Research on Elastic and Elastic-Plastic Buckling Load of Cylindrical Shell with an Inclined through Crack under Axial Compressive Load
Abstract
1. Introduction
- (1)
- Conducting material mechanical properties tests to provide mechanical properties parameters for numerical simulations.
- (2)
- Studying the influence of the length–diameter ratio and crack inclination on the elastic buckling load of cylindrical shells containing inclined cracks.
- (3)
- Studying the influence of the length–diameter ratio, the diameter–thickness ratio, the crack length, and the crack inclination on the elastic–plastic buckling load of cylindrical shells containing inclined cracks.
2. Test Methods and Schemes of Cylindrical Shells with Inclined Cracks
2.1. Test Equipment
2.2. Test Specimens
2.3. Testing Program
2.3.1. Experimental Scheme for Elastic Buckling Failure of Cylindrical Shells with Cracks under Axial Compressive Load
2.3.2. Experimental Scheme for Elastic–Plastic Buckling of Cylindrical Shells with Cracks under Axial Compressive Load
3. Determination of Mechanical Property Parameters of Materials
4. Elastic Buckling Failure Tests of Cylindrical Shells with Cracks
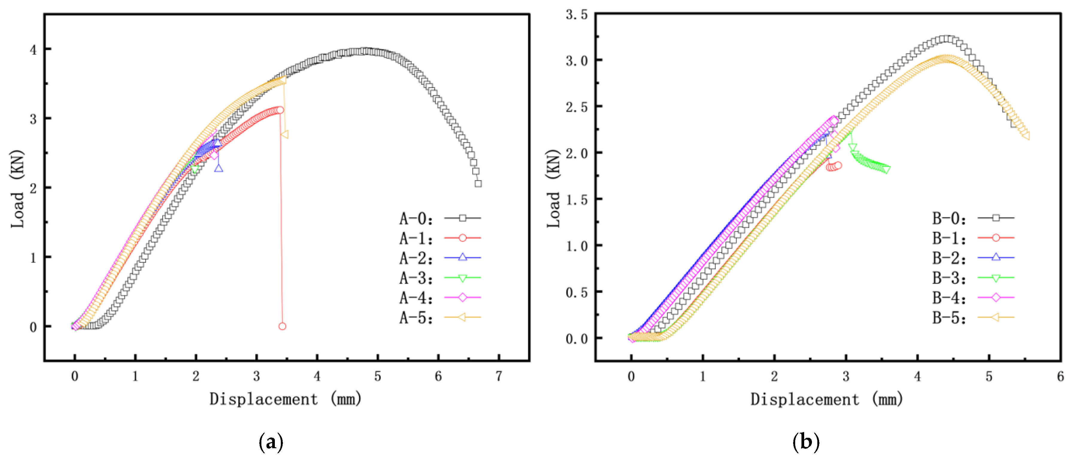
5. Elastic–Plastic Buckling Failure Test of Cylindrical Shells with Cracks
5.1. Influence of Length–Diameter Ratio on Elastic–Plastic Buckling Load
5.2. Influence of the Ratio of Diameter to Thickness on Elastic–Plastic Buckling Load
5.3. Effect of Crack Length on Elastic–Plastic Buckling Load
5.4. Effect of Crack Angle on Elastic–Plastic Buckling Load
5.5. Comparison of Buckling Modes
6. Conclusions
- (1)
- The tensile and compressive mechanical performance tests were conducted for two materials, PMMA and 6063 aluminum alloy. This study revealed significant differences in the mechanical properties between tension and compression. The finite element result calculated by compressive properties is closer to the experiments.
- (2)
- Under axial compressive loading, the elastic buckling tests of PMMA containing a crack revealed that buckling load by the compressive elastic modulus are closer to the experimental buckling loads. When the length–diameter ratio is small (shorter cylindrical shell) and the crack inclination angle is ≤45°, the crack closes and makes contact, resulting in a trend of decreasing and then increasing buckling load with increasing crack inclination angle. On the other hand, when the length–diameter ratio is large (longer cylindrical shell), the buckling load increases with increasing crack inclination angle, which overall agrees with the results of the elastic buckling load calculations.
