Next Article in Journal
Fabrication of Multi-Walled Structure through Parametric Study of Bead Geometries of GMAW-Based WAAM Process of SS309L
Next Article in Special Issue
Unraveling the Phase Transition Behavior of MgMn2O4 Electrodes for Their Use in Rechargeable Magnesium Batteries
Previous Article in Journal
The Review of Current and Proposed Methods of Manufacturing Fir Tree Slots of Turbine Aero Engine Discs
Previous Article in Special Issue
Recycled and Nickel- or Cobalt-Doped Lead Materials from Lead Acid Battery: Voltammetric and Spectroscopic Studies
 
 
Font Type:
Arial Georgia Verdana
Font Size:
Aa Aa Aa
Line Spacing:
Column Width:
Background:
Article

An Efficient Methodology Combining K-Means Machine Learning and Electrochemical Modelling for the Determination of Ionic Diffusivity and Kinetic Properties in Battery Electrodes

1
Vlaamse Instelling voor Technologisch Onderzoek (VITO) NV, Boeretang 200, 2400 Mol, Belgium
2
EnergyVille, Thor Park 8310, 3600 Genk, Belgium
*
Author to whom correspondence should be addressed.
Materials 2023, 16(14), 5146; https://doi.org/10.3390/ma16145146
Submission received: 14 June 2023 / Revised: 15 July 2023 / Accepted: 17 July 2023 / Published: 21 July 2023
(This article belongs to the Special Issue Advanced Electrode Materials for Batteries)

Abstract

This paper presents an innovative and efficient methodology for the determination of the solid-state diffusion coefficient in electrode materials with phase transitions for which the assumption of applying the well-known formula from the work of Weppner et al. is not satisfied. This methodology includes a k-means machine learning screening of Galvanostatic Intermittent Titration Technique (GITT) steps, whose outcomes feed a physics-informed algorithm, the latter involving a pseudo-two-dimensional (P2D) electrochemical model for carrying out the numerical simulations. This methodology enables determining, for all of the 47 steps of the GITT characterization, the dependency of the Na+ diffusion coefficient as well as the reaction rate constant during the sodiation of an NVPF electrode to vary between 9 × 10 18 and 6.8 × 10 16 m2·s−1 and between 2.7 × 10 14 and 1.5 × 10 12 m2.5·mol−0.5·s−1, respectively. This methodology, also validated in this paper, is (a) innovative since it presents for the first time the successful application of unsupervised machine learning via k-means clustering for the categorization of GITT steps according to their characteristics in terms of voltage; (b) efficient given the considerable reduction in the number of iterations required with an average number of iterations equal to 8, and given the fact the entire experimental duration of each step should not be simulated anymore and hence can be simply restricted to the part with current and a small part of the rest period; (c) generically applicable since the methodology and its physics-informed algorithm only rely on “if” and “else” statements, i.e., no particular module/toolbox is required, which enables its replication and implementation for electrochemical models written in any programming language.

1. Introduction

Nowadays, there is a wide and further increasing use of lithium-ion batteries (LIBs) in mobile and stationary applications, such as electric vehicles or large-scale electric energy storage system installations. In this sense, LIBs are expected to face major challenges in meeting the actual and further growing consumer demand [1,2]. These challenges are associated with the availability limitation of LIBs in the long term and the high price of the raw materials required for their manufacturing. In view of this problem, sodium-ion batteries (SIBs) present several advantages. Among them, sodium resources have wide geographic availability and low cost and can be safely transported in their discharge state, and there are similar physicochemical properties between the two alkali Na and Li metals [3,4,5]. A SIB comprises a positive electrode made of a material commonly containing Na, a negative electrode material that does not necessarily contain Na, an electrolyte (whether liquid or solid), as well as a separator [6]. During the charge or desodiation process, sodium ions are de-inserted from the positive electrode in order to be further inserted into the negative electrode. Meanwhile, the current is flowing in the opposite direction via an external circuit. Similarly, during the discharge or sodiation of the positive electrode, sodium ions are moving from the negative electrode to go back into the positive electrode [4]. This reversible intercalation process of ions into host electrode materials is referred to as the rocking-chair working principle of battery electrochemical energy storage systems [7]. Further, the material synthesis methods of sodium compounds can easily be borrowed and adapted from lithium compounds [4]. The pouch, prismatic, or cylindrical geometrical configurations used for LIBs can be further employed for manufacturing SIBs. Hence, despite different charge carriers between SIBs (Na+) and LIBs (Li+), cell components and electrochemical ion insertion/extraction mechanisms are basically identical for both battery technologies [8]. This enabled the rapid growth of research and development activities in the field of SIB [4,5]. The accurate knowledge of ion transport properties in electrode materials is of great importance for the optimization of batteries and their performances [9,10]. Regarding the redox potential, sodium exhibits a higher-standard electrode potential than lithium (−2.71 vs. −3.02 V), involving a thermodynamic minimum limit for the negative electrode materials used in SIBs, and further leading to a lower energy density compared to LIBs [4]. In the battery energy storage market, SIBs are considered a very promising technology as well as a relevant choice and an efficient alternative to LIBs for applications in low-speed electric vehicles and large-scale stationary electric energy storage systems [11,12].
In order to develop suitable batteries for these applications, the key to battery electrochemical performance generally is the positive electrode materials [13,14,15]. However, these materials intrinsically have an insulating-like nature (poor electronic mobility) and relatively low ionic diffusion properties that can prevent them from reaching high rates and power performances [13]. In SIBs, the charge carrier Na+ has a larger radius than Li+ (1.02 Å vs. 0.76 Å) as well as a heavier atom weight (23 g·mol−1 vs. 6.94 g·mol−1) [6,16]. However, the mass of the charge carrier represents a small percentage of the overall weight of the electrode material components, such that the difference in the theoretical specific capacity of the electrodes of both SIB and LIB technologies becomes smaller [4]. Nevertheless, the differences in dimensions of the charge carrier and atom weight lead to a larger ion transport channel for SIBs, worse transport kinetics, lower phase stability with interphase formation, and low solubility in solids [17]. Tremendous efforts have been made to find appropriate electrode materials to solve these problems, leading to the development of dominant positive electrode materials for SIBs such as transition metal oxides, polyanionic compounds, Prussian blue analogs, and organic compounds [18]. Among them, fluorophosphate-based N a 3 V 2 P O 4 3   (NVP) and N a 3 V 2 P O 4 2 F 3 (NVPF) materials are the most favorable for use as positive electrodes in SIBs due to their three-dimensional open framework, which can accelerate sodium ion transport by delivering large interstitial spaces [19]. N a 3 V 2 P O 4 3   (NVP), with its NASICON (super-ionic conductor) structure, was revealed to be a very promising positive electrode material for SIBs given its three-dimensional sodium ion migration path, good discharge capacity, high discharge voltage plateau, high thermal stability as energy density, and excellent cycling stability [20,21]. The 3D corner-sharing structure leads to large ion diffusion channels and thus high Na+ diffusivity capabilities. The volume change, occurring during the intercalation and deintercalation processes of Na+ in the electrodeactive material particles, is relatively limited [21]. The NVP electrode materials exhibit a high output voltage and a stable crystal structure during both sodiation and desodiation processes [21]. During the reversible electrochemical reactions, the two sodium ions in the NVP lattice cell are intercalated and deintercalated at 3.4 V, and the theoretical discharge capacity (i.e., sodiation process) is up to 117.6 mAh·g−1 [22]. Techniques such as carbon material cladding modification, elemental doping, and lattice nano-sizing are further investigated to improve the electronic conductivity capabilities ( 1.63 × 10 6 S·cm−1) of NVP electrode materials in order to target applications in large-scale energy storage systems [22].
N a 3 V 2 P O 4 3   (NVP) and N a 3 V 2 P O 4 2 F 3 (NVPF), with its NASICON structure, are materials with large interstitial spaces allowing for the fast intercalation and deintercalation of Na+ ions in the electrodeactive material particles [23]. Furthermore, NVPF exhibits high energy density and outstanding stability properties. In practice, its energy density of around 475 Wh·kg−1 [24,25] is similar to that of LiFePO4 (around 580 Wh·kg−1) as positive electrode material in LIBs [26]. Its theoretical capacity reaches values around 128 mAh·g−1 [27]. In addition, the presence of strong F-V bonding leads to a high working voltage (3.7 V) vs. Na/Na+ [28].
Sodium ion transport inside battery (porous) electrodes is linked to the diffusion of ions in their solid phase. Therefore, sluggish Na+ diffusion properties can prevent NVPF material from reaching a high performance rate and long lifecycle [29]. The diffusion of ions in the electrodes can be determined and quantified through advanced electrochemical characterization techniques, namely, Cyclic Voltammetry (CV), Electrochemical Impedance Spectroscopy (EIS), Potentiostatic Intermittent Titration Technique (PITT), and the Galvanostatic Intermittent Titration Technique (GITT). In practice, diffusion coefficients calculated from CV lead to greater diffusion coefficient values compared to those determined by EIS and GITT [30]. Particularly for the latter, Weppner and Huggins [31] proposed in 1977 a convenient method to determine the diffusion coefficient of ions inside electrodes from GITT characterization data, a method that is still widely used. However, in practice, the assumption for applying the method and its formula is not met for all battery electrode materials and their associated GITT characterization data. This aspect is observed in the case of N a 3 V 2 P O 4 2 F 3 positive electrode materials.
A good alternative to determine the ion transport properties within electrode materials of LIBs and SIBs when the aforementioned assumption is not met is to resort to numerical simulations of GITT characterization data using either electrical equivalent circuit models or electrochemical pseudo-two-dimensional (P2D) models [32,33,34,35,36]. These modeling frameworks enable the quantification of parameter values as the diffusion coefficient in the solid phase of battery porous electrodes, Ds, and the kinetic rate constant parameter, k, in the case of pseudo-two-dimensional electrochemical modeling. A reasonable agreement of the model predictions compared to the experimental data is shown in these previous works.
However, so far, the following were observed: (a) Ds and k values could not be determined for all GITT steps, particularly for the ones located in the middle of the GITT characterization data; (b) the number of iterations needed to determine Ds and k could be potentially reduced if a more efficient extraction process of these parameter values was developed; (c) the simulations associated with the determined Ds and k do not always mimic the experimental data. These aspects can be attributed to the fact that the obtained parameter estimates are the ones that exhibit the lowest error between the experimental GITT step data and the simulations implementing all the pre-defined Ds and k value combinations within a grid, which might not be a computationally efficient method or enable determining appropriate and physically relevant parameter values for all the GITT steps.
With this work, an innovative and efficient methodology is developed and presented in this paper. This methodology is based on a physics-informed algorithm that implements unsupervised machine learning to cluster all the GITT steps, whose outcomes serve as input to steer a P2D model for the simulations of each step and the extraction of their corresponding Ds and k values. In the end, this method enables the extraction of both Ds and k profiles for all the steps of the entire GITT characterization. Moreover, this method also demonstrates to be fast and hence efficient, considering that it does not require simulating the whole duration of each GITT step or many iterations, owing to the effort set in this work toward the efficiency optimization of the parameter extraction process.

