Exploring the Macroscopic Behavior and Microstructure Evolution of Lightly Cemented Sand in the Post-Liquefaction Process Using DEM
Abstract
1. Introduction
2. DEM Modeling
2.1. Bond Contact Model
2.2. Simulation Procedure
3. DEM Simulation Results
3.1. Macrocyclic Liquefaction Behavior
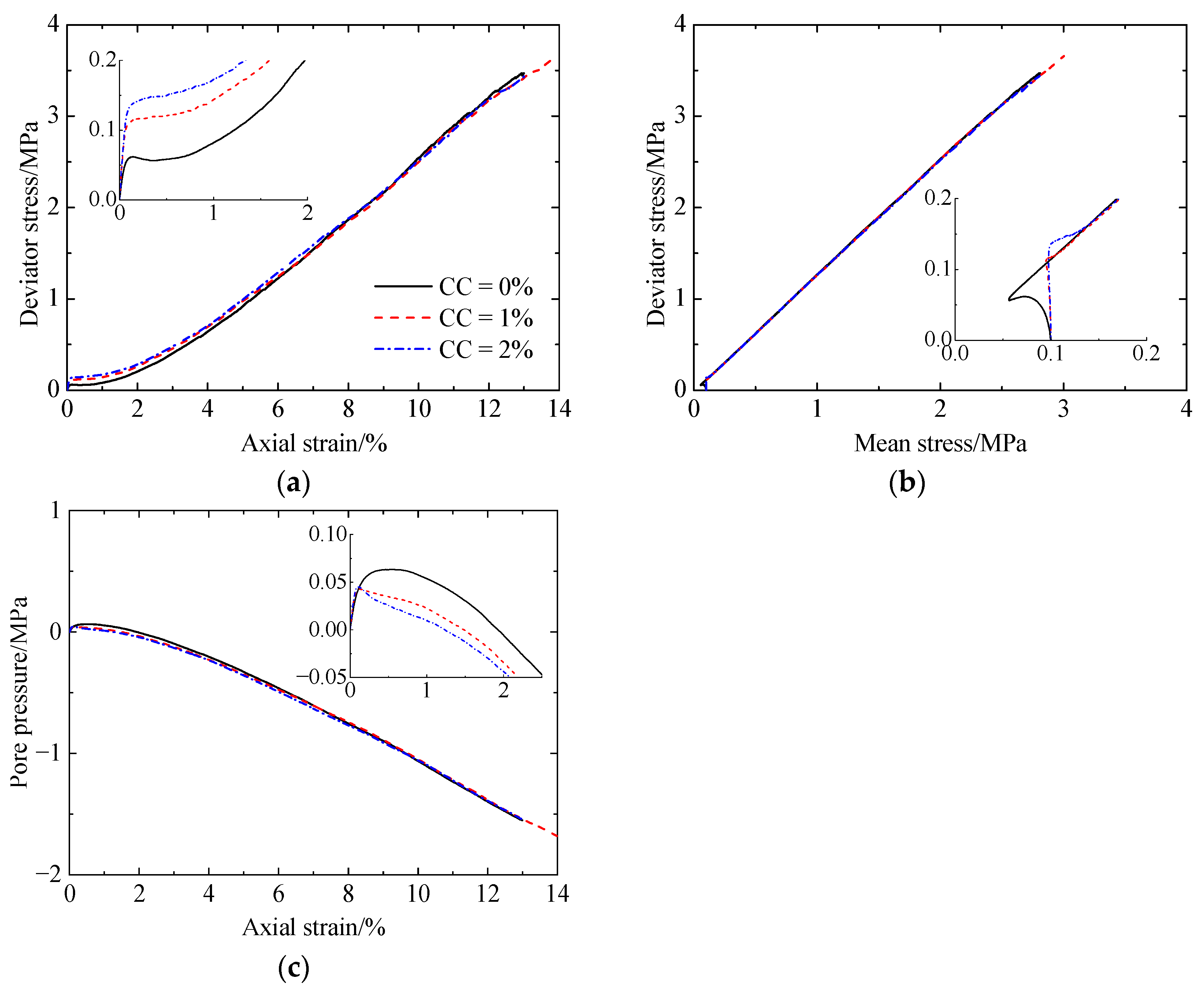
3.2. Macro Post-Liquefaction Response without Liquefaction
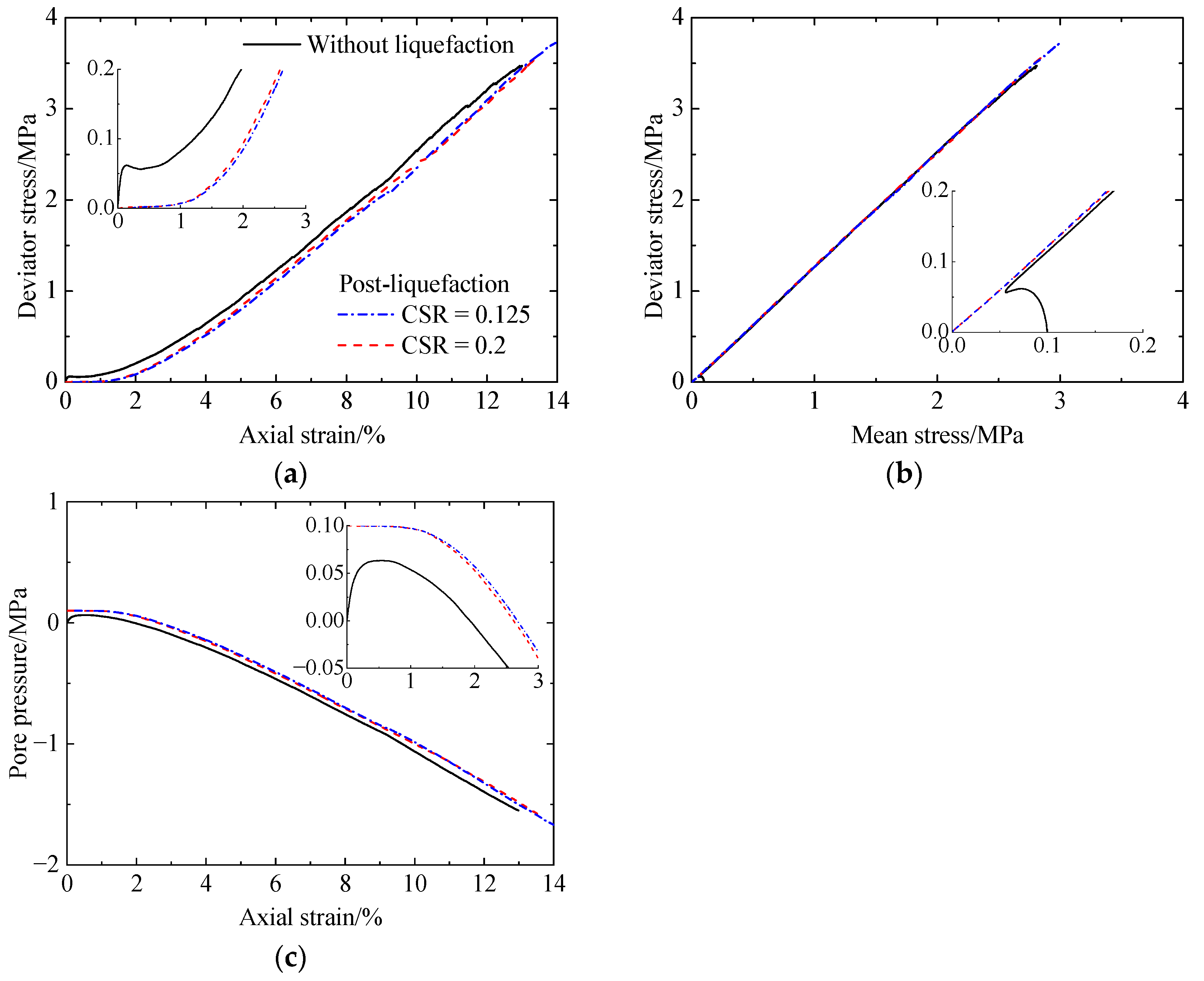
3.3. Macro Post-Liquefaction Response after Liquefaction
3.4. Description of Micromechanical Parameters
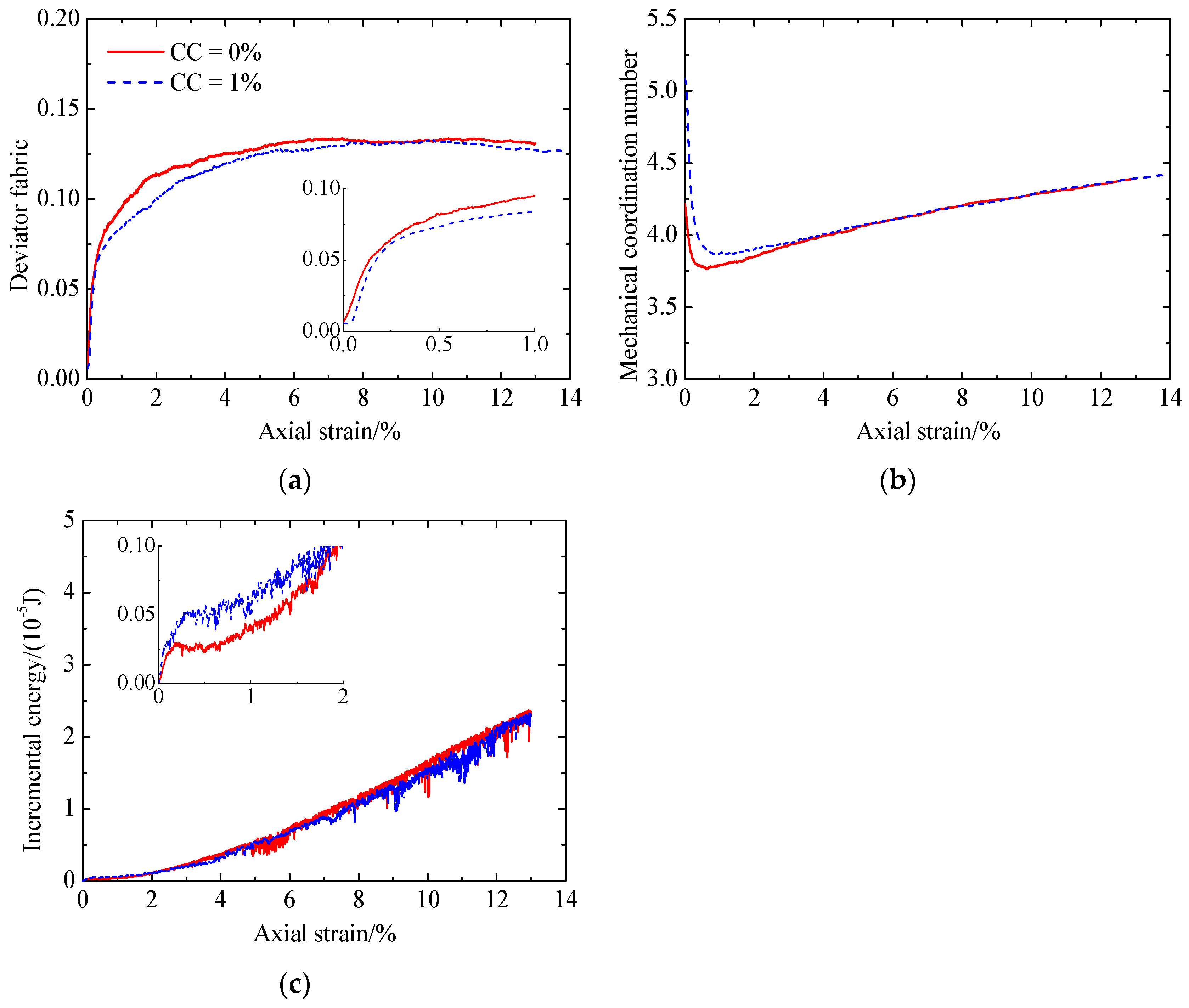
3.5. Micromechanical Response without Liquefaction
3.6. Micromechanical Response after Liquefaction
4. Conclusions
Author Contributions
Funding
Institutional Review Board Statement
Informed Consent Statement
Data Availability Statement
Conflicts of Interest
References
- Santamarina, J.C.; Klein, A.; Fam, M.A. Soils and Waves; John Wiley and Sons: New York, NY, USA, 2001; pp. 25–54. [Google Scholar]
- Mitchell, J.K.; Soga, K. Fundamentals of Soil Behavior, 3rd ed.; John Wiley and Sons: New York, NY, USA, 2005; pp. 5–33. [Google Scholar]
- Chu, J.; Varaksin, S.; Klotz, U.; Mengé, P. Construction processes. State-of-the-art-report. In Proceedings of the 17th International Conference on Soil Mechanics and Geotechnical Engineering, Amsterdam, The Netherlands, 5–9 October 2009. [Google Scholar]
- Kazemian, S.; Huat, B.B.; Arun Prasad, A.P.; Barghchi, M. A review of stabilization of soft soils by injection of chemical grouting. Aust. J. Basic Appl. Sci. 2010, 4, 5862–5868. [Google Scholar]
- Dejong, J.T.; Soga, K.; Kavazanjian, E.; Burns, S.; Van Paassen, L.A.; Al Qabany, A.; Aydilek, A.; Bang, S.S.; Burbank, M.; Caslake, L.F.; et al. Biogeochemical processes and geotechnical applications: Progress, opportunities and challenges. Géotechnique 2013, 63, 287–301. [Google Scholar] [CrossRef]
