Influence of Solid Filler on the Rheological Properties of Propellants Based on Energetic Thermoplastic Elastomer
Abstract
1. Introduction
2. Materials and Methods
3. Results
3.1. Influence of Al Powder Content on the Rheological Properties of the Model Propellants
3.1.1. Influence of Al Powder Content on the Temperature Dependence of the Model Propellants
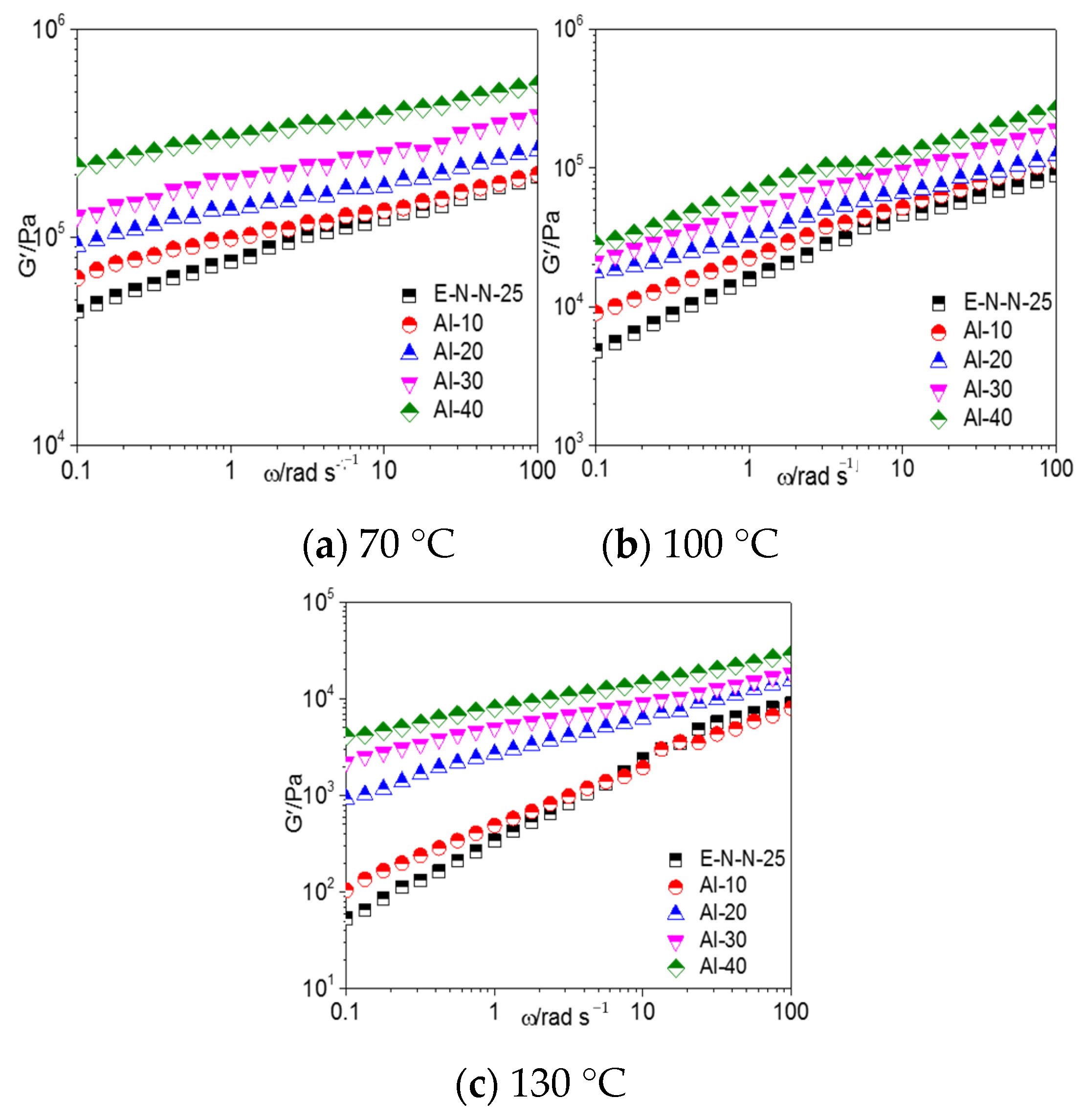
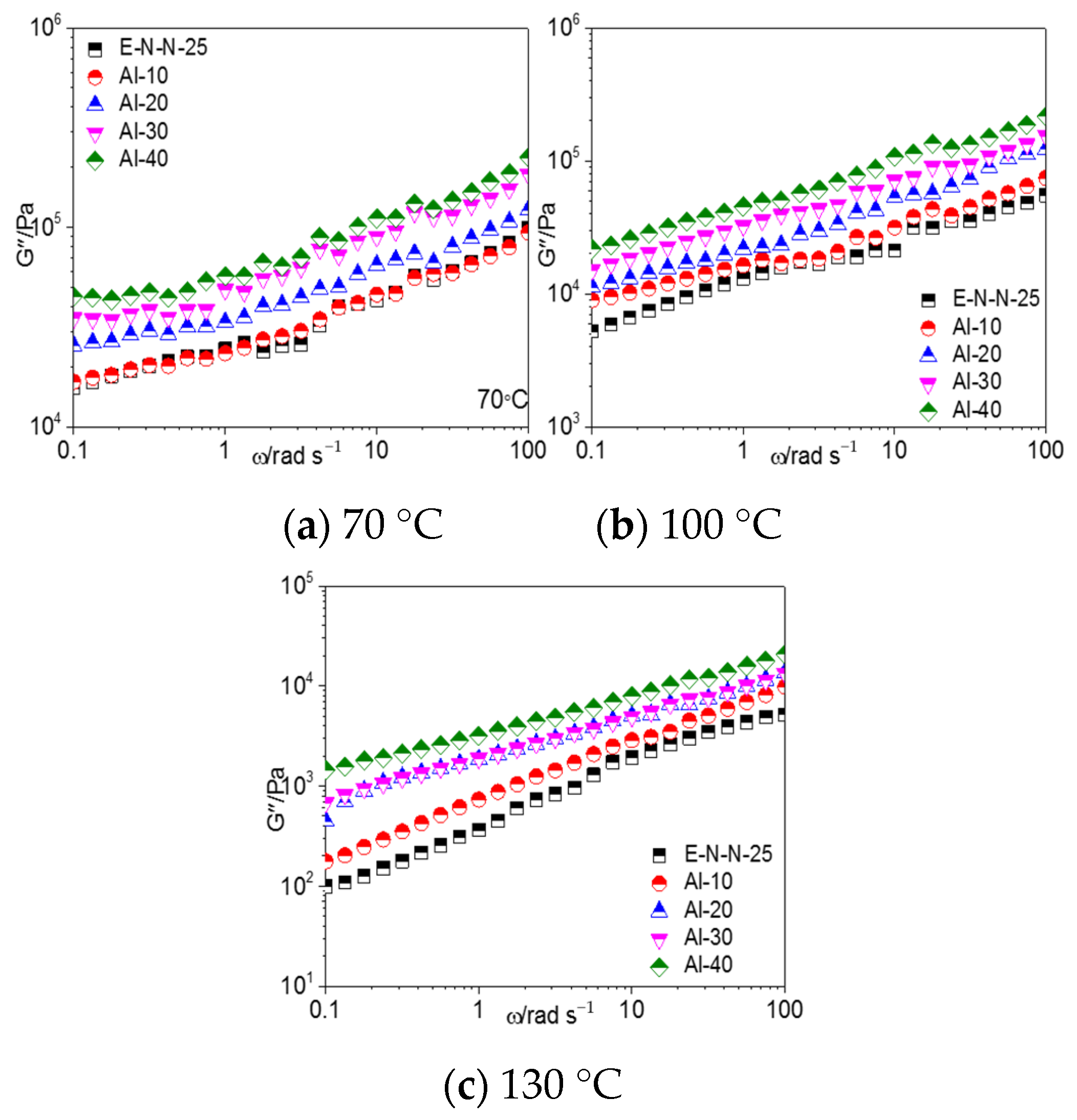
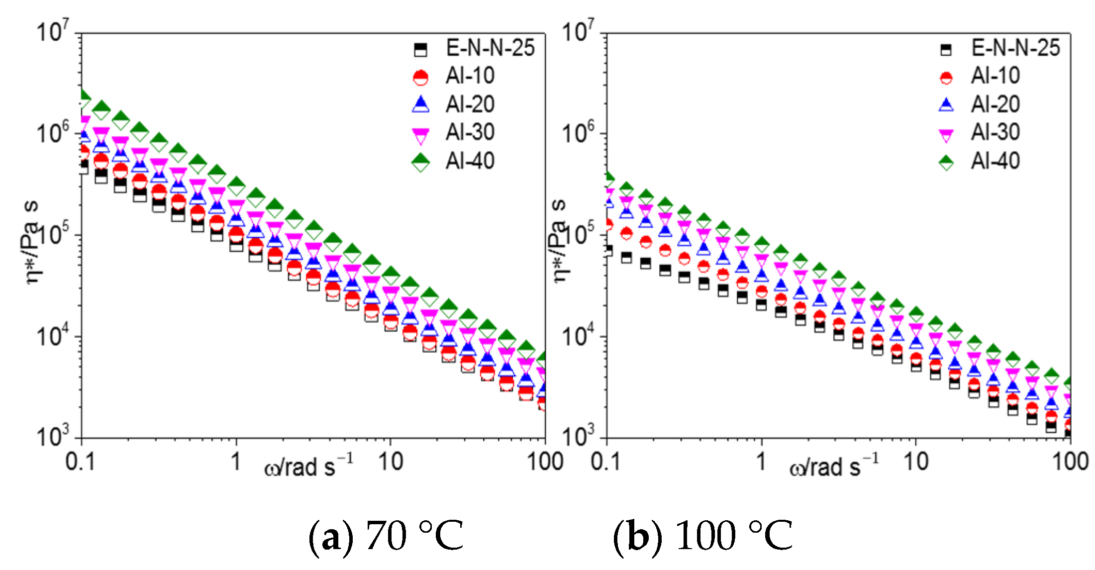
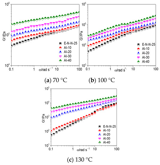
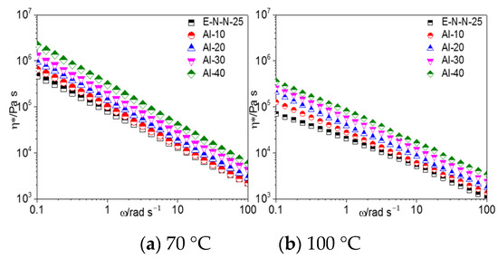
3.1.2. Influence of Al Content on the Frequency Dependence of the Model Propellants
3.2. Influence of RDX Content on the Rheological Properties of the Model Propellants
3.2.1. Influence of RDX Content on the Temperature Dependence of the Model Propellants
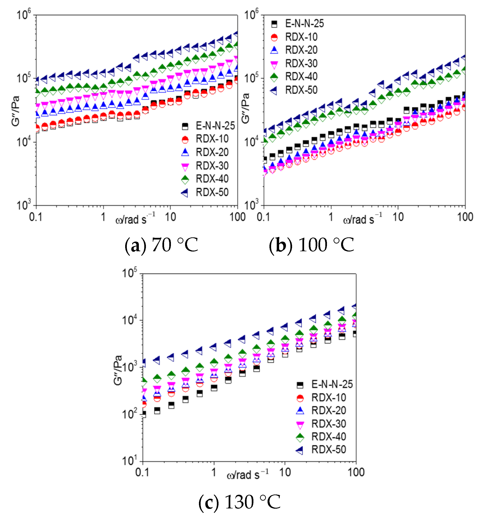
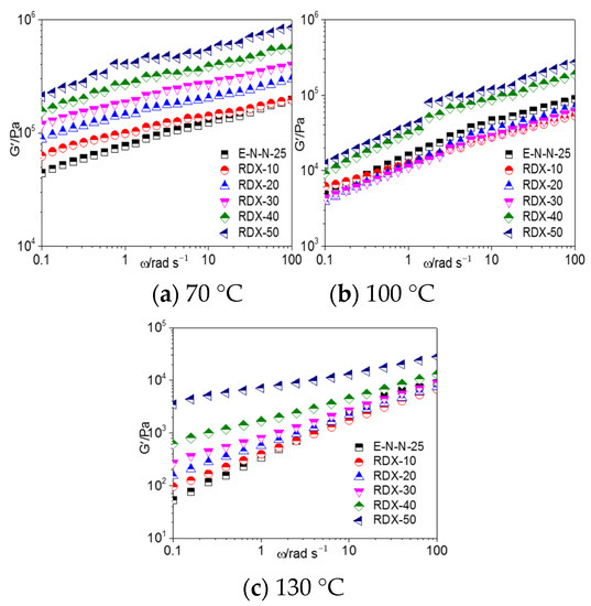
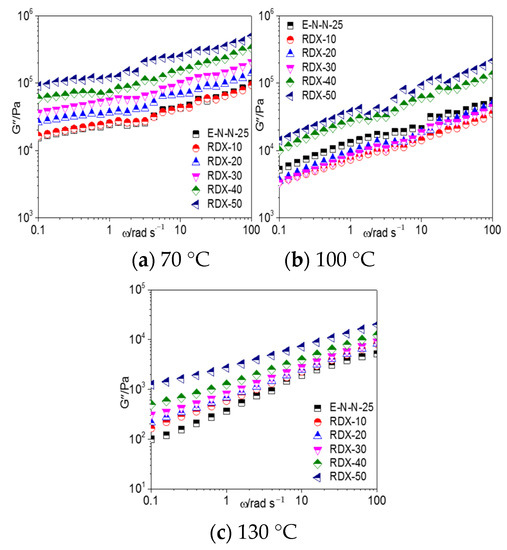
3.2.2. Influence of RDX Content on the Frequency Dependence of the Model Propellants
3.3. Application of Two-Phase Model in Model Propellants
4. Conclusions
Supplementary Materials
Author Contributions
Funding
Institutional Review Board Statement
Informed Consent Statement
Data Availability Statement
Conflicts of Interest
References
- Tan, H. The Chemistry and Technology of Solid Rocket Propellant; Beijing Institute of Technology Press: Beijing, China, 2015. [Google Scholar]