2. Materials and Methods

2.1. Materials

2.1.1. Electrochemical Characterizations

A N a 3 V 2 P O 4 2 F 3 positive electrode material referred to as NVPF was considered for the GITT characterizations and the modeling works presented in this paper. The diameter of the active material particles is defined according to the particle size distribution (PSD), in the range between 1.2 µm and 14.7 µm.
A CR2032 coin cell or button cell casing, 20 mm in diameter and 3.2 mm in height, was used for the characterization in a half-coin cell (HCC) configuration of the electrode vs. sodium metal. The thickness of the positive electrode is equal to 90 µm, the thickness of the Na metal counter electrode sheet or negative electrode equals 100 µm, and the Sigma-Aldrich (Saint Louis, United States of America) Whatman separator has a thickness of 1 mm. The electrolyte is NaPF6 (1M) in EC: DMC (1:1).
GITT characterization was performed at 25 °C during the discharge or sodiation (insertion of Na+ in the positive electrode) process of the NVPF electrode. A total of 47 titration steps were performed. Each titration step was defined by a galvanostatic current pulse equivalent to C/25 or 122 μA for 30 min (i.e., low current value for a short time), followed by a relaxation period (i.e., no current applied) with a duration allowing it to reach a potential variation of less than 1 mV·h−1. In this way, a stable equilibrium potential was reached, which therefore enabled us to derive accurately the Open Circuit Potential curve of the electrode.
The experiments were carried out with a BioLogic (Claix, France) electrochemical workstation while keeping the electrode in climate chamber conditions at 25 °C. The evolution of the electrode potential with respect to both discharge capacity and GITT steps is illustrated in Figure 1. The total discharge capacity of the GITT characterization is equal to 2.81 mAh.
In addition, three pre-GITT characterization cycles were performed at 25 °C, with a low C/20 C-rate following the Constant Current–Constant Voltage (CCCV) discharge mode. According to this protocol, both Constant Current (CC) charge and discharge are followed by a Constant Voltage (CV) step. The electrode potential is held at Vmax and Vmin at the end of both charge and discharge until the current flowing through the electrode is lower than the current corresponding to C/20 (with C the capacity at the characterization temperature 25 °C).

2.1.2. Pseudo-Two-Dimensional (P2D) Electrochemical Modeling

In this work, GITT simulations were carried out with a pseudo-two-dimensional (P2D) electrochemical type of model. This model was developed and implemented in MATLAB by means of the Livelink for MATLAB interface of the finite element software COMSOL Multiphysics 5.2a. This model enables the simulation of the potential of the studied NVPF electrode for each of the 47 GITT titration steps.
The schematic of the half-coin cell considered for P2D modeling is illustrated in Figure 2. The working electrode (WE) refers to NVPF, the counter electrode (CE) refers to sodium metal, and SP and CC refer to the separator and aluminum current collector, respectively. Two dimensions in space are considered: the macroscopic x direction across the half-cell, and the microscopic radial direction across the electrode particles. The NVPF electrode is considered porous, associated with two solid and electrolyte phases. The solid phase is assumed to be made of uniformly distributed spherical particles of the same size. Hence, calculation of the effective conductivity and diffusivity parameters via Bruggerman’s correlation is allowed. Further, it is considered that no volume change occurs in the active material particles of the NVPF electrode during the insertion mechanism of Na+, and the voltage drop across the aluminum current collector is negligible. The temperature of the half-cell is considered to remain constant during the discharge or sodiation of the NVPF electrode.
Table 1 summarizes the governing nonlinear partial differential equations (PDEs) and their constitutive equations involved in the P2D electrochemical modeling [32,37,38,39]. Table A2 and Table A3 describe the corresponding subscripts and superscripts, and the Greek and Roman letters, respectively.
The Open Circuit Potential (OCP) of the NVPF electrode as a model parameter is derived from the last potential measurement of each GITT titration step. The electrolyte ionic conductivity, diffusion coefficient, and transference number are derived from [40].

2.1.3. K-Means Unsupervised Machine Learning

The k-means algorithm, as part of unsupervised machine learning techniques, is a well-known and widely used clustering method. Clustering in data science allows the finding in a dataset of the greatest similarity within the same cluster and the greatest dissimilarity between different clusters [41]. In this work, a k-means unsupervised machine learning algorithm was implemented in Python via scikit-learn (version 1.2.2) with the sklearn.cluster module and the KMeans submodule for the clustering of unlabeled data. This aims at the categorization of the 47 GITT titration steps according to clusters based on their voltage characteristics.
The k-means algorithm clusters data by attempting to distinguish samples in n groups of equal variance, while minimizing a criterion known as the inertia or Within-Cluster Sum-of-Squares. The k-means algorithm divides a set X of N samples into K disjoint clusters C. The mean of each cluster, μ j , is commonly called the “centroid”. The centroids are defined in order to minimize the inertia, or the Within-Cluster Sum-of-Squares criterion (WCSS) in Equation (1):
i = 0 n min μ j C x i μ j 2
The clustering of data via the k-means machine learning algorithm involves three steps. The first step chooses the initial centroids based on k samples selected from the dataset X. Thereafter, follows two steps: a step to assign each sample to its nearest centroid and one to create new centroids based on the mean values of all the samples assigned to each previous centroid. These last two steps are repeated by the k-means algorithm until the difference between the old and the new centroids is less than a threshold and the centroids do not move significantly [42].

