A Phase Field Approach to Two-Dimensional Quasicrystals with Mixed Mode Cracks
Abstract
1. Introduction
2. Phase Field Method for 2D Decagonal QCs
2.1. The Basic Equations
2.2. Phase Field Method
2.3. Finite Element Implementation
3. Numerical Results
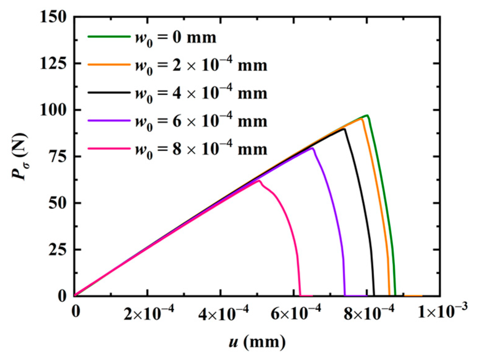
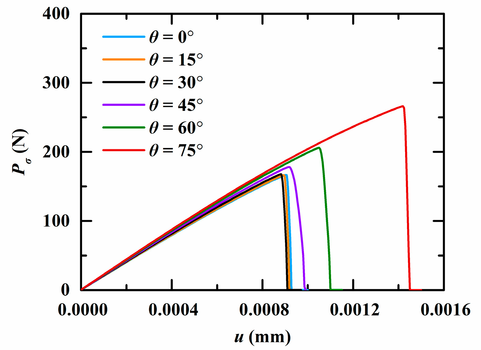
3.1. The Rectangular QCs with Edge Crack
3.2. The Rectangular QCs with an Internal Crack
3.3. The Rectangular QCs with Double Cracks
4. Conclusions
Author Contributions
Funding
Institutional Review Board Statement
Informed Consent Statement
Data Availability Statement
Conflicts of Interest
References
- Maciá Barber, E. Quasicrystals: Fundamentals and Applications, 1st ed.; CRC Press: Boca Raton, MA, USA, 2020. [Google Scholar]
- Li, X.F.; Fan, T.Y.; Sun, Y.F. A decagonal quasicrystal with a Griffith crack. Philos. Mag. 1999, 79, 1943–1952. [Google Scholar]
- Zhou, W.M.; Fan, T.Y. Plane elasticity problem of two-dimensional octagonal quasicrystals and crack problem. Chin. Phys. 2001, 10, 743–747. [Google Scholar]
- Guo, Y.C.; Fan, T.Y. A mode-II Griffith crack in decagonal quasicrystals. Appl. Math. Mech. 2001, 22, 1311–1317. [Google Scholar] [CrossRef]
- Shen, D.W.; Fan, T.Y. Exact solutions of two semi-infinite collinear cracks in a strip. Eng. Fract. Mech. 2003, 70, 813–822. [Google Scholar] [CrossRef]
- Li, L.H.; Fan, T.Y. Exact solutions of two semi-infinite collinear cracks in a strip of one dimensional hexagonal quasicrystal. Appl. Math. Comput. 2008, 196, 1–5. [Google Scholar] [CrossRef]
- Li, L.H.; Fan, T.Y. Complex variable method for plane elasticity of icosahedral quasicrystals and elliptic notch problem. Sci. China Phys. Mech. 2008, 51, 773–780. [Google Scholar] [CrossRef]
- Fan, T.Y.; Tang, Z.Y.; Chen, W.Q. Theory of linear, nonlinear and dynamic fracture for quasicrystals. Eng. Fract. Mech. 2012, 82, 185–194. [Google Scholar] [CrossRef]
- Li, L.H.; Liu, G.T. Stroh formalism for icosahedral quasicrystal and its application. Phys. Lett. A 2012, 376, 987–990. [Google Scholar] [CrossRef]
- Sladek, J.; Sladek, V.; Krahulec, S.; Zhang, C.; Wünsche, M. Crack analysis in decagonal quasicrystals by the MLPG. Int. J. Fract. 2013, 181, 115–126. [Google Scholar] [CrossRef]
- Sladek, J.; Sladek, V.; Atluri, S.N. Path-independent integral in fracture mechanics of quasicrystals. Eng. Fract. Mech. 2015, 140, 61–71. [Google Scholar] [CrossRef]
- Wang, T.; Li, X.Y.; Zhang, X.; Müller, R. Fundamental solutions in a half space of two-dimensional hexagonal quasicrystal and their applications. J. Appl. Phys. 2015, 117, 154904. [Google Scholar] [CrossRef]
- Li, Y.; Fan, C.; Qin, Q.H.; Zhao, M. Closed-form solutions of an elliptical crack subjected to coupled phonon–phason loadings in two-dimensional hexagonal quasicrystal media. Math. Mech. Solids 2019, 24, 1821–1848. [Google Scholar] [CrossRef]
