Abstract
The accurate prediction of fatigue performance is of great engineering significance for the safe and reliable service of components. However, due to the complexity of influencing factors on fatigue behavior and the incomplete understanding of the fatigue failure mechanism, it is difficult to correlate well the influence of various factors on fatigue performance. Machine learning could be used to deal with the association or influence of complex factors due to its good nonlinear approximation and multi-variable learning ability. In this paper, the gradient boosting regression tree model, the long short-term memory model and the polynomial regression model with ridge regularization in machine learning are used to predict the fatigue strength of a nickel-based superalloy GH4169 under different temperatures, stress ratios and fatigue life in the literature. By dividing different training and testing sets, the influence of the composition of data in the training set on the predictive ability of the machine learning method is investigated. The results indicate that the machine learning method shows great potential in the fatigue strength prediction through learning and training limited data, which could provide a new means for the prediction of fatigue performance incorporating complex influencing factors. However, the predicted results are closely related to the data in the training set. More abundant data in the training set is necessary to achieve a better predictive capability of the machine learning model. For example, it is hard to give good predictions for the anomalous data if the anomalous data are absent in the training set.
1. Introduction
Fatigue damage is one of the main factors for the failure of mechanical parts. Therefore, the accurate design of the fatigue strength or fatigue life is an urgent problem in the industrial field. However, there are many factors affecting fatigue performance, such as stress ratios, loading frequencies, temperatures, surface roughness, residual stresses, defects of materials, etc. [1,2,3,4,5,6,7]. For example, fatigue life usually increases with the increase in the stress ratio at the same maximum stress [8,9,10,11,12,13]. The nickel-based superalloy does not present a monotonous trend with the increase in temperature, which reaches peak value at a certain temperature [14,15,16]. The defect tends to reduce the fatigue performance of metallic materials, and the fatigue strength often decreases with the increase in the defect size [17,18,19].
Machine learning is a method that builds models based on the data and uses models to predict and analyze the data. The deep learning developed in recent years has been widely used in various fields due to its strong learning and perceptual capabilities, such as games [20,21,22], drug design [23,24,25] and human health testing [26,27,28], which has played an important role in dealing with the association or influence of complex factors. Some results have also been available on the application of machine learning in the field of fatigue [29,30,31,32,33,34]. For example, Iacoviello et al. [29] studied the effect of the stress ratio R on the fatigue crack growth resistance of PM duplex stainless steel through a model based on the artificial neural network (ANN), and predicted the fatigue crack propagation with a high degree of coincidence. Durodola et al. [30] used the ANN method to evaluate the effect of mean stress on the fatigue life of metal alloys. Their results showed that the ANN method had higher resolution and consistency compared with the existing methods. Yan et al. [31] proposed a hybrid model to predict the fatigue strength of steels based on a modified bagging method, which showed great potential in improving the prediction accuracy of the fatigue strength.
The factors influencing fatigue behavior are complicated, and the associated mechanism is not completely clear. Therefore, it is difficult to correlate well the influence of various factors on fatigue life or fatigue strength. Taking the effects of temperature and stress ratio on fatigue strength as an example, it is hard to establish a traditional math model to reflect well the coupling effect of temperature and stress ratio on fatigue strength at different fatigue lifetimes. Machine learning, meanwhile, is only the association of numbers in an algorithm, which does not need to establish explicit expressions. This provides a way to describe the influence of multiple factors.
The Ni-based superalloy GH4169 is one of the main materials for the manufacture of advanced engine turbine disks and turbine blades, which is subjected to fatigue loadings in service. In this study, three typical machine learning methods, the gradient boosting regression tree (GBRT) model, the long short-term memory (LSTM) model and the polynomial regression model with ridge regularization (PRRR), are used to investigate the fatigue strength prediction of the Ni-based superalloy GH4169 incorporating multiple influencing factors. The GBRT model and the PRRR belong to the category of machine learning, while the LSTM model belongs to the deep neural network architecture. GBRT is an integrated model, while LSTM and PRRR are single models. The aim of this paper is to examine the predictive ability of the machine learning method in dealing with the influence of various factors on fatigue performance. By dividing different training sets and testing sets, it is found that the predicted results by the machine learning method are closely related to the training set. In the absence of the anomalous data, all three models give reasonable predictions. If the anomalous data are not in the training set, it is hard to predict the anomalous data. The predictive capability is also compared for the three machine learning methods. It shows that the PRRR gives the best predicted results of fatigue strength.
