You are currently viewing a new version of our website. To view the old version click .
Materials
  • Editor’s Choice
  • Article
  • Open Access

20 February 2023

Characterization of Ruddlesden-Popper La2−xBaxNiO4±δ Nickelates as Potential Electrocatalysts for Solid Oxide Cells

,
and
Department of Materials and Ceramic Engineering, CICECO—Aveiro Institute of Materials, University of Aveiro, 3810-193 Aveiro, Portugal
*
Authors to whom correspondence should be addressed.
This article belongs to the Section Materials Chemistry

Abstract

Ruddlesden-Popper La2−xBaxNiO4±δ (x = 0–1.1) nickelates were prepared by a glycine-nitrate combustion route combined with high-temperature processing and evaluated for potential application as electrocatalysts for solid oxide cells and electrochemical NOx elimination. The characterization included structural, microstructural and dilatometric studies, determination of oxygen nonstoichiometry, measurements of electrical conductivity and oxygen permeability, and assessment of chemical compatibility with other materials. The formation range of phase-pure solid solutions was found to be limited to x = 0.5. Exceeding this limit leads to the co-existence of the main nickelate phase with low-melting Ba- and Ni-based secondary phases responsible for a strong reactivity with Pt components in experimental cells. Acceptor-type substitution of lanthanum by barium in La2−xBaxNiO4+δ is charge-compensated by decreasing oxygen excess, from δ ≈ 0.1 for x = 0 to nearly oxygen-stoichiometric state for x = 0.5 at 800 °C in air, and generation of electron-holes (formation of Ni3+). This leads to an increase in p-type electronic conductivity (up to ~80 S/cm for highly porous La1.5Ba0.5NiO4+δ ceramics at 450–900 °C) and a decline of oxygen-ionic transport. La2−xBaxNiO4+δ (x = 0–0.5) ceramics exhibit moderate thermal expansion coefficients, 13.8–14.3 ppm/K at 25–1000 °C in air. These ceramic materials react with yttria-stabilized zirconia at 700 °C with the formation of an insulating La2Zr2O7 phase but show good chemical compatibility with BaZr0.85Y0.15O3−δ solid electrolyte.

1. Introduction

The decomposition of hazardous NOx gases, which are formed under lean combustion conditions (mostly NO (90–95%) and NO2 (5–10%)), remains a significant problem due to the passivation of traditional three-way catalysts by oxygen. In the case of stoichiometric combustion conditions, the composition of exhaust gases containing unreacted and hazardous substances can be brought to thermodynamic equilibrium by a catalyst, with the formation of H2O, CO2, and N2. The presence of oxygen in exhaust gases makes it difficult to reduce NOx to nitrogen; reducing agents, CO, and unburned hydrocarbons react predominantly with oxygen, and the active sites of catalysts are occupied by oxygen species. Direct thermal decomposition of NO is thermodynamically favorable but limited by kinetics and high activation energy of decomposition [1,2].
There are several approaches to reduce nitrogen oxide in the presence of oxygen in exhaust gases. Selective Catalytic Reduction systems using ammonia and urea as reductants are commercialized and widely used for stationary applications and heavy-duty vehicles. Implementing these systems in light vehicles and domestic gas-based water heaters introduces complexity and excessive cost. A promising alternative way to avoid additional chemicals is a combination of NOx storage with electrochemical reduction using a solid oxide electrolyte cell. In the 1970s, it was shown that a solid oxide cell with Pt electrodes and yttria-stabilized zirconia (YSZ) membrane as an electrolyte is capable of reducing NO to nitrogen with a high conversion rate [3,4]. Cathodic polarization makes it possible to overcome the potential barrier of NO decomposition and refresh surface oxygen vacancies acting as catalytically active sites. However, passivation by oxygen remained relevant for electrochemical cells due to competition between NO and O2 reduction. Conversion efficiency has been improved in more recent studies by replacing the Pt electrodes with oxide mixed ionic-electronic conductors (MIECs), impregnating electrodes with BaO/K2O storage materials, and pre-oxidizing NO to NO2 on additional catalyst [5,6,7,8]. Pre-oxidation is a key factor as NO2 is readily absorbed by storage material and, consequently, NOx selectivity increases. Recent research on electrochemical NOx reduction focuses on developing selective electrode materials able to oxidize/store/reduce NOx in the presence of up to 15 vol.% of oxygen.
Potentially, Ba-containing MIEC oxides may perform the function of oxidation/storage/reduction during redox cycles in a solid oxide cell without impregnation with storage materials and the use of an additional oxidation catalyst. The catalytic activity of transition-metal-based LaMO3 perovskites to NOx decomposition is known to increase in the order M = Cr < Fe < Mn < Co < Ni [9,10]. Taking this into account, perovskite-related La2−xBaxNiO4±δ nickelates with layered Ruddlesden-Popper structure seem to be a promising choice for electrochemical reduction application. These ceramic materials impregnated with BaCO3/BaO were demonstrated to exhibit catalytic activity for direct thermal decomposition of NO even in the presence of 2% of oxygen [11]. The highest conversion efficiency of a gas mixture containing 4% NO and 2% O2 was found for La1.2Ba0.8NiO4±δ. The origin of catalytic activity was attributed to the formation of oxygen vacancies and Ni2+/3+ redox couples induced by acceptor-type substitution of lanthanum by barium. Both factors are assumed to be responsible for lowering the activation energy of decomposition by the formation of intermediate complexes, in addition to the basic nature of Ba-containing ceramics which helps to adsorb acidic NOx gases [11,12].
La2NiO4+δ (where δ is oxygen nonstoichiometry) and its derivatives are attractive MIEC electrode materials for solid oxide fuel and electrolysis cells due to a favorable combination of properties including substantial electronic conductivity, high oxygen diffusivity, suitable thermal expansion, and phase stability in a wide range of T-p(O2) conditions [13,14,15,16]. Acceptor-type substitutions of lanthanum by strontium or barium lead to gradual changes in defect chemistry, level of electrical conductivity, and mechanism of oxygen diffusion in the perovskite-related lattice [16,17,18,19,20,21,22,23]. The formation range of single-phase La2−xBaxNiO4±δ solid solutions varies in different literature reports: up to x = 0.7 [24] and x = 1.0 [22] for the series prepared by solid-state route in air, and x = 1.1 for the materials obtained by co-precipitation method [25] and Pechini-type route [23]. The presence of amorphous phase impurities mentioned in [26] may be one of the reasons responsible for the discrepancy in the literature. At the same time, the presence of Ba-rich impurities such as BaO or BaCO3 may be favorable for application in electrocatalytic NOx decomposition [11,27], as these basic phases act as storage materials and promote the absorption of acidic NOx gases.
The present work is focused on the preparation and characterization of La2−xBaxNiO4±δ (x = 0–1.1) nickelates for potential application as electrocatalysts for electrochemical NOx elimination. Particular attention was given to synthetic and processing procedures, solid solution formation range, oxygen nonstoichiometry, electrical transport properties, and thermomechanical and chemical compatibility with other components of solid electrolyte cells.

