Bandgap Engineering of Two-Dimensional Double Perovskite Cs4AgBiBr8/WSe2 Heterostructure from Indirect Bandgap to Direct Bandgap by Introducing Se Vacancy
Abstract
1. Introduction
2. Calculation Methods
3. Results and Discussion
3.1. Construction and Stability of the Heterostructure
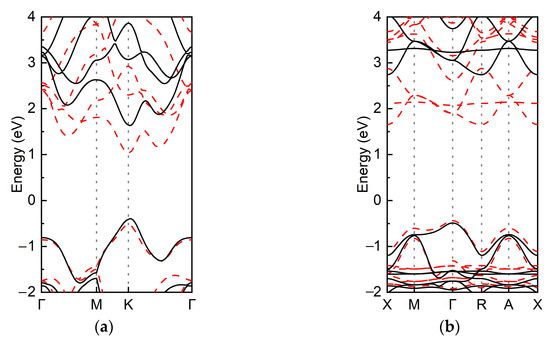
3.2. Electronic Properties of WSe2/Cs4AgBiBr8
3.3. Cs4AgBiBr8/WSe2 with Defects
3.3.1. Cs4AgBiBr8/WSe2 with W Vacancy
3.3.2. Stability of Cs4AgBiBr8/WSe2 with Se Vacancy
3.3.3. Electronic Structure of Cs4AgBiBr8/WSe2 with Se Vacancy
4. Conclusions
Supplementary Materials
Author Contributions
Funding
Institutional Review Board Statement
Informed Consent Statement
Data Availability Statement
Conflicts of Interest
References
- Yang, Y.; You, J. Make Perovskite Solar Cells Stable. Nature 2017, 544, 155–156. [Google Scholar] [CrossRef] [PubMed]
- Lei, L.-Z.; Shi, Z.-F.; Li, Y.; Ma, Z.-Z.; Zhang, F.; Xu, T.-T.; Tian, Y.-T.; Wu, D.; Li, X.-J.; Du, G.-T. High-Efficiency and Air-Stable Photodetectors Based on Lead-Free Double Perovskite Cs2AgBiBr6 Thin Films. J. Mater. Chem. C 2018, 6, 7982–7988. [Google Scholar] [CrossRef]
- Slavney, A.H.; Hu, T.; Lindenberg, A.M.; Karunadasa, H.I. A Bismuth-Halide Double Perovskite with Long Carrier Recombination Lifetime for Photovoltaic Applications. J. Am. Chem. Soc. 2016, 138, 2138–2141. [Google Scholar] [CrossRef] [PubMed]
- Chen, Y.-L.; Yan, D.-N.; Zeng, M.-W.; Liao, C.-S.; Cai, M.-Q. 2D and 3D Double Perovskite with Dimensionality-Dependent Optoelectronic Properties: First-Principle Study on Cs2AgBiBr6 and Cs4AgBiBr8. J. Phys. Condens. Matter 2021, 34, 065501. [Google Scholar] [CrossRef]
- Wang, Q.; Wee, A.T.S. Upconversion Photovoltaic Effect of WS2/2D Perovskite Heterostructures by Two-Photon Absorption. ACS Nano 2021, 15, 10437–10443. [Google Scholar] [CrossRef]
- Geim, A.K.; Grigorieva, I.V. Van Der Waals Heterostructures. Nature 2013, 499, 419–425. [Google Scholar] [CrossRef]
- Zhou, X.; Hu, X.; Yu, J.; Liu, S.; Shu, Z.; Zhang, Q.; Li, H.; Ma, Y.; Xu, H.; Zhai, T. 2D Layered Material-Based van Der Waals Heterostructures for Optoelectronics. Adv. Funct. Mater. 2018, 28, 1706587. [Google Scholar] [CrossRef]
- Yu, Q.; Luo, Y.; Mahmood, A.; Liu, B.; Cheng, H.-M. Engineering Two-Dimensional Materials and Their Heterostructures as High-Performance Electrocatalysts. Electrochem. Energy Rev. 2019, 2, 373–394. [Google Scholar] [CrossRef]
- Radisavljevic, B.; Radenovic, A.; Brivio, J.; Giacometti, V.; Kis, A. Single-Layer MoS2 Transistors. Nat. Nanotechnol. 2011, 6, 147–150. [Google Scholar] [CrossRef]
- Cong, C.; Shang, J.; Wang, Y.; Yu, T. Optical Properties of 2D Semiconductor WS2. Adv. Opt. Mater. 2018, 6, 1700767. [Google Scholar] [CrossRef]
- Ramakrishna Matte, H.S.S.; Gomathi, A.; Manna, A.K.; Late, D.J.; Datta, R.; Pati, S.K.; Rao, C.N.R. MoS2 and WS2 Analogues of Graphene. Angew. Chem. Int. Ed. 2010, 49, 4059–4062. [Google Scholar] [CrossRef]
- Ramasubramaniam, A. Large Excitonic Effects in Monolayers of Molybdenum and Tungsten Dichalcogenides. Phys. Rev. B 2012, 86, 115409. [Google Scholar] [CrossRef]