2.2. Methods

2.2.1. Analytical Method

The galvanostatic intermittent titration technique consists of applying constant current pulses during a given time and measuring the potential response of the studied system.
Fundamentally, the chemical diffusion coefficient, D, in a system can be determined by GITT with Equation (2) (as long as τ r 2 D ) [43,44] in the case where particles can be considered as semi-infinite solids:
D = 4 π 1 S F z A 2 I 0 d E / d c d E / d t 2
where S, F, and z A represent the particle area involved in the current pulses, the Faraday constant, and the charge number of the ion, respectively. I 0 , E, and c designate the galvanostatic current step, the measured potential, and the surface concentration, respectively.
Basically, the determination of the diffusion coefficient with GITT characterization relies on several assumptions. For the Na+ diffusion coefficient in electrodes, one-dimensional semi-infinite particles are considered. Second, the transport of lithium is assumed to follow Fick’s law. Third, diffusion coefficients are assumed not to vary during the current pulses. For small and short current pulses, the d E / d c and d E / d t derivatives can be considered constant and approached by E s / c and E τ / t .
Taking into account the relations between S, F, z A , and I 0 , the Na+ diffusion coefficient can be extracted from the data associated with each current pulse according to Equation (3):
D s = Δ E s Δ E τ 2 4 L 2 π τ
This equation was proposed by Weppner et al. and can be applied as long as the assumption for its use τ L 2 D s is satisfied [43,44]. In Equation (3), L represents the characteristic diffusion length equal to R s / 3 for spherical-like active material particles as the ones of NVPF [45,46], τ is the duration of the discharge current pulse, and E s and E τ represent the changes in the steady-state potential and in the transient potential of the electrode.
Figure 3a shows the results of the diffusion coefficient Ds determined with Equation (3) for all the GITT steps of the NVPF positive electrode material. The values range from 10 19 to 2 × 10 16 . It can be observed that for most of the GITT steps, τ is not significantly lower than L 2 D s , with a ratio in Figure 3b ranging between 0.01 and 1, which was, however, the condition for the determination of Ds via Equation (3).

2.2.2. Numerical Method

A numerical approach based on P2D electrochemical modeling for the determination of the diffusion coefficient Ds and the reaction rate constant k for each GITT step via simulations is of high relevance. As mentioned in Section 1, a first approach would be to initially define a vector with possible values of Ds and k for the whole set of GITT steps, then carry out simulations while looping over all these pre-defined Ds and k value combinations. In the end for each step, the combination of Ds and k leading to the lowest error between the experimental and simulation results is selected. In such an approach, the best Ds and k values are purely determined based on the quantification of the simulation error when compared to the experimental data. As a consequence, the time it takes to test all the combinations might be considerably long, and for GITT steps associated with phase transitions in the electrode material, adequate Ds and k values (allowing the reproduction of the experimental data) are not always included in the predefined vector of “guessed values”.
Therefore, it is important to consider, as in this work, that all the GITT steps and their corresponding Ds and k values are interconnected. In this way, the determination of the Ds and k values of step #n starts with the value extracted for step #n − 1. No specific upper or lower bounds, depending on whether we are lowering or increasing both parameters, have to be defined. In that way, it is therefore possible to extract adequate Ds and k values for all of the steps of the GITT characterization data.
In practice, for each GITT titration step, first, a potential change occurs, referred to as the “current response” in this work. This is caused by the galvanostatic current pulse applied to the electrode initially in a near-equilibrium potential state. Thereafter, a second potential change is occurring, which is referred to as the “relaxation response” in this work. The latter results from the application to the electrode of a rest period, whose duration is longer than the “current response” to allow the electrode potential to return to an equilibrium state.
Fundamentally, the diffusion coefficient Ds is linked to the relaxation response of a GITT step and further influences the current response and its slope. A low Ds value leads the simulated current response to exhibit a high negative slope. A high Ds value leads the current response to be more horizontal and flattened.
The reaction rate constant, k, only impacts the current response. In practice, an increase in the k value in the simulation shifts up the simulated current response. Similarly, a decrease in the k value shifts down the simulated current response. Changes in the k model parameter value purely result in a vertical upwards or downwards translation of the current response. The current response is sensitive to both Ds and k, whereas the relaxation response is only sensitive to Ds. Consequently, the approach for each GITT step in this paper consists of first proceeding to the extraction, via P2D simulations, of the diffusion coefficient in the solid phase Ds, followed by the extraction of the reaction rate constant k.
The flow diagram of the innovative and efficient methodology developed in this work is presented in Figure 4.
This methodology entails the following 5 stages: (1) initialization and preparation stage, (2) clustering via k-means unsupervised machine learning, (3) extraction of the diffusion coefficient Ds, (4) extraction of the reaction rate constant k, (5) finalization stage. The initialization and preparation stage includes the screening of all the GITT steps and the extraction of their voltage characteristics for abstraction purposes for the next stage. In this stage, clustering via k-means unsupervised machine learning is performed based on the GITT step voltage characteristics. At this point, all the required information to conduct the extraction of both Ds and k parameters via simulations is obtained. For these two extraction stages, a physics-informed algorithm is designed by implementing a P2D electrochemical model utilizing as input the results of the GITT step categorization of stage 2. In this way, the designed algorithm knows how to handle each of the steps. The finalization stage allows us to determine whether all the steps of the GITT characterization data have been processed.
K-means machine learning for clustering of the GITT steps is implemented as part of this methodology in stage 2, which enables us to distinguish between the “flat” steps on one hand and between the “sloping” or “non-flat” steps on the other. To conduct k-means machine learning clustering, each GITT step is abstracted and quantified by the difference between its first and its last measurement V 1 N = V n = 1 V n = N and the difference between the second and last (i.e., at t = τ ) measurement of its current response V 1 n τ = V n = 1 V ( n τ )   . In practice, for each step, V 1 N relates to the relaxation response while V 1 n τ relates to the current response.
For sloping GITT steps, two conditions should be met to stop the iterations for the extraction of Ds. First, all points of the current response exhibit a slope with the same order of magnitude. Second, the simulated voltage corresponding to the first measurement of the relaxation response is higher or lower than (whether we are iterating with positive or negative increments) or equal to the corresponding experimental value.
Two conditions should be met to stop the iterations for the extraction of Ds in case of flat GITT steps. First, all points of the current response exhibit a slope with the same order of magnitude and the same sign. The iterations for the extraction of k are stopped in case the last simulated potential of the current response is lower than or equal to the corresponding measurement point. For each GITT step, the values of Ds are incremented by 0.5% of the starting value at each new iteration, whereas the values of k are incremented by 0.2%.
For steps associated with a change in category from “flat” to “sloping” or “sloping” to “flat”, their Ds and k values are expected to increase or decrease (whether we are iterating with positive or negative increments) more significantly compared to consecutive steps belonging to the same category. To speed up the process of Ds and k extraction for these steps and reduce the number of iterations needed, increments up to 5% and 10% are defined, respectively.

3. Results

3.1. Potential vs. Time for All GITT Steps

Figure 5 presents an overview of the evolution in time of the NVPF electrode potential for each GITT step from 1 to 47.
The decay in potential along with the GITT steps can be clearly observed in Figure 5. Several GITT steps such as 22, 23, 34, 46, and 47 exhibit nonlinear and steep current responses. This is linked to the occurrence of phase transitions occurring in the electrode material in the potential region of these steps. Consequently, the duration of the relaxation response needed for the potential to return to an equilibrium state is longer for these steps compared to the other GITT steps. This is illustrated with the light blue bars in Figure 6.
The dark blue bars in Figure 6 highlight the duration of the GITT steps used for simulation purposes. An advantage of this methodology is that the duration of the GITT steps to be taken into account in the simulations for the Ds and k parameters’ extraction can be shortened compared to the experimental ones. On average, only 46% of the experimental step duration should be taken into account as an input parameter of the model to carry out the simulation of the GITT steps. For long steps associated with phase transitions occurring in the material, only 16% of the experimental step duration should be simulated. This enables a reduction in the time needed for simulating and extracting both Ds and k parameters for each step, which reduces the total time required for the simulation of the entire GITT characterization.

