Novel Functional Soft Magnetic CoFe2O4/Fe Composites: Preparation, Characterization, and Low Core Loss
Abstract
1. Introduction
2. Materials and Methods
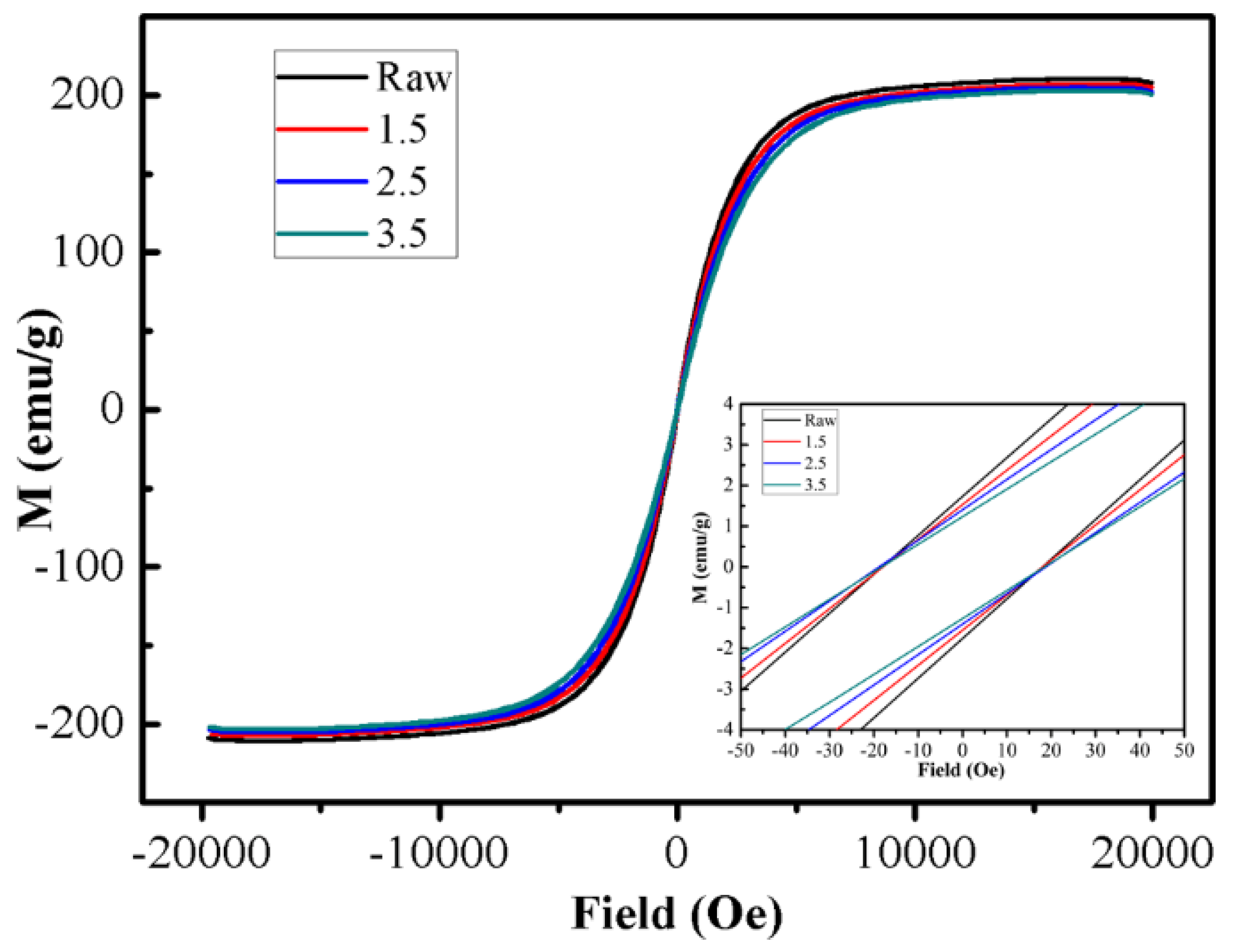
3. Results and Discussion
4. Conclusions
Author Contributions
Funding
Institutional Review Board Statement
Informed Consent Statement
Data Availability Statement
Conflicts of Interest
References
- Shokrollahi, H.; Janghorban, K. Soft magnetic composite materials (SMCs). J. Mater. Process. Technol. 2007, 189, 1–12. [Google Scholar] [CrossRef]
- Sun, H.B.; Zhou, G.H.; Guo, Z.L.; Wang, C.; Wang, J.H.; Zong, C.B. Efficient synthesis of TiO2-coated layer for Fe-based soft magnetic composites and their regulation mechanism analysis on magnetic properties. J. Mater. Sci. Mater. Electron. 2022, 33, 13956–13967. [Google Scholar] [CrossRef]
- Zhang, Q.; Zhang, W.; Peng, K. In-situ synthesis and magnetic properties of core-shell structured Fe/Fe3O4 composites. J. Magn. Magn. Mater. 2019, 484, 418–423. [Google Scholar] [CrossRef]
- Li, S.G.; Liu, R.T.; Xiong, X. Preparation and characterization of carbonyl iron soft magnetic composites with magnesioferrite insulating coating layer. Trans. Nonferrous Met. Soc. China 2020, 30, 3067–3077. [Google Scholar] [CrossRef]
- Zhang, Z.; Chang, J.S.; Peng, X.L.; Li, J.; Yang, Y.T.; Xu, J.C.; Hong, B.; Jin, D.F.; Jin, H.X.; Wang, X.Q.; et al. Structural and magnetic properties of flaky FeSiB/Al2O3 soft magnetic composites with orientation of a magnetic field. J. Mater. Res. Technol. 2022, 18, 1381–1390. [Google Scholar] [CrossRef]
- Ma, J.; Yuan, Y.B.; Zou, H.H.; Yang, B.; Zhou, B.H.; Yu, R.H. High-strength and corrosion-resistant Fe/Al2SiO5 soft magnetic composites fabricated by a nanoscale solid-reaction coating method. J. Alloys Compd. 2022, 912, 165174. [Google Scholar] [CrossRef]
- Xia, C.; Peng, Y.D.; Yi, Y.; Deng, H.; Zhu, Y.Y.; Hu, G. The magnetic properties and microstructure of phosphated amorphous FeSiCr/silane soft magnetic composite. J. Magn. Magn. Mater. 2019, 474, 424–433. [Google Scholar] [CrossRef]
- Zhao, G.L.; Wu, C.; Yan, M. Evolution of the insulation matrix and influences on the magnetic performance of Fe soft magnetic composites during annealing. J. Alloys Compd. 2016, 685, 231–236. [Google Scholar] [CrossRef]
- Geng, K.; Xie, Y.; Xu, L.; Yan, B. Fe-Si/ZrO2 composites with core-shell structure and excellent magnetic properties prepared by mechanical milling and spark plasma sintering. J. Alloys Compd. 2017, 718, 53–62. [Google Scholar] [CrossRef]
