Correlation between Magnetocaloric Properties and Magnetic Exchange Interaction in Gd54Fe36B10−xSix Amorphous Alloys
Abstract
1. Introduction
2. Experimental Details
3. Results and Discussion
3.1. Characterization of Amorphous Structure
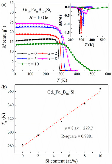
3.2. Determination of the Transition Temperature
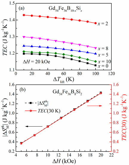
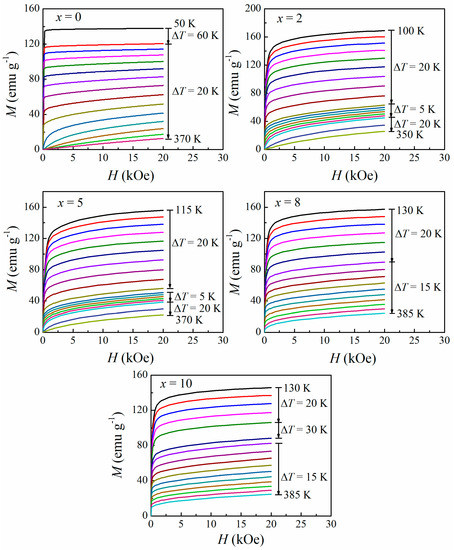
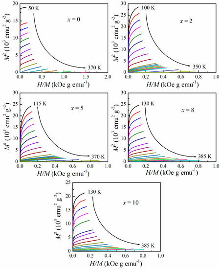
3.3. Magnetocaloric Properties
| Alloys | Structure | Ttr (K) | Tpk (K) | |ΔSMpk| (J kg−1K−1) | RCP (J kg−1) | Ref. |
|---|---|---|---|---|---|---|
| H = 10 Oe | ΔH = 20 kOe | |||||
| Gd54Fe36B10 | A | 282 | 260 | 1.20 | 295 | This work |
| Gd54Fe36B8Si2 | A | 296 | 250 | 1.43 | 374 | This work |
| Gd54Fe36B5Si5 | A | 316 | 245 | 1.25 | 323 | This work |
| Gd54Fe36B2Si8 | A | 342 | 240 | 1.30 | 362 | This work |
| Gd54Fe36Si10 | A | 364 | 225 | 1.21 | 321 | This work |
| Gd50Co50 | A | 267.2 | ~267 | 2.36 | 212.8 | [33] |
| Gd55Co35Fe10 | A | 268 | ~268 | 1.72 | 337 | [34] |
| Gd50Fe45Co5 | A | 289.5 | 288.5 | 1.85 | 289 | [18] |
| Gd | C | 292 | ~295 | 5.2 | 226.9 | [9,41] |
| Gd5Si2Ge2 | C | 276 | ~276 | 18.4 | 195.3 | [4,9] |
| LaFe11.05Co0.91Si1.04 | C | 282.1 | ~282 | 10.5 | 168.7 | [5,9] |
| LaFe11.40Co0.52Si1.09 | C | 237.7 | ~238 | 16.8 | 147.4 | [5,9] |
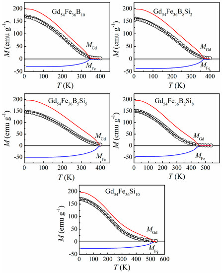
3.4. Magnetic Exchange Interaction
4. Conclusions
Author Contributions
Funding
Data Availability Statement
Conflicts of Interest
References
- Balli, M.; Jandl, S.; Fournier, P.; Kedous-Lebouc, A. Advanced materials for magnetic cooling: Fundamentals and practical aspects. Appl. Phys. Rev. 2017, 4, 021305. [Google Scholar] [CrossRef]
- Pecharsky, V.K.; Gschneidner, K.A. Advanced magnetocaloric materials: What does the future hold? Int. J. Refrig. 2006, 29, 1239–1249. [Google Scholar] [CrossRef]
- Taguchi, Y.; Sakai, H.; Choudhury, D. Magnetocaloric Materials with Multiple Instabilities. Adv. Mater. 2017, 29, 1606144. [Google Scholar] [CrossRef] [PubMed]
- Pecharsky, V.K.; Gschneidner, K.A., Jr. Giant Magnetocaloric Effect in Gd5(Si2Ge2). Phys. Rev. Lett. 1997, 78, 4494–4497. [Google Scholar] [CrossRef]
- Skokov, K.P.; Karpenkov, A.Y.; Karpenkov, D.Y.; Gutfleisch, O. The maximal cooling power of magnetic and thermoelectric refrigerators with La(FeCoSi)13 alloys. J. Appl. Phys. 2013, 113, 17A945. [Google Scholar] [CrossRef]
- Zheng, Z.G.; Wang, H.Y.; Li, C.F.; Chen, X.L.; Zeng, D.C.; Yuan, S.F. Enhancement of Magnetic Properties and Magnetocaloric Effects for Mn0.975Fe0.975P0.5Si0.5 Alloys by Optimizing Quenching Temperature. Adv. Eng. Mater. 2022, 25, 2200160. [Google Scholar] [CrossRef]
- Liu, J.; Gottschall, T.; Skokov, K.P.; Moore, J.D.; Gutfleisch, O. Giant magnetocaloric effect driven by structural transitions. Nat. Mater. 2012, 11, 620–626. [Google Scholar] [CrossRef]
- Kitanovski, A. Energy Applications of Magnetocaloric Materials. Adv. Energy. Mater. 2020, 10, 7. [Google Scholar] [CrossRef]