2. Experimental Data and Pre-Processing
2.1. Experimental Data
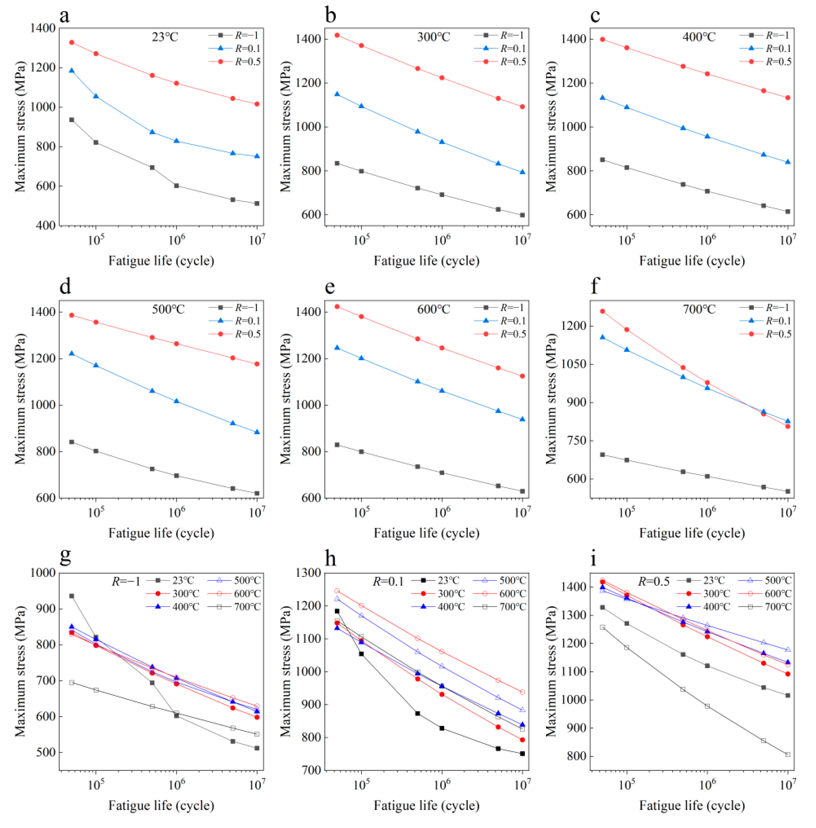
The data used in this study are the fatigue strengths of a nickel-based superalloy GH4169 under different temperatures, stress ratios and fatigue lifetimes from Ref. [35]. The total experimental data are 108, and it is composed of 18 data at each temperature. Figure 1 shows the relationship between the fatigue strength and the fatigue life of this material at different temperatures and stress ratios. It is seen from Figure 1a–f that the fatigue strength in terms of the maximum stress at a given fatigue life increases with the increase in the stress ratio at the same temperature except for the fatigue strength of 5 × 106 cyc and 107 cyc at 700 °C. Figure 1g–i indicates that the effect of temperature on fatigue strength is related to the stress ratio and fatigue life. At the stress ratio R = −1, the difference of fatigue strength is small when the temperature ranges from 300 °C to 600 °C at the same fatigue life. The fatigue strength at 700 °C is obviously lower than the fatigue strength at 300 °C to 600 °C at the same fatigue life. With the increase in fatigue life, the fatigue strength at room temperature (23 °C) descends sharply compared with the fatigue strength at high temperatures. The fatigue strength at room temperature is lower than the one at high temperature at the fatigue life of 106 cyc, 5 × 106 cyc and 107 cyc. At the stress ratio R = 0.1, the fatigue strength generally increases with an increase in temperature at the same fatigue life when the temperature ranges from 23 °C to 600 °C, while the fatigue strength at 700 °C is almost the same as the fatigue strength at 400 °C. At the stress ratio R = 0.5, the difference of the fatigue strength is often not large when the temperature ranges from 300 °C to 600 °C, while the fatigue strength at 700 °C is obviously lower than the fatigue strength at 300 °C to 600 °C. The fatigue strength at room temperature is lower than the fatigue strength at 300 °C to 600 °C but higher than the one at 700 °C.