- Rasouli, H.; Fatahi, B.; Nimbalkar, S. Liquefaction and post-liquefaction assessment of lightly cemented sands. Can. Geotech. J. 2020, 57, 173–188. [Google Scholar] [CrossRef]
- Rasouli, H.; Fatahi, B.; Nimbalkar, S. Re-liquefaction resistance of lightly cemented sands. Can. Geotech. J. 2022, 59, 2085–2101. [Google Scholar] [CrossRef]
- Riveros, G.A.; Sadrekarimi, A. Liquefaction resistance of Fraser River sand improved by a microbially-induced cementation. Soil Dyn. Earthq. Eng. 2020, 131, 106034. [Google Scholar] [CrossRef]
- Lee, M.Y.; Gomez, M.Z.; Kortbawi, M.E.; Ziotopoulou, K. Effect of light biocementation on the liquefaction triggering and post-triggering behavior of loose sands. J. Geotech. Geoenviron. Eng. 2022, 148, 04021170. [Google Scholar] [CrossRef]
- Lee, M.Y.; Gomez, M.Z. Liquefaction triggering and post-triggering behavior of biocemented loose sand. Can. Geotech. J. 2024, 61, 1331–1352. [Google Scholar] [CrossRef]
- Cuccovillo, T.; Coop, M.R. Yielding and pre-failure deformation of structured sands. Géotechnique 1997, 47, 491–508. [Google Scholar] [CrossRef]
- Ismail, M.A.; Joer, H.A.; Randolph, M.F.; Meritt, A. Cementation of porous materials using calcite. Géotechnique 2002, 52, 313–324. [Google Scholar] [CrossRef]
- Xiao, P.; Liu, H.; Xiao, Y.; Stuedlein, A.W.; Evans, T.M. Liquefaction resistance of bio-cemented calcareous sand. Soil Dyn. Earthq. Eng. 2018, 107, 9–19. [Google Scholar] [CrossRef]
- Vranna, A.; Tika, T. Undrained monotonic and cyclic response of weakly cemented sand. J. Geotech. Geoenviron. Eng. 2020, 146, 04020018. [Google Scholar] [CrossRef]
- Tagliaferri, F.; Waller, J.; Andò, E.; Hall, S.A.; Viggiani, G.; B´esuelle, P.; DeJong, J.T. Observing strain localisation processes in bio-cemented sand using x-ray imaging. Granul. Matter 2011, 13, 247–250. [Google Scholar] [CrossRef]
- Terzis, D.; Laloui, L. 3-D micro-architecture and mechanical response of soil cemented via microbial-induced calcite precipitation. Sci. Rep. 2018, 8, 1416. [Google Scholar] [CrossRef] [PubMed]