- Li, Y.; Zhao, M.; Qin, Q.H.; Fan, C. Analysis solution method for 3D planar crack problems of two-dimensional hexagonal quasicrystals with thermal effects. Appl. Math. Model. 2019, 69, 648–664. [Google Scholar] [CrossRef]
- Li, W.; Shi, Y.Q. Extension of elastic models to decagonal quasicrystals. Crystals 2020, 10, 469. [Google Scholar] [CrossRef]
- Zhao, M.H.; Fan, C.Y.; Lu, C.S.; Dang, H.Y. Analysis of interface cracks in one-dimensional hexagonal quasi-crystal coating under in-plane loads. Eng. Fract. Mech. 2021, 243, 107534. [Google Scholar] [CrossRef]
- Stadler, J.; Mikulla, R.; Trebin, H.R. IMD: A software package for molecular dynamics studies on parallel computers. Int. J. Mod. Phys. C 1997, 8, 1131–1140. [Google Scholar] [CrossRef]
- Trebin, H.R.; Mikulla, R.; Stadler, J.; Schaaf, G.; Gumbsch, P. Molecular dynamics simulations of crack propagation in quasicrystals. Comput. Phys. Commun. 1999, 121–122, 536–539. [Google Scholar] [CrossRef]
- Schaaf, G.D.; Roth, J.; Trebin, H.R.; Mikulla, R. Numerical simulation of dislocation motion in three-dimensional icosahedral quasicrystals. Philos. Mag. A 2000, 80, 1657–1668. [Google Scholar] [CrossRef]
- Krdzalic, G.; Brunelli, M.; Trebin, H.R. Temperature dependence of dislocation motion and crack propagation in a two-dimensional binary model quasicrystal. MRS Online Proc. Libr. 2001, 643, K7.1.1-6. [Google Scholar] [CrossRef]
- Rudhart, C.; Gumbsch, P.; Trebin, H.R. From crystalline to glassy: Crack propagation modes in decagonal quasicrystals. MRS Online Proc. Libr. 2003, 805, 312–317. [Google Scholar] [CrossRef]
- Rudhart, C.; Rösch, F.; Gähler, F.; Roth, J.; Trebin, H.R. Crack Propagation in Icosahedral Model Quasicrystals; Springer: Berlin/Heidelberg, Germany, 2003; pp. 107–116. [Google Scholar]
- Schaaf, G.D.; Roth, J.; Trebin, H.R. Dislocation motion in icosahedral quasicrystals at elevated temperatures: Numerical simulation. Philos. Mag. 2003, 83, 2449–2465. [Google Scholar] [CrossRef]
- Rosch, F.; Rudhart, C.; Gumbsch, P.; Trebin, H.R. Cleavage planes of icosahedral quasicrystals: A molecular dynamics study. Mat. Res. Soc. Symp. Proc. 2004, 805, 329–334. [Google Scholar] [CrossRef]
- Rudhart, C.; Trebin, H.R.; Gumbsch, P. Crack propagation in perfectly ordered and random tiling quasicrystals. J. Non-Cryst. Solids 2004, 334–335, 453–456. [Google Scholar] [CrossRef]
- Rösch, F.; Rudhart, C.; Roth, J.; Trebin, H.R.; Gumbsch, P. Dynamic fracture of icosahedral model quasicrystals: A molecular dynamics study. Phys. Rev. B 2005, 72, 014128. [Google Scholar] [CrossRef]