2. Materials and Methods

Synthesis of La2−xBaxNiO4±δ (x = 0–1.1) nickelates was performed by glycine-nitrate combustion technique. La2O3 (Sigma-Aldrich, St. Louis, MO, USA, 99.99%), BaCO3 (Sigma-Aldrich, 99+%) and NiO (Alfa Aesar, 99%) were used as starting precursors. Before weighing, lanthanum oxide was calcined at 1000 °C for 2 h to decompose adsorbates. The precursors were dissolved in a minimum required amount of diluted nitric acid to yield aqueous nitrate solutions containing metal cations in appropriate proportions. Glycine (Sigma-Aldrich, ≥99%) was added into the solutions with glycine/nitrate molar ratio double of stoichiometric (assuming H2O, CO2 and N2 to be the only gaseous products of redox reaction). After stirring for several hours, each solution was heated on a hot plate until evaporation of water and auto-ignition. The ash-like products of combustion were calcined in air at 800 °C to burn out organic residues. This was followed by repeated calcinations of powders with a stepwise (50–100 °C) increase in calcination temperature and intermediate regrindings: at 900–1000 °C in air for x = 0–0.5 and 900–1100 °C in O2 for x = 0.6–1.1. The adoption of a multi-stage calcination route after the combustion process was necessary to promote homogenization and formation of the target phase in the purest possible state, which is hampered due to the existence of numerous phases in the La-Ni-O and Ba-Ni-O systems as well as due to the prone nature of lanthanum and barium precursors to form hydroxides and carbonates in ambient air. As an example, Figure S1 (see Supplementary Materials) illustrates the evolution of the X-ray diffraction (XRD) patterns for one of the compositions in the course of the synthetic process. Ceramics samples for dilatometric studies and measurements of electrical transport properties were prepared by uniaxial compaction of the powders into disk-shaped pellets followed by isostatic pressing at 200 MPa and sintering at 1100–1350 °C for 5 h in air (x ≤ 0.5) or flowing oxygen (x ≥ 0.6). Sintering conditions (temperature and atmosphere) were selected for each composition individually based on preliminary results and suggestions in the literature [17,23,25].
Experimental density was calculated from the mass and dimensions of ceramic samples polished after sintering using SiC grinding paper. Bar-shaped samples (approximate dimensions 1.5 mm × 2.5 mm × 13 mm) for dilatometric and electrical measurements were cut out of sintered pellets using a Struers Minitom precision cutting machine with a diamond cut-off wheel. Powdered samples for XRD studies and thermogravimetric analysis were prepared by grinding sintered ceramics in a mortar.
Room-temperature XRD patterns were recorded using PANalytical X’Pert PRO (PANalytical, Almelo, The Netherlands, CuKα radiation, step 0.026°) and Rigaku D/Max-B (Rigaku, Tokyo, Japan, CuKα radiation, step 0.02°) diffractometers in the range 2θ = 20–80° for phase analysis and 20–120° for calculations of the lattice parameters. The lattice parameters were calculated in FullProf software (version March 2021). In order to assess possible changes in the phase composition on thermal cycling, variable-temperature XRD data were collected using a PANalytical X’Pert PRO diffractometer equipped with an Anton Paar HTK 16N high-temperature chamber and with Pt foil used as a sample support; the patterns were recorded on heating in air in the temperature range 25–1300 °C with the step of 100 °C and equilibration for 10 min at each step before the data acquisition. Scanning electron microscopy (SEM, Hitachi SU-70 microscope, Hitachi, Tokyo, Japan) coupled with energy dispersive spectroscopy (EDS, Bruker Quantax 400 EDS detector, Bruker, Berlin, Germany) was used for microstructural characterization and detection of secondary phases.
Thermogravimetric analysis (TGA, Setaram SetSys 16/18 instrument, Setaram, Caluire, France, sensitivity 0.4 μg, initial sample weight 0.5–1.0 g) was carried out in flowing air on heating/cooling at 25–1000 °C with a constant rate of 2 °C/min or with isothermal equilibration steps (3 h) at 700–950 °C. After thermal cycling in air, each sample was reduced isothermally at 950 °C in flowing 10% H2-N2 flow (Figure 1) in order to determine the absolute oxygen content. The reduction step was 15 h long to ensure the complete transformation into a mixture of metallic nickel with lanthanum and barium oxides (Figure S2). All thermogravimetric data were corrected for buoyancy effects by subtracting the corresponding baselines recorded under identical conditions using a dense inert ceramic sample of a similar volume. Dilatometric studies were performed employing a vertical Linseis L75 dilatometer in flowing air in the temperature range between room temperature and 1000–1100 °C with a constant heating/cooling rate of 3 °C/min.
Figure 1. Relative weight changes and corresponding changes in the oxygen content per La2−xBaxNiO4+δ formula unit as a function of time. The plot illustrates the determination of the absolute oxygen nonstoichiometry δ of La1.6Ba0.4NiO4+δ in the reference state (air, 950 °C) via isothermal reduction to a mixture of Ni with lanthanum and barium oxides in the 10% H2-N2 flow. The system was flushed with Ar for 1 h (marked by vertical dotted lines) between air and reducing atmosphere.
The electrical conductivity (σ) of ceramic samples was determined by the 4-probe DC (direct current) method using bar-shaped samples and Pt wires as probes and current collectors. The end-facing surfaces of the bars were covered with Pt paint (Heraeus CL11-5349) to improve electrical contact. The measurements were performed as a function of temperature in air and isothermally as a function of oxygen partial pressure in flowing N2-O2 mixtures with equilibration at each T-p(O2) data point. The gas flow rates were set by Bronkhorst mass-flow controllers. The measurements of oxygen permeation fluxes through dense ceramic membranes were performed at 700–950 °C using electrochemical YSZ solid electrolyte cells comprising an oxygen pump and a sensor [28,29]. The oxygen partial pressure at the membrane feed side (p2) was equal to 0.21 atm (atmospheric air). The gas-tightness of the membranes before the measurements was verified by the absence of physical leakage under the total pressure gradient of 2–3 atm at room temperature.
In all experiments, air was supplied by Jun-Air air compressors equipped with a drying unit; the relative humidity in the supplied air flow was ≈10% at room temperature. Oxygen partial pressure during the experiments in controlled atmospheres was monitored using electrochemical YSZ sensors.
To assess the high-temperature chemical compatibility of lanthanum-barium nickelates with other potential components of electrochemical cells, the mixtures of selected La2−xBaxNiO4±δ samples with (ZrO2)0.92(Y2O3)0.08 (8YSZ, Tosoh, Tokyo, Japan), BaZr0.85Y0.15O3−δ (BZY15, CerPoTech, Tiller, Norway), Pt and Au powders were annealed at 700 °C for 72 h and examined by XRD. Platinum and gold powders were prepared by dissolving pieces of metallic wires in aqua regia followed by drying and thermal decomposition of obtained chloroplatinic and chloroauric acids in the flow of 10% H2-N2 at 300 °C. Dense ceramic samples of 8YSZ and BZY15 for dilatometric measurements were sintered at 1600 °C/10 h and 1670 °C/10 h, respectively. During sintering, BZY15 compacts were covered with a thick layer of the BZY15 powder to avoid the evaporation of barium.