- Cundall, P.A.; Strack, O.D.L. Discrete numerical model for granular assemblies. Géotechnique 1979, 29, 47–65. [Google Scholar] [CrossRef]
- Wang, R.; Fu, P.C.; Zhang, J.M.; Dafalias, Y.F. DEM study of fabric features governing undrained post-liquefaction shear deformation of sand. Acta Geotech. 2016, 11, 1321–1337. [Google Scholar] [CrossRef]
- Wang, G.; Wei, J.T. Microstructure evolution of granular soils in cyclic mobility and post-liquefaction process. Granul. Matter 2016, 18, 51. [Google Scholar] [CrossRef]
- Huang, X.; Hanley, K.J.; Zhang, Z.X.; Kwok, C.; Xu, M.Z. Jamming analysis on the behaviours of liquefied sand and virgin sand subject to monotonic undrained shearing. Comput. Geotech. 2019, 111, 112–125. [Google Scholar] [CrossRef]
- Yang, S.Y.; Huang, D.R. Fabric evolution and liquefaction resistance in multiple-liquefaction process: A micromechanical study using DEM-clump. Acta Geotech. 2022, 17, 5655–5674. [Google Scholar] [CrossRef]
- Yang, S.Y.; Huang, D.R. Understanding fabric evolution and multiple liquefaction resistance of sands in the presence of initial static shear stress. Soil Dyn. Earthq. Eng. 2023, 171, 107962. [Google Scholar] [CrossRef]
- Zhang, S.; Zhao, Q.S.; Ni, X.Q. Numerical explanation of microscopic/macroscopic behavior of reliquefied sand using 3D DEM with non-spherical particles. Powder Technol. 2023, 417, 118274. [Google Scholar] [CrossRef]
- Zhang, S.; Zhao, Q.S.; Ni, X.Q. Strain-history dependent macro behavior/microscopic fabrics of re-liquefiable sand verified by 3D DEM. Powder Technol. 2023, 426, 118667. [Google Scholar] [CrossRef]
- Zhao, T.; Ye, J.H. 3D DEM Simulation on the reliquefaction behavior of sand considering the effect of reconsolidation degree. J. Earthq. Eng. 2023, 27, 2919–2941. [Google Scholar] [CrossRef]
- Ni, X.Q.; Ma, J.N.; Zhang, F. Mechanism of the variation in axial strain of sand subjected to undrained cyclic triaxial loading explained by DEM with non-spherical particles. Comput. Geotech. 2024, 165, 105846. [Google Scholar] [CrossRef]