Figure 1.
S-N data of nickel-based superalloy at different temperatures and stress ratios: (a–f) Different stress ratios at 23 °C, 300 °C, 400 °C, 500 °C, 600 °C, 700 °C, respectively; (g–i) Different temperatures at R = −1, R = 0.1 and R = 0.5, respectively.
2.2. Data Pre-Processing
The predictive ability of the PRRR and LSTM model could be affected by the inconsistent dimensions between different features and the large numerical difference in the data set. Therefore, in order to improve the accuracy of the models, the MaxMinscaler normalization is performed on the data according to Equation (1) before constructing the PRRR and LSTM model, i.e., the input characteristics (temperature, stress ratio, fatigue life) is mapped to the interval [–1, 1], and the output fatigue strength is mapped to the interval [0, 1].
where x and x′ are the values before and after feature scaling, respectively, Max(x) and Min(x) are the maximum and minimum values of features, respectively, a and b are real numbers that adjust the range of the zoom interval [a, b].
3. Machine Learning Models
3.1. Gradient Boosting Regression Tree (GBRT) Model
The GBRT [36] is an ensemble algorithm that combines several weak learners into one strong learner. It adds predictors to the ensemble step by step, each of which corrects its preamble, so that the new predictor fits the residual of the previous predictor. The process of this algorithm is as follows:
- (1)
- Initialization:
- (2)
- For m = 1, 2, …, M:
(a) For i = 1, 2, …, N, calculate:
(b) Fit a regression tree to rmi to get the leaf node region Rmj of the m-th tree, j = 1, 2, …, J.
(c) For j = 1, 2, …, J, calculate:
(d) Update the weak learner fm(x):
- (3)
- Get the regression tree:
Firstly, the GBRT algorithm is initialized at the first step to estimate the constant value that minimizes the loss function L. Then, the negative gradient rmi of the loss function is calculated as the approximate value of the residual in step 2(a). In step 2(b), the leaf node area of the regression tree is estimated to fit the approximate value of the residual error. In step 2(c), the value of the leaf node area is estimated by the linear search to minimize the loss function. The regression tree is updated continuously in step 2(d). Finally, the final model is output in step 3.
The GBRT model is usually sensitive to the setting of parameters. The appropriate setting of parameters can improve the generalization performance of the model. In this study, the parameters “max_depth” and “learning _rate” are 4 and 0.1, respectively, so as to avoid the over-complexity of the model and improve its learning ability. In addition, the optimal number of trees is obtained by adopting the early stop method, i.e., training a GBRT model with n trees at first, and then measuring the verification error of each stage to find the optimal number of trees, and finally using the optimal number of trees to retrain the model.
3.2. Long Short-Term Memory (LSTM) Model
The LSTM [37] model allows information to selectively affect the state of each moment in the network by introducing three “gate” structures: inputting gate, forgetting gate and outputting gate. The basic architecture of the LSTM unit is shown in Figure 2. The long-term state ct−1 first passes through a forgetting gate, loses some memories, and then adds some new memories selected by the inputting gate through an additional operation. Results of ct are directly output without any further conversion. After the additional operation, the long-term state is copied and transmitted through the hyperbolic tangent function. Then, the result is filtered by the outputting gate, and the short-term state ht is generated. The LSTM model can learn to identify important inputs, store them in a long-term state, keep or extract it when it is needed. The LSTM network has been widely used in machine translation, speech recognition and some other fields with its excellent data processing ability, and has achieved amazing success [38,39,40,41,42,43].
Figure 2.
Basic architecture of LSTM unit. ht and ct denote short-term state and long-term state, respectively. ft, it and ot represent forgetting gate, inputting gate and outputting gate, respectively, which controls the path of information transmission. zt is the candidate state obtained by the nonlinear function, σ is Logistic function, tanh is hyperbolic tangent function. ⊗ and ⊕ denote the multiplication and addition of the corresponding elements, respectively. The detailed information for the LSTM unit can be referred to Ref. [44].