3. Results

3.1. Phase Composition, Crystal Structure and Microstructure

X-ray diffraction of sintered La2−xBaxNiO4±δ ceramic samples showed the formation of solid solutions with Ruddlesden–Popper K2NiF4-type structures for the entire range of prepared compositions (Figure 2). The compositions with moderate barium contents, x ≤ 0.6, were virtually phase-pure. XRD patterns of the Ba-rich (x ≥ 0.8) samples exhibited additional reflections assigned to the secondary phases of the BaO-NiO system; the amount of impurity phases increased with increasing nominal barium content (Figure 2). Preferred orientation effects indicated by the elevated intensity of (00l) reflections can also be observed in the XRD patterns of the x = 0.6–1.1 samples, which is rather common for Ruddlesden–Popper layered structures due to the anisotropy of ceramic fracture during milling.
Figure 2. Room-temperature XRD patterns of La2−xBaxNiO4±δ ceramics sintered at 1200 °C in air (x ≤ 0.5) or in oxygen (x ≥ 0.6). After sintering, the powdered samples were annealed in air at 900 °C for 2 h and slowly cooled. The reflections of the main phase are indexed in the I4/mmm space group. The reflections of secondary phases are marked according to ICDD PDF 04-007-8462 (hexagonal BaNiO3) and 04-009-3992 (rhombohedral Ba6Ni5O15).
One should note that X-ray diffraction is often not sensitive to small fractions of impurities (≤3–4 wt.%) as well as to amorphous precipitates. While the XRD patterns of La1.4Ba0.6NiO4±δ samples showed no evidence of secondary phases (Figure 2), SEM combined with EDS elemental mapping revealed the presence of Ba-Ni-O phase inclusions, Ba-rich precipitates (oxide or carbonate), and NiO particles in both as-synthesized powder and sintered ceramics (Figure 3A,B). The size of the Ba-Ni-O inclusions in the powder was typically several times larger compared to the regular particles of the La2NiO4-based phase (0.3–1.0 µm, Figure 3A). The inclusions are likely agglomerates of grains of the main phase bound together by the amorphous Ba-rich phase.
Figure 3. SEM micrographs of La2−xBaxNiO4±δ samples and corresponding EDS elemental mapping: (A) as-prepared La1.4Ba0.6NiO4±δ powder; (B) fractured cross-section of La1.4Ba0.6NiO4±δ ceramics sintered at 1200 °C; (C) fractured cross-section of La0.9Ba1.1NiO4±δ ceramics sintered at 1100 °C.
Combined XRD and SEM/EDS results imply that the formation of single-phase La2−xBaxNiO4±δ solid solutions is restricted to the 0 ≤ x ≤ 0.5 range, at least under processing conditions employed in the present work. Tang et al. [25] discussed the comparatively limited solubility of barium cation in the lanthanum sublattice of La2NiO4±δ in terms of the Goldschmidt tolerance factor. The Goldschmidt tolerance factor t is a dimensionless parameter describing the bond length matching between different layers of the crystal lattice and is used as an indicator for the stability or distortions of selected crystal structures. For the perovskite-related RP-type A2BO4 structure, the tolerance factor is given by:
t = r A IX + r O 2 ( r B VI + r O )
The coordination number of oxygen anions is debatable but often assumed to be VI in perovskite-like structures. Empirically, the tetragonal RP-type A2BO4 structure is stable over the approximate range of 0.85 < t < 1.00 [16]. If the tolerance factor exceeds 1, the A cation is too large (or the B cation is too small) for a tetragonal structure, and the formation of a hexagonal structure is favorable. Figure 4A shows the variation of the tolerance factor for the La2−xBaxNiO4±δ series estimated neglecting oxygen nonstoichiometry and assuming that oxygen ions are in O2− (CN = 6) state and that acceptor-type substitution by Ba2+ is charge-compensated by Ni cations in 3+/4+ oxidation states. The simple estimations show that the tetragonal lattice of La2−xBaxNiO4±δ can be expected to form up to x = 1.0–1.1 (Figure 4A). Tang et al. [25] argued, however, that a larger thermal expansion of more ionic (La,Ba)-O bonds compared to Ni-O bonds on heating should result in an increasing mismatch in the bond lengths, thus further narrowing the range of barium solid solubility at elevated temperatures.
Figure 4. (A) Variation of Goldshmidt tolerance factor for the La2−xBaxNiO4 series with barium content (estimated assuming δ = 0 and using ionic radii from Shannon [30]; HS and LS indicate high-spin and low-spin Ni3+, respectively). (BD) Unit cell parameters of tetragonal lattice (space group I4/mmm) of sintered La2−xBaxNiO4±δ ceramics. Literature data from Austin [22], DiCarlo [24], Tang [25] and Niemczyk [23] are shown for comparison.
The formation range of phase-pure La2−xBaxNiO4±δ solid solutions observed in the present work is narrower compared to previous reports on this system [22,23,24,25], however, it agrees well with the results reported by Takeda et al. who showed that the solubility limit of barium in Nd2−xBaxNiO4±δ corresponds to x = 0.6 [31]. Taking into account the arguments on possible variations of Ba solubility with temperature [25] and also somewhat lower processing temperatures used in other works [23,25], attempts were made to reduce the sintering temperature of Ba-rich ceramics down to 1100 °C. However, careful inspection of the XRD data revealed that the samples still comprised phase impurities (Figure 5), although sometimes they are not easy to detect, partly due to small fractions or peaks overlapping. Note that the available phase diagram of the BaO-NiO system shows the existence of low-melting compounds with melting and eutectic points between 1080 and 1240 °C [32,33,34]. It is likely that Ba-Ni-O phase impurities remain in a partially amorphous state after sintering of Ba-rich La2−xBaxNiO4±δ ceramics at 1100–1200 °C but undergo crystallization upon thermal treatment at lower temperatures and become more easily detectable in the XRD patterns (Figure 5B,D). An SEM/EDS inspection of Ba-rich (x ≥ 0.8) ceramics samples sintered at 1100 °C confirmed the massive segregation of Ba-Ni-O phase impurities (Figure 3C), in agreement with the XRD data.
Figure 5. XRD patterns of La2−xBaxNiO4±δ ceramics (x = 0.8 and 1.1) sintered at 1100 °C for 5 h in oxygen (A,C) and subsequently annealed at 900 °C for 2 h in air (B,D). The reflections of secondary phases are marked according to ICDD PDF 04-007-8462 (hexagonal BaNiO3) and 04-009-3992 (rhombohedral Ba6Ni5O15).
The trends in the variation of the calculated room-temperature lattice parameters of La2−xBaxNiO4±δ ceramics (Figure 4B–D) are in good agreement with earlier studies [22,23,24,25] and also resemble the behavior reported for the La2−xSrxNiO4±δ [17,24,35] and Nd2−xSrxNiO4±δ [31,36] series. The unit cell volume generally increases with increasing the nominal barium content, while the a and c lattice parameters exhibit a non-linear dependence. The parameter a decreases with barium content until x = 0.4–0.5 and then increases on further substitution; the parameter c exhibits an opposite trend and shows a maximum at x = 0.5. These dependencies were discussed in earlier works [17,22,35,36,37] in terms of a combined effect of simultaneous changes in several parameters: average ionic radii of A- and B-site cations, electronic configuration of Ni cations and Jahn–Teller distortion of NiO6 octahedra, and electrostatic repulsion between A cations along the c axis. In particular, the size effects are opposite in two cation sublattices: substitution of lanthanum cations ( r La 3 + IX = 1.22 Å [30]) by larger barium cations ( r Ba 2 + IX = 1.47 Å) is accompanied by the oxidation of nickel cations with a corresponding decrease in their size ( r Ni 2 + VI = 0.69 Å vs. r Ni 3 + VI = 0.56–0.60 Å) in order to preserve charge neutrality. Austin et al. [22] suggested that the Jahn–Teller effect and the ionic size effect (larger Ba cations) dominate at lower and higher contents of barium, respectively.
An important observation is that calculated lattice parameters change smoothly with an increase in the nominal barium content, despite precipitation of secondary phases in Ba-rich ceramics, and these changes agree well with the previous literature reports in which La2−xBaxNiO4±δ solid solutions were discussed as phase-pure (Figure 4B–D). This seems to imply the formation of La2−xBaxNiO4±δ solid solutions up to at least nominal x = 1.0 in the present work. However, in the case of Ba-rich compositions (x ≥ 0), actual barium content is lower than the nominal, and (La,Ba)2NiO4±δ solid solution co-exists with the secondary phases. The deviation from the nominal composition (or relationship between the nominal and actual cation composition of the Ruddlesden-Popper phase) can be given by:
L a 2 x B a x N i O 4 ± δ ( 2 x 2 x + a ) L a 2 x + a B a x a N i O 4 ± δ + ( 2 a 2 x + a ) BaO + ( a 2 x + a ) NiO
Barium and nickel oxides may exist as individual precipitates, convert to carbonates/hydroxides (in the case of barium), or combine to form low-melting phases of the Ba-Ni-O system [32,33,34], such as hexagonal BaNiO3 [38] or rhombohedral Ba6Ni5O15 (BaNi0.83O2.5) [39].
The evolution of the phase composition of Ba-rich ceramics on thermal cycling was studied by variable-temperature XRD for the La1.2Ba0.8NiO4±δ sample as a representative example. XRD patterns were recorded on stepwise heating with the 100 °C step; selected diffractograms are shown in Figure 6.
Figure 6. XRD patterns of powdered La1.2Ba0.8NiO4±δ ceramics (Tsint = 1100 °C) recorded on stepwise heating in air. Reflections of Pt foil support are cut out. The reflections of secondary phases are marked according to ICDD PDF 04-007-8462 (hexagonal BaNiO3), 04-009-3992 (rhombohedral Ba6Ni5O15), 04-015-3214 (orthorhombic α-BaCO3), 04-015-3209 (hexagonal β- BaCO3), 00-011-0697 (cubic BaCO3), and 04-009-7899 (hexagonal Ba4Pt3O9).
The presence of impurity peak ascribed to the Ba6Ni5O15 secondary phase was detected in the initial room-temperature XRD pattern of the as-sintered sample (Tsint = 1100 °C). The corresponding peak disappeared on heating to 400 °C. Instead, minor reflections assigned to the BaNiO3 phase were evidenced in the diffractogram recorded at 500 °C. The intensity of BaNiO3 reflections increased until 700 °C, and these peaks vanished at 800 °C. Instead, traces of the Ba6Ni5O15 phase were detected again at 1100 °C. In parallel, an extra peak assigned to orthorhombic BaCO3 was evidenced upon heating to 700 °C, probably due to the crystallization of previously amorphous precipitates. Weak reflections of different polymorphs of barium carbonate could be observed up to 1100 °C. No indication of BaCO3 or Ba-Ni-O precipitates could be found in the pattern recorded at 1200 °C, apparently due to the thermal decomposition of carbonate and melting of BaO and Ba-Ni-O phases. Finally, extra peaks originating from a phase of the Ba-Pt-O system (hexagonal Ba4Pt3O9 or Ba3Pt2O7) were detected in the XRD pattern recorded at 1300 °C; the reactivity with platinum is discussed below (Section 3.6). Overall, these observations confirm the precipitation of barium and barium-nickel oxides during the preparation of ceramics at elevated temperatures, with reversible formation/decomposition of barium carbonate and transformations between different Ba-Ni-O phases (for instance, Ref. [40]) on thermal cycling. The presence of BaNiO3 (and apparently other secondary phases) was noted earlier in variable-temperature XRD patterns of LaBaNiO4±δ [23].
The La2−xBaxNiO4+δ nickelates with moderate barium contents, x ≤ 0.4, were found to remain stable and phase-pure in air up to at least 1350 °C or even higher (Figure S3) without any microscopic evidence of segregation of secondary phases (Figure S4). Ceramic samples with different porosity (Table 1) were sintered at temperatures between 1100 and 1350 °C. The samples sintered at ≤1200 °C remained highly porous (Figure 7) with an estimated fraction of pores in the range of ~20–40 vol.%. Increasing the sintering temperature to 1350 °C promoted grain growth, from 0.3–1.6 to 3.5–11.0 µm for x = 0.4, and densification of ceramics (Figure 7); the relative density reached 92–97% of theoretical. La2NiO4+δ and La1.8Ba0.2NiO4+δ pellets were dense and gas-tight. At the same time, room-temperature tests showed gas leakage through La1.6Ba0.4NiO4+δ ceramics despite a high relative density (Table 1). RP-type Ln2NiO4+δ-based materials are known to exhibit an anisotropic thermal expansion of the lattice, with a stronger dilation along the axis c [21,41,42,43]. Apparently, grain growth (Figure 7) combined with anisotropic changes in the grain dimensions during thermal cycling promoted intergranular microcracking of La1.6Ba0.4NiO4+δ ceramics. Earlier, microcracking was reported to be a serious obstacle in the preparation of dense Sr-rich Ln2−xSrxNiO4−δ ceramic materials [21,43].
Table 1. Sintering conditions, density, and electrical conductivity of La2−xBaxNiO4+δ ceramics.
Figure 7. SEM micrographs of fractured cross-sections of La2−xBaxNiO4+δ (x = 0.2 and 0.4) ceramics sintered at 1200 and 1350 °C.