- Zhong, X.; Chen, J.; Wang, L.; Li, B.; Li, L. Properties of FeSiAl-based soft magnetic composites with AlN/Al2O3 and hybrid phosphate-silane insulation coatings. J. Alloys Compd. 2018, 735, 1603–1610. [Google Scholar] [CrossRef]
- Lei, J.; Zheng, J.W.; Zheng, H.D.; Qiao, L.; Ying, Y.; Cai, W.; Li, W.C.; Yu, J.; Lin, M.; Che, S.L. Effects of heat treatment and lubricant on magnetic properties of iron-based soft magnetic composites with Al2O3 insulating layer by one-pot synthesis method. J. Magn. Magn. Mater. 2019, 472, 7–13. [Google Scholar] [CrossRef]
- Belcher, C.H.; Zheng, B.L.; MacDonald, B.E.; Langlois, E.D.; Lehman, B.; Pearce, C.; Delaney, R.; Apelian, D.; Lavernia, E.J.; Monson, T.C. The role of microstructural evolution during spark plasma sintering on the soft magnetic and electronic properties of a CoFe-Al2O3 soft magnetic composite. J. Mater. Sci. 2022, 57, 5518–5532. [Google Scholar] [CrossRef]
- Hsiang, H.I.; Fan, L.F.; Ho, K.T. Minor yttrium nitrate addition effect on FeSiCr alloy powder core electromagnetic properties. J. Magn. Magn. Mater. 2017, 444, 1–6. [Google Scholar] [CrossRef]
- Luo, Z.G.; Fan, X.A.; Hu, W.T.; Luo, F.; Li, G.Q.; Li, Y.W.; Liu, X.; Wang, J. Controllable SiO2 insulating layer and magnetic properties for intergranular insulating Fe-6.5wt.%Si/SiO2 composites. Adv. Powder Technol. 2019, 30, 538–543. [Google Scholar] [CrossRef]
- Gao, Z.H.; Jia, J.X.; Zhao, Q.; Kong, H.; Wu, Z.Y.; Li, J.L. Determination of a quantitative relationship between deposition duration and magnetic performance of soft ferromagnetic composites via data-analysis and theoretical models. J. Magn. Magn. Mater. 2022, 549, 168891. [Google Scholar] [CrossRef]
- Zhou, B.; Dong, Y.Q.; Liu, L.; Chang, L.; Bi, F.Q.; Wang, X.M. Enhanced soft magnetic properties of the Fe-based amorphous powder cores with novel TiO2 insulation coating layer. J. Magn. Magn. Mater. 2019, 474, 1–8. [Google Scholar] [CrossRef]
- Chen, Z.H.; Liu, X.S.; Kan, X.C.; Wang, Z.; Zhu, R.W.; Yang, W.; Wu, Q.Y.; Shezad, M. Phosphate coatings evolution study and effects of ultrasonic on soft magnetic properties of FeSiAl by aqueous phosphoric acid solution passivation. J. Alloys Compd. 2019, 783, 434–440. [Google Scholar] [CrossRef]
- Zhou, M.M.; Han, Y.; Guan, W.W.; Han, S.J.; Meng, Q.S.; Xu, T.T.; Su, H.L.; Guo, X.; Zou, Z.Q.; Yang, F.Y.; et al. Magnetic properties and loss mechanism of Fe-6.5wt%Si powder core insulated with magnetic Mn-Zn ferrite nanoparticles. J. Magn. Magn. Mater. 2019, 482, 148–154. [Google Scholar] [CrossRef]