- Gottschall, T.; Skokov, K.P.; Fries, M.; Taubel, A.; Radulov, I.; Scheibel, F.; Benke, D.; Riegg, S.; Gutfleisch, O. Making a cool choice: The materials library of magnetic refrigeration. Adv. Eng. Mater. 2019, 9, 1901322. [Google Scholar] [CrossRef]
- Luo, Q.; Wang, W.H. Magnetocaloric effect in rare earth-based bulk metallic glasses. J. Alloys Compd. 2010, 495, 209–216. [Google Scholar] [CrossRef]
- Tang, B.Z.; Guo, D.Q.; Ding, D.; Xia, L.; Chan, K.C. Large adiabatic temperature rise above the water ice point of a minor Fe substituted Gd50Co50 amorphous alloy. J. Non-Cryst. Solids 2017, 464, 30–33. [Google Scholar] [CrossRef]
- Wang, Z.W.; Yu, P.; Cui, Y.T.; Xia, L. Near room temperature magneto-caloric effect of a Gd48Co52 amorphous alloy. J. Alloys Compd. 2016, 658, 598–602. [Google Scholar] [CrossRef]
- Wu, C.; Ding, D.; Xia, L.; Chan, K.C. Achieving tailorable magneto-caloric effect in the Gd-Co binary amorphous alloys. AIP Adv. 2016, 6, 035302. [Google Scholar] [CrossRef]
- Zhang, C.L.; Wang, D.H.; Han, Z.D.; Xuan, H.C.; Gu, B.X.; Du, Y.W. Large magnetic entropy changes in Gd-Co amorphous ribbons. J. Appl. Phys. 2009, 105, 013912. [Google Scholar] [CrossRef]
- Tang, B.; Xie, H.; Li, D.; Xia, L.; Yu, P. Microstructure and its effect on magnetic and magnetocaloric properties of the Co50Gd50-xFex glassy ribbons. J. Non-Cryst. Solids 2020, 533, 119935. [Google Scholar] [CrossRef]
- Wang, X.; Tang, B.; Wang, Q.; Yu, P.; Ding, D.; Xia, L. Co50Gd48-xFe2Nix amorphous alloys with high adiabatic temperature rise near the hot end of a domestic magnetic refrigerator. J. Non-Cryst. Solids 2020, 544, 120146. [Google Scholar] [CrossRef]
- Song, M.; Huang, L.; Tang, B.; Ding, D.; Zhou, Q.; Xia, L. Enhanced Curie temperature and magnetic entropy change of Gd50Co50−xNix amorphous alloys. Mod. Phys. Lett. B 2020, 34, 2050050. [Google Scholar] [CrossRef]
- Liu, G.L.; Zhao, D.Q.; Bai, H.Y.; Wang, W.H.; Pan, M.X. Room temperature table-like magnetocaloric effect in amorphous Gd50Co45Fe5 ribbon. J. Phys. D Appl. Phys. 2016, 49, 055004. [Google Scholar] [CrossRef]
- Zhang, Z.; Tang, Q.; Wang, F.; Zhang, H.; Zhou, Y.; Xia, A.; Li, H.; Chen, S.; Li, W. Tailorable magnetocaloric effect by Fe substitution in Gd-(Co, Fe) amorphous alloy. Intermetallics 2019, 111, 106500. [Google Scholar] [CrossRef]
- Zhang, H.Y.; Ouyang, J.T.; Ding, D.; Li, H.L.; Wang, J.G.; Li, W.H. Influence of Fe substitution on thermal stability and magnetocaloric effect of Gd60Co40-xFex amorphous alloy. J. Alloys Compd. 2018, 769, 186–192. [Google Scholar] [CrossRef]
- Liu, X.Y.; Barclay, J.A.; Gopal, R.B.; Földeàki, M.; Chahine, R.; Bose, T.K.; Schurer, P.J.; LaCombe, J.L. Thermomagnetic properties of amorphous rare-earth alloys with Fe, Ni, or Co. J. Appl. Phys. 1996, 79, 1630–1641. [Google Scholar] [CrossRef]
- Elkenany, M.M.; Aly, S.H.; Yehia, S. Magnetothermal properties and magnetocaloric effect in transition Metal-Rich Gd-Co and Gd-Fe amorphous alloys. Cryogenics 2022, 123, 103439. [Google Scholar] [CrossRef]