3.2. Oxygen Nonstoichiometry

The results of thermogravimetric studies indicate that La2−xBaxNiO4+δ nickelates with moderate barium contents, x ≤ 0.5, remain oxygen-overstoichiometric at atmospheric oxygen pressure and temperatures ≤ 1000 °C (Figure 8).
Figure 8. Temperature dependence of oxygen nonstoichiometry of La2−xBaxNiO4+δ ceramics in air. Solid lines correspond to the data obtained on dynamic cooling; circles are the values obtained after 3 h of equilibration at a given temperature.
For this range of compositions and p(O2)-T conditions, the lattice electroneutrality condition is given by (using Kröger-Vink notation):
[ B a La ] + 2 [ O i ] = [ N i Ni ]
where B a La indicates Ba2+ cation in lanthanum sublattice, O i is interstitial oxygen ion, and N i Ni is Ni3+ cation (or electron-hole formally residing on nickel cation). The oxygen content is nearly constant in the low-temperature range due to a kinetically frozen oxygen exchange between the oxide lattice and gas phase. Above ~300–350 °C, increasing temperature leads to a decrease in oxygen excess due to the reversible losses of interstitial oxygen from the lattice (Figure 8) and the accompanying reduction of nickel cations:
2 N i Ni + O i T T 2 N i Ni × + 0.5 O 2
where N i Ni × is a Ni2+ cation. According to the electroneutrality condition, Equation (3), increasing concentration of acceptor-type dopant, [Ba2+], should be charge-compensated by a decrease in the concentration of interstitial oxygen anions, or increasing concentration of Ni in 3+ oxidation state (generation of electron holes), or both. Calculations showed that substitution by barium is actually charge-compensated by a simultaneous decrease in oxygen excess and formation of Ni3+ (Figure 9A,B). Note that electron-hole concentration (p) and Ni3+ concentration are interrelated with the average oxidation state (aOS) of nickel cations as:
p = [ N i Ni ] = a O S 2
Figure 9. Dependence of oxygen nonstoichiometry (A) and average nickel oxidation state (B) in Ln2−xAxNiO4±δ nickelates on barium and strontium content at 800 °C. Literature data are taken from Nakamura [18], Kravchenko [21], and Niemczyk [23].
As defined by the charge compensation mechanism, the extent of oxygen nonstoichiometry changes with temperature is reduced with increasing barium content, and the x = 0.4 composition exhibits temperature-independent δ ~ 0.016 in the entire studied temperature range in air. These trends are in very good agreement with the results published earlier for the La2−xSrxNiO4+δ (x = 0–0.4) system [18].
La1.5Ba0.5NiO4+δ expectedly exhibits even lower oxygen nonstoichiometry, δ = 0.005 at 950 °C. However, while one could expect a plateau-like behavior of δ vs. T, similar to the x = 0.4 composition, the calculated oxygen content in La1.5Ba0.5NiO4+δ was found to increase continuously on cooling (Figure 8). This behavior was reproducible for different samples. One should note that the x = 0.5 composition is on the border of the single-phase solid solutions formation range obtained in the present work. It is likely that the behavior of these samples on thermal cycling and calculations from the thermogravimetric data are slightly affected by the presence of undetected traces of phase impurities and/or carbonation/hydration of the sample surface during the experiments. Niemczyk et al. [23] reported that La2−xBaxNiO4±δ nickelates exhibit a proton uptake ability which increases with reducing temperature and increasing barium content. Whatever the reason, the apparent changes in oxygen nonstoichiometry in La1.5Ba0.5NiO4+δ on thermal cycling corresponded to Δδ ~ 0.01 (Figure 8).
Figure 9 summarizes the trends in variations of oxygen nonstoichiometry and average nickel oxidation state in La2−xBaxNiO4±δ and La2−xSrxNiO4±δ series in a wide range of compositions at 800 °C. The results on La2−xBaxNiO4+δ nickelates obtained in the present work are in good agreement with the literature, although the absolute values of δ for Ba-containing compositions are slightly higher compared to literature data. The plot illustrates a gradual transition from oxygen excess at moderate contents of acceptor-type dopant to oxygen stoichiometry in intermediate compositions and eventually to oxygen deficiency in Sr- and Ba-rich nickelates. This is accompanied by a gradual increase in average nickel oxidation state and electron-hole concentration until some limiting value at a given temperature.

3.3. Electrical Conductivity

Figure 10 shows the data on the electrical conductivity of La2−xBaxNiO4+δ (x = 0–0.5) ceramics in air. In the case of Ba-rich samples, x ≥ 0.6, the obtained results were of inadequate quality and poor reproducibility, apparently due to combined effects of phase impurities, formation/decomposition of carbonates, and reactivity with Pt probes and current collectors; the latter is discussed below in Section 3.6. Therefore, the data on the electrical properties of Ba-rich materials were excluded from the discussion.
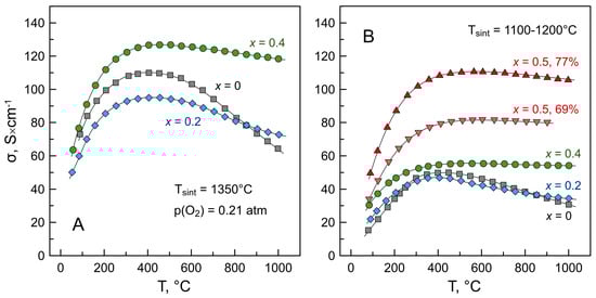
Figure 10. Temperature dependence of electrical conductivity of La2−xBaxNiO4+δ ceramics sintered at 1350 °C (A) and 1100–1200 °C (B). The fabrication conditions and relative density of all samples are detailed in Table 1.
La2NiO4+δ-derived materials are known to be predominantly p-type electronic conductors, with oxygen-ionic conductivity ≥ 3 orders of magnitude lower compared to electronic and total conductivity [16]. In the low-temperature range, when the oxygen content in the crystal lattice is fixed (Figure 8), La2NiO4+δ and La2−xBaxNiO4+δ ceramics exhibit temperature-activated electrical conductivity. Above ~400–450 °C, the materials show a transition to a pseudo-metallic behavior with conductivity decreasing on heating. This is mainly associated with the loss of oxygen from the crystal lattice accompanied by a decrease in electron-hole concentration as shown by Equation (4). The extent of conductivity variations with temperature (Figure 10) directly correlates with the extent of changes in oxygen nonstoichiometry on thermal cycling (Figure 8): stronger dependencies for x = 0–0.2 and very weak ones for nearly oxygen-stoichiometric x = 0.4–0.5 compositions.
The results showed that the level of electrical conductivity is strongly affected by the sintering conditions and, consequently, the porosity of the samples. Increasing the volume fraction of pores by 20–30% results in a ~2–2.5 times drop in conductivity (Table 1 and Figure 10). The attempts to approximate the experimental values to zero porosity showed that simple models based on the fraction of porosity only [44] and often used for corrections of experimental conductivity data (e.g., Refs. [45,46]) could not yield adequate results, as was evident from the comparison of “corrected” values for the samples with different porosity.
In general, the electrical conductivity of La2−xBaxNiO4+δ ceramics increases with increasing barium content, in agreement with the changes in average nickel oxidation state (Figure 9) and electron-hole concentration, Equation (5). This is also in accordance with the results reported for the La2−xSrxNiO4±δ system (e.g., Refs. [19,47]). For highly porous La1.5Ba0.5NiO4+δ ceramics with a relative density of ~70%, electrical conductivity reaches ~80 S/cm at 450–900 °C.
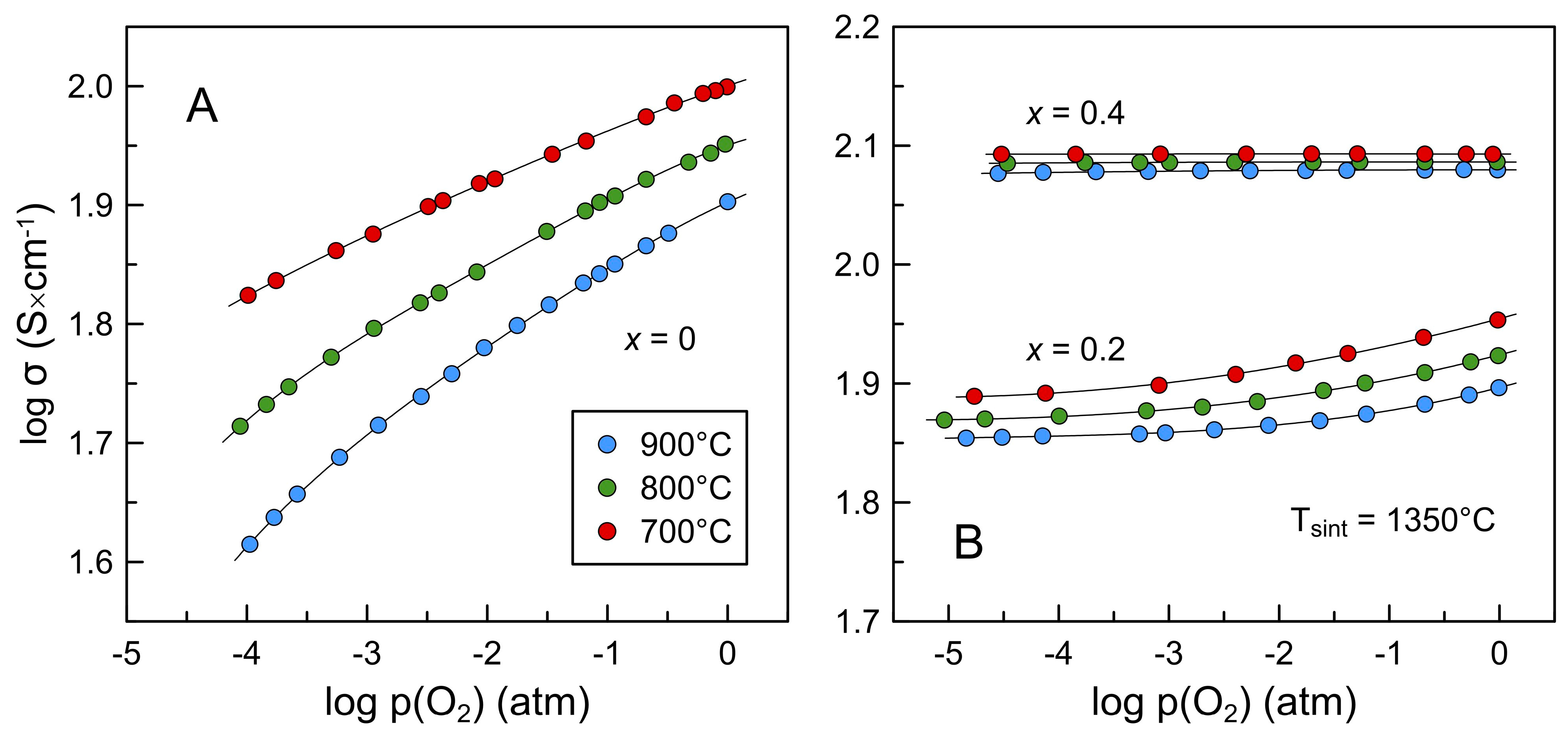
Figure 11 and Figure 12 present isothermal dependencies of electrical conductivity of La2−xBaxNiO4+δ ceramics on oxygen partial pressure at 700–900 °C and p(O2) range from 10−5 to 1.0 atm. Reducing p(O2) results in a decrease in p-type electronic conductivity. Once again, this happens due to reversible oxygen release from the oxide lattice and the accompanying reduction in the electron-hole concentration:
2 N i Ni + O i p O 2 p O 2 2 N i Ni × + 0.5 O 2
Figure 11. Oxygen partial pressure dependence of electrical conductivity of La2NiO4+δ (A) and La2−xBaxNiO4+δ (x = 0.2 and 0.4) (B) ceramics sintered at 1350 °C.
Figure 12. Oxygen partial pressure dependence of electrical conductivity of La2−xBaxNiO4±δ (x = 0.2–0.5) ceramics sintered at 1200 °C.
As electron-hole concentration is directly interrelated with oxygen nonstoichiometry through the electroneutrality condition, Equation (3), relative changes in electrical conductivity correlate with the extent of oxygen nonstoichiometry variations with p(O2) and, consequently, barium content. Undoped La2NiO4+δ exhibits variable oxygen nonstoichiometry in the studied p(O2) range [18,48] and, therefore, a strong p(O2)-dependence of electrical conductivity. On the contrary, nearly oxygen-stoichiometric La1.6Ba0.4NiO4+δ is expected to possess a weak dependence of δ on oxygen partial pressure and shows nearly p(O2)-independent electrical conductivity. La1.8Ba0.2NiO4+δ demonstrates an intermediate behavior, with conductivity tending to a plateau at reduced oxygen pressures. The obtained results resemble well the corresponding data reported for the La2−xSrxNiO4+δ (x = 0–0.4) system [19]. The behavior of La1.5Ba0.5NiO4+δ ceramics at 700–800 °C was found to be similar to that of the x = 0.4 composition (Figure 12). At the same time, the slope of log σ–log p(O2) dependence tends to increase with reducing p(O2) at 900 °C, thus suggesting a transition to oxygen deficiency regime at reduced oxygen partial pressure.
Post-mortem XRD analysis of the samples after electrical conductivity measurements confirmed the redox stability of La2−xBaxNiO4+δ (x ≤ 0.5) nickelates in the studied range of T-p(O2) conditions, with no evidence of reductive phase decomposition in the XRD patterns.