- (3)
- Under axial compressive loading, the elastic–plastic buckling tests of 6063 aluminum alloy containing a crack showed that elastic–plastic buckling load by the compressive mechanical properties are closer to the experimental results. The experimental buckling load varies with the length–diameter ratio, the diameter–thickness ratio, the crack length, and the crack inclination angle, and these variations are consistent with the results of the elastic–plastic buckling load calculations.
- (4)
- Considering the effect of buckling loads by length-diameter ratio for the shorter cylindrical shell, the elastic buckling load is greatly affected by boundary conditions, which is different from the elastic–plastic buckling load; however, the trend in the elastic buckling load is consistent with the elastic–plastic buckling load for the longer cylindrical shell.
Author Contributions
Funding
Institutional Review Board Statement
Informed Consent Statement
Data Availability Statement
Acknowledgments
Conflicts of Interest
References
- Rong, L.; Meng, Y.; Bin, L. A new and convenient method for strength evaluation of cracked cylindrical shell based on the ratio of crack tip stresses. Structures 2023, 52, 146–157. [Google Scholar] [CrossRef]
- Hang, W.; Hai, S.Z.; Xin, L.; Xin, F. Elastic-plastic buckling of pipes with asymmetric dual corrosion defects subject to external pressure. Ocean Eng. 2021, 240, 109975. [Google Scholar] [CrossRef]
- Abel, J.F.; Chang, S.C.; Hanna, S.L. Comparison of complete and simplified elastic buckling analyses for cooling tower shells. Eng. Struct. 1986, 8, 25–28. [Google Scholar] [CrossRef]
- Chen, X.; Yong, X.W.; Haim, W. Fracture analysis of cracked thin-walled structures using a high-order XFEM and Irwin’s integral. Comput. Struct. 2019, 212, 1–19. [Google Scholar] [CrossRef]
- Zhong, J.W.; Xiang, Y.L.; Xi, H.C. Experiments and discrete element simulations of crack initiation angle of mixed-mode I/II in PMMA material. Theor. Appl. Fract. Mech. 2023, 125, 103862. [Google Scholar] [CrossRef]
- Blachut, J. Experimental Perspective on the Buckling of Pressure Vessel Components. Appl. Mech. Rev. 2014, 66, 011003. [Google Scholar] [CrossRef]
- Wei, L.; Zhong, W.Y.; Guo, L.Y. Experimental investigation of a circumferential crack in a PMMA cylindrical shell using caustics. Polym. Test. 2019, 79, 106086. [Google Scholar] [CrossRef]
- Badamchi, K.; Hossien, S. Experiments on buckling behavior of thin-walled steel pipes subjected to axial compression and external pressure. Thin-Walled Struct. 2022, 174, 109122. [Google Scholar] [CrossRef]
- Chao, Z.; Tan, K.T. Experimental and numerical investigation of large-scale effect on buckling and post-buckling behavior of tubular structures. Thin-Walled Struct. 2023, 186, 110708. [Google Scholar] [CrossRef]
- Shariati, M.; Sedighi, M.; Saemi, J. Numerical and experimental investigation on ultimate strength of cracked cylindrical shells subjected to combined loading. Mechanika 2010, 84, 12–19. [Google Scholar]