- Shen, J.W.; Wang, H.B.; Zhou, B.; Hu, G.Y.; Zhang, X.; Yang, B. Investigation of the effect of microbial-induced calcite precipitation treatment on bio-cemented calcareous sands using discrete element method. Comput. Geotech. 2023, 158, 105365. [Google Scholar] [CrossRef]
- Zhang, F.G.; Jiang, M.J. Do the normal compression lines of cemented and uncemented geomaterials run parallel or converge to each other after yielding? Eur. J. Environ. Civil Eng. 2021, 25, 368–386. [Google Scholar] [CrossRef]
- Wang, Y.H.; Leung, S.C. A particulate-scale investigation of cemented sand behavior. Can. Geotech. J. 2008, 45, 29–44. [Google Scholar] [CrossRef]
- Wu, H.R.; Wu, W.; Liang, W.J.; Dai, F.; Liu, H.L.; Xiao, Y. 3D DEM modeling of biocemented sand with fines as cementing agents. Int. J. Numer. Anal. Meth. Geomech. 2023, 47, 212–240. [Google Scholar] [CrossRef]
- Zhang, F.G.; Wang, C.J.; Chang, J.M.; Feng, H.P. DEM analysis of cyclic liquefaction behaviour of cemented sand. Comput. Geotech. 2022, 142, 104572. [Google Scholar] [CrossRef]
- Yang, P.; Kavazanjian, E.; Neithalath, N. DEM simulations on the influence of carbonate precipitation on liquefaction mitigation of sand. Comput. Geotech. 2023, 162, 105681. [Google Scholar] [CrossRef]
- Shen, Z.F.; Jiang, M.J.; Thornton, C. DEM simulation of bonded granular material: Part I contact model and application to cemented sand. Comput. Geotech. 2016, 75, 192–209. [Google Scholar] [CrossRef]
- Jiang, M.J.; Sun, Y.G.; Li, L.Q.; Zhu, H.H. Contact behavior of idealized granules bonded in two different interparticle distances: An experimental investigation. Mech. Mater. 2012, 55, 1–15. [Google Scholar] [CrossRef]
- Jiang, M.J.; Zhang, A.; Li, T. Distinct element analysis of the microstructure evolution in granular soils under cyclic loading. Granul. Matter 2019, 21, 39. [Google Scholar] [CrossRef]