3.4. Oxygen Permeability and Ionic Transport

Oxygen permeability of La2−xBaxNiO4+δ (x = 0 and 0.2) nickelates, the only two materials obtained in the form of dense gas-tight ceramics, was studied as a function of temperature and oxygen partial pressure gradient across the membrane. The results are presented in Figure 13. It was found that the substitution of 10 at.% of lanthanum by barium results in ~2 orders of magnitude drop in oxygen permeation fluxes through ceramic membranes at 700–950 °C. Oxygen-ionic transport in RP-type Ln2NiO4+δ-based nickelates is considered to occur by diffusion of interstitial oxygen ions along the rock-salt-type layers via the so-called interstitialcy mechanism [16,49]. Thus, the decline in oxygen-ionic transport in Ba-substituted nickelate should be assigned mainly to the decrease in the concentration of mobile interstitial oxygen ions (Figure 8). For comparison, an even more substantial drop in oxygen permeation fluxes, nearly three orders of magnitude, was reported for calcium-substituted La1.7Ca0.3NiO3+δ membranes compared to undoped La2NiO4+δ [50]. The calculated activation energy EA of oxygen permeation flux through La1.8Ba0.2NiO4+δ ceramic membranes at 700–950 °C is similar to that for undoped La2NiO4+δ nickelate membrane in the high-temperature range (Figure 13B). This suggests that the mechanism of oxygen-ion diffusion remains unchanged and supports the conclusion that the drop in permeation flux with barium doping is due to the decrease in the concentration of mobile ionic charge carriers. Note that an increase in activation energy of oxygen permeability of La2NiO4+δ ceramics at temperatures below 850 °C occurs due to the increasing limiting effect of surface exchange kinetics (e.g., Ref. [51]). On the contrary, the overall oxygen transport across the barium-substituted La1.8Ba0.2NiO4+δ membrane is limited mainly by bulk diffusion, and the activation energy remains the same in the studied temperature range.
Figure 13. (A) Dependence of oxygen permeation fluxes through La1.8Ba0.2NiO4+δ ceramic membrane on oxygen partial pressure gradient at 700–950 °C; (B) Temperature dependence of oxygen permeation fluxes through La2−xBaxNiO4+δ ceramic membranes under fixed p(O2) gradient. d is membrane thickness; p2 and p1 are oxygen partial pressures at the membrane feed and permeate side, respectively. The membranes were sintered at 1350 °C.
The values of partial oxygen-ionic conductivity σO of a mixed ionic-electronic conductor (MIEC) can be roughly estimated from the data on oxygen permeability and total electrical conductivity using the Wagner equation for the steady-state oxygen permeation flux j through the MIEC membrane bulk [52]:
j = RT 16 F 2 d p 1 p 2 σ O σ e σ O + σ e ln p ( O 2 )
where d is the membrane thickness, p2 and p1 are oxygen partial pressures at the membrane feed and permeate sides, respectively, and σe is the partial electronic conductivity. Such estimations ignore the limiting effect of the oxygen exchange rates at the membrane surfaces and may yield somewhat underestimated σO values but are suitable for determining the order of magnitude of ionic conductivity. The calculations from the oxygen permeation data under minimum p(O2) gradients (p1 ≥ 0.08 atm) and total conductivity in air showed that oxygen-ionic conductivity decreased from ~0.11 S/cm in undoped La2NiO4+δ to ~1.2×10−3 S/cm in La1.8Ba0.2NiO4+δ at 900 °C. Note that the value for the parent nickelate is in good agreement with the literature data [16].

3.5. Thermal Expansion

Dimensional changes of La2−xBaxNiO4+δ (x = 0–0.5) ceramics on thermal cycling in air between room temperature and 1000 °C were studied by dilatometry. Selected dilatometric curves in comparison with the data on 8YSZ and BZY15 solid electrolytes are shown in Figure 14. La2−xBaxNiO4+δ ceramics exhibit smooth, nearly linear thermal expansion in air. The average thermal expansion coefficients (TECs) in the studied temperature range vary in a narrow range, 13.8–14.3 ppm/K (Table 2), and tend to decrease slightly with increasing barium content. The latter can be attributed to decreasing chemical contribution to thermochemical expansion. Chemical expansion originates from the variations in oxygen nonstoichiometry δ and, consequently, the average ionic size of nickel cations in the crystal lattice on thermal cycling [42] and should vanish with increasing barium content, as follows from the data on oxygen nonstoichiometry (Figure 8).
Figure 14. Dilatometric curves of La2−xBaxNiO4+δ and selected solid electrolyte ceramics in air.
Table 2. Average thermal expansion coefficients ( α ¯ ) calculated from the dilatometric data in air.
The average TECs of La2−xBaxNiO4+δ ceramics exceed that of traditional 8YSZ solid electrolytes (Table 2). The difference is still acceptable from the point of view of thermomechanical compatibility, as can be concluded from the multiple literature reports on the electrochemical characterization of La2NiO4+δ-based electrodes applied onto 8YSZ. On the other hand, a significant mismatch between the thermal expansion coefficients of La2−xBaxNiO4+δ nickelates and BZY15 solid electrolyte should constitute a critical issue for the thermomechanical stability of the electrode/electrolyte interface. This can be solved by fabricating composite (La,Ba)2NiO4+δ + BZY15 electrodes to adjust the TEC values of electrode layers.