- Hansen, P. Magnetic amorphous alloys. In Handbook of Mangetic Materials; Buschow, K.H.J., Ed.; Elsevier Science Publishers: Berlin, Germany, 1991; Volume 6, pp. 356–369. [Google Scholar]
- Yano, K. Molecular field analysis for melt-spun amorphous Fe100-xGdx alloys (18 ≦ X ≦ 60). J. Magn. Magn. Mater. 2000, 208, 207–216. [Google Scholar] [CrossRef]
- Yano, K.; Kita, E. Effect of covalent element boron on exchange interaction and magnetic moment in Fe0.4Gd0.6 binary alloy. J. Magn. Magn. Mater. 2004, 272, 1370–1371. [Google Scholar] [CrossRef]
- Zhang, H.Y.; Xu, Y.F.; Zhang, Z.Y.; Tan, J.; Zhang, X.; Peng, H.; Xiang, X.J.; Li, H.L.; Xia, A.L.; Li, W.H. Influence of Covalent Element B and Si Addition on Magnetocaloric Properties of Gd-Co-Fe-(B, Si) Amorphous Alloys. Metals 2022, 12, 386. [Google Scholar] [CrossRef]
- Sandeman, K.G.; Takei, S. Magnetocaloric Materials and Applications. In Handbook of Magnetism and Magnetic Materials; Coey, M., Parkin, S., Eds.; Springer International Publishing: Cham, Switzerland, 2021; pp. 1489–1526. [Google Scholar]
- Ichitsubo, T.; Matsubara, E.; Numakura, H.; Tanaka, K.; Nishiyama, N.; Tarumi, R. Glass-liquid transition in a less-stable metallic glass. Phys. Rev. B 2005, 72, 052201. [Google Scholar] [CrossRef]
- Xue, L.; Li, J.; Yang, W.; Yuan, C.; Shen, B. Effect of Fe substitution on magnetocaloric effects and glass-forming ability in Gd-based metallic glasses. Intermetallics 2018, 93, 67–71. [Google Scholar] [CrossRef]
- Zheng, Z.G.; Qiu, Z.G.; Zeng, D.C. Effect of Co substitution on thermal stability and magnetocaloric effects of Gd70Al20Fe10−xCox amorphous alloys. Mater. Res. Express 2019, 6, 096109. [Google Scholar] [CrossRef]
- Pierunek, N.; Śniadecki, Z.; Marcin, J.; Škorvánek, I.; Idzikowski, B. Magnetocaloric effect of amorphous Gd65Fe10Co10Al10X5 (X = Al, Si, B) alloys. IEEE Trans. Magn. 2014, 50, 2506603. [Google Scholar] [CrossRef]
- Franco, V.; Blázquez, J.S.; Ipus, J.J.; Law, J.Y.; Moreno-Ramirez, L.M.; Conde, A. Magnetocaloric effect: From materials research to refrigeration devices. Prog. Mater. Sci. 2018, 93, 112–232. [Google Scholar] [CrossRef]
- Xia, L.; Wu, C.; Chen, S.H.; Chan, K.C. Magneto-caloric effect of a Gd50Co50 amorphous alloy near the freezing point of water. AIP Adv. 2015, 5, 097122. [Google Scholar] [CrossRef]
- Zhong, X.; Huang, X.; Shen, X.; Mo, H.; Liu, Z. Thermal stability, magnetic properties and large refrigerant capacity of ternary Gd55Co35M10 (M = Mn, Fe and Ni) amorphous alloys. J. Alloys Compd. 2016, 682, 476–480. [Google Scholar] [CrossRef]
- Banerjee, B.K. On a generalised approach to first and second order magnetic transitions. Phys. Lett. 1964, 12, 16–17. [Google Scholar] [CrossRef]
- Griffith, L.D.; Mudryk, Y.; Slaughter, J.; Pecharsky, V.K. Material-based figure of merit for caloric materials. J. Appl. Phys. 2018, 123, 034902. [Google Scholar] [CrossRef]