3.2. Clustering of GITT Steps by K-Means Unsupervised Machine Learning

Unsupervised k-means machine learning is achieved for the clustering of the 47 GITT steps according to their voltage characteristics abstracted via the differences V 1 N = V n = 1 V n = N and V 1 n τ = V n = 1 V ( n τ )   . Figure 7 presents an overview of the clustering of GITT steps 1 to 20. A total of three clusters and their centroids were identified. Particularly, step 1 is representing a cluster as such, with its x and y coordinates being those of the centroid itself. The two other clusters, clusters 1 and 2, comprise a total number of steps equal to 12 and 7, respectively.
In Figure 7, it can be observed that a difference V 1 N equal to 2 mV allows us to distinguish between cluster 1 and cluster 2. GITT steps with a difference V 1 N less than 2 mV and a difference V 1 n τ less than 3 mV are referred to as “flat” and belong to the purple area. Those with a difference V 1 N greater than 2 mV and a difference V 1 n τ greater than 3 mV are referred to as “sloping” or “non-flat” steps and belong to the red area. Steps belonging to cluster 2 are observed not to be all part of the same area, i.e., step 20 belongs to the purple area while all the others belong to the red area. According to these observations, GITT step 1 of cluster 3 can be classified as a sloping step. The area of flat GITT steps is defined by a set of 13 steps {{2–9},{16–20}}, while the area of sloping steps is defined by a set of 6 GITT steps {10–15}.
Figure 8 presents an overview of the clustering of GITT steps 21 to 33. A total of five clusters and their centroids were identified. Particularly, steps 22, 23, and 24 are each representing one cluster as such, whose x and y coordinates are those of the centroids themselves. The two other clusters, clusters 1 and 2, comprise a total number of steps equal to 7 and 3, respectively. The centroid of cluster 2, associated with a difference V 1 N equal to 2 mV, delimits the flat and sloping GITT step areas. Steps belonging to cluster 2 are observed not to be all part of the same area, i.e., steps 32 and 33 belong to the purple area, while step 21 belongs to the red area. According to these observations, steps 22, 23, and 24 of clusters 3, 4, and 5 can be classified as sloping steps. The area of flat GITT steps is defined by a set of nine steps {25–33}, while the area of sloping steps is defined by a set of four GITT steps {21–24}.
Figure 9 presents an overview of the clustering of GITT steps 34 to 47. A total of six clusters and their centroids were identified. Particularly, steps 35, 45, 46, and 47 are each representing one cluster as such, whose x and y coordinates are those of the centroids themselves. The two other clusters, clusters 1 and 2, comprise a total number of steps equal to 7 and 3, respectively. The centroid of cluster 2, associated with a difference V 1 N equal to 1.8 mV, delimits the flat and sloping GITT step areas. Steps belonging to cluster 2 are observed not to be all part of the same area, i.e., steps 38 and 44 belong to the purple area, while step 34 belongs to the red area. According to these observations, steps 35, 45, 46, and 47 of clusters 3, 4, 5, and 6 can be classified as sloping steps. The area of flat GITT steps is defined by a set of 10 steps {36–45}, while the area of sloping steps is defined by GITT step {34}.
In this methodology, the clustering and further categorization of the GITT steps are achieved based on the implementation of k-means unsupervised machine learning. From the results in Figure 7, Figure 8 and Figure 9, a difference V 1 N less than or equal to 2 mV allows us to distinguish the areas of flat and sloping GITT steps.
Overall, the flat step area comprises a set of 32 steps {{2–9},{16–20},{25–33},{36–45}}, whereas the sloping step area comprises a set of 15 steps {{1},{10–15},{21–24},{34,35},{46,47}}.
Figure 10 summarizes graphically these results with the use of the same purple and red colors as in Figure 7, Figure 8 and Figure 9. Throughout the entire GITT characterization, it can be observed that eight switches are occurring in total between the two categories of steps. These switches are corroborating the occurrence of phase transitions in the electrode material. In total, four category switches from sloping to flat steps occurring for steps {{1,2},{15,16},{24,25},{35,36}} and four category switches from flat to sloping steps occurring for steps {{9,10},{20,21},{33,34},{45,46}} are observed. In practice, sloping GITT steps exhibit a difference V 1 n τ higher than of the flat steps. Flat GITT steps exhibit a difference V 1 N lower than of the sloping steps. Therefore, a higher diffusion coefficient is associated with the flat steps compared to the sloping steps. Consequently, an increase in the diffusion coefficient Ds value is expected while a switch from a sloping step to a flat step occurs. Conversely, a decrease in the diffusion coefficient Ds is expected while a switch from a flat to a sloping step occurs. The resulting variations in the Ds values are illustrated graphically in Figure 10.

4. Discussion

4.1. Diffusion Coefficient and Reaction Rate Constant Profiles

The Ds and k parameter values extracted from the simulations of the 47 GITT steps are illustrated in Figure 11. The Na+ diffusion coefficient and the reaction rate constant throughout the sodiation of the electrode are determined to vary within two orders of magnitude between 9 × 10 18 and 6.8 × 10 16 m2·s−1 and between 2.7 × 10 14 and 1.5 × 10 12 m2.5·mol−0.5·s−1, respectively. Despite differences in the material synthesis and composition available in the literature, it seems that analytical formulas intrinsic to GITT, EIS, and CV characterizations to derive Na+ diffusion coefficients in NVPF electrodes provide higher values in the ranges of [ 10 14 10 11 ] [47] (GITT), [ 10 13 10 12 ] [48] (EIS) and [ 10 8 10 7 ] [49] (CV), respectively, compared to those extracted via numerical simulations, as presented in this work.
In Figure 11a, when switching from a flat to a sloping step category (e.g., from step 9 to 10), as when switching from a sloping to a flat step category (e.g., from step 15 to 16), the value of Ds clearly decreases and increases, respectively, in accordance with Figure 10. These switches are accompanied by changes in the order of magnitude of Ds. These observations are reflecting the occurrence of phase transitions in the NVPF electrode material that can be identified using advanced XRD characterization techniques [50,51]. Several plateaus can be observed in the diffusion coefficient Ds profile. These are generally lower in the second compared to the first part of the GITT characterization.
In Figure 11b, the profile of the reaction rate constant k exhibits an overall decreasing trend throughout the sodiation of the electrode. In the case of plateaus in the diffusion coefficient profile, the reaction rate constant decreases continuously. In case of an increase or decrease in Ds when switching from one plateau to the other, the reaction rate constant tends mostly to decrease or increase.
The overall decreasing trend observed in the profiles of k and Ds highlights that more and more sodium ions are inserted in the NVPF active material particles during the sodiation process of the electrode, which slows down the insertion of additional sodium ions in remaining particles.