- Saemi, J.; Sedighi, M.; Shariati, M. Numerical and experimental study on buckling and postbuckling behavior of cracked cylindrical shells. Mech. Solids 2015, 50, 529–545. [Google Scholar] [CrossRef]
- Huakun, W.; Yang, Y.; Jian, X.Y.; Wei, P.X.; Hai, C.C.; Zhao, Y.W.; Meng, X.H. Effect of pitting defects on the buckling strength of thick-wall cylinder under axial compression. Constr. Build. Mater. 2019, 224, 226–241. [Google Scholar] [CrossRef]
- Hui, Y.Q.; Jia, H.P.; Yu, C.; Jike, P. Behaviour of stub columns with initial crack defects under axial compression. Thin-Walled Struct. 2021, 163, 107736. [Google Scholar] [CrossRef]
- Starnes, J.H.; Rose, C.A. Stable Tearing and Buckling Responses of Unstiffened Aluminum Shells with Long Cracks; NASA Langley Technical Report Server: Hampton, VA, USA, 1999. [Google Scholar]
- Rahman, S.; Hamed, S.; Googarchin, M.F. Buckling of cracked cylindrical panels under axially compressive and tensile loads. Thin-Walled Struct. 2015, 94, 457–465. [Google Scholar] [CrossRef]
- Peng, F.; Lili, H.; Peng, Q.; Lie, P.Y. Buckling behavior of CFRP-aluminum alloy hybrid tubes in axial compression. Eng. Struct. 2017, 132, 624–636. [Google Scholar] [CrossRef]
- Vaziri, A.; Estekanchi, H.E. Buckling of cracked cylindrical thin shells under combined internal pressure and axial compression. Thin-Walled Struct. 2006, 44, 141–151. [Google Scholar] [CrossRef]
- ASTM E8/E8M; Standard Test Methods for Tension Testing of Metallic Materials. American Society for Testing Materials: West Conshohocken, PA, USA, 2016.
- GBT7314-2017; Room Temperature Compression Test Methods for Metallic Materials. Standards Press of China: Beijing, China, 2017.
- Li, S.C.; Zhang, Y.C.; Chang, L.; Zhou, C.Y.; He, X.H. Research on Buckling Load of Cylindrical Shell with an Inclined through Crack under External Pressure and Its Solution. Metals 2023, 13, 174. [Google Scholar] [CrossRef]
- Xiao, R.; Li, X.X.; Lang, L.H. Biaxial tensile testing of cruciform slim superalloy at elevated temperatures. Mater. Des. 2016, 94, 286–294. [Google Scholar] [CrossRef]
- Poncelet, M.; Barbier, G.; Raka, B. Biaxial high cycle fatigue of a type 304L stainless steel: Cyclic strains and crack initiation detection by digital image correlation. Eur. J. Mech. A—Solids 2010, 29, 810–825. [Google Scholar] [CrossRef][Green Version]



















| Specimen Material | Specimen Number | Length of Cylindrical Shell L (mm) | Diameter of Cylindrical Shell R (mm) | Thickness t (mm) | Crack Length c (α) (°) | Crack Angle θ (°) | Exp (N) |
|---|---|---|---|---|---|---|---|
| PMMA | A-0 | 120 | 8 | 1.25 | 0 | 0 | 3980.3 |
| A-1 | 60 | 0° | 3137.75 | ||||
| A-2 | 60 | 30° | 2639.09 | ||||
| A-3 | 60 | 45° | 2509.71 | ||||
| A-4 | 60 | 60° | 2844.04 | ||||
| A-5 | 60 | 90° | 3906 | ||||
| B-0 | 200 | 0 | 0 | 3234.6 | |||
| B-1 | 60 | 0° | 1980.0 | ||||
| B-2 | 60 | 30° | 2243.39 | ||||
| B-3 | 60 | 45° | 2277.2 | ||||
| B-4 | 60 | 60° | 2366.16 | ||||
| B-5 | 60 | 90° | 3017.0 |