- Sakka, A.; M’Nassri, R.; Nofal, M.M.; Mahjoub, S.; Cheikhrouhou-Koubaa, W.; Chniba-Boudjada, N.; Oumezzine, M.; Cheikhrouhou, A. Structure, magnetic and field dependence of magnetocaloric properties of Pr0.5 RE0.1Sr0.4MnO3 (RE = Eu and Er). J. Magn. Magn. Mater. 2020, 514, 167158. [Google Scholar] [CrossRef]
- Mahjoub, S.; M’nassri, R.; Baazaoui, M.; Hlil, E.K.; Oumezzine, M. Tuning magnetic and magnetocaloric properties around room temperature via chromium substitution in La0.65Nd0.05Ba0.3MnO3 system. J. Magn. Magn. Mater. 2019, 481, 29–38. [Google Scholar] [CrossRef]
- Mitrofanov, V.Y.; Estemirova, S.K.; Kozhina, G.A. Effect of oxygen content on structural, magnetic and magnetocaloric properties of (La0.7Pr0.3)0.8Sr0.2Mn0.9Co0.1O3±δ. J. Magn. Magn. Mater. 2019, 476, 199–206. [Google Scholar] [CrossRef]
- Shishkin, D.A. Magnetothermal properties of iron-based amorphous alloys type of Fe63.5M10Si13.5B9Nb3Cu1 (M = Cr, Mn, Fe, Co, Ni). Mater. Res. Express 2019, 6, 025201. [Google Scholar] [CrossRef]
- Dan’kov, S.Y.; Tishin, A.M.; Pecharsky, V.K.; Gschneidner, K.A., Jr. Magnetic phase transitions and the magnetothermal properties of gadolinium. Phys. Rev. B 1998, 57, 3478–3490. [Google Scholar] [CrossRef]
- Wang, Y.F.; Duc, N.T.M.; Feng, T.F.; Wei, H.J.; Qin, F.X.; Phan, M.H. Competing ferromagnetic and antiferromagnetic interactions drive the magnetocaloric tunability in Gd55Co30NixAl15−x microwires. J. Alloys Compd. 2022, 907, 164328. [Google Scholar] [CrossRef]
- Yano, K.; Akiyama, Y.; Tokumitsu, K.; Kita, E.; Ino, H. Magnetic moment and Curie temperature for amorphous Fe100−xGdx alloys (18 ≦ x ≦ 60). J. Magn. Magn. Mater. 2000, 214, 217–224. [Google Scholar] [CrossRef]
- Madsen, K.; Nielsen, H.B.; Tingleff, O. Methods for Non-Linear Least Squares Problems, 2nd ed.; Informatics and Mathematical Modelling; Technical University of Denmark: Lyngby, Denmark, 2004. [Google Scholar]
- Hassini, A.; Lassri, H.; Bouhdada, A.; Ayadi, M.; Krishnan, R.; Mansouri, I.; Chaker, B. Magnetic coupling in amorphous Fe80−xGdxB20 alloys. Phys. B Condens. Matter. 2000, 275, 295–300. [Google Scholar] [CrossRef]
- Ishio, S.; Obara, N.; Negami, S.; Miyazaki, T.; Kamimori, T.; Tange, H.; Goto, M. Magnetic properties and exchange interactions in (GdxFe1−x)80Si12B8 amorphous alloys. J. Magn. Magn. Mater. 1993, 119, 271–278. [Google Scholar] [CrossRef]
- Lee, J.M.; Jung, J.K.; Lim, S.H. Mean field analysis of exchange coupling in amorphous DyFe2-B alloy ribbons. J. Magn. Magn. Mater. 2001, 234, 133–141. [Google Scholar] [CrossRef]
- Lu, S.; Zhang, J.; Duan, H. Effects of B substitution for P on structure and magnetic properties of FePB amorphous alloys by first-principle investigation. Intermetallics 2022, 149, 107674. [Google Scholar] [CrossRef]
- Yaocen, W.; Yan, Z.; Makino, A.; Yunye, L.; Kawazoe, Y. Structural and Magnetic Study of Fe76Si9B10P5 Metallic Glass by First Principle Simulation. IEEE Trans. Magn. 2014, 50, 1–4. [Google Scholar] [CrossRef]