In the construction of the long short-term memory network, the number of neurons in the LSTM layer decreases layer by layer to form a pyramid. The reason for this construction is that many low-level features can be merged into fewer high-level features, and the attention is shifted to the relationships that have a significant relevance to the output. Moreover, considering that the output fatigue strength is positive, the Relu activation function is adopted in the output layer to ensure that the network can model the complex nonlinear phenomenon and learn efficiently.
3.3. Polynomial Regression Model with Ridge Regularization (PRRR)
The polynomial regression with ridge regularization is an introduction of the ridge regularization on the basis of polynomial regression. Ridge regression is a regularized version of the linear regression whose cost function can be expressed by Equation (7). By adding a regularization term, , not only is the algorithm forced to fit the data, but also the weight of the model is constrained to achieve the purpose of regularization
where θi is the i-th model parameter (including the bias term θ0 and the feature weight θ1, θ2, …, θn), MSE(θ) is the root mean square error and it is the cost function of the linear regression, α is the hyperparameter of the model and it controls the degree of regularization of the model. If α = 0, the ridge regression is only the linear regression. If α is very large, all weights are very close to 0 in the end. In this study, the parameters’ “degree” and α in PRRR are 10 and 0.05, respectively.
4. Results and Discussion
The experimental results in Figure 1 indicate that the fatigue strength at 700 °C is anomalous with the variation of the temperature compared with the other tested temperatures. Here, the fatigue strength data at 700 °C are seen as anomalous data. To examine the influence of data in the training set on the generalization performance of the machine learning model, four different cases of training sets and testing sets are considered for the fatigue strength data of the nickel-based superalloy, as shown in Table 1. In cases 1 and 2, the anomalous data are in the testing sets, and the predictive ability of the machine learning model for the anomalous data is examined. In cases 3 and 4, the anomalous data are absent in the testing sets, and the effect of anomalous data on the predicted results is investigated. In this study, all the machine learning models are implemented in Python-based programs. The temperature, stress ratio and fatigue life are input variables, and fatigue strength is the output variable.
Table 1.
Four different cases of training sets and testing sets of fatigue strength data.
Figure 3 shows the predicted results of the above three machine learning models for the fatigue strength of the nickel-based superalloy at different temperatures and stress ratios in case 1. Figure 4 shows the relative errors of the predicted results to the experimental data for the different machine learning models. It is seen from Figure 3a–c that all the three machine learning models show good predictions for the fatigue strength under different stress ratios at 400 °C. The relative errors of the predicted results to the experimental data are all within 8% for the three machine learning models, as shown in Figure 4a, while for the fatigue strengths at 700 °C, it gives poor predictions for the three machine learning models (Figure 3d–f). The relative errors of a few predicted data are more than 30% for the GBRT and LSTM models, as shown in Figure 4b. The PRRR is better than the GBRT and LSTM models. The relative errors of the predicted results are all less than 25% for the PRRR.
Figure 3.
Predicted results of different machine learning models for the fatigue strength of the nickel-based superalloy under different conditions in case 1: (a) 400 °C, R = −1; (b) 400 °C, R = 0.1; (c) 400 °C, R = 0.5; (d) 700 °C, R = −1; (e) 700 °C, R = 0.1; (f) 700 °C, R = 0.5. (EXP. represents the experimental data).
Figure 4.
Relative errors of the predicted results to the experimental data for the different machine learning models in Figure 3: (a) 400 °C; (b) 700 °C. The range of relative errors is the same between the same numbers on the horizontal axis.
Figure 5 shows the predicted results of different machine learning models for the fatigue strength of the nickel-based superalloy in case 2. Compared with the results in Figure 3, the fatigue strength data at 400 °C are added in the training set for the predicted results in Figure 5. Figure 6 shows the relative errors of the predicted values to the experimental data for the different machine learning models in Figure 5. A comparison of the relative errors of the predicted results by the different training sets in Figure 4b with Figure 6 shows that the predictive ability is not improved for all three machine learning models by increasing the normal data in the training set. There is still a large deviation between the predicted values and the experimental ones. The results in Figure 3, Figure 4, Figure 5 and Figure 6 indicate that the predicted results of the machine learning models depend strongly on the feature of the data in the training set. If the data in the training set cannot provide enough information for the data in the testing set (e.g., the anomalous data), it is hard to give reasonable or accurate predictions.