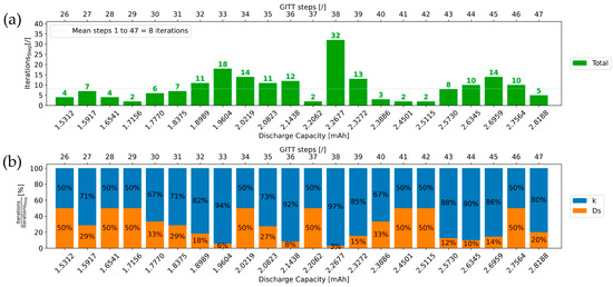
4.2. Number of Iterations

Figure 12 and Figure 13 show the number of iterations needed to extract k and Ds values for GITT steps 1 to 25 and 26 to 47, respectively. Overall, only eight iterations are required on average for the physics-informed algorithm to extract the Ds and k values of a GITT step. Importantly, each of the iterations performed contributes to coming closer and closer to the final extracted Ds and k values. With this methodology, each iteration is thus relevant and necessary. Since no “unnecessary” iterations are required, the parameter extraction process is time-efficient. In Figure 12 and Figure 13, it can be observed that 64% of all GITT steps exhibit less than eight required iterations, the average value. For most of the steps, the algorithm does not require more than eight iterations to extract both corresponding k and Ds parameter values.
The number of iterations for the first GITT step in Figure 12 is relatively high. This is due to the fact that no prior step exists, which does not allow for starting the first iteration of the parameter extraction process with close enough values for Ds and k. For this step, the starting value for Ds is equal to 1 × 10 19 m2·s−1 from Figure 3a, and k is equal to 5 × 10 14 m2.5·mol−0.5·s−1. In Figure 13, GITT step 38 also exhibits a high number of iterations. This is mostly due to the number of iterations needed to extract its corresponding k value. In Figure 10, step 38 belongs to the flat GITT steps category like its previous step 37 and following step 39. This step is not associated with a switch in the step category such that no significant changes in the k value are assumed compared to that of the previous steps. Therefore, a small standard increment will be used for conducting the iterations. In view of the significant decrease in k occurring between steps 37 and 38, more iterations will be needed for this step.
Figure 12b and Figure 13b show that for 67% of all the GITT steps, the share of iterations (with respect to the total number of iterations) to extract the k value is higher than what is needed for Ds. Thus, for most of the steps, the number of iterations needed to extract the final k value is higher than what is needed to determine the final Ds value. This is in line with the continuous decreasing trend with local variations in the k profile in Figure 11b. In particular, more iterations for the extraction of Ds and k final values would be initially required for GITT steps associated with a switch in the step category. In practice, around 10 iterations are needed for these steps. This results from the definition for these steps, of greater increments used for the iterations, achieved as part of the optimization of the methodology.

4.3. Comparison between Experimental and Simulation Data

The simulation results compared to the experimental data for GITT steps 1 to 47 are illustrated in Figure 14.
Overall, a good agreement was found between the simulated (green) and the experimental (blue) curves. This highlights the capability of the developed physics-informed algorithm to steer and allow the electrochemical P2D model to simulate and extract Ds and k values for all 47 GITT titration steps.

4.4. Accuracy of the Simulation Compared to the Experimental Data

Figure 15a,b illustrates the Root Mean Square Error (RMSE) values associated with steps 1 to 25 and 26 to 47, respectively.
The accuracy of the simulation results for each of the 47 GITT steps is quantified with the calculation of the RMSE. The latter quantifies the deviation of the results from the simulation of each GITT step, implementing the corresponding final extracted Ds and k values, compared to the experimental data. Overall, an average value of 3.3 mV RMSE is determined, discarding outlier steps 23, 46, and 47. Around 70% of the GITT steps exhibit an RMSE below this average value. This means that for most of the GITT steps, the simulations implementing the respective final corresponding Ds and k parameter values do not deviate more than 3.3 mV from the experimental data.
In Figure 15, the RMSE values associated with the steps in the middle, 23, and at the end, 46 and 47, of the GITT characterization are shown to be relatively high. This is due to the fact that causes of nonlinearities are not captured in the framework of the P2D modeling and its assumptions used in this work. The high RMSE values associated with the last GITT steps 46 and 47 are in line with the sudden and unexpected increase in the reaction rate constant k in Figure 11b for these steps.

4.5. Implementation of Ds and k Profiles in the Case of Constant Current Discharge Simulation

The extracted Ds and k profiles in Figure 16 are now implemented in the model to simulate a C/20 constant current discharge of the NVPF positive electrode at 25 °C. For implementation in the model, the reaction rate constant profile was fitted with a third-order polynomial. Due to the high RMSE values associated with the simulations of GITT steps 46 and 47 in Figure 15, their associated reaction rate constant values were not taken into consideration. Figure 16a shows the simulation results compared to the experimental data. An RMSE equal to 32 mV is calculated, which confirms the good agreement observed between the simulation and the experimental results.
Figure 16b illustrates the Incremental Capacity or dQdV curves associated with both simulation and experimental results. Overall, the peaks of both curves are well aligned with each other. A total of five peaks can be distinguished for the experimental data, whereas four peaks are defined for the simulation. In particular, no peak in the dQdV curve of the simulation is seen to correspond to the last one observed in the dQdV curve of the experimental data. This might originate from the rather flat behavior in this region of the Open Circuit Potential characteristic curve used as input in the model.
The existence of peaks in dQdV curves indicates phase transitions in electrode materials [52]. A correspondence can be made between the locations of the peaks of the dQdV curves in Figure 16b and the existing plateaus in the profile of Ds in Figure 11a. This verifies the assumption that the occurrence of these plateaus in the profile of Ds is related to phase transitions in the NVPF electrode material.

5. Conclusions

With this work, an innovative and efficient methodology is developed for the determination of the solid-state diffusion coefficient in electrode materials with phase transitions for which the assumption of applying the well-known formula from the work of Weppner et al. is not satisfied.
This methodology is defined by the implementation of a k-means machine learning screening of Galvanostatic Intermittent Titration Technique (GITT) steps, whose outcomes feed a physics-informed algorithm, the latter involving a pseudo-two-dimensional (P2D) electrochemical model for carrying out the numerical simulations.
As a result, Ds and k parameter values were successfully extracted in this order for each of the 47 steps of the GITT characterization data during the discharge of an NVPF electrode. The Na+ diffusion coefficient and the reaction rate constant throughout the sodiation of the electrode were determined to vary between 9 × 10 18 and 6.8 × 10 16 m2·s−1 and between 2.7 × 10 14 and 1.5 × 10 12 m2.5·mol−0.5·s−1, respectively.
This innovative methodology presents for the first time the successful application of unsupervised machine learning via k-means clustering for the clustering of GITT steps according to their characteristics in terms of voltage. Based on this, all the steps could be further categorized as being “flat” or “sloping”.
This methodology also proved to be efficient. An average number of only eight iterations is sufficient to extract both Ds and k associated with a GITT step. This achieves a significant reduction in the number of iterations required and hence speeds up the extraction process of the parameters, as compared to the existing literature. For most of the GITT steps, that is, 67% of them, the number of iterations needed to extract the reaction rate constant k value is higher than what is needed to extract the diffusion coefficient Ds value.
In addition, as part of this methodology, the whole duration of each GITT step should not be simulated anymore and hence can simply be restricted to the current response and a small part of the relaxation response. For the longest steps, only 15% of their experimental duration has to be simulated.
When comparing the simulation of the GITT steps to their experimental data, an average Root Mean Square Error (RMSE) of 3.3 mV is determined. Most of the steps, that is, 70% of them, do not exhibit more than the average value of 3.3 mV deviation between the simulated and the experimental data.
The extracted Ds and k profiles were further implemented for the simulation of C/20 constant current discharge of the NVPF electrode. An overall alignment of the peaks in both Incremental Capacity curves and a 32 mV RMSE demonstrate the good agreement observed between the simulation and the experimental results. A correspondence can be made between the locations of the peaks of the dQdV curves and the existence of plateaus in the profile of the diffusion coefficient Ds. Hence, this verifies the assumption that the occurrence of these plateaus in the profile of Ds is related to phase transitions in the NVPF electrode material.
Considering that this methodology and its physics-informed algorithm only rely on “if” and “else” statements, no particular module/toolbox is required. This enables its replication and implementation for electrochemical models written in any programming language and makes it generically applicable.

Author Contributions

Conceptualization, O.C.; methodology, O.C.; software, O.C.; writing—original draft preparation, O.C.; writing—review and editing, O.C. and L.D.C.; visualization, O.C. and L.D.C. All authors have read and agreed to the published version of the manuscript.

Funding

This research work was funded by the European Union’s Horizon 2020 research and innovation program NAIMA project, grant agreement no. 875629.

Data Availability Statement

The data are not publicly available.

Acknowledgments

The authors would like to acknowledge Chloé Pablos and Laurence Croguennec for performing the Galvanostatic Intermittent Titration Technique (GITT) characterizations at ICMCB-CNRS.

Conflicts of Interest

The authors declare no conflict of interest. The funders had no role in the design of the study; in the collection, analyses, or interpretation of data; in the writing of the manuscript; or in the decision to publish the results.