- Jiang, M.J.; Konrad, J.M.; Leroueil, S. An efficient technique for generating homogeneous specimens for DEM studies. Comput. Geotech. 2003, 30, 579–597. [Google Scholar] [CrossRef]
- Porcino, D.; Marcianò, V.; Granata, R. Cyclic liquefaction behaviour of a moderately cemented grouted sand under repeated loading. Soil Dyn. Earthq. Eng. 2015, 79, 36–46. [Google Scholar] [CrossRef]
- Sitharam, T.; Dash, H.; Jakka, R.S. Postliquefaction undrained shear behavior of sand-silt mixtures at constant void ratio. Int. J. Geomech. 2013, 13, 421–429. [Google Scholar] [CrossRef]
- Satake, M. Fabric tensor in granular materials. In Proceedings of the IUTAM-Conference on Deformation and Failure of Granular Materials, Delft, The Netherlands, 31 August–3 September 1982. [Google Scholar]
- Sazzad, M.M.; Suzuki, K. Density dependent macro-micro behavior of granular materials in general triaxial loading for varying intermediate principal stress using DEM. Granul. Matter 2013, 15, 583–593. [Google Scholar] [CrossRef]
- Thornton, C. Numerical simulations of deviatoric shear deformation of granular media. Géotechnique 2000, 50, 43–53. [Google Scholar] [CrossRef]
- Cundall, P.A.; Drescher, A.; Strack, O.D.L. Numerical experiments on granular assemblies; measurements and observations. In Proceedings of the IUTAM-Conference on Deformation and failure of granular materials, Delft, The Netherlands, 31 August–3 September 1982. [Google Scholar]
























| Contact Type | Parameter | Value |
|---|---|---|
| Particle contact | Elastic modulus (N/m2) | |
| Ratio of the normal stiffness to the tangential stiffness | 5 | |
| Shape coefficient | 0.25 | |
| Coefficient of local crushing | 2.1 | |
| Frictional coefficient | 0.5 | |
| Bond contact | Elastic modulus (N/m2) | |
| Poisson’s ratio | 0.32 | |
| Tensile strength (N/m2) | ||
| Compressive strength (N/m2) | ||
| Critical slenderness ratio | 0.05 | |
| Coefficient of bond radius (CC = 1%) Coefficient of bond radius (CC = 2%) | 0.332 0.39 | |