- Mehta, P.K.; Kumaraswamy, A.; Saraswat, V.K.; Praveenkumar, B. Recycling of Waste Propellant and the Challenges in Disposal: Range Safety. In Proceedings of the 2021 2nd International Conference on Range Technology (ICORT), Balasore, India, 5–6 August 2021; pp. 1–5. [Google Scholar]
- Dîrloman, F.M.; Toader, G.; Rotariu, T.; Țigănescu, T.V.; Ginghină, R.E.; Petre, R.; Alexe, F.; Ungureanu, M.I.; Rusen, E.; Diacon, A.; et al. Novel Polyurethanes Based on Recycled Polyethylene Terephthalate: Synthesis, Characterization, and Formulation of Binders for Environmentally Responsible Rocket Propellants. Polymers 2021, 13, 3828. [Google Scholar] [CrossRef] [PubMed]
- Wilkinson, P.J.; Weaver, M.C.; Kister, G.; Gill, P.P. Styrene-Ethylene/Butylene-Styrene (SEBS) Block Copolymer Binder for Solid Propellants. Propellants Explos. Pyrotech. 2022, 47, e202100142. [Google Scholar] [CrossRef]
- Shim, Y.H.; Ha, S.W.; Yoo, E.S.; Jang, H.R.; Kim, A.R.; Ramakrishnan, S.; Yoo, D.J. Recovery of Ammonium Perchlorate from Obsolete Ammunition and Its Application in Synthesis of Lithium Perchlorate. Propellants Explos. Pyrotech. 2021, 46, 612–617. [Google Scholar] [CrossRef]
- Jiu, Y.; Luo, Y.; Ge, Z.; Chai, C.; Xiao, J.; Zhang, C. Studies on properties of ETPUEs containing PET and GAP as soft-segment. J. Solid Rocket Technol. 2010, 33, 537–540. [Google Scholar]
- Song, X.D.; Zhao, F.Q.; Xu, S.Y. Combustion mechanism of double-base propellant containing bismuth 2,4-dihydroxylbenzoate. J. Propuls. Technol. 2006, 27, 376–380. [Google Scholar]
- Lv, Y.; Luo, Y.; Ge, Z. Research development of energetic thermoplastic elastomers. New Chem. Mater. 2008, 36, 31–33. [Google Scholar]