3.6. High-Temperature Chemical Compatibility with Other Materials

The results of chemical compatibility tests are summarized in Table 3. XRD analysis of pelletized mixtures of La2−xBaxNiO4+δ and 8YSZ powders revealed the formation of a poorly conducting La2Zr2O7 pyrochlore-type phase after annealing at 700 °C for 72 h. The high reactivity between La2NiO4−δ and 8YSZ at 900 °C was noted earlier in [53]. Thus, undesirable chemical reactivity even at temperatures as low as 700 °C is problematic for the practical application of the studied nickelates in direct contact with yttria-stabilized zirconia.
Table 3. Chemical compatibility between La2−xBaxNiO4±δ and other materials of solid oxide cells.
Good compatibility with no evidence of segregation of reactivity products was found for La2−xBaxNiO4±δ + BZY15 pairs under identical annealing conditions. The traces of barium carbonate observed in the XRD patterns originate from commercial BZY15 powder (used in the as-delivered state) and can be eliminated by calcination at ≥1300 °C. Thus, BZY15 ceramics with reported oxygen-ion transference numbers of 0.7–0.9 in the temperature range of 500–600 °C in wet O2 [54] seems a reasonable alternative as a solid electrolyte for electrocatalytic tests of La2−xBaxNiO4±δ nickelates. In order to evaluate the compatibility of nickelates with barium zirconate-based ceramics at higher temperatures corresponding to anticipated electrode fabrication conditions, the mixture of La1.5Ba0.5NiO4+δ and BZY15 powders was annealed at 1100 °C for 2 and 10 h and then examined by XRD. For these tests, BZY15 compacts were sintered at 1500 °C and then crushed into powder, while La1.5Ba0.5NiO4+δ powder was used in the as-synthesized form (i.e., after calcinations at 1000 °C in air). No evidence of reactivity or formation of secondary phases could be observed in the XRD patterns of calcined mixtures (Figure 15) confirming good chemical compatibility between the materials at temperatures at least up to 1100 °C.
Figure 15. XRD patterns of powdered La1.5Ba0.5NiO4+δ + BZY15 mixture (50:50 wt.%), annealed at 1100 °C for 2 and 10 h, and individual materials before mixing. XRD pattern of tetragonal La1.5Ba0.5NiO4+δ is indexed in space group I4/mmm; XRD pattern of cubic BaZr0.85Y0.15O3−δ (BZY15) is indexed in space group Pm-3m according to ICDD PDF 04-016-4803.
As mentioned above in Section 3.3, the results of electrical conductivity measurements of Ba-rich La2−xBaxNiO4±δ samples (x ≥ 0.6) were poorly reproducible and unreliable. Selected samples after electrical studies were inspected by SEM/EDS; an example of the analysis is presented in Figure 16A. Microscopic studies revealed the formation of a surface layer of agglomerated oxide particles (up to 8 µm in diameter) rich in Ba, Ni, and Pt, and free of La. The layer of such agglomerates formed not only in the vicinity of Pt wire probes but on the entire surface of bar-shaped samples indicating a strong surface diffusion of platinum. Inspection of the Pt wire probe that was in contact with the ceramic sample during the measurement also revealed a significant diffusion of barium oxide inside the wire bulk (Figure 16B), although no nickel could be detected in this case. Massive reactivity was also detected at the interface between ceramic samples and porous Pt electrodes (applied at the end-face surface of the bar-shaped samples before measurements).
Figure 16. SEM images and corresponding EDS elemental mapping results for the samples after electrical conductivity measurements at T ≤ 1000 °C: (A) Fractured cross-section of La1.1Ba0.9NiO4±δ ceramic samples near the surface (distance from the Pt wire probe: ~3 mm); (B) Cut cross-section of Pt wire (potential probe) after contact with the La1.1Ba0.9NiO4±δ ceramics during the measurements.
Several compounds and a wide range of solid solutions were reported to exist in the BaO-Pt(PtO2) system in air [55,56]. Furthermore, Ba (in the form of BaO, BaCO3 or Ba(OH)2) was reported to react readily with platinum at 600–700 °C in air to form BaPtO3 [57,58]. Thus, one may conclude that the reactivity between Ba-rich La2−xBaxNiO4±δ samples and Pt components is caused by the presence of Ba-based phase impurities (BaO, BaCO3, and Ba-Ni-O phases) in the samples. No evidence of surface reactivity could be detected for the La2−xBaxNiO4+δ samples with moderate barium contents, x ≤ 0.5, after electrical conductivity measurements for 1–2 weeks at temperatures up to 1000 °C. Another noteworthy observation is that annealing of as-sintered polished La1.2Ba0.8NiO4±δ ceramic sample for ~500 h at 700 °C in air did not promote any surface segregation, and the surface and bulk morphology remained identical. This means that the formation of Ba-Ni-Pt-O layers at the surface of the sample during the electrical measurements is provoked by surface Pt diffusion.
The reactivity between La1.2Ba0.8NiO4±δ and metallic platinum with the formation of BaPtO3 was confirmed by XRD analysis of the pelletized mixture of powders annealed at 700 °C for 72 h (Table 3). The reactivity is likely to be promoted by the melting of secondary phases, as suggested by the formation of hexagonal Ba-Pt-O phases observed at 1300 °C (Figure 6) and also after cooling during variable-temperature XRD studies (Figure S5). Gold showed much better chemical compatibility with Ba-rich samples in annealing tests (Table 3); gold wires can be used as an alternative to Pt probes for electrical studies of such ceramic materials.

4. Conclusions

Ceramic materials of the La2−xBaxNiO4±δ (x = 0–1.1) series were prepared by glycine-nitrate combustion route followed by calcinations at 800–1100 °C and sintering at 1100–1350 °C in air or oxygen atmosphere. The range of formation of single-phase solid solutions under applied synthetic conditions was found to be limited to x = 0.5. For Ba-rich composition (x ≥ 0.6), La2NiO4-based solid solutions co-existed with secondary phases: BaO (or BaCO3), NiO, and various phases of the Ba-Ni-O system. Acceptor-type substitution of lanthanum by barium is charge-compensated by decreasing the concentration of interstitial oxygen ions, from δ ~ 0.1 for x = 0 to δ ~ 0.01 for x = 0.4–0.5 at 800 °C in air, and generation of electron-holes (i.e., formation of Ni3+). This leads to an increase in p-type electronic conductivity and a decline in oxygen-ionic transport. Electrical conductivity of highly porous La1.5Ba0.5NiO4+δ ceramics with a relative density of ~70% reaches ~80 S/cm at 450–900 °C. The average TECs of La2−xBaxNiO4+δ (x = 0–0.5) ceramics vary in a narrow range of 13.8–14.3 ppm/K at 25–1000 °C in air. La2−xBaxNiO4±δ nickelates show reactivity with YSZ solid electrolyte at 700 °C, with the formation of insulating La2Zr2O7 phase, but good chemical compatibility with BZY15 electrolyte. Ba-rich compositions exhibited strong reactivity with Pt caused by the presence of Ba-based phase impurities. La1.5Ba0.5NiO4+δ ceramics appear to be best-suited for potential application in the electrochemical elimination of NOx exhibiting sufficiently high electrical conductivity, phase stability in air up to at least 1200 °C, and good chemical compatibility with BaZr0.85Y0.15O3−δ solid electrolyte at temperatures up to at least 1100 °C, which enables the fabrication of porous electrode layers without undesirable reactivity at these temperatures.

Supplementary Materials

The following supporting information can be downloaded at: https://www.mdpi.com/article/10.3390/ma16041755/s1, Figure S1: XRD data—Example of evolution of the phase composition during synthesis; Figure S2: example of XRD pattern of a sample after reduction in the 10% H2-N2 atmosphere; Figure S3: XRD patterns of ceramics sintered at 1350–1450 °C; Figure S4: SEM/EDS data for La1.6Ba0.4NiO4±δ ceramics sintered at 1350 °C; Figure S5: room-temperature XRD pattern of La1.2Ba0.8NiO4±δ ceramic sample after variable-temperature XRD studies at 25–1300 °C.

Author Contributions

Conceptualization, K.Z., A.K. and A.Y.; methodology, K.Z. and A.Y.; investigation, K.Z. and A.Y.; data analysis, K.Z. and A.Y.; writing—original draft preparation, K.Z. and A.Y.; writing—review and editing, K.Z., A.K. and A.Y.; supervision and funding acquisition, A.K. and A.Y. All authors have read and agreed to the published version of the manuscript.

