Preparation and Properties of Polyaniline/Hydroxypropyl Methylcellulose Composite Conductive Thin Films
Abstract
1. Introduction
2. Experimental Section
2.1. Raw Materials
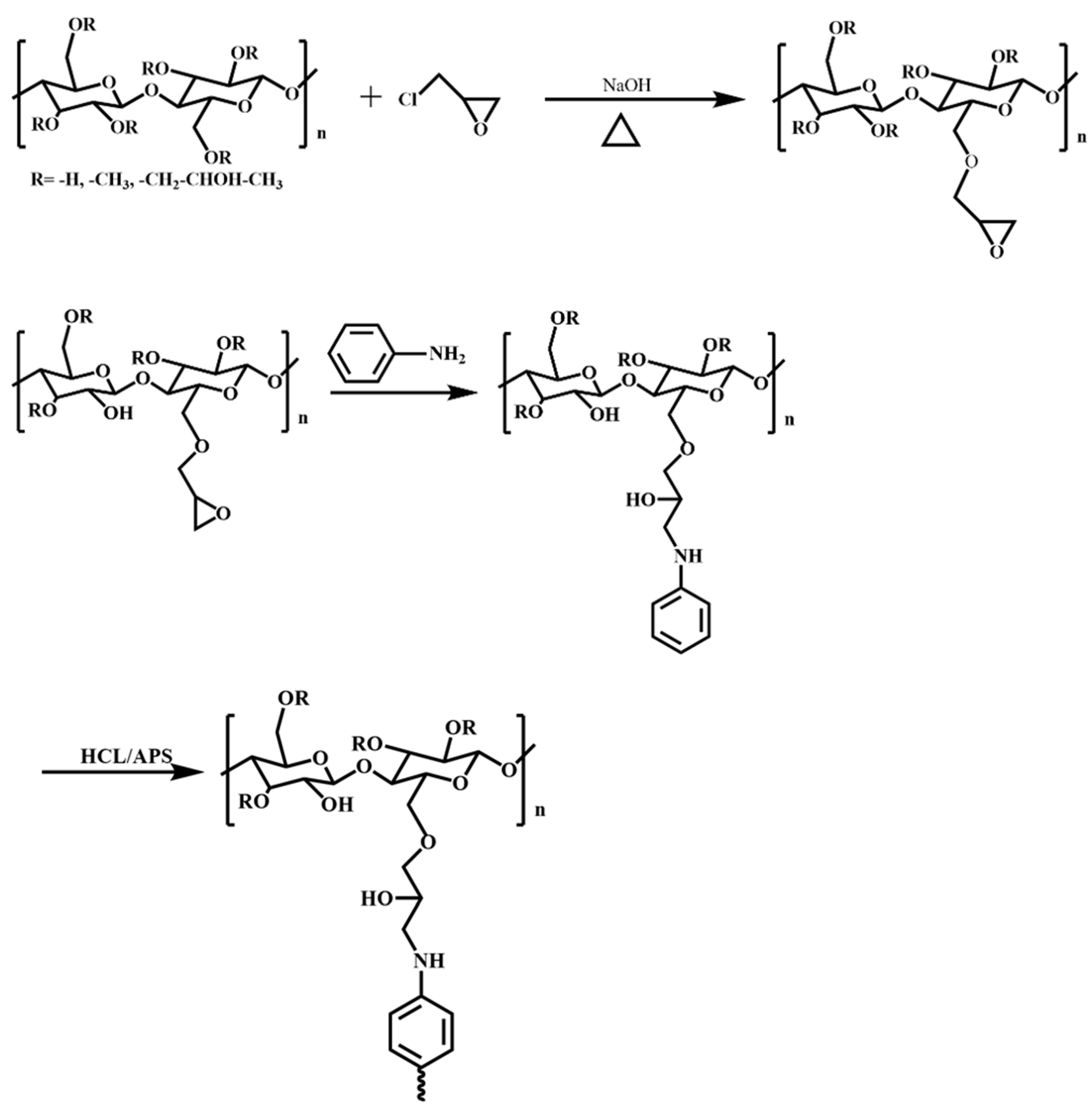
2.2. Preparation of EHPMC-g-PANI and HPMC/PANI Dispersions
2.3. Preparation of EHPMC-g-PANI and HPMC/PANI Films
3. Measurements
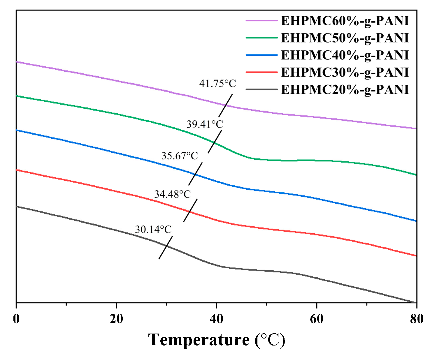
4. Results and Discussion
5. Conclusions
Author Contributions
Funding
Institutional Review Board Statement
Informed Consent Statement
Data Availability Statement
Conflicts of Interest
References
- Fei, G.; Wang, Y.; Wang, H.; Ma, Y.; Guo, Q.; Huang, W.; Yang, D.; Shao, Y.; Ni, Y. Fabrication of bacterial cellulose/polyaniline nanocomposite paper with excellent conductivity, strength, and flexibility. ACS Sustain. Chem. Eng. 2019, 7, 8215–8225. [Google Scholar] [CrossRef]
- Beygisangchin, M.; Abdul Rashid, S.; Shafie, S.; Sadrolhosseini, A.; Lim, H. Preparations, properties, and applications of polyaniline and polyaniline thin films—A review. Polymers 2021, 13, 2003. [Google Scholar] [CrossRef]
- Saeb, M.R.; Zarrintaj, P.; Khandelwal, P.; Chauhan, N.P.S. Synthetic route of polyaniline (I): Conventional oxidative polymerization. In Fundamentals and Emerging Applications of Polyaniline; Elsevier: Amsterdam, The Netherlands, 2019; pp. 17–41. [Google Scholar] [CrossRef]
- Gao, F.; Mu, J.; Bi, Z.; Wang, S.; Li, Z. Recent advances of polyaniline composites in anticorrosive coatings: A review. Progress in Organic Coatings 2021, 151, 106071. [Google Scholar] [CrossRef]
- Zhang, W.; Zhang, X.; Wu, Z.; Abdurahman, K.; Cao, Y.; Duan, H.; Jia, D. Mechanical, electromagnetic shielding and gas sensing properties of flexible cotton fiber/polyaniline composites. Compos. Sci. Technol. 2020, 188, 107966. [Google Scholar] [CrossRef]
- Kumar, V.; Mirzaei, A.; Bonyani, M.; Kim, K.-H.; Kim, H.W.; Kim, S.S. Advances in electrospun nanofiber fabrication for polyaniline (PANI)-based chemoresistive sensors for gaseous ammonia. Trends Anal. Chem. 2020, 129, 115938. [Google Scholar] [CrossRef]
- Xu, G.; Zhang, L.; Wang, B.; Ren, Z.; Chen, X.; Dou, S.; Ren, F.; Wei, H.; Li, X.; Li, Y. Doping engineering of the flexible polyaniline electrochromic material through H2SO4–HClO4 multiple acids for the radiation regulation in snow environment. J. Mater. Chem. C 2020, 8, 13336–13341. [Google Scholar] [CrossRef]
- Li, J.-W.; Zhou, Y.; Xu, J.; Gao, F.; Si, Q.-K.; Wang, J.-Y.; Zhang, F.; Wang, L.-P. Water-Soluble and degradable Gelatin/Polyaniline assemblies with a high photothermal conversion efficiency for pH-Switchable precise photothermal therapy. ACS Appl. Mater. Interfaces 2022, 14, 52670–52683. [Google Scholar] [CrossRef]
- Beygisangchin, M.; Baghdadi, A.H.; Kamarudin, S.K.; Rashid, S.A.; Jakmunee, J.; Shaari, N. Recent progress in polyaniline and its composites; Synthesis, properties, and applications. Eur. Polym. J. 2024, 210, 112948. [Google Scholar] [CrossRef]
- Wang, Y.; Hu, B.; Luo, J.; Gu, Y.; Liu, X. Synthesis of polyaniline@ MnO2/graphene ternary hybrid hollow spheres via pickering emulsion polymerization for electrochemical supercapacitors. ACS Appl. Energy Mater. 2021, 4, 7721–7730. [Google Scholar] [CrossRef]
- Zhang, Y.; Yang, Z.; Pan, T.; Gao, H.; Guan, H.; Xu, J.; Zhang, Z. Construction of natural fiber/polyaniline core-shell heterostructures with tunable and excellent electromagnetic shielding capability via a facile secondary doping strategy. Compos. Part A Appl. Sci. Manuf. 2020, 137, 105994. [Google Scholar] [CrossRef]
- Wang, M.; Yun, H.; Tan, K.; Guo, A.; Ling, J.; Jiang, F.; Shen, X.; Xu, Q. One-step electrochemical synthesis of poly (vinyl pyrrolidone) modified polyaniline coating on stainless steel for high corrosion protection performance. Prog. Org. Coat. 2020, 149, 105908. [Google Scholar] [CrossRef]
- Jiao, S.; Wang, Y.; Xiao, Y.; Han, Y.; Li, T.; Ma, Y. Influence of the aniline concentration on the morphology and property of polyaniline nanotubes and their polymerization mechanism. High Perform. Polym. 2024, 36, 09540083241246499. [Google Scholar] [CrossRef]
- Miraqyan, N.; Durgaryan, R.; Durgaryan, N. Synthesis and investigation of methyl and methoxy groups containing polyaniline derivatives in organic medium. Polym. Bull. 2024, 1–15. [Google Scholar] [CrossRef]
- Atia, S.; Zeggagh, K.; Hadjout, S.; Etxeberria, A.; Benabdelghani, Z. Enhancement of semiconducting and thermomechanical properties of materials based on polyaniline and polyvinylpyrrolidone. J. Polym. Res. 2022, 29, 138. [Google Scholar] [CrossRef]
- Babel, V.; Hiran, B.L. A review on polyaniline composites: Synthesis, characterization, and applications. Polym. Compos. 2021, 42, 3142–3157. [Google Scholar] [CrossRef]
- Lim, C.; Song, Y.H.; Song, Y.; Seo, J.H.; Hwang, D.S.; Lee, D.W. Adaptive amphiphilic interaction mechanism of hydroxypropyl methylcellulose in water. Appl. Surf. Sci. 2021, 565, 150535. [Google Scholar] [CrossRef]
- Qiao, X.; Fang, K.; Liu, X.; Gong, J.; Zhang, S.; Wang, J.; Zhang, M.; Sun, F. High viscosity hydroxypropyl methyl cellulose to improve inkjet printing for cotton/polyamide fabrics. Ind. Crops Prod. 2023, 191, 115907. [Google Scholar] [CrossRef]
- Vieira, A.C.F.; da Mantos Fonseca, J.; Menezes, N.M.C.; Monteiro, A.R.; Valencia, G.A. Active coatings based on hydroxypropyl methylcellulose and silver nanoparticles to extend the papaya (Carica papaya L.) shelf life. Int. J. Biol. Macromol. 2020, 164, 489–498. [Google Scholar] [CrossRef]
- Jin, C.; Wu, F.; Hong, Y.; Shen, L.; Lin, X.; Zhao, L.; Feng, Y. Updates on applications of low-viscosity grade Hydroxypropyl methylcellulose in coprocessing for improvement of physical properties of pharmaceutical powders. Carbohydr. Polym. 2023, 311, 120731. [Google Scholar] [CrossRef]
- Zhou, N.; Wang, L.; You, P.; Wang, L.; Mu, R.; Pang, J. Preparation of pH-sensitive food packaging film based on konjac glucomannan and hydroxypropyl methyl cellulose incorporated with mulberry extract. Int. J. Biol. Macromol. 2021, 172, 515–523. [Google Scholar] [CrossRef]
- Li, D.; Wang, L.; Ji, W.; Wang, H.; Yue, X.; Sun, Q.; Li, L.; Zhang, C.; Liu, J.; Lu, G.; et al. Embedding silver nanowires into a hydroxypropyl methyl cellulose film for flexible electrochromic devices with high electromechanical stability. ACS Appl. Mater. Interfaces 2020, 13, 1735–1742. [Google Scholar] [CrossRef]
- Yudaev, P.A.; Tamboura, B.; Chistyakov, E.M. Antistatic polymer materials. Nanotekhnol. Stroit. 2023, 15, 139–151. [Google Scholar] [CrossRef]
- Hua, Y.; Liu, C.; Tang, Y. Conductive and antibacterial films by loading reduced graphene oxide/silver nanoparticles on cellulose nanofiber films. Int. J. Biol. Macromol. 2023, 242, 124752. [Google Scholar] [CrossRef]
- Al-Harbi, L.M.; Alsulami, Q.A.; Farea, M.; Rajeh, A. Tuning optical, dielectric, and electrical properties of Polyethylene oxide/Carboxymethyl cellulose doped with mixed metal oxide nanoparticles for flexible electronic devices. J. Mol. Struct. 2023, 1272, 134244. [Google Scholar] [CrossRef]
- Huang, M.; Tang, Y.; Wang, X.; Zhu, P.; Chen, T.; Zhou, Y. Preparation of polyaniline/cellulose nanocrystal composite and its application in surface coating of cellulosic paper. Prog. Org. Coat. 2021, 159, 106452. [Google Scholar] [CrossRef]
- GB/T 13022-1991; Plastics--Determination of Tensile Properties of Films. The State Bureau of Quality and Technical Supervision: Beijing, China, 1991.
- Yu, C.; Lu, Y.; Pang, J. A hemostatic sponge derived from chitosan and hydroxypropyl methylcellulose. J. Mech. Behav. Biomed. Mater. 2024, 150, 106240. [Google Scholar] [CrossRef] [PubMed]
- Varghese, A.; Kr, S.D.; Pinheiro, D. Rational design of PANI incorporated PEG capped CuO/TiO2 for electrocatalytic hydrogen evolution and supercapattery applications. Int. J. Hydrogen Energy 2023, 48, 29552–29564. [Google Scholar] [CrossRef]
- Wang, S.; Xiong, P.; Liu, X.; Meng, F.; Ma, Q.; Song, C.; Zhang, Q.; Che, Y. A hydroxypropyl methyl cellulose-based graft copolymer with excellent thermothickening and anti-salt ability for enhanced oil recovery. Energy Fuels 2022, 36, 2488–2502. [Google Scholar] [CrossRef]
- Mohsin, M.E.A.; Shrivastava, N.K.; Arsad, A.; Basar, N.; Hassan, A. The Effect of pH on the preparation of electrically conductive and physically stable PANI/sago blend film via in situ polymerization. Front. Mater. 2020, 7, 20. [Google Scholar] [CrossRef]
- Nepomuceno, N.; Seixas, A.; Medeiros, E.; Mélo, T. Evaluation of conductivity of nanostructured polyaniline/cellulose nanocrystals (PANI/CNC) obtained via in situ polymerization. J. Solid State Chem. 2021, 302, 122372. [Google Scholar] [CrossRef]
- Maeda, V.C.; Correa, C.M.; Hamanaka, M.H.M.O.; Hamanaka, V.N.; Molina, C.; Camilo, F.F. Electrical and mechanical properties of self-supported hydroxypropyl methylcellulose–polyaniline conducting films. RSC Adv. 2023, 13, 7913–7920. [Google Scholar] [CrossRef] [PubMed]











Disclaimer/Publisher’s Note: The statements, opinions and data contained in all publications are solely those of the individual author(s) and contributor(s) and not of MDPI and/or the editor(s). MDPI and/or the editor(s) disclaim responsibility for any injury to people or property resulting from any ideas, methods, instructions or products referred to in the content. |
© 2024 by the authors. Licensee MDPI, Basel, Switzerland. This article is an open access article distributed under the terms and conditions of the Creative Commons Attribution (CC BY) license (https://creativecommons.org/licenses/by/4.0/).
Share and Cite
Cao, X.; Wang, Y.; Zhang, Y.; Qian, Z.; Jiang, G. Preparation and Properties of Polyaniline/Hydroxypropyl Methylcellulose Composite Conductive Thin Films. Materials 2024, 17, 2687. https://doi.org/10.3390/ma17112687
Cao X, Wang Y, Zhang Y, Qian Z, Jiang G. Preparation and Properties of Polyaniline/Hydroxypropyl Methylcellulose Composite Conductive Thin Films. Materials. 2024; 17(11):2687. https://doi.org/10.3390/ma17112687
Chicago/Turabian StyleCao, Xu, Yinqiu Wang, Yu Zhang, Zenghui Qian, and Guodong Jiang. 2024. "Preparation and Properties of Polyaniline/Hydroxypropyl Methylcellulose Composite Conductive Thin Films" Materials 17, no. 11: 2687. https://doi.org/10.3390/ma17112687
APA StyleCao, X., Wang, Y., Zhang, Y., Qian, Z., & Jiang, G. (2024). Preparation and Properties of Polyaniline/Hydroxypropyl Methylcellulose Composite Conductive Thin Films. Materials, 17(11), 2687. https://doi.org/10.3390/ma17112687