- Mahanta, A.K.; Pathak, D.D. Recent advances in development of eco-friendly solid composite propellants for rocket propulsion. Res. J. Chem. Environ. 2010, 14, 94–103. [Google Scholar]
- Luo, Y.; Ding, S.; Zhang, C. Research Progress on Energetic Thermoplastic Elastomers. Mater. China 2022, 41, 117–128. [Google Scholar]
- Chen, M.; Xu, M.; Liu, N.; Mo, H.; Lu, X. Research progress of energetic thermoplastic adhesives. Explos. Mater. 2020, 49, 1–8. [Google Scholar]
- Shao, Z.; Wang, F.; Liao, B. Homogeneous Synthesis of Azidodeoxycellulose. Chin. J. Explos. Propellants 2005, 28, 47–49. [Google Scholar]
- Padhye, R.; Aquino, A.J.; Tunega, D.; Pantoya, M.L. Effect of polar environments on the aluminum oxide shell surrounding aluminum particles: Simulations of surface hydroxyl bonding and charge. ACS Appl. Mater. Interfaces 2016, 8, 13926–13933. [Google Scholar] [CrossRef] [PubMed]
- Li, B.; Zhao, Y.; Li, X.; Luo, Y. Synthesis and representation of random block type PBAMO/GAP ETPE. Chin. J. Energ. Mater. 2015, 23, 5. [Google Scholar]
- Wei, H.; Fu, X.; Deng, C.; Fan, X.; Zhou, W.; Li, J. Surface and interfacial properties of star-class GAP and solid propellant filler. J. Solid Rocket Technol. 2011, 34, 211–213. [Google Scholar]
- Wang, H.; Fan, X.; Zhou, W.; Liu, X.; Wei, H.; Fan, M. Surface and interfacial properties of reduced-smoke modified double base propellant with nitramine and Al powder. Chin. J. Explos. Propellants 2011, 34, 64–68. [Google Scholar]