- Li, N.W.; Zheng, M.B.; Chang, X.F.; Ji, G.B.; Lu, H.L.; Xue, L.P.; Pan, L.J.; Cao, J.M. Preparation of magnetic CoFe2O4-functionalized graphene sheets via a facile hydrothermal method and their adsorption properties. J. Solid State Chem. 2011, 184, 953–958. [Google Scholar] [CrossRef]
- Gao, L.L.; Deng, J.Q.; Li, T.; Qi, K.; Zhang, J.D.; Yi, Q. A facial strategy to efficiently improve catalytic performance of CoFe2O4 to peroxymonosulfate. J. Environ. Sci. 2022, 116, 1–13. [Google Scholar] [CrossRef]
- Bi, J.H.; Lin, C.C.; Lu, D.W.; Chen, A.; Meng, X.F. Exchange coupled CoFe2O4/CoFe composites for enhanced microwave absorption properties by in-situ hydrothermal reduction. J. Phys. Chem. Solids. 2022, 164, 110624. [Google Scholar] [CrossRef]
- Wang, W.; Ding, Z.; Zhao, X.R.; Wu, S.Z.; Li, F.; Yue, M.; Liu, J.P. Microstructure and magnetic properties of MFe2O4 (M = Co, Ni, and Mn) ferrite nanocrystals prepared using colloid mill and hydrothermal method. J. Appl. Phys. 2015, 117, 17A328. [Google Scholar] [CrossRef]
- Yu, S.H.; Yoshimura, M. Direct fabrication of ferrite MFe2O4 (M = Zn, Mg)/Fe composite thin films by soft solution processing. Chem. Mater. 2000, 12, 3805–3810. [Google Scholar] [CrossRef]
- Bennet, J.; Tholkappiyan, R.; Vishista, K.; Jaya, N.V.; Hamed, F. Attestation in selfpropagating combustion approach of spinel AFe2O4(A = Co, Mg and Mn) complexes bearing mixed oxidation states: Magnetostructural properties. Appl. Surf. Sci. 2016, 383, 113–125. [Google Scholar] [CrossRef]
- Naik, C.C.; Salker, A.V. Investigation of the effect of fractional In3+ ion substitution on the structural, magnetic, and dielectric properties of Co-Cu ferrite. J. Phys. Chem. Solids 2019, 133, 151–162. [Google Scholar] [CrossRef]
- Wu, Z.B.; Jiang, B.Q.; Liu, Y.; Wang, H.Q.; Jin, R.B. DRIFT study of manganese/titania-based catalysts for low-temperature selective catalytic reduction of NO with NH3. Environ. Sci. Technol. 2007, 41, 5812–5817. [Google Scholar] [CrossRef]
- Liu, F.D.; He, H.; Ding, Y.; Zhang, C.B. Effect of manganese substitution on the structure and activity of iron titanate catalyst for the selective catalytic reduction of NO with NH3. Appl. Catal. B Environ. 2009, 93, 3760–3769. [Google Scholar] [CrossRef]
- Zhou, G.Z.; Wang, Y.; Zhou, R.S.; Wang, C.Z.; Jin, Y.Q.; Qiu, J.; Hua, C.Y.; Cao, Y.Y. Synthesis of amino-functionalized bentonite/CoFe2O4@MnO2 magnetic recoverable nanoparticles for aqueous Cd2+ Removal. Sci. Total Environ. 2019, 682, 505–513. [Google Scholar] [CrossRef]