- Rudhart, C.; Gumbsch, P.; Trebin, H.R. Temperature dependence of crack propagation in a two-dimensional model quasicrystal. Philos. Mag. 2005, 85, 3259–3272. [Google Scholar] [CrossRef]
- Engel, M.; Umezaki, M.; Trebin, H.R.; Odagaki, T. Dynamics of particle flips in two-dimensional quasicrystals. Phys. Rev. B 2010, 82, 134206. [Google Scholar] [CrossRef]
- Lipp, H.; Engel, M.; Sonntag, S.; Trebin, H.R. Phason dynamics in one-dimensional lattices. Phys. Rev. B 2010, 81, 064302. [Google Scholar] [CrossRef]
- Wang, Z.; Ricoeur, A. Numerical crack path prediction under mixed-mode loading in 1D quasicrystals. Theor. Appl. Fract. Mech. 2017, 90, 122–132. [Google Scholar] [CrossRef]
- Sun, Z.F.; Fan, T.Y.; Wu, X.F. Convolution of the impact three-dimensional elasto-dynamics and dynamic stress intensity factor for an elliptic crack. Acta. Mech. Sin. 2002, 18, 302–308. [Google Scholar]
- Wang, X.F.; Fan, T.Y.; Zhu, A.Y. Dynamic behaviour of the icosahedral Al-Pd-Mn quasicrystal with a Griffith crack. Chin. Phys. B 2009, 18, 709–714. [Google Scholar]
- Zhu, A.Y.; Fan, T.Y. Dynamic crack propagation in decagonal Al-Ni-Co quasicrystal. J. Phys.-Condes. Matter 2008, 20, 295217. [Google Scholar] [CrossRef]
- Yin, Z.H.; Fan, T.Y.; Zhu, A.Y. Dynamic crack propagation in five-fold symmetry quasicrystals. Mod. Phys. Lett. B 2009, 23, 1509–1518. [Google Scholar] [CrossRef]
- Qiao, L.P.; Wu, L.; Fan, T.Y. Dynamic response of an icosahedral quasi-crystalline medium with a Griffith crack under mechanical loadings. Adv. Mech. Eng. 2017, 9, 1–12. [Google Scholar] [CrossRef]
- Li, W.; Fan, T.Y. Elasto-dynamics of quasicrystals. Crystals 2016, 6, 152. [Google Scholar] [CrossRef]
- Cheng, H.; Fan, T.Y.; Wei, H. Phonon–phason dynamics and hydrodynamics of fivefold and tenfold symmetry quasicrystals. Acta Mech. 2017, 228, 136–1372. [Google Scholar] [CrossRef]
- Tang, Z.Y.; Fan, T.Y. Three-dimensional equations of generalized dynamics of 18-fold symmetry soft-matter quasicrystals. Mod. Phys. Lett. B 2020, 34, 2050109. [Google Scholar] [CrossRef]
- Fan, T.Y.; Tang, Z.Y. Three-dimensional generalized dynamics of soft-matter quasicrystals. Adv. Mater. Sci. Eng. 2020, 2020, 4875854. [Google Scholar] [CrossRef]
- Ambati, M.; Gerasimov, T.; De Lorenzis, L. A review on phase-field models of brittle fracture and a new fast hybrid formulation. Comput. Mech. 2015, 55, 383–405. [Google Scholar] [CrossRef]
- Bui, T.Q.; Hu, X.F. A review of phase-field models, fundamentals and their applications to composite laminates. Eng. Fract. Mech. 2021, 248, 107705. [Google Scholar] [CrossRef]
- Fan, T.Y. Mathematical Theory of Elasticity of Quasicrystals and Its Applications; Springer: Singapore, 2016. [Google Scholar]
