 32, 6092–6106. [Google Scholar] [CrossRef]
- Saha, R.; Nix, W. Soft films on hard substrates-nanoindentation of tungsten films on sapphire substrates. Mater. Sci. Eng. A 2001, 319, 898–901. [Google Scholar] [CrossRef]
- Saha, R.; Nix, W.D. Effects of the substrate on the determination of thin film mechanical properties by nanoindentation. Acta Mater. 2002, 50, 23–38. [Google Scholar] [CrossRef]
- Liu, M.; Xu, Z.; Fu, H.; Li, P. Micromechanical characterization of a reduced-activation ferritic/martensitic steel by instrumented indentation and scratch methods. Fusion Eng. Des. 2023, 193, 113857. [Google Scholar] [CrossRef]
- Li, X.; Bhushan, B. A review of nanoindentation continuous stiffness measurement technique and its applications. Mater. Charact. 2002, 48, 11–36. [Google Scholar] [CrossRef]
- Liu, M.; Hou, D.; Wu, L. Influence of poly (ethyleneimine) functionalized multi-walled carbon nanotubes on mechanical and tribological behavior of epoxy resins. Mater. Today Commun. 2022, 33, 104480. [Google Scholar] [CrossRef]
- Chowdhury, S.; Laugier, M.; Rahman, I.; Serantoni, M. Nanoindentation combined with scanning force microscope for characterization of mechanical properties of carbon nitride thin films. Surf. Coat. Technol. 2004, 177, 537–544. [Google Scholar] [CrossRef]
- Venkatraman, R.; Bravman, J.C.; Nix, W.; Avies, P.W.; Flinn, P.A.; Fraser, D.B. Mechanical properties and microstructural characterization of Al-0.5% Cu thin films. J. Electron. Mater. 1990, 19, 1231–1237. [Google Scholar] [CrossRef]
- Kobrinsky, M.J.; Thompson, C.V. Activation volume for inelastic deformation in polycrystalline Ag thin films. Acta Mater. 2000, 48, 625–633. [Google Scholar] [CrossRef]
- Keller, R.; Baker, S.; Arzt, E. Quantitative analysis of strengthening mechanisms in thin Cu films: Effects of film thickness, grain size, and passivation. J. Mater. Res. 1998, 13, 1307–1317. [Google Scholar] [CrossRef]
- Flinn, P.A. Measurement and interpretation of stress in copper films as a function of thermal history. J. Mater. Res. 1991, 6, 1498–1501. [Google Scholar] [CrossRef]
- Yue, Z.; Zhu, Y.; Fan, J.; Shao, Z. The strain rate sensitivity exponent and the strain hardening exponent of as-cast TC21 titanium alloy in β single-phase region. Mater. Res. Express 2019, 6, 1165g1. [Google Scholar] [CrossRef]
- Nix, W.D.; Gao, H. Indentation size effects in crystalline materials: A law for strain gradient plasticity. J. Mech. Phys. Solids 1998, 46, 411–425. [Google Scholar] [CrossRef]
- Zafar, H.; Khan, S.M.; Abu Dheir, N. Dislocation structure during nano-indentation and surface topographic maps. J. Mater. Sci. 2024, 59, 4852–4862. [Google Scholar] [CrossRef]
- Wang, Y.; Huang, C.; Ma, X.; Zhao, J.; Guo, F.; Fang, X.; Zhu, Y.; Wei, Y. The optimum grain size for strength-ductility combination in metals. Int. J. Plast. 2023, 164, 103574. [Google Scholar] [CrossRef]
- Ma, Z.; Zhou, Y.; Long, S.; Lu, C. Residual stress effect on hardness and yield strength of Ni thin film. Surf. Coat. Technol. 2012, 207, 305–309. [Google Scholar] [CrossRef]
- Li, W.; Ma, J.; Kou, H.; Shao, J.; Zhang, X.; Deng, Y.; Tao, Y.; Fang, D. Modeling the effect of temperature on the yield strength of precipitation strengthening Ni-base superalloys. Int. J. Plast. 2019, 116, 143–158. [Google Scholar] [CrossRef]
- Macionczyk, F.; Brückner, W. Tensile testing of AlCu thin films on polyimide foils. J. Appl. Phys. 1999, 86, 4922–4929. [Google Scholar] [CrossRef]
- Doerner, M.; Gardner, D.; Nix, W. Plastic properties of thin films on substrates as measured by submicron indentation hardness and substrate curvature techniques. J. Mater. Res. 1986, 1, 845–851. [Google Scholar] [CrossRef]
- Cai, X.; Bangert, H. Hardness measurements of thin films-determining the critical ratio of depth to thickness using FEM. Thin Solid Films 1995, 264, 59–71. [Google Scholar] [CrossRef]
- Stone, D.; La Fontaine, W.; Alexopoulos, P.; Wu, T.; Li, C. An investigation of hardness and adhesion of sputter-deposited aluminum on silicon by utilizing a continuous indentation test. J. Mater. Res. 1988, 3, 141–147. [Google Scholar] [CrossRef]
- Yu, D.Y.; Spaepen, F. The yield strength of thin copper films on Kapton. J. Appl. Phys. 2004, 95, 2991–2997. [Google Scholar] [CrossRef]
- Hommel, M.; Kraft, O.; Arzt, E. A new method to study cyclic deformation of thin films in tension and compression. J. Mater. Res. 1999, 14, 2373–2376. [Google Scholar] [CrossRef]
- Balk, T.; Dehm, G.; Arzt, E. Parallel glide: Unexpected dislocation motion parallel to the substrate in ultrathin copper films. Acta Mater. 2003, 51, 4471–4485. [Google Scholar] [CrossRef]
- Zhang, G.; Sun, K.; Zhang, B.; Gong, J.; Sun, C.; Wang, Z. Tensile and fatigue strength of ultrathin copper films. Mater. Sci. Eng. A 2008, 483, 387–390. [Google Scholar] [CrossRef]
Disclaimer/Publisher’s Note: The statements, opinions and data contained in all publications are solely those of the individual author(s) and contributor(s) and not of MDPI and/or the editor(s). MDPI and/or the editor(s) disclaim responsibility for any injury to people or property resulting from any ideas, methods, instructions or products referred to in the content. |
© 2024 by the authors. Licensee MDPI, Basel, Switzerland. This article is an open access article distributed under the terms and conditions of the Creative Commons Attribution (CC BY) license (https://creativecommons.org/licenses/by/4.0/).