Appendix A

Appendix A.1. Abbreviations

The abbreviations in Table A1 are used in this work.
Table A1. Abbreviations.
Table A1. Abbreviations.
AbbreviationFull Name
CCConstant Current
CVConstant Voltage
CVCyclic Voltammetry
dQdVIncremental Capacity
EISElectrochemical Impedance Spectroscopy
GITTGalvanostatic Intermittent Titration Technique
HCCHalf-coin cell
LIBLithium-ion battery
NVPF Sodium   vanadium   fluorophosphate ,   N a 3 V 2 P O 4 2 F 3
OCPOpen Circuit Potential
P2DPseudo-two-dimensional
PSDParticle Size Distribution
RMSERoot Mean Square Error
SIBSodium-ion battery
WCSSWithin-Cluster Sum-of-Squares
XRDX-ray diffraction

Appendix A.2. Subscripts and Superscripts

The subscripts and superscripts in Table A2 are used in this work.
Table A2. Subscripts and superscripts.
Table A2. Subscripts and superscripts.
SymbolName
aAnodic
AArea
cCathodic
eElectrolyte
effEffective
maxMaximum
SSteady State
sSolid
surfSurface

Appendix A.3. Greek and Roman Letters

The subscripts and superscripts in Table A3 are used in this work.
Table A3. Greek and Roman letters.
Table A3. Greek and Roman letters.
SymbolNameUnits
αCharge transfer coefficient [-]
asSpecific interfacial area[m−1]
cConcentration of ions (Na+ or Li+)[mol·m−3]
DDiffusion coefficient [m2·s−1]
εVolume fraction[-]
FFaraday constant [C·mol−1]
i0Exchange current density[A·m−2]
jTransfer current per unit volume[A·m−3]
κIonic conductivity[S·m−1]
kReaction rate constant[m2.5·mol−0.5·s−1]
ηOverpotentialV
ΦElectric potential[V]
rRadial coordinate along the radius of the electrode-active material particles[m]
RIdeal gas constant [J·mol−1·K−1]
σElectrical conductivity[S·m−1]
τPulse duration[s]
t+Transference number of ions (Na+ or Li+)[-]
T Temperature [K]
U Open Circuit Potential [V]