- Peng, B.; Ang, P.K.; Loh, K.P. Two-Dimensional Dichalcogenides for Light-Harvesting Applications. Nano Today 2015, 10, 128–137. [Google Scholar] [CrossRef]
- Fang, F.; Wan, Y.; Li, H.; Fang, S.; Huang, F.; Zhou, B.; Jiang, K.; Tung, V.; Li, L.-J.; Shi, Y. Two-Dimensional Cs2AgBiBr6/WS2 Heterostructure-Based Photodetector with Boosted Detectivity via Interfacial Engineering. ACS Nano 2022, 16, 3985–3993. [Google Scholar] [CrossRef]
- Huang, J.-K.; Pu, J.; Hsu, C.-L.; Chiu, M.-H.; Juang, Z.-Y.; Chang, Y.-H.; Chang, W.-H.; Iwasa, Y.; Takenobu, T.; Li, L.-J. Large-Area Synthesis of Highly Crystalline WSe2 Monolayers and Device Applications. ACS Nano 2014, 8, 923–930. [Google Scholar] [CrossRef]
- Liu, W.; Kang, J.; Sarkar, D.; Khatami, Y.; Jena, D.; Banerjee, K. Role of Metal Contacts in Designing High-Performance Monolayer n-Type WSe2 Field Effect Transistors. Nano Lett. 2013, 13, 1983–1990. [Google Scholar] [CrossRef]
- Luo, P.; Wang, F.; Qu, J.; Liu, K.; Hu, X.; Liu, K.; Zhai, T. Self-Driven WSe2/Bi2O2Se Van Der Waals Heterostructure Photodetectors with High Light On/Off Ratio and Fast Response. Adv. Funct. Mater. 2021, 31, 2008351. [Google Scholar] [CrossRef]
- Yu, X.; Prévot, M.S.; Guijarro, N.; Sivula, K. Self-Assembled 2D WSe2 Thin Films for Photoelectrochemical Hydrogen Production. Nat. Commun. 2015, 6, 7596. [Google Scholar] [CrossRef]
- Yu, X.; Guijarro, N.; Johnson, M.; Sivula, K. Defect Mitigation of Solution-Processed 2D WSe2 Nanoflakes for Solar-to-Hydrogen Conversion. Nano Lett. 2018, 18, 215–222. [Google Scholar] [CrossRef]
- Xia, J.; Liang, C.; Gu, H.; Mei, S.; Cai, Y.; Xing, G. Two-Dimensional Heterostructure of MoS2/BA2PbI4 2D Ruddlesden–Popper Perovskite with an S Scheme Alignment for Solar Cells: A First-Principles Study. ACS Appl. Electron. Mater. 2022, 4, 1939–1948. [Google Scholar] [CrossRef]
- Hohenberg, P.; Kohn, W. Inhomogeneous Electron Gas. Phys. Rev. 1964, 136, B864–B871. [Google Scholar] [CrossRef]
- Kohn, W.; Sham, L.J. Self-Consistent Equations Including Exchange and Correlation Effects. Phys. Rev. 1965, 140, A1133–A1138. [Google Scholar] [CrossRef]
- Kresse, G.; Furthmüller, J. Efficiency of Ab-Initio Total Energy Calculations for Metals and Semiconductors Using a Plane-Wave Basis Set. Comput. Mater. Sci. 1996, 6, 15–50. [Google Scholar] [CrossRef]
- Kresse, G.; Furthmüller, J. Efficient Iterative Schemes for Ab Initio Total-Energy Calculations Using a Plane-Wave Basis Set. Phys. Rev. B 1996, 54, 11169–11186. [Google Scholar] [CrossRef] [PubMed]
- Kresse, G.; Joubert, D. From Ultrasoft Pseudopotentials to the Projector Augmented-Wave Method. Phys. Rev. B 1999, 59, 1758–1775. [Google Scholar] [CrossRef]
- Perdew, J.P.; Burke, K.; Ernzerhof, M. Generalized Gradient Approximation Made Simple. Phys. Rev. Lett. 1996, 77, 3865–3868. [Google Scholar] [CrossRef]
- Ernzerhof, M.; Scuseria, G.E. Assessment of the Perdew–Burke–Ernzerhof Exchange-Correlation Functional. J. Chem. Phys. 1999, 110, 5029–5036. [Google Scholar] [CrossRef]
- Heyd, J.; Scuseria, G.E.; Ernzerhof, M. Hybrid Functionals Based on a Screened Coulomb Potential. J. Chem. Phys. 2003, 118, 8207–8215. [Google Scholar] [CrossRef]