- Venturini, J.; Tonelli, A.M.; Wermuth, T.B.; Zampiva, R.Y.S.; Arcaro, S.; Viegas, A.D.C.; Bergmanna, C.P. Excess of cations in the sol-gel synthesis of cobalt ferrite (CoFe2O4): A pathway to switching the inversion degree of spinels. J. Magn. Magn. Mater. 2019, 482, 1–8. [Google Scholar] [CrossRef]
- Peng, Y.D.; Yi, Y.; Li, L.Y.; Ai, H.Y.; Wang, X.X.; Chen, L.L. Fe-based soft magnetic composites coated with NiZn ferrite prepared by a co-precipitation method. J. Magn. Magn. Mater. 2017, 428, 148–153. [Google Scholar] [CrossRef]
- Xiao, L.; Sun, Y.; Ding, C.; Yang, L.; Yu, L. Annealing effects on magnetic properties and strength of organic-silicon epoxy resin-coated soft magnetic composites. J. Mech. Eng. Sci. 2014, 228, 2049–2058. [Google Scholar] [CrossRef]
- Li, S.G.; Liu, R.T.; Xiong, X. Fe-based soft magnetic composites with high permeability and low core loss by in situ coating ZnFe2O4 layer. J. Mater. Sci. 2020, 55, 274–282. [Google Scholar] [CrossRef]
















Disclaimer/Publisher’s Note: The statements, opinions and data contained in all publications are solely those of the individual author(s) and contributor(s) and not of MDPI and/or the editor(s). MDPI and/or the editor(s) disclaim responsibility for any injury to people or property resulting from any ideas, methods, instructions or products referred to in the content. |
© 2023 by the authors. Licensee MDPI, Basel, Switzerland. This article is an open access article distributed under the terms and conditions of the Creative Commons Attribution (CC BY) license (https://creativecommons.org/licenses/by/4.0/).
Share and Cite
Li, S.; Wang, X.; Ouyang, F.; Liu, R.; Xiong, X. Novel Functional Soft Magnetic CoFe2O4/Fe Composites: Preparation, Characterization, and Low Core Loss. Materials 2023, 16, 3665. https://doi.org/10.3390/ma16103665
Li S, Wang X, Ouyang F, Liu R, Xiong X. Novel Functional Soft Magnetic CoFe2O4/Fe Composites: Preparation, Characterization, and Low Core Loss. Materials. 2023; 16(10):3665. https://doi.org/10.3390/ma16103665
Chicago/Turabian StyleLi, Shigeng, Xianzhong Wang, Fangping Ouyang, Rutie Liu, and Xiang Xiong. 2023. "Novel Functional Soft Magnetic CoFe2O4/Fe Composites: Preparation, Characterization, and Low Core Loss" Materials 16, no. 10: 3665. https://doi.org/10.3390/ma16103665
APA StyleLi, S., Wang, X., Ouyang, F., Liu, R., & Xiong, X. (2023). Novel Functional Soft Magnetic CoFe2O4/Fe Composites: Preparation, Characterization, and Low Core Loss. Materials, 16(10), 3665. https://doi.org/10.3390/ma16103665