Figure 5.
Predicted results of different machine learning models for the fatigue strength of the nickel-based superalloy in case 2: (a) 700 °C, R = −1; (b) 700 °C, R = 0.1; (c) 700 °C, R = 0.5.
Figure 6.
Relative errors of the predicted results to the experimental data for the different machine learning models in Figure 5. The range of relative errors is the same between the same numbers on the horizontal axis.
Figure 7 shows the predicted results of the three machine learning models for the fatigue strength of the nickel-based superalloy at different temperatures and stress ratios in case 3. Figure 8 shows the relative errors of the predicted values to the experimental data for the different machine learning models. It is seen from Figure 7 and Figure 8 that all three machine learning models have strong predictive ability for the fatigue strengths at 300 °C and 500 °C under different stress ratios. The relative errors of the predicted values to the experimental ones are within 10%, as shown in Figure 8a,b, which indicates a satisfactory expectation from the machine learning models. However, the prediction accuracy of the fatigue strength is poor at 600 °C for the GBRT model, as shown in Figure 8c. Compared with the GBRT model, the predictive ability is acceptable for the PRRR and LSTM model, as shown in Figure 8c. The relative errors of the predicted results are all less than 10% for the PRRR, and most of the relative errors are less than 10% for the LSTM model. The difference of the prediction accuracy between the fatigue strengths at 300 °C and 500 °C and the ones at 600 °C is attributed to the influence of the anomalous data at 700 °C in the training set. The fatigue strength at the temperatures ranging from 23 °C to 600 °C shows a certain rule under different stress ratios, which is either close or presents a trend in general with the variation of temperature. While the trend of the fatigue strength at 700 °C is different from those at 23–600 °C. The temperature 600 °C in the testing set is near the temperature 700 °C in the training set. The anomalous data at 700 °C causes the side effects on the accuracy of the models generated by training especially for the GBRT model used in this paper, which results in the poor predictions for the fatigue strengths at 600 °C.
Figure 7.
Predicted results of different machine learning models for the fatigue strength of the nickel-based superalloy under different conditions in case 3: (a) 300 °C, R = −1; (b) 300 °C, R = 0.1; (c) 300 °C, R = 0.5; (d) 500 °C, R = −1; (e) 500 °C, R = 0.1; (f) 500 °C, R = 0.5; (g) 600 °C, R = −1; (h) 600 °C, R = 0.1; (i) 600 °C, R = 0.5.
Figure 8.
Relative errors of the predicted results to the experimental data for the different machine learning models in Figure 7. (a) 300 °C; (b) 500 °C; (c) 600 °C. The range of relative errors is the same between the same numbers on the horizontal axis.
Figure 9 shows the predicted results of the three machine learning models for the fatigue strength of the nickel-based superalloy at different temperatures and stress ratios in case 4. Figure 10 shows the relative errors of the predicted values to the experimental data for the different machine learning models. A comparison of Figure 7 and Figure 8 with Figure 9 and Figure 10 indicates that the prediction accuracy of the fatigue strength at 600 °C is significantly improved for all three machine learning models. The relative errors of the predicted values are all within 6%, as shown in Figure 10b. The results in Figure 7, Figure 8, Figure 9 and Figure 10 indicate that if the anomalous data are included in the training set and the data in the training set are not enough, it is often hard to give accurate predictions by the machine learning method. By adding more normal data into the training set, the influence of the anomalous data on the prediction accuracy is weakened, and the prediction accuracy could be improved.
Figure 9.
Predicted results of different machine learning models for the fatigue strength of the nickel-based superalloy under different conditions in case 4: (a) 300 °C, R = −1; (b) 300 °C, R = 0.1; (c) 300 °C, R = 0.5; (d) 600 °C, R = −1; (e) 600 °C, R = 0.1; (f) 600 °C, R = 0.5.
Figure 10.
Relative errors of the predicted results to the experimental data for the different machine learning models in Figure 9. (a) 300 °C; (b) 600 °C. The range of relative errors is the same between the same numbers on the horizontal axis.