- Deng, J. Research on GAP-Based High-Energy Solid Propellent; Beijing Institute of Technology: Beijing, China, 2016. [Google Scholar]
- Liao, Z.; Hossain, M.; Yao, X. Ecoflex polymer of different Shore hardnesses: Experimental investigations and constitutive modelling. Mech. Mater. 2020, 144, 103366. [Google Scholar] [CrossRef]
- Botti, A.; Pyckhout-Hintzen, W.; Richter, D.; Urban, V.; Straube, E. A microscopic look at the reinforcement of silica-filled rubbers. J. Chem. Phys. 2006, 124, 174908. [Google Scholar] [CrossRef] [PubMed]
- Ahmed, S.; Jones, F.R. A review of particulate reinforcement theories for polymer composites. J. Mater. Sci. 1990, 25, 4933–4942. [Google Scholar] [CrossRef]
- Osman, M.A.; Atallah, A.; Schweizer, T.; Öttinger, H.C. Particle-particle and particle-matrix interactions in calcite filled high-density polyethylene-steady shear. J. Rheol. 2004, 48, 1167–1184. [Google Scholar] [CrossRef]
- Song, Y.; Zheng, Q. Linear viscoelasticity of polymer melts filled with nano-sized fillers. Polymer 2010, 51, 3262–3268. [Google Scholar] [CrossRef]
- Song, Y.; Zheng, Q. Application of two phase model to linear dynamic rheology of filled polymer melts. Polymer 2011, 52, 6173–6179. [Google Scholar] [CrossRef]
- Wolthers, W.; Van den Ende, D.; Breedveld, V.; Duits, M.H.; Potanin, A.A.; Wientjes, R.H.; Mellema, J. Linear viscoelastic behavior of aggregated colloidal dispersions. Phys. Rev. E 1997, 56, 77–85. [Google Scholar] [CrossRef]