- Jain, A.; Ong, S.P.; Hautier, G.; Chen, W.; Richards, W.D.; Dacek, S.; Cholia, S.; Gunter, D.; Skinner, D.; Ceder, G.; et al. Commentary: The Materials Project: A Materials Genome Approach to Accelerating Materials Innovation. APL Mater. 2013, 1, 011002. [Google Scholar] [CrossRef]
- Feng, L.; Li, N.; Yang, M.; Liu, Z. Effect of Pressure on Elastic, Mechanical and Electronic Properties of WSe2: A First-Principles Study. Mater. Res. Bull. 2014, 50, 503–508. [Google Scholar] [CrossRef]
- Chen, Y.; Shi, T.; Liu, P.; Ma, X.; Shui, L.; Shang, C.; Chen, Z.; Wang, X.; Kempa, K.; Zhou, G. Insights into the Mechanism of the Enhanced Visible-Light Photocatalytic Activity of Black Phosphorus/BiVO4 Heterostructure: A First-Principles Study. J. Mater. Chem. A 2018, 6, 19167–19175. [Google Scholar] [CrossRef]
- Wang, V.; Xu, N.; Liu, J.-C.; Tang, G.; Geng, W.-T. VASPKIT: A User-Friendly Interface Facilitating High-Throughput Computing and Analysis Using VASP Code. Comput. Phys. Commun. 2021, 267, 108033. [Google Scholar] [CrossRef]
- Low, J.; Jiang, C.; Cheng, B.; Wageh, S.; Al-Ghamdi, A.A.; Yu, J. A Review of Direct Z-Scheme Photocatalysts. Small Methods 2017, 1, 1700080. [Google Scholar] [CrossRef]
- Cai, Y.; Zhang, G.; Zhang, Y.-W. Electronic Properties of Phosphorene/Graphene and Phosphorene/Hexagonal Boron Nitride Heterostructures. J. Phys. Chem. C 2015, 119, 13929–13936. [Google Scholar] [CrossRef]





Disclaimer/Publisher’s Note: The statements, opinions and data contained in all publications are solely those of the individual author(s) and contributor(s) and not of MDPI and/or the editor(s). MDPI and/or the editor(s) disclaim responsibility for any injury to people or property resulting from any ideas, methods, instructions or products referred to in the content. |
© 2023 by the authors. Licensee MDPI, Basel, Switzerland. This article is an open access article distributed under the terms and conditions of the Creative Commons Attribution (CC BY) license (https://creativecommons.org/licenses/by/4.0/).
Share and Cite
Cai, Y.; Lu, Z.; Xu, X.; Gao, Y.; Shi, T.; Wang, X.; Shui, L. Bandgap Engineering of Two-Dimensional Double Perovskite Cs4AgBiBr8/WSe2 Heterostructure from Indirect Bandgap to Direct Bandgap by Introducing Se Vacancy. Materials 2023, 16, 3668. https://doi.org/10.3390/ma16103668
Cai Y, Lu Z, Xu X, Gao Y, Shi T, Wang X, Shui L. Bandgap Engineering of Two-Dimensional Double Perovskite Cs4AgBiBr8/WSe2 Heterostructure from Indirect Bandgap to Direct Bandgap by Introducing Se Vacancy. Materials. 2023; 16(10):3668. https://doi.org/10.3390/ma16103668
Chicago/Turabian StyleCai, Yiwei, Zhengli Lu, Xin Xu, Yujia Gao, Tingting Shi, Xin Wang, and Lingling Shui. 2023. "Bandgap Engineering of Two-Dimensional Double Perovskite Cs4AgBiBr8/WSe2 Heterostructure from Indirect Bandgap to Direct Bandgap by Introducing Se Vacancy" Materials 16, no. 10: 3668. https://doi.org/10.3390/ma16103668
APA StyleCai, Y., Lu, Z., Xu, X., Gao, Y., Shi, T., Wang, X., & Shui, L. (2023). Bandgap Engineering of Two-Dimensional Double Perovskite Cs4AgBiBr8/WSe2 Heterostructure from Indirect Bandgap to Direct Bandgap by Introducing Se Vacancy. Materials, 16(10), 3668. https://doi.org/10.3390/ma16103668