- Tian, H.; Zhang, C.; Zhao, J.; Dong, C.; Wen, B.; Wang, Q. First-principle study of the structural, electronic, and magnetic properties of amorphous Fe–B alloys. Phys. B Condens. Matter. 2012, 407, 250–257. [Google Scholar] [CrossRef]
- De Boer, F.R.; Mattens, W.C.M.; Boom, R.; Miedema, A.R.; Niessen, A.K. Cohesion in Metals: Transition Metal Alloys; Elsevier Science Publishers: Amsterdam, The Netherlands, 1988. [Google Scholar]
- Li, H.X.; Lu, Z.C.; Wang, S.L.; Wu, Y.; Lu, Z.P. Fe-based bulk metallic glasses: Glass formation, fabrication, properties and applications. Prog. Mater. Sci. 2019, 103, 235–318. [Google Scholar] [CrossRef]
- Campbell, I.A. Indirect exchange for rare earths in metals. J. Phys. F Metal Phys. 1972, 2, L47–L50. [Google Scholar] [CrossRef]
- McHenry, M.E.; Willard, M.A.; Laughlin, D.E. Amorphous and nanocrystalline materials for applications as soft magnets. Prog. Mater. Sci. 1999, 44, 291–433. [Google Scholar] [CrossRef]
- Hasegawa, R.; Taylor, R.C. Magnetization of amorphous Gd-Co-Ni films. J. Appl. Phys. 1975, 46, 3606–3608. [Google Scholar] [CrossRef]
- Schwarz, B.; Mattern, N.; Luo, Q.; Eckert, J. Magnetic properties and magnetocaloric effect of rapidly quenched Gd-Co-Fe-Al alloys. J. Magn. Magn. Mater. 2012, 324, 1581–1587. [Google Scholar] [CrossRef]








Disclaimer/Publisher’s Note: The statements, opinions and data contained in all publications are solely those of the individual author(s) and contributor(s) and not of MDPI and/or the editor(s). MDPI and/or the editor(s) disclaim responsibility for any injury to people or property resulting from any ideas, methods, instructions or products referred to in the content. |
© 2023 by the authors. Licensee MDPI, Basel, Switzerland. This article is an open access article distributed under the terms and conditions of the Creative Commons Attribution (CC BY) license (https://creativecommons.org/licenses/by/4.0/).
Share and Cite
Zhang, H.; Tan, J.; Zhang, X.; Yan, J.; Shi, H.; Zhu, Y.; Cheng, W.; Li, H.; Li, W.; Xia, A. Correlation between Magnetocaloric Properties and Magnetic Exchange Interaction in Gd54Fe36B10−xSix Amorphous Alloys. Materials 2023, 16, 3629. https://doi.org/10.3390/ma16103629
Zhang H, Tan J, Zhang X, Yan J, Shi H, Zhu Y, Cheng W, Li H, Li W, Xia A. Correlation between Magnetocaloric Properties and Magnetic Exchange Interaction in Gd54Fe36B10−xSix Amorphous Alloys. Materials. 2023; 16(10):3629. https://doi.org/10.3390/ma16103629
Chicago/Turabian StyleZhang, Huiyan, Jia Tan, Xue Zhang, Jiazhe Yan, Han Shi, Ye Zhu, Weizhong Cheng, Hailing Li, Weihuo Li, and Ailin Xia. 2023. "Correlation between Magnetocaloric Properties and Magnetic Exchange Interaction in Gd54Fe36B10−xSix Amorphous Alloys" Materials 16, no. 10: 3629. https://doi.org/10.3390/ma16103629
APA StyleZhang, H., Tan, J., Zhang, X., Yan, J., Shi, H., Zhu, Y., Cheng, W., Li, H., Li, W., & Xia, A. (2023). Correlation between Magnetocaloric Properties and Magnetic Exchange Interaction in Gd54Fe36B10−xSix Amorphous Alloys. Materials, 16(10), 3629. https://doi.org/10.3390/ma16103629