- Guan, A. Conductive and Rheological Behavior of Multi-Walled Carbon Nanotube Filled with Polymer Composite System; Zhejiang University: Hangzhou, China, 2013. [Google Scholar]
- Davris, T.; Mermet-Guyennet, M.R.; Bonn, D.; Lyulin, A.V. Filler size effects on reinforcement in elastomer-based nanocomposites: Experimental and simulational insights into physical mechanisms. Macromolecules 2016, 49, 7077–7087. [Google Scholar] [CrossRef]
















| Samples | Adhesive (ETPE/NC/NENA) (wt%) | Al (wt%) |
|---|---|---|
| Al-10 | 90 | 10 |
| Al-20/C-Al-20 | 80 | 20 |
| Al-30 | 70 | 30 |
| Al-40 | 60 | 40 |
| A-Al-20 | 80 | 20 |
| B-Al-20 | 80 | 20 |
| Samples | Adhesive (ETPE/NC/NENA) (wt%) | RDX (wt%) |
|---|---|---|
| RDX-10 | 90 | 10 |
| RDX-20 | 80 | 20 |
| RDX-30 | 70 | 30 |
| RDX-40 | 60 | 40 |
| RDX-50/C RDX-50 | 50 | 50 |
| A-RDX-50 | 50 | 50 |
| B-RDX-50 | 50 | 50 |
| Samples | Ttanδ (°C) | Tg (°C) |
|---|---|---|
| E-N-N-25 | 101.2 | 125.4 |
| Al-10 | 105.9 | 127.2 |
| Al-20 | 105.9 | 128.0 |
| Al-30 | 106.1 | 132.2 |
| Al-40 | 106.8 | 135.1 |
| Samples | Tg (°C) |
|---|---|
| E-N-N-25 | 125.4 |
| RDX-10 | 125.2 |
| RDX-20 | 125.3 |
| RDX-30 | 126.2 |
| RDX-40 | 126.3 |
| RDX-50 | 128.2 |
| Sample | /Pa1−n | n | |
|---|---|---|---|
| Al-10 | 1.04 | 51.8 | 0.35 |
| Al-20 | 1.61 | 160.1 | 0.43 |
| Al-30 | 2.06 | 735.4 | 0.23 |
| Al-40 | 3.22 | 1128.4 | 0.23 |
| RDX-10 | 1.18 | 6.1 | 0.65 |
| RDX-20 | 1.27 | 14.3 | 0.58 |
| RDX-30 | 1.45 | 35.4 | 0.51 |
| RDX-40 | 2.03 | 112.4 | 0.43 |
| RDX-50 | 3.44 | 1969.2 | 0.24 |