| Specimen Material | Specimen Number | Length of Cylindrical Shell L (mm) | Diameter of Cylindrical Shell R (mm) | Thickness t (mm) | Crack Length c (α) (°) | Crack Angle θ (°) | Exp (N) |
|---|---|---|---|---|---|---|---|
| 6063 Aluminum alloy | C-0 | 200 | 8 | 0.75 | 0 | 0 | 7716.5 |
| C-1 | 60 | 45° | 7350.2 | ||||
| D-0 | 120 | 0.5 | 0 | 0 | 5723.6 | ||
| D-1 | 60 | 45° | 5188.4 | ||||
| D-2 | 90 | 45° | 4657.1 | ||||
| D-3 | 120 | 45° | 4511.3 | ||||
| E-0 | 160 | 0 | 0 | 5594.0 | |||
| E-1 | 60 | 45° | 4956.6 | ||||
| F-0 | 200 | 0 | 0 | 5464.4 | |||
| F-1 | 60 | 45° | 4839.4 | ||||
| G-0 | 120 | 1 | 0 | 0 | 10,640.2 | ||
| G-1 | 60 | 0° | 9890.0 | ||||
| G-2 | 60 | 45° | 10,295.9 | ||||
| G-3 | 60 | 90° | 10,538.9 | ||||
| H-0 | 200 | 0 | 0 | 9967.4 | |||
| H-1 | 60 | 0° | 9341.9 | ||||
| H-2 | 60 | 45° | 9548.0 | ||||
| H-3 | 60 | 90° | 9834.5 |
| Material | Specimen Number | Mean Value (E/σs/σb) |
|---|---|---|
| Aluminum alloy (6063) | t = 0.5 | 44,766.08/141.11/151.63 |
| t = 0.75 | 36,164.62/127.83/158.29 | |
| t = 1 | 34,474.95/128.29/151.17 | |
| PMMA | t = 1.25–4 | 2051.67/32.48/37.96 |
| Material | Specimen Number | Mean Value (E/σs/σb) |
|---|---|---|
| Aluminum alloy (6063) | t = 0.5 | 12,336.01/200.63/225.03 |
| t = 0.75 | 15,941.73/203.71/261.39 | |
| t = 1 | 13,992.48/180/254.66 | |
| PMMA | t = 1.25 | 2498.74/65.48/81.05 |
Disclaimer/Publisher’s Note: The statements, opinions and data contained in all publications are solely those of the individual author(s) and contributor(s) and not of MDPI and/or the editor(s). MDPI and/or the editor(s) disclaim responsibility for any injury to people or property resulting from any ideas, methods, instructions or products referred to in the content. |
© 2023 by the authors. Licensee MDPI, Basel, Switzerland. This article is an open access article distributed under the terms and conditions of the Creative Commons Attribution (CC BY) license (https://creativecommons.org/licenses/by/4.0/).
Share and Cite
Wang, Z.-W.; Tang, J.; Li, S.-C.; He, X.-H.; Zhou, C.-Y. Research on Elastic and Elastic-Plastic Buckling Load of Cylindrical Shell with an Inclined through Crack under Axial Compressive Load. Materials 2023, 16, 6123. https://doi.org/10.3390/ma16186123
Wang Z-W, Tang J, Li S-C, He X-H, Zhou C-Y. Research on Elastic and Elastic-Plastic Buckling Load of Cylindrical Shell with an Inclined through Crack under Axial Compressive Load. Materials. 2023; 16(18):6123. https://doi.org/10.3390/ma16186123
Chicago/Turabian StyleWang, Zhuo-Wu, Jian Tang, Shou-Chao Li, Xiao-Hua He, and Chang-Yu Zhou. 2023. "Research on Elastic and Elastic-Plastic Buckling Load of Cylindrical Shell with an Inclined through Crack under Axial Compressive Load" Materials 16, no. 18: 6123. https://doi.org/10.3390/ma16186123
APA StyleWang, Z.-W., Tang, J., Li, S.-C., He, X.-H., & Zhou, C.-Y. (2023). Research on Elastic and Elastic-Plastic Buckling Load of Cylindrical Shell with an Inclined through Crack under Axial Compressive Load. Materials, 16(18), 6123. https://doi.org/10.3390/ma16186123