References

  1. Weppner, W.; Huggins, R. Determination of the Kinetic Parameters of Mixed Conducting Electrodes and Application to the System Li3Sb. J. Electrochem. Soc. 1977, 124, 1569–1578. [Google Scholar] [CrossRef]
  2. Yu, T.; Li, G.; Duan, Y.; Wu, Y.; Zhang, T.; Zhao, X.; Luo, M.; Liu, Y. The Research and Industrialization Progress and Prospects of Sodium Ion Battery. J. Alloys Compd. 2023, 958, 170486. [Google Scholar] [CrossRef]
  3. Lu, W.; Wang, Z.; Zhong, S. Sodium-Ion Battery Technology: Advanced Anodes, Cathodes and Electrolytes. J. Phys. Conf. Ser. 2021, 2109, 012004. [Google Scholar] [CrossRef]
  4. Yadav, P.; Patrike, A.; Wasnik, K.; Shelke, V.; Shelke, M. Strategies and Practical Approaches for Stable and High Energy Density Sodium-Ion Battery: A Step Closer to Commercialization. Mater. Today Sustain. 2023, 22, 100385. [Google Scholar] [CrossRef]
  5. Zhao, L.; Zhang, T.; Li, W.; Li, T.; Zhang, L.; Wang, X.; Wang, Z. Engineering of Sodium-Ion Batteries: Opportunities and Challenges. Eng. J. 2022, in press. [CrossRef]
  6. Tarascon, J.-M. Na-Ion versus Li-Ion Batteries: Complementarity Rather than Competitiveness. Joule 2020, 4, 1613–1620. [Google Scholar] [CrossRef]
  7. Zhao, H.-S.; Qi, Y.-L.; Liang, K.; Zhu, W.-K.; Wu, H.-B.; Li, J.-B.; Ren, Y.-R. Phosphorus-Doping and Oxygen Vacancy Endowing Anatase TiO2 with Excellent Sodium Storage Performance. Rare Met. 2021, 41, 1284–1293. [Google Scholar] [CrossRef]
  8. Li, Y.; Lu, Y.; Adelhelm, P.; Titirici, M.-M.; Hu, Y.-S. Intercalation Chemistry of Graphite: Alkali Metal Ions and Beyond. Chem. Soc. Rev. 2019, 48, 4655–4687. [Google Scholar] [CrossRef]
  9. Muhammed Hafiz, N.S.; Singla, G.; Kumar Jha, P. Next Generation Sodium-Ion Battery: A Replacement of Lithium. Mater. Today Proc. 2022; in press. [Google Scholar] [CrossRef]
  10. Schied, T.; Nickol, A.; Heubner, C.; Schneider, M.; Michaelis, A.; Bobeth, M.; Cuniberti, G. Determining the Diffusion Coefficient of Lithium Insertion Cathodes from GITT Measurements: Theoretical Analysis for Low Temperatures. ChemPhysChem 2021, 22, 885–893. [Google Scholar] [CrossRef]
  11. Ariyoshi, K.; Sugawa, J. Determination of Solid-State Li Diffusion Coefficient of Lithium Insertion Materials from Rate Capability Tests on Diluted Electrode. Electrochemistry 2021, 89, 157–161. [Google Scholar] [CrossRef]
  12. Guo, Z.; Qian, G.; Wang, C.; Zhang, G.; Yin, R.; Liu, W.-D.; Liu, R.; Chen, Y. Progress in Electrode Materials for the Industrialization of Sodium-Ion Batteries. Prog. Nat. Sci. Mater. Int. 2023, 33, 1–7. [Google Scholar] [CrossRef]
  13. Broux, T.; Fleutot, B.; David, R.; Brüll, A.; Veber, P.; Fauth, F. Temperature Dependence of Structural and Transport Properties for Na3V2(PO4)2F3 and Na3V2(PO4)2F2.5O0.5. Chem. Mater. 2018, 30, 358–365. [Google Scholar] [CrossRef]
  14. Yuan, M.; Liu, H.; Ran, F. Fast-Charging Cathode Materials for Lithium and Sodium Ion Batteries. Mater. Today 2023, 63, 360–379. [Google Scholar] [CrossRef]
  15. Su, R.; Zhu, W.; Liang, K.; Wei, P.; Li, J.; Liu, W.; Ren, Y. Mnx+ Substitution to Improve Na3V2(PO4)2F3-Based Electrodes for Sodium-Ion Battery Cathode. Molecules 2023, 28, 1409. [Google Scholar] [CrossRef]
  16. Quinzeni, I.; Fujii, K.; Bini, M.; Yashima, M.; Tealdi, C. Na+ Diffusion Mechanism and Transition Metal Substitution in Tunnel-Type Manganese-Based Oxides for Na-Ion Rechargeable Batteries. Mater. Adv. 2022, 3, 986–997. [Google Scholar] [CrossRef]
  17. Shannon, R. Revised Effective Ionic-Radii and Systematic Studies of Interatomic Distances in Halides and Chalcogenides. Acta Crystallogr. A 1976, 32, 751–767. [Google Scholar] [CrossRef]
  18. Chen, S.; Wu, C.; Shen, L.; Zhu, C.; Huang, Y.; Xi, K.; Maier, J.; Yu, Y. Challenges and Perspectives for NASICON-Type Electrode Materials for Advanced Sodium-Ion Batteries. Adv. Mater. 2017, 29, 1700431. [Google Scholar] [CrossRef]
  19. Jiang, M.; Xu, D.; Yang, B.; Zhang, C.; Cao, M. Oxygen Vacancy Engineering in Na3V2(PO4)3 for Boosting Sodium Storage. Adv. Mater. Interfaces 2021, 8, 2100188. [Google Scholar] [CrossRef]
  20. Puspitasari, D.A.; Patra, J.; Hung, I.M.; Bresser, D.; Lee, T.-C.; Chang, J.-K. Optimizing the Mg Doping Concentration of Na3V2–XMgx(PO4)2F3/C for Enhanced Sodiation/Desodiation Properties. ACS Sustain. Chem. Eng. 2021, 9, 6962–6971. [Google Scholar] [CrossRef]
  21. Klee, R.; Aragon, M.; Lavela, P.; Alcantara, R.; Tirado, J. Na3V2(PO4)3/C Nanorods with Improved Electrode–Electrolyte Interface as Cathode Material for Sodium-Ion Batteries. ACS Appl. Mater. Interfaces 2016, 8, 23151–23159. [Google Scholar] [CrossRef] [PubMed]
  22. Zhu, Y.; Xu, H.; Ma, J.; Chen, P.; Chen, Y. The Recent Advances of NASICON-Na3V2(PO4)3 Cathode Materials for Sodium-Ion Batteries. J. Solid State Chem. 2023, 317, 123669. [Google Scholar] [CrossRef]
  23. Xiao, H.; Huang, X.; Ren, Y.; Wang, H.; Ding, J.; Zhou, S.; Ding, X.; Chen, Y. Enhanced Sodium Ion Storage Performance of Na3V2(PO4)3 with N-Doped Carbon by Folic Acid as Carbon-Nitrogen Source. J. Alloys Compd. 2018, 732, 454–459. [Google Scholar] [CrossRef]
  24. Abraham, J.J.; Moossa, B.; Tariq, H.A.; Kahraman, R.; Al-Qaradawi, S.; Shakoo, R.A. Electrochemical Performance of Na3V2(PO4)2F3 Electrode Material in a Symmetric Cell. Int. J. Mol. Sci. 2021, 22, 12045. [Google Scholar] [CrossRef] [PubMed]
  25. Zhu, L.; Wang, H.H.; Sun, D.; Tang, Y.; Wang, H.H. A Comprehensive Review on the Fabrication, Modification and Applications of Na3V2(PO4)2F3 Cathodes. J. Mater. Chem. A 2020, 8, 21387–21407. [Google Scholar] [CrossRef]
  26. Zhang, J.; Lai, Y.; Li, P.; Wang, Y.; Zhong, F.; Feng, X.; Chen, W.; Liu, J.; Ai, X.; Yang, H.; et al. Boosting Rate and Cycling Performance of K-Doped Na3V2(PO4)2F3 Cathode for High-Energy-Density Sodium-Ion Batteries. Green Energy Environ. 2021, 7, 1253–1262. [Google Scholar] [CrossRef]
  27. Xu, S.; Li, H.; Wang, X. Three-Dimensional Graphene Network Decorated with Highly Symmetrical Cuboid Na3V2(PO4)2F3 Particles: High Rate Capability and Cycling Stability for Sodium-Ion Batteries. ChemElectroChem 2021, 8, 866–872. [Google Scholar] [CrossRef]
  28. Pi, Y.; Gan, Z.; Yan, M.; Pei, C.; Yu, H.; Ge, Y.; An, Q.; Mai, L. Insight into Pre-Sodiation in Na3V2(PO4)2F3/C @ Hard Carbon Full Cells for Promoting the Development of Sodium-Ion Battery. Chem. Eng. J. 2021, 413, 127565. [Google Scholar] [CrossRef]
  29. Subramanian, Y.; Oh, W.; Choi, W.; Lee, H.; Jeong, M.; Thangavel, R.; Yoon, W.-S. Optimizing High Voltage Na3V2(PO4)2F3 Cathode for Achieving High Rate Sodium-Ion Batteries with Long Cycle Life. Chem. Eng. J. 2021, 403, 126291. [Google Scholar] [CrossRef]
  30. Park, Y.U.; Seo, D.H.; Kwon, H.S.; Kim, B.; Kim, J.; Kim, H.; Kim, I.; Yoo, H.I.; Kang, K. A New High-Energy Cathode for a Na-Ion Battery with Ultrahigh Stability. J. Am. Chem. Soc. 2013, 135, 13870–13878. [Google Scholar] [CrossRef]
  31. Capron, O.; Gopalakrishnan, R.; Jaguemont, J.; Van Den Bossche, P.; Omar, N.; Van Mierlo, J. On the Ageing of High Energy Lithium-Ion Batteries—Comprehensive Electrochemical Diffusivity Studies OfHarvested NickelManganeseCobalt Electrodes. Materials 2018, 11, 176. [Google Scholar] [CrossRef] [PubMed]
  32. Thomas, K.E.; Newman, J.; Darling, R.M. Mathematical Modeling of Lithium Batteries. In Advances in Lithium-Ion Batteries; Springer: Boston, MA, USA, 2002; pp. 345–392. ISBN 978-0-306-47508-5. [Google Scholar]
  33. Ye, Y.; Shi, Y.; Cai, N.; Lee, J.; He, X. Electro-Thermal Modeling and Experimental Validation for Lithium Ion Battery. J. Power Sources 2012, 199, 227–238. [Google Scholar] [CrossRef]
  34. Chayambuka, K.; Mulder, G.; Danilov, D.L.; Notten, P.H.L. Determination of State-of-Charge Dependent Diffusion Coefficients and Kinetic Rate Constants of Phase Changing Electrode Materials Using Physics-Based Models. J. Power Sources Adv. 2021, 9, 100056. [Google Scholar] [CrossRef]
  35. Bernardi, D.M.; Go, J.-Y. Analysis of Pulse and Relaxation Behavior in Lithium-Ion Batteries. J. Power Sources 2011, 196, 412–427. [Google Scholar] [CrossRef]
  36. Dees, D.W.; Kawauchi, S.; Abraham, D.P.; Prakash, J. Analysis of the Galvanostatic Intermittent Titration Technique (GITT) as Applied to a Lithium-Ion Porous Electrode. J. Power Sources 2009, 189, 263–268. [Google Scholar] [CrossRef]
  37. Doyle, M.; Fuller, T.F.; Newman, J. Modeling of Galvanostatic Charge and Discharge of the Lithium/Polymer/Insertion Cell. J. Electrochem. Soc. 1993, 140, 1526–1533. [Google Scholar] [CrossRef]
  38. Fuller, T.; Doyle, M.; Newman, J. Simulation and Optimization of the Dual Lithium Ion Insertion Cell. J. Electrochem. Soc. 1994, 141, 1–10. [Google Scholar] [CrossRef]
  39. Newman, J.; Thomas-Alyea, K.E. Electrochemical Systems, 3rd ed.; John Wiley & Sons: Hoboken, NJ, USA, 2004; ISBN 978-0-471-47756-3. [Google Scholar]
  40. Landesfeind, J.; Gasteiger, H.A. Temperature and Concentration Dependence of the Ionic Transport Properties of Lithium-Ion Battery Electrolytes. J. Electrochem. Soc. 2019, 166, A3079–A3097. [Google Scholar] [CrossRef]
  41. Sinaga, K.P.; Yang, M.-S. Unsupervised K-Means Clustering Algorithm. IEEE Access 2020, 8, 80716–80727. [Google Scholar] [CrossRef]
  42. Clustering. Scikit-Learn.org. Available online: https://scikit-learn.org/stable/modules/clustering.html (accessed on 16 July 2023).
  43. Wen, C.; Boukamp, B.; Huggins, R. Thermodynamic and Mass Transport Properties of LiAl. J. Electrochem. Soc. 1979, 126, 2258–2266. [Google Scholar] [CrossRef]
  44. Levi, M.; Aurbach, D. Characterization of Materials: Potentiostatic and Galvanostatic Intermittent Titration Techniques; John Wiley and Sons: Hoboken, NJ, USA, 2012. [Google Scholar]
  45. Thamodaran, P.; Murugan, V.; Sundaramurthy, D.; Sekar, K.; Maruthapillai, A.; Maruthapillai, T. Hierarchical Na3V2(PO4)2F3 Microsphere Cathodes for High Temperature Li-Ion Battery Application. ACS Omega 2022, 7, 26523–26530. [Google Scholar] [CrossRef] [PubMed]
  46. Du, P.; Mi, K.; Hu, F.; Jiang, X.; Wang, D.; Zheng, X. Hierarchical Hollow Microspheres Na3V2(PO4)2F3C@rGO as High-Performance Cathode Materials for Sodium Ion Batteries. New J. Chem. 2020, 44, 12985–12992. [Google Scholar] [CrossRef]
  47. Gu, Z.-Y.; Guo, J.-Z.; Cao, J.-M.; Wang, X.-T.; Zhao, X.-X.; Zheng, X.-Y.; Li, W.-H.; Sun, Z.-H.; Liang, H.-J.; Wu, X.-L. Advanced High-Entropy Fluorophosphate Cathode for Sodium-ion Batteries with Increased Working Voltage and Energy Density. Adv. Mater. 2022, 34, 2110108. [Google Scholar] [CrossRef] [PubMed]
  48. Wang, M.; Huang, X.; Wang, H.; Zhou, T.; Xiec, H.; Ren, Y. Synthesis and Electrochemical Performances of Na3V2(PO4)2F3/C Composites as Cathode Materials for Sodium Ion Batteries. RSC Adv. 2019, 9, 30628–30636. [Google Scholar] [CrossRef] [PubMed]
  49. Jiang, N.-B.; Zhang, L.-L.; Cui, C.-X.; Gao, L.; Yang, X.-L. Synthesis and Electrochemical Performance of Uniform Carbon-Coated Na3V2(PO4)2F3 Using Tannic Acid as a Chelating Agent and Carbon Source. ACS Appl. Energy Mater. 2022, 5, 249–256. [Google Scholar] [CrossRef]
  50. Bianchini, M.; Fauth, F.; Brisset, N.; Weill, F.; Suard, E.; Masquelier, C. Comprehensive Investigation of the Na3V2(PO4)2F3−NaV2(PO4)2F3 System by Operando High Resolution Synchrotron X-ray Diffraction. Chem. Mater. 2015, 27, 3009–3020. [Google Scholar] [CrossRef]
  51. Broux, T.; Fauth, F.; Hall, N.; Chatillon, Y.; Bianchini, M.; Bamine, T.; Leriche, J.-B.; Suard, E.; Carlier, D.; Reynier, Y.; et al. High Rate Performance for Carbon-Coated Na3V2(PO4)2F3 in Na-Ion Batteries. Small Methods 2018, 3, 1800215. [Google Scholar] [CrossRef]
  52. Dubarry, M.; Truchot, C.; Liaw, B.Y. Synthesize Battery Degradation Modes via a Diagnostic and Prognostic Model. J. Power Sources 2012, 219, 204–216. [Google Scholar] [CrossRef]
Figure 1. NVPF electrode potential vs. discharge capacity during GITT characterization at 25 °C.
Figure 1. NVPF electrode potential vs. discharge capacity during GITT characterization at 25 °C.
Materials 16 05146 g001
Figure 2. Schematic of the half-coin cell for P2D modeling.
Figure 2. Schematic of the half-coin cell for P2D modeling.
Materials 16 05146 g002
Figure 3. (a) Diffusion coefficient Ds determined via Equation (3); (b) verification of the assumption associated with Equation (3).
Figure 3. (a) Diffusion coefficient Ds determined via Equation (3); (b) verification of the assumption associated with Equation (3).
Materials 16 05146 g003
Figure 4. Flowchart of the developed methodology.
Figure 4. Flowchart of the developed methodology.
Materials 16 05146 g004
Figure 5. Overview of the GITT characterization from steps 1 to 47.
Figure 5. Overview of the GITT characterization from steps 1 to 47.
Materials 16 05146 g005
Figure 6. Duration of the GITT steps considered in the simulations and experimental characterization.
Figure 6. Duration of the GITT steps considered in the simulations and experimental characterization.
Materials 16 05146 g006
Figure 7. K-means clustering for GITT steps from 1 to 20.
Figure 7. K-means clustering for GITT steps from 1 to 20.
Materials 16 05146 g007
Figure 8. K-means clustering for GITT steps from 21 to 33.
Figure 8. K-means clustering for GITT steps from 21 to 33.
Materials 16 05146 g008
Figure 9. K-means clustering for GITT steps from 34 to 47.
Figure 9. K-means clustering for GITT steps from 34 to 47.
Materials 16 05146 g009
Figure 10. Categorization of the GITT steps by K-means unsupervised machine learning and resulting Ds variations expected.
Figure 10. Categorization of the GITT steps by K-means unsupervised machine learning and resulting Ds variations expected.
Materials 16 05146 g010
Figure 11. (a) Evolution of the diffusion coefficient Ds with the GITT steps and the discharge capacity; (b) evolution of the reaction rate constant k with the GITT steps and the discharge capacity.
Figure 11. (a) Evolution of the diffusion coefficient Ds with the GITT steps and the discharge capacity; (b) evolution of the reaction rate constant k with the GITT steps and the discharge capacity.
Materials 16 05146 g011
Figure 12. (a) Evolution of the number of iterations with the GITT step number and the discharge capacity; (b) normalized plot of the number of iterations for extracting Ds and k values of steps 1–25.
Figure 12. (a) Evolution of the number of iterations with the GITT step number and the discharge capacity; (b) normalized plot of the number of iterations for extracting Ds and k values of steps 1–25.
Materials 16 05146 g012
Figure 13. (a) Evolution of the number of iterations with the GITT step number and the discharge capacity; (b) normalized plot of the number of iterations for extracting Ds and k values of steps 26–47.
Figure 13. (a) Evolution of the number of iterations with the GITT step number and the discharge capacity; (b) normalized plot of the number of iterations for extracting Ds and k values of steps 26–47.
Materials 16 05146 g013
Figure 14. Comparison simulation and experimental data for GITT steps from 1 to 47.
Figure 14. Comparison simulation and experimental data for GITT steps from 1 to 47.
Materials 16 05146 g014
Figure 15. RMSE of simulation data for (a) GITT steps 1 to 25; (b) GITT steps 26 to 47.
Figure 15. RMSE of simulation data for (a) GITT steps 1 to 25; (b) GITT steps 26 to 47.
Materials 16 05146 g015
Figure 16. (a) Simulation and experimental results during C/20 constant current discharge; (b) Incremental Capacity (dQdV) profiles of simulation and experimental results.
Figure 16. (a) Simulation and experimental results during C/20 constant current discharge; (b) Incremental Capacity (dQdV) profiles of simulation and experimental results.
Materials 16 05146 g016
Table 1. Physics and governing equations involved in the P2D electrochemical modeling [32,37,38,39].
Table 1. Physics and governing equations involved in the P2D electrochemical modeling [32,37,38,39].
Physics Governing EquationsMathematical Expressions
Electrochemical reaction
kinetics
Butler–Volmer equation j = a s i 0 { e x p α a η F R T e x p α c η F R T }
Electrode overpotential η = ϕ s ϕ e U
Exchange current density i 0 = k · F ·   c e α a · c s , m a x c s , s u r f α a · c s , s u r f α c
Charge conservationSolid phase · σ e f f · ϕ s j = 0
Electrolyte phase · κ e f f · ϕ e + κ D e f f l n c e + j = 0
Mass transferSpecies conservation in solid phase ( ϵ s c s ) t = D s r 2 r ( r 2 c s r )
Species conservation in electrolyte ϵ e · c e t = · D e e f f c e + 1 t + F · j
Disclaimer/Publisher’s Note: The statements, opinions and data contained in all publications are solely those of the individual author(s) and contributor(s) and not of MDPI and/or the editor(s). MDPI and/or the editor(s) disclaim responsibility for any injury to people or property resulting from any ideas, methods, instructions or products referred to in the content.