Funding

This work was developed within the scope of the PhD project of Kiryl Zakharchuk (grant SFRH/BD/138773/2018 funded by the FCT) and the project CICECO—Aveiro Institute of Materials (UIDB/50011/2020, UIDP/50011/2020 & LA/P/0006/2020) financed by national funds through the FCT/MCTES (PIDDAC).

Institutional Review Board Statement

Not applicable.

Data Availability Statement

Data are contained within the article and/or available from the corresponding author upon reasonable request.

Conflicts of Interest

The authors declare no conflict of interest.

References

  1. Wu, R.J.; Yeh, C.T. Activation energy for thermal decomposition of nitric oxide. Int. J. Chem. Kinet. 1996, 28, 89–94. [Google Scholar] [CrossRef]
  2. Garin, F. Mechanism of NOx decomposition. Appl. Catal. A 2001, 222, 183–219. [Google Scholar] [CrossRef]
  3. Pancharatnam, S.; Huggins, R.A.; Mason, D.M. Catalytic decomposition of nitric oxide on zirconia by electrolytic removal of oxygen. J. Electrochem. Soc. 1975, 122, 869–875. [Google Scholar] [CrossRef]
  4. Gür, T.M.; Huggins, R.A. Decomposition of nitric oxide on zirconia in a solid-state electrochemical cell. J. Electrochem. Soc. 1979, 126, 1067–1075. [Google Scholar] [CrossRef]
  5. Traulsen, M.L.; Andersen, K.B.; Hansen, K.K. NOx conversion on LSM15-CGO10 cell stacks with BaO impregnation. J. Mater. Chem. 2012, 22, 11792–11800. [Google Scholar] [CrossRef]
  6. Traulsen, M.L.; Bræstrup, F.; Hansen, K.K. NOx conversion on porous LSF15-CGO10 cell stacks with KNO3 or K2O impregnation. J. Solid State Electrochem. 2012, 16, 2651–2660. [Google Scholar] [CrossRef]
  7. Shao, J.; Hansen, K.K. Enhancement of NOx removal performance for (La0.85Sr0.15)0.99MnO3/Ce0.9Gd0.1O1.95 electrochemical cells by NOx storage/reduction adsorption layers. Electrochim. Acta 2013, 90, 482–491. [Google Scholar] [CrossRef]
  8. Shao, J.; Tao, Y.; Hansen, K.K. Highly selective NOx reduction for diesel engine exhaust via an electrochemical system. Electrochem. Commun. 2016, 72, 36–40. [Google Scholar] [CrossRef]
  9. Yokoi, Y.; Uchida, H. Catalytic activity of perovskite-type oxide catalysts for direct decomposition of NO: Correlation between cluster model calculations and temperature-programmed desorption experiments. Catal. Today 1998, 42, 167–174. [Google Scholar] [CrossRef]
  10. Imanaka, N.; Masui, T. Advances in direct NOx decomposition catalysts. Appl. Catal. A 2012, 431–432, 1–8. [Google Scholar] [CrossRef]
  11. Zhu, Y.; Wang, D.; Yuan, F.; Zhang, G.; Fu, H. Direct NO decomposition over La2−xBaxNiO4 catalysts containing BaCO3 phase. Appl. Catal. B 2008, 82, 255–263. [Google Scholar] [CrossRef]
  12. Teraoka, Y.; Harada, T.; Kagawa, S. Reaction mechanism of direct decomposition of nitric oxide over Co- and Mn-based perovskite-type oxides. J. Chem. Soc. Faraday Trans. 1998, 94, 1887–1891. [Google Scholar] [CrossRef]
  13. Das, A.; Xhafa, E.; Nikolla, E. Electro- and thermal-catalysis by layered, first series Ruddlesden-Popper oxides. Catal. Today 2016, 277, 214–226. [Google Scholar] [CrossRef]
  14. Xu, X.; Pan, Y.; Zhong, Y.; Ran, R.; Shao, Z. Ruddlesden-Popper perovskites in electrocatalysis. Mater. Horiz. 2020, 7, 2519–2565. [Google Scholar] [CrossRef]
  15. Ding, P.; Li, W.; Zhao, H.; Wu, C.; Zhao, L.; Dong, B.; Wang, S. Review on Ruddlesden-Popper perovskites as cathode for solid oxide fuel cells. J. Phys. Mater. 2021, 4, 022002. [Google Scholar] [CrossRef]
  16. Tarutin, A.P.; Lyagaeva, J.G.; Medvedev, D.A.; Bi, L.; Yaremchenko, A.A. Recent advances in layered Ln2NiO4+δ nickelates: Fundamentals and prospects of their applications in protonic ceramic fuel and electrolysis cells. J. Mater. Chem. A 2021, 9, 154–195. [Google Scholar] [CrossRef]
  17. Takeda, Y.; Kanno, R.; Sakano, M.; Yamamoto, O.; Takano, M.; Bando, Y.; Akinaga, H.; Takita, K.; Goodenough, J.B. Crystal chemistry and physical properties of La2−xSrxNiO4 (0 ≤ x ≤ 1.6). Mater. Res. Bull. 1990, 25, 293–306. [Google Scholar] [CrossRef]
  18. Nakamura, T.; Yashiro, K.; Sato, K.; Mizusaki, J. Oxygen nonstoichiometry and defect equilibrium in La2−xSrxNiO4+δ. Solid State Ion. 2009, 180, 368–376. [Google Scholar] [CrossRef]
  19. Nakamura, T.; Yashiro, K.; Sato, K.; Mizusaki, J. Electronic state of oxygen nonstoichiometric La2−xSrxNiO4+δ at high temperatures. Phys. Chem. Chem. Phys. 2009, 11, 3055–3062. [Google Scholar] [CrossRef] [PubMed]
  20. Xie, W.; Lee, Y.L.; Shao-Horn, Y.; Morgan, D. Oxygen Point Defect Chemistry in Ruddlesden-Popper Oxides (La1−xSrx)2MO4±δ (M = Co, Ni, Cu). J. Phys. Chem. Lett. 2016, 7, 1939–1944. [Google Scholar] [CrossRef]
  21. Kravchenko, E.; Zakharchuk, K.; Viskup, A.; Grins, J.; Svensson, G.; Pankov, V.; Yaremchenko, A. Impact of oxygen deficiency on the electrochemical performance of K2NiF4-type (La1−xSrx)2NiO4−δ oxygen electrodes. ChemSusChem 2017, 10, 600–611. [Google Scholar] [CrossRef] [PubMed]
  22. Austin, A.B.; Carreiro, L.G.; Marzik, J.V. Structural, magnetic, and electrical properties of La2−xBaxNiO4. Mater. Res. Bull. 1989, 24, 639–646. [Google Scholar] [CrossRef]
  23. Niemczyk, A.; Merkle, R.; Maier, J.; Świerczek, K. Defect chemistry and proton uptake of La2−xSrxNiO4±δ and La2−xBaxNiO4±δ Ruddlesden-Popper phases. J. Solid State Chem. 2022, 306, 122731. [Google Scholar] [CrossRef]
  24. DiCarlo, J.; Mehta, A.; Banschick, D.; Navrotsky, A. The energetics of La2−xAxNiO4−y (A = Ba, Sr). J. Solid State Chem. 1993, 103, 186–192. [Google Scholar] [CrossRef]
  25. Tang, J.P.; Dass, R.I.; Manthiram, A. Comparison of the crystal chemistry and electrical properties of La2−xAxNiO4 (A = Ca, Sr, and Ba). Mater. Res. Bull. 2000, 35, 411–424. [Google Scholar] [CrossRef]
  26. Alonso, J.A.; Amador, J.; Gutiérrez-Puebla, E.; Monge, M.A.; Rasines, I.; Ruíz-Valero, C.; Campá, J.A. Persistence of the La2NiO4 crystal structure in La2−xBaxNiO4 samples with high Ba contents (x ≤ 1). Solid State Commun. 1990, 76, 1327–1331. [Google Scholar] [CrossRef]
  27. Chen, L.; Niu, X.; Li, Z.; Dong, Y.; Wang, D.; Yuan, F.; Zhu, Y. The effects of BaO on the catalytic activity of La1.6Ba0.4NiO4 in direct decomposition of NO. J. Mol. Catal. A 2016, 423, 277–284. [Google Scholar] [CrossRef]
  28. Kharton, V.V.; Tikhonovich, V.N.; Shuangbao, L.; Naumovich, E.N.; Kovalevsky, A.V.; Viskup, A.P.; Bashmakov, I.A.; Yaremchenko, A.A. Ceramic microstructure and oxygen permeability of SrCo(Fe,M)O3−δ (M = Cu or Cr) perovskite membranes. J. Electrochem. Soc. 1998, 145, 1363–1374. [Google Scholar] [CrossRef]
  29. Kovalevsky, A.V.; Yaremchenko, A.A.; Kolotygin, V.A.; Shaula, A.L.; Kharton, V.V.; Snijkers, F.M.M.; Buekenhoudt, A.; Frade, J.R.; Naumovich, E.N. Processing and oxygen permeation studies of asymmetric multilayer Ba0.5Sr0.5Co0.8Fe0.2O3−δ membranes. J. Membr. Sci. 2011, 380, 68–80. [Google Scholar] [CrossRef]