Table 2 shows the determination coefficient R2 between the predicted values and the experimental ones under the special temperatures by the three machine learning models with different training sets. The value of the coefficient of determination is calculated according to Equation (8), which could reflect the prediction accuracy of the model [45]. The closer the value of R2 to 1, the closer the predicted value to the experimental one. It is seen from Table 2 that, for the fatigue strengths at 400 °C in case 1, 300 °C and 500 °C in case 3 and 300 °C in case 4, the predictive ability is almost the same for the three machine learning models. While for the fatigue strengths at 700 °C in cases 1 and 2, as well as the fatigue strengths at 600 °C in cases 3 and 4, the PRRR is better than the GBRT and LSTM models. This indicates that the PRRR is the best one among the three machine learning models. The PRRR shows a good potential in dealing with the side effects of the data in the training set.
where is the experimental value; is the predicted value; and is the average experimental value.
Table 2.
Determination coefficient R2 between the predicted values and the experimental ones under special temperatures for the four cases of different training sets and testing sets in Table 1.
The above results indicate that the composition of data in the training set and the anomalous data have great influence on the predictive ability of the machine learning models. It is understandable that the machine learning method cannot give reasonable predictions for the anomalous data relative to the data in the training set. This is due to the fact that the essence of the machine learning method is data-driven, which is completely different from the physical models. In other words, the machine learning method is, to a large extent, a black box of which the physical meaning cannot be clearly explained. This is an inevitable fault in the application of the machine learning method. It is precisely because of the poor interpretability of the model that the machine learning method is limited in many specific fields, such as the fields of finance and healthcare, and so on. However, it is undeniable that, under some conditions, the machine learning method could play an important role in the prediction of fatigue performance and the anti-fatigue design of materials.
5. Conclusions
In this paper, the GBRT model, LSTM model and PRRR in machine learning are used to predict the fatigue strength of the nickel-based superalloy GH4169 under different temperatures, stress ratios and fatigue life. By dividing training sets and testing sets in different ways, the influence of the composition of data in the training set on the predictive ability is investigated for the machine learning method. This paper indicates that the machine learning method can give good predictions for the influence of various factors on fatigue strength by learning and training limited data, but the prediction accuracy strongly depends on the composition and characteristics of the training set. If the anomalous data are absent in the training set, it is hard to predict well the anomalous data even for the large amount of training data. When the anomalous data are in the training set, it will have a side effect on the predictive ability of the model generated by training. The influence of the anomalous data on the prediction of the normal data can be weakened with the increase in normal data in the training set. This paper also indicates that the PRRR shows the best prediction of the fatigue strength of the nickel-based superalloy among the GBRT model, LSTM model and PRRR. It is noted that this work is based on the fatigue strength data of the nickel-based superalloy GH4169 under different temperatures, stress ratios and fatigue life, which lacks a consideration of the relationship between the mechanism of influencing factors and fatigue strength. In future work, the role of physical parameters on fatigue performance under different loading conditions in machine learning models should be paid attention. More data and research are also needed to verify the reliability and practicability of machine learning methods due to the limited data of the present study.
Author Contributions
Conceptualization, W.X. and C.S.; investigation, Y.G., S.-S.R. and C.S.; visualization, Y.G.; writing—original draft preparation, Y.G. and C.S.; writing—review and editing, Y.G., S.-S.R., W.X. and C.S.; supervision, C.S. All authors have read and agreed to the published version of the manuscript.
Funding
This research was funded by National Natural Science Foundation of the China Basic Science Center for “Multiscale Problems in Nonlinear Mechanics” (No. 11988102), the Youth Fund of National Natural Science Foundation of China (No. 12202446) and the Opening Fund of the Key Laboratory of Aero-engine Thermal Environment and Structure, Ministry of Industry and Information Technology (No. CEPE2022004).
Institutional Review Board Statement
Not applicable.
Informed Consent Statement
Not applicable.
Data Availability Statement
Not applicable.
Conflicts of Interest
The authors declare no conflict of interest.
References
- Sun, C.; Li, Y.; Huang, R.; Wang, L.; Liu, J.; Zhou, L.; Duan, G. Crack initiation mechanism and fatigue life of titanium alