Study on Fatigue Crack Growth in Rail Steel at Numerical and Experimental Approaches
Abstract
1. Introduction
2. Wheel–Rail Model Establishment
3. Tests and Methods
3.1. Materials and Specimens
3.2. Fatigue Test
3.3. Method for Calculating ΔK
4. Results and Discussion
4.1. Microstructure Analysis
4.2. Crack Tip Plastic Zone Characterization Analysis
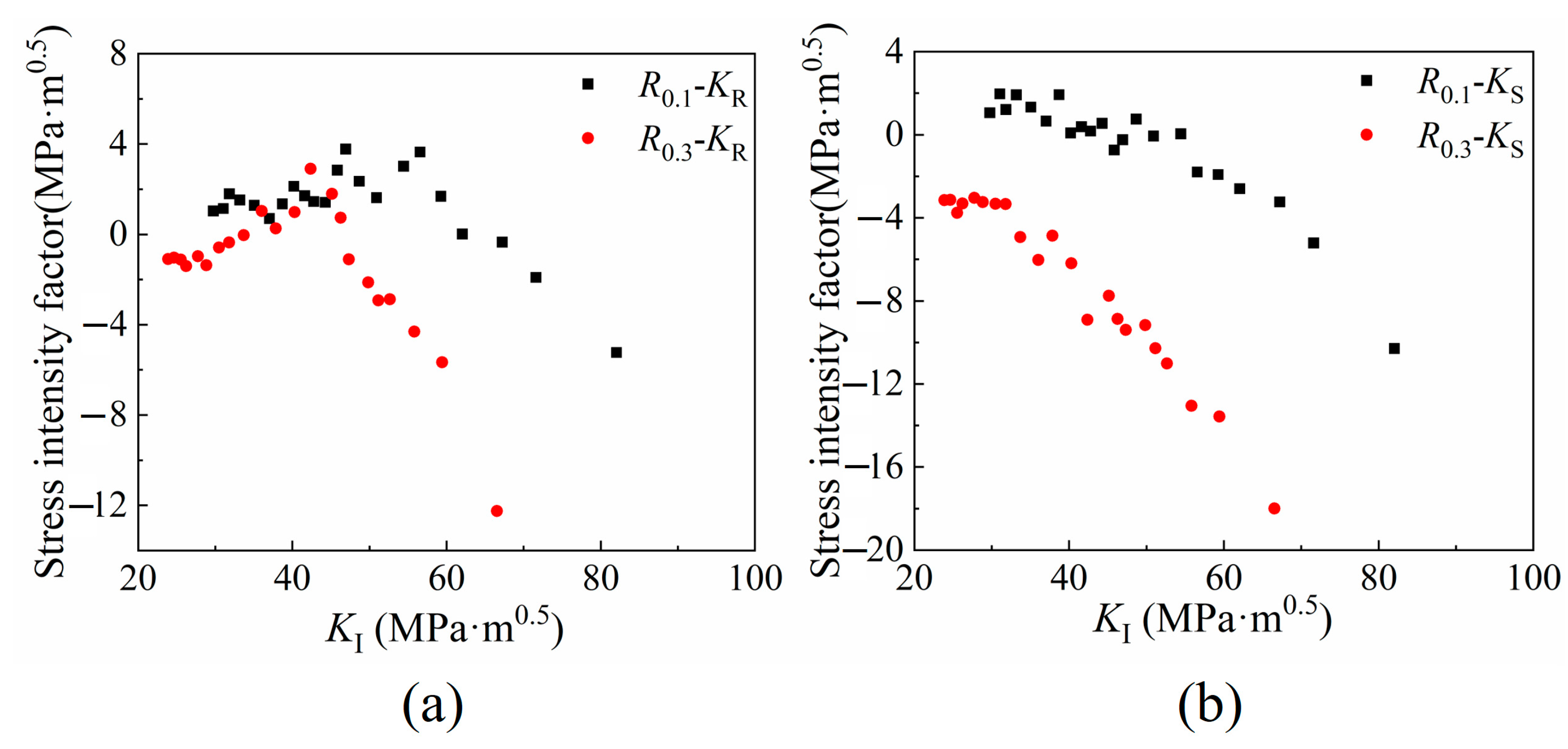
4.3. Characterization of Crack Tip SIF
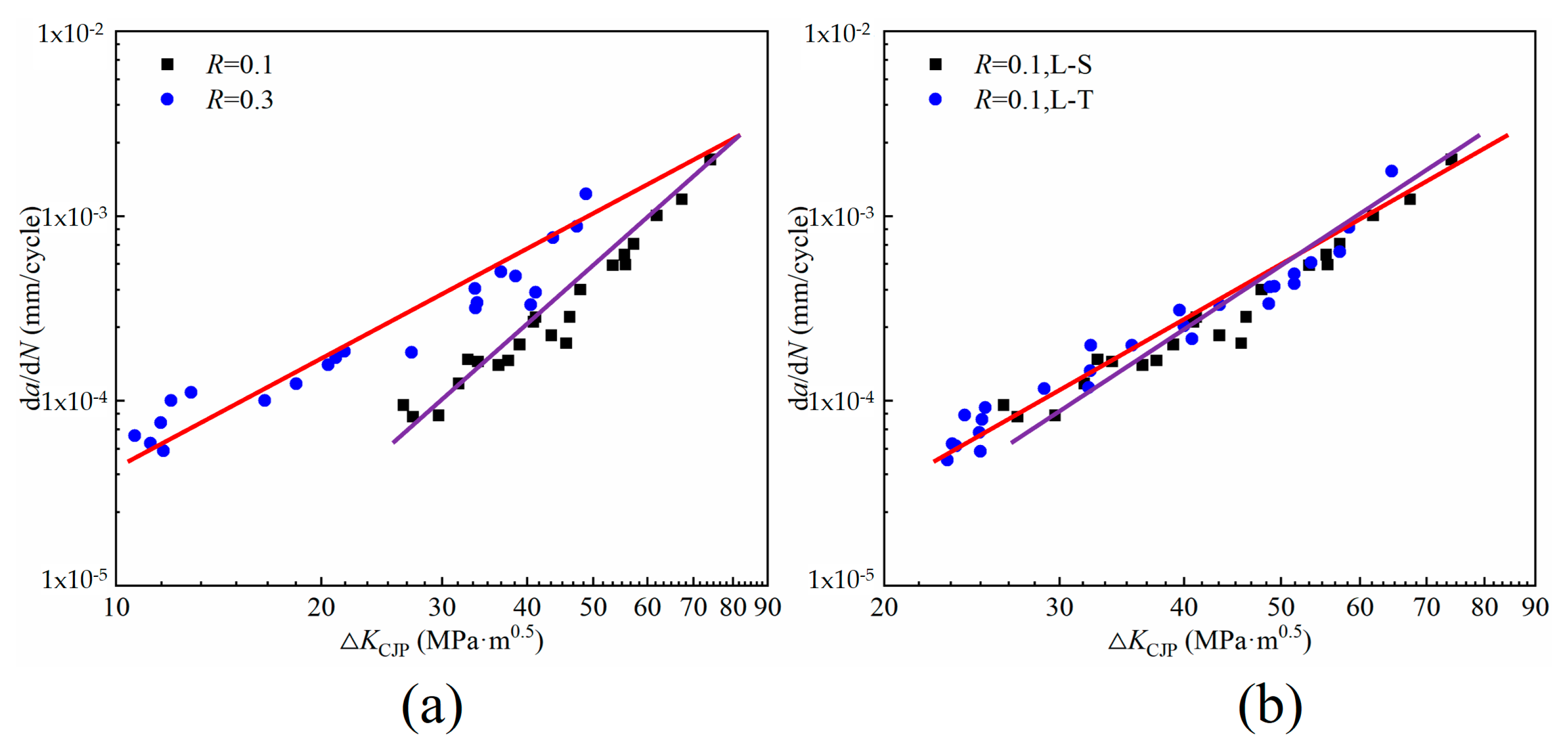
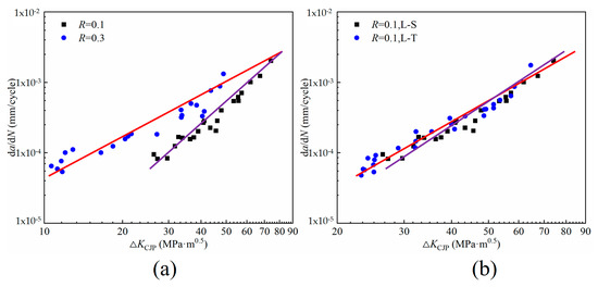
4.4. Crack Growth Rate
5. Conclusions
- The maximum value of stress of the wheel–rail static contact and rolling contact is in the subsurface of the rail, the stress level of the rail in the rolling contact state is higher than that in the static contact state and the stress distribution of the longitudinal surface layer of the rail changes under the influence of wheel rolling, which lays a foundation for the sampling and loading method of the rail fatigue test and verifies the rationality of the test.
- The grain size in the L–T direction is smaller than that in the L–S direction. The finer the grain, the more times the direction needs to be changed in the crack propagation path, the greater the energy consumption and the lower the crack propagation rate.
- The CJP model can well describe the contour of the experimental plastic zone. The CJP model can well characterize the influence of the crack tip compatible stress and crack closure effect on crack propagation under different stress ratios.
- The crack growth rate curve under the high-stress ratio moves to the left relative to the low-stress ratio, and the difference in grain size leads to the similarities and differences in crack growth rate.
Author Contributions
Funding
Institutional Review Board Statement
Informed Consent Statement
Data Availability Statement
Conflicts of Interest
References
- Gao, W.; Qin, F.; Jin, T.; Xie, G. Analysis of fatigue crack initiation and propagation of U71 Mn rail in service. J. Hunan Univ. Nat. Sci. Ed. 2017, 44, 6. [Google Scholar]
- Li, Q. Fracture Mechanics and Its Engineering Application; Harbin Engineering University Press: Harbin, China, 2008. [Google Scholar]
- Irwin, G.R. Analysis of Stresses and Strains Near End of a Crack Traversing a Plate. J. Appl. Mech. 1956, 24, 361–364. [Google Scholar] [CrossRef]
- Dugdale, D.S. Yielding of steel sheets containing slits. J. Mech. Phys. Solids 1960, 8, 100–104. [Google Scholar] [CrossRef]
- Elber, W. The significance of fatigue crack closure. In Damage Tolerance in Aircraft Structures; ASTM STP 486; American Society for Testing and Materials: West Conshohocken, PA, USA, 1971; pp. 230–242. [Google Scholar]
- Christopher, C.J.; James, M.N.; Patterson, E.A.; Tee, K.F. Towards a new model of crack tip stress fields. Int. J. Fract. 2007, 148, 361. [Google Scholar] [CrossRef]
- James, M.N.; Christopher, C.J.; Lu, Y.; Patterson, E.A. The plastic ‘inclusion’ as a bridge between local crack plasticity and the global elastic field. Giornata Igf Forni Sopra 2011, 178–184. [Google Scholar]
- Pacey, M.N.; Patterson, E.A.; James, M.N. A photoelastic technique for characterizing fatigue crack closure and the effective stress intensity factor. Soc. Res. 2001, 21, 85–106. [Google Scholar]
- Pacey, M.N.; James, M.N.; Patterson, E.A. A new photoelastic model for studying fatigue crack closure. Exp. Mech. 2005, 45, 42–52. [Google Scholar] [CrossRef]
- Vasco-Olmo, J.M.; Díaz, F.A.; García-Collado, A.; Dorado-Vicente, R. Experimental evaluation of crack shielding during fatigue crack growth using digital image correlation. Fatigue Fract. Eng. Mater. Struct. 2015, 38, 223–237. [Google Scholar] [CrossRef]
- Chen, Y.C.; Lee, S.Y. Elastic-plastic wheel-rail thermal contact on corrugated rails during wheel braking. J. Tribol. 2009, 131, 011401. [Google Scholar] [CrossRef]
- Zhao, X.; Wang, Z.; Wen, Z.; Wang, H.; Zeng, D. The initiation of local rolling contact fatigue on railway wheels: An experimental study. Int. J. Fatigue 2020, 132, 105354. [Google Scholar] [CrossRef]
- Kalker, J. Three-Dimensional Elastic Bodies in Rolling Contact; Kluwer Academic Publishers: Dordrecht, The Netherlands, 1990. [Google Scholar]
- Ajuboori, A.; Zhu, H.; Wexler, D. Characterisation of white etching layers formed on rails subjected to different traffic conditions. Wear 2019, 436, 202998. [Google Scholar] [CrossRef]
- James, M.; Christopher, C.; Lu, Y.; Patterson, E. Fatigue crack growth and craze-induced crack tip shielding in polycarbonate. Polymer 2012, 53, 1558–1570. [Google Scholar] [CrossRef]
- James, M.; Christopher, C.; Lu, Y.; Patterson, E. Local crack plasticity and its influences on the global elastic stress field. International J. Fatigue 2013, 46, 4–15. [Google Scholar] [CrossRef]
- Zhuo, T.; Vollertsen, F. Influence of grain refinement on hot cracking in laser welding of aluminum. Weld. World 2014, 58, 355–366. [Google Scholar]
- Meng, X.; Yang, S.; Huang, Y.; Fang, Y.; Gu, J.; Xiong, Q.; Duan, C. Microstructure characterization and mechanism of fatigue crack propagation of 6082 aluminum alloy joints. Mater. Chem. Phys. 2020, 257, 123734. [Google Scholar] [CrossRef]
- Abdulstaar, M.A.; Al-Fadhalah, K.J.; Wagner, L. Microstructural variation through weld thickness and mechanical properties of peened friction stir welded 6061 aluminum alloy joints. Mater. Charact. 2017, 126, 64–73. [Google Scholar] [CrossRef]
- Di Carolo, F.; Palumbo, D.; De Finis, R.; Vasco-Olmo, J.; Díaz, F.; Galietti, U. Investigation of the plastic zone around the crack tip in small-scale pure Titanium specimens by means of Thermal Signal Analysis and Digital Image Correlation. IOP Conf. Ser. Mater. Sci. Eng. 2021, 1038, 012011. [Google Scholar] [CrossRef]
- Díaz, F.; Vasco-Olmo, J.; López-Alba, E.; Felipe-Sesé, L.; Molina-Viedma, J.; Nowell, D. Experimental evaluation of effective stress intensity factor using thermoelastic stress analysis and digital image correlation. Int. J. Fatigue 2020, 135, 105567. [Google Scholar] [CrossRef]
- James, M.N.; Vasco-Olmo, J.M.; Díaz, F.A.; Antunes, F.V.; Bing, Y.; Huang, Y. Characterisation of fatigue crack growth using the CJP model of crack tip fields or plastic CTOD-ScienceDirect. Procedia Struct. Integr. 2019, 23, 613–619. [Google Scholar] [CrossRef]
- Vasco-Olmo, J.; Díaz, F.; James, M.; Yang, B. Crack tip plastic zone evolution during an overload cycle and the contribution of plasticity-induced shielding to crack growth rate changes. Fatigue Fract. Eng. Mater. Struct. 2018, 41, 2172–2186. [Google Scholar] [CrossRef]
- Yang, B.; Wei, Z.; Díaz, F.; Liao, Z.; James, M. New algorithm for optimised fitting of DIC data to crack tip plastic zone using the CJP model. Theor. Appl. Fract. Mech. 2021, 113, 102950. [Google Scholar] [CrossRef]
- Zhou, R.Z.; Liu, G.T. On the truncation error of the main term in the expansion of Williams complex characteristics. J. Fuzhou Univ. 1986, 2, 89–100. (In Chinese) [Google Scholar]