| Elastic modulus (N/m2) |
| DEM Specimens | Cyclic Stress Ratios | Test Stages |
|---|---|---|
| CC = 0% | 0.125, 0.2 | C, M |
| CC = 0% | 0.1, 0.15 | C |
| CC = 0% | - | M |
| CC = 1% | 0.425, 0.5 | C, M |
| CC = 1% | 0.2, 0.4, 0.45 | C |
| CC = 1% | - | M |
| CC = 2% | 0.55, 0.7 | C, M |
| CC = 2% | 0.5, 0.6, 0.65 | C |
| CC = 2% | - | M |
Disclaimer/Publisher’s Note: The statements, opinions and data contained in all publications are solely those of the individual author(s) and contributor(s) and not of MDPI and/or the editor(s). MDPI and/or the editor(s) disclaim responsibility for any injury to people or property resulting from any ideas, methods, instructions or products referred to in the content. |
© 2024 by the authors. Licensee MDPI, Basel, Switzerland. This article is an open access article distributed under the terms and conditions of the Creative Commons Attribution (CC BY) license (https://creativecommons.org/licenses/by/4.0/).
Share and Cite
Zhang, F.; Chen, C.; Feng, H. Exploring the Macroscopic Behavior and Microstructure Evolution of Lightly Cemented Sand in the Post-Liquefaction Process Using DEM. Materials 2024, 17, 3721. https://doi.org/10.3390/ma17153721
Zhang F, Chen C, Feng H. Exploring the Macroscopic Behavior and Microstructure Evolution of Lightly Cemented Sand in the Post-Liquefaction Process Using DEM. Materials. 2024; 17(15):3721. https://doi.org/10.3390/ma17153721
Chicago/Turabian StyleZhang, Fuguang, Cheng Chen, and Huaiping Feng. 2024. "Exploring the Macroscopic Behavior and Microstructure Evolution of Lightly Cemented Sand in the Post-Liquefaction Process Using DEM" Materials 17, no. 15: 3721. https://doi.org/10.3390/ma17153721
APA StyleZhang, F., Chen, C., & Feng, H. (2024). Exploring the Macroscopic Behavior and Microstructure Evolution of Lightly Cemented Sand in the Post-Liquefaction Process Using DEM. Materials, 17(15), 3721. https://doi.org/10.3390/ma17153721