  30. Shannon, R.D. Revised effective ionic radii and systematic studies of interatomic distances in halides and chalcogenides. Acta Crystallogr. A 1976, 32, 751–767. [Google Scholar] [CrossRef]
  31. Takeda, Y.; Nishijima, M.; Imanishi, N.; Kanno, R.; Yamamoto, O.; Takano, M. Crystal chemistry and transport properties of Nd2−xAxNiO4 (A = Ca, Sr, or Ba, 0 ≤ x ≤ 1.4). J. Solid State Chem. 1992, 96, 72–83. [Google Scholar] [CrossRef]
  32. Lander, J.J. The phase system BaO-NiO. J. Am. Chem. Soc. 1951, 73, 2450–2452. [Google Scholar] [CrossRef]
  33. Lander, J.J.; Wooten, L.A. Barium-nickel oxides with tri- and tetravalent nickel. J. Am. Chem. Soc. 1951, 73, 2452–2454. [Google Scholar] [CrossRef]
  34. BaO-NiO Phase Diagram, FactSage—The Integrated Thermodynamic Databank System, Thermfact/CRCT & GTT-Technologies. Available online: www.factsage.com (accessed on 12 January 2023).
  35. Millburn, J.E.; Green, M.A.; Neumann, D.A.; Rosseinsky, M.J. Evolution of the structure of the K2NiF4 phases La2−xSrxNiO4+δ with oxidation state: Octahedral distortion and phase separation (0.2 ≤ x ≤ 1.0). J. Solid State Chem. 1999, 145, 401–420. [Google Scholar] [CrossRef]
  36. Arbuckle, B.W.; Ramanujachary, K.V.; Zhang, Z.; Greenblatt, M. Investigations on the structural, electrical, and magnetic properties of Nd2−xSrxNiO4+δ. J. Solid State Chem. 1990, 88, 278–290. [Google Scholar] [CrossRef]
  37. Gopalakrishnan, I.; Colsmann, G.; Reuter, B. Studies on the La2−xSrxNiO4 (0 ≤ x ≤ 1) system. J. Solid State Chem. 1977, 22, 145–149. [Google Scholar] [CrossRef]
  38. Shibahara, H. Electron microscopic study on the structure of an intermediate phase with the composition of BaNiOx (2 < x < 3). J. Solid State Chem. 1987, 69, 81–92. [Google Scholar] [CrossRef]
  39. Campá, J.A.; Gutiérrez-Puebla, E.; Monge, M.A.; Rasines, I.; Ruíz-Valero, C. Nickel supermixed valence in stoichiometric BaNi0.83O2.5. J. Solid State Chem. 1994, 108, 230–235. [Google Scholar] [CrossRef]
  40. Arévalo-López, A.M.; Huvé, M.; Simon, P.; Mentré, O. The hidden story in BaNiO3 to BaNiO2 transformation: Adaptive structural series and NiO exsolution. Chem. Commun. 2019, 55, 3717–3720. [Google Scholar] [CrossRef]
  41. Skinner, S.J. Characterisation of La2NiO4+δ using in-situ high temperature neutron powder diffraction. Solid State Sci. 2003, 5, 419–426. [Google Scholar] [CrossRef]
  42. Kharton, V.V.; Kovalevsky, A.V.; Avdeev, M.; Tsipis, E.V.; Patrakeev, M.V.; Yaremchenko, A.A.; Naumovich, E.N.; Frade, J.R. Chemically induced expansion of La2NiO4+δ-based materials. Chem. Mater. 2007, 19, 2027–2033. [Google Scholar] [CrossRef]
  43. Kravchenko, E.; Khalyavin, D.; Zakharchuk, K.; Grins, J.; Svensson, G.; Pankov, V.; Yaremchenko, A. High-temperature characterization of oxygen-deficient K2NiF4-type Nd2−xSrxNiO4−δ (x = 1.0–1.6) for potential SOFC/SOEC applications. J. Mater. Chem. A 2015, 3, 23852–23863. [Google Scholar] [CrossRef]
  44. Mizusaki, J.; Waragai, K.; Tsuchiya, S.; Tagawa, H.; Arai, Y.; Kuwayama, Y. Simple mathematical model for the electrical conductivity of highly porous ceramics. J. Am. Ceram. Soc. 1996, 79, 109–113. [Google Scholar] [CrossRef]
  45. Vashook, V.; Girdauskaite, E.; Zosel, J.; Wen, T.L.; Ullmann, H.; Guth, U. Oxygen non-stoichiometry and electrical conductivity of Pr2−xSrxNiO4±δ with x = 0–0.5. Solid State Ion. 2006, 177, 1163–1171. [Google Scholar] [CrossRef]
  46. Naumov, S.V.; Vlasov, M.I.; Pikalova, E.Y.; Tsvinkinberg, V.A.; Reznitskikh, O.G.; Filonova, E.A. Effect of Ni non-stoichiometry on the structural, thermal and conductivity properties of Nd2Ni1−xO4+δ. Solid State Ion. 2023, 389, 116082. [Google Scholar] [CrossRef]
  47. Aguadero, A.; Escudero, M.J.; Pérez, M.; Alonso, J.A.; Pomjakushin, V.; Daza, L. Effect of Sr content on the crystal structure and electrical properties of the system La2−xSrxNiO4+δ (0 ≤ x ≤ 1). Dalton Trans. 2006, 4377–4383. [Google Scholar] [CrossRef] [PubMed]
  48. Naumovich, E.N.; Patrakeev, M.V.; Kharton, V.V.; Yaremchenko, A.A.; Logvinovich, D.I.; Marques, F.M.B. Oxygen nonstoichiometry in La2Ni(M)O4+δ (M = Cu, Co) under oxidizing conditions. Solid State Sci. 2005, 7, 1353–1362. [Google Scholar] [CrossRef]
  49. Chroneos, A.; Parfitt, D.; Kilner, J.A.; Grimes, R.W. Anisotropic oxygen diffusion in tetragonal La2NiO4+δ: Molecular dynamics calculations. J. Mater. Chem. 2010, 20, 266–270. [Google Scholar] [CrossRef]
  50. Filonova, E.; Gilev, A.; Maksimchuk, T.; Pikalova, N.; Zakharchuk, K.; Pikalov, S.; Yaremchenko, A.; Pikalova, E. Development of La1.7Ca0.3Ni1−yCuyO4+δ materials for oxygen permeation membranes and cathodes for intermediate-temperature solid oxide fuel cells. Membranes 2022, 12, 1222. [Google Scholar] [CrossRef]
  51. Shaula, A.L.; Naumovich, E.N.; Viskup, A.P.; Pankov, V.V.; Kovalevsky, A.V.; Kharton, V.V. Oxygen transport in La2NiO4+δ: Assessment of surface limitations and multilayer membrane architectures. Solid State Ion. 2009, 180, 812–816. [Google Scholar] [CrossRef]
  52. Bouwmeester, H.J.M.; Burggraaf, A.J. Dense ceramic membranes for oxygen separation. In Fundamentals of Inorganic Membrane Science and Technology; Burggraaf, A.J., Cot, L., Eds.; Elsevier: Amsterdam, The Netherlands, 1996; Volume 4, pp. 435–528. [Google Scholar] [CrossRef]
  53. Montenegro Hernández, A.; Mogni, L.; Caneiro, A. La2NiO4+δ as cathode for SOFC: Reactivity study with YSZ and CGO electrolytes. Int. J. Hydrogen Energy 2010, 35, 6031–6036. [Google Scholar] [CrossRef]
  54. Han, D.; Uda, T. The best composition of an Y-doped BaZrO3 electrolyte: Selection criteria from transport properties, microstructure, and phase behavior. J. Mater. Chem. A 2018, 6, 18571–18582. [Google Scholar] [CrossRef]
  55. Schneider, S.J.; McDaniel, C.L. The BaO-Pt system in air. J. Am. Ceram. Soc. 1969, 52, 518–519. [Google Scholar] [CrossRef]
  56. Ropp, R.C. Encyclopedia of the Alkaline Earth Compounds; Elsevier: Amsterdam, The Netherlands, 2013; pp. 1044–1048. [Google Scholar] [CrossRef]
  57. Casapu, M.; Grunwaldt, J.D.; Maciejewski, M.; Baiker, A.; Eckhoff, S.; Göbel, U.; Wittrock, M. The fate of platinum in Pt/Ba/CeO2 and Pt/Ba/Al2O3 catalysts during thermal aging. J. Catal. 2007, 251, 28–38. [Google Scholar] [CrossRef]
  58. Casapu, M.; Grunwaldt, J.D.; Maciejewski, M.; Baiker, A.; Hoyer, R.; Wittrock, M.; Eckhoff, S. Enhancement of activity and self-reactivation of NSR-catalysts by temporary formation of BaPtO3-perovskite. Catal. Lett. 2008, 120, 1–7. [Google Scholar] [CrossRef]
Disclaimer/Publisher’s Note: The statements, opinions and data contained in all publications are solely those of the individual author(s) and contributor(s) and not of MDPI and/or the editor(s). MDPI and/or the editor(s) disclaim responsibility for any injury to people or property resulting from any ideas, methods, instructions or products referred to in the content.

Article Metrics

Citations

Article Access Statistics

Multiple requests from the same IP address are counted as one view.