- Miehe, C.; Welschinger, F.; Hofacker, M. Thermodynamically consistent phase-field models of fracture: Variational principles and multi-field FE implementations. Int. J. Numer. Methods Eng. 2010, 83, 1273–1311. [Google Scholar] [CrossRef]
- Miehe, C.; Hofacker, M.; Welschinger, F. A phase field model for rate-independent crack propagation: Robust algorithmic implementation based on operator splits. Comput. Meth. Appl. Mech. Eng. 2010, 199, 2765–2778. [Google Scholar] [CrossRef]
- Chernikov, M.A.; Ott, H.R.; Bianchi, A.; Migliori, A.; Darling, T.W. Elastic moduli of a single quasicrystal of decagonal Al-Ni-Co: Evidence for transverse elastic isotropy. Phys. Rev. Lett. 1998, 80, 321–324. [Google Scholar] [CrossRef]
- Jeong, H.C.; Steinhardt, P.J. Finite-temperature elasticity phase transition in decagonal quasicrystals. Phys. Rev. B 1993, 48, 9394–9403. [Google Scholar] [CrossRef]
- Edagawa, K. Phonon–phason coupling in decagonal quasicrystals. Philos. Mag. 2007, 87, 2789–2798. [Google Scholar] [CrossRef]
- Jaric, M.V.; Nelson, D.R. Diffuse scattering from quasicrystals. Phys. Rev. B 1988, 37, 4458–4472. [Google Scholar] [CrossRef] [PubMed]
- Coddens, G.; Bellissent, R.; Calvayrac, Y.; Ambroise, J.P. Evidence for phason hopping in icosahedral AlFeCu quasi-crystals. Europhys. Lett. 1991, 16, 271–276. [Google Scholar] [CrossRef]

















| Al-Ni-Co (GPa) | 234.30 | 57.34 | 88.45 | 122 | 24 | −1.1 | 0.1 |
Disclaimer/Publisher’s Note: The statements, opinions and data contained in all publications are solely those of the individual author(s) and contributor(s) and not of MDPI and/or the editor(s). MDPI and/or the editor(s) disclaim responsibility for any injury to people or property resulting from any ideas, methods, instructions or products referred to in the content. |
© 2023 by the authors. Licensee MDPI, Basel, Switzerland. This article is an open access article distributed under the terms and conditions of the Creative Commons Attribution (CC BY) license (https://creativecommons.org/licenses/by/4.0/).
Share and Cite
Li, T.; Yang, Z.; Xu, C.; Xu, X.; Zhou, Z. A Phase Field Approach to Two-Dimensional Quasicrystals with Mixed Mode Cracks. Materials 2023, 16, 3628. https://doi.org/10.3390/ma16103628
Li T, Yang Z, Xu C, Xu X, Zhou Z. A Phase Field Approach to Two-Dimensional Quasicrystals with Mixed Mode Cracks. Materials. 2023; 16(10):3628. https://doi.org/10.3390/ma16103628
Chicago/Turabian StyleLi, Tong, Zhenting Yang, Chenghui Xu, Xinsheng Xu, and Zhenhuan Zhou. 2023. "A Phase Field Approach to Two-Dimensional Quasicrystals with Mixed Mode Cracks" Materials 16, no. 10: 3628. https://doi.org/10.3390/ma16103628
APA StyleLi, T., Yang, Z., Xu, C., Xu, X., & Zhou, Z. (2023). A Phase Field Approach to Two-Dimensional Quasicrystals with Mixed Mode Cracks. Materials, 16(10), 3628. https://doi.org/10.3390/ma16103628