Share and Cite

MDPI and ACS Style

Capron, O.; Couto, L.D. An Efficient Methodology Combining K-Means Machine Learning and Electrochemical Modelling for the Determination of Ionic Diffusivity and Kinetic Properties in Battery Electrodes. Materials 2023, 16, 5146. https://doi.org/10.3390/ma16145146

AMA Style

Capron O, Couto LD. An Efficient Methodology Combining K-Means Machine Learning and Electrochemical Modelling for the Determination of Ionic Diffusivity and Kinetic Properties in Battery Electrodes. Materials. 2023; 16(14):5146. https://doi.org/10.3390/ma16145146

Chicago/Turabian Style

Capron, Odile, and Luis D. Couto. 2023. "An Efficient Methodology Combining K-Means Machine Learning and Electrochemical Modelling for the Determination of Ionic Diffusivity and Kinetic Properties in Battery Electrodes" Materials 16, no. 14: 5146. https://doi.org/10.3390/ma16145146

APA Style

Capron, O., & Couto, L. D. (2023). An Efficient Methodology Combining K-Means Machine Learning and Electrochemical Modelling for the Determination of Ionic Diffusivity and Kinetic Properties in Battery Electrodes. Materials, 16(14), 5146. https://doi.org/10.3390/ma16145146

Note that from the first issue of 2016, this journal uses article numbers instead of page numbers. See further details here.

Article Metrics

Back to TopTop