- Vasco-Olmo, J.M.; James, M.N.; Christopher, C.; Patterson, E.A.; Díaz, F.A. Assessment of crack tip plastic zone size and shape and its influence on crack tip shielding. Fatigue Fract. Eng. Mater. Struct. 2016, 39, 969–981. [Google Scholar] [CrossRef]
- Ostash, O.P.; Andreiko, I.; Kulyk, V.; Babachenko, A.; Vira, V.V. Influence of the mode of thermal treatment and load ratio on the cyclic crack-growth resistance of wheel steels. Mater. Sci. 2009, 45, 211–219. [Google Scholar] [CrossRef]
- Ostash, O.P.; Panasyuk, V.V.; Andreiko, I.M.; Chepil’, R.V.; Kulyk, V.V.; Vira, V.V. Methods for the construction of the diagrams of fatigue crack-growth rate of materials. Mater. Sci. 2007, 43, 479–491. [Google Scholar] [CrossRef]
- Yang, B.; Wei, Z.J.; Liao, Z.; Xiao, S.; Yang, G.; Zhu, T.; Wang, M.; Deng, Y. Effect of single-peak overload on crack closure effect of industrial pure titanium CT specimens. J. Mech. Eng. 2021, 57, 169–178. (In Chinese) [Google Scholar]
- Yang, B.; James, M.N. Fatigue crack growth rate curve and application method based on CJP model. J. Mech. Eng. 2018, 54, 76–84. (In Chinese) [Google Scholar] [CrossRef]














| C | Si | Mn | P | S | Cr | V | Al |
|---|---|---|---|---|---|---|---|
| 0.65–0.76 | 0.15–0.58 | 0.70–1.20 | <0.03 | <0.025 | - | - | <0.01 |
| Elastic Modulus | Ultimate Tensile Strength | Yield Strength | Elongation | Poisson Ratio |
|---|---|---|---|---|
| E/MPa | σb/MPa | σs/MPa | δ (%) | 𝜐 |
| 210,000 | ≥880 | 780 | ≥10 | 0.28 |
Disclaimer/Publisher’s Note: The statements, opinions and data contained in all publications are solely those of the individual author(s) and contributor(s) and not of MDPI and/or the editor(s). MDPI and/or the editor(s) disclaim responsibility for any injury to people or property resulting from any ideas, methods, instructions or products referred to in the content. |
© 2023 by the authors. Licensee MDPI, Basel, Switzerland. This article is an open access article distributed under the terms and conditions of the Creative Commons Attribution (CC BY) license (https://creativecommons.org/licenses/by/4.0/).
Share and Cite
Yang, B.; Wang, S.; Li, J.; Ding, X.; Xiao, Q.; Xiao, S. Study on Fatigue Crack Growth in Rail Steel at Numerical and Experimental Approaches. Materials 2023, 16, 2981. https://doi.org/10.3390/ma16082981
Yang B, Wang S, Li J, Ding X, Xiao Q, Xiao S. Study on Fatigue Crack Growth in Rail Steel at Numerical and Experimental Approaches. Materials. 2023; 16(8):2981. https://doi.org/10.3390/ma16082981
Chicago/Turabian StyleYang, Bing, Shuancheng Wang, Jian Li, Xianwang Ding, Qian Xiao, and Shoune Xiao. 2023. "Study on Fatigue Crack Growth in Rail Steel at Numerical and Experimental Approaches" Materials 16, no. 8: 2981. https://doi.org/10.3390/ma16082981
APA StyleYang, B., Wang, S., Li, J., Ding, X., Xiao, Q., & Xiao, S. (2023). Study on Fatigue Crack Growth in Rail Steel at Numerical and Experimental Approaches. Materials, 16(8), 2981. https://doi.org/10.3390/ma16082981