Disclaimer/Publisher’s Note: The statements, opinions and data contained in all publications are solely those of the individual author(s) and contributor(s) and not of MDPI and/or the editor(s). MDPI and/or the editor(s) disclaim responsibility for any injury to people or property resulting from any ideas, methods, instructions or products referred to in the content. |
© 2023 by the authors. Licensee MDPI, Basel, Switzerland. This article is an open access article distributed under the terms and conditions of the Creative Commons Attribution (CC BY) license (https://creativecommons.org/licenses/by/4.0/).
Share and Cite
Zhang, J.; Wang, Z.; Sun, S.; Luo, Y. Influence of Solid Filler on the Rheological Properties of Propellants Based on Energetic Thermoplastic Elastomer. Materials 2023, 16, 808. https://doi.org/10.3390/ma16020808
Zhang J, Wang Z, Sun S, Luo Y. Influence of Solid Filler on the Rheological Properties of Propellants Based on Energetic Thermoplastic Elastomer. Materials. 2023; 16(2):808. https://doi.org/10.3390/ma16020808
Chicago/Turabian StyleZhang, Jing, Zhen Wang, Shixiong Sun, and Yunjun Luo. 2023. "Influence of Solid Filler on the Rheological Properties of Propellants Based on Energetic Thermoplastic Elastomer" Materials 16, no. 2: 808. https://doi.org/10.3390/ma16020808
APA StyleZhang, J., Wang, Z., Sun, S., & Luo, Y. (2023). Influence of Solid Filler on the Rheological Properties of Propellants Based on Energetic Thermoplastic Elastomer. Materials, 16(2), 808. https://doi.org/10.3390/ma16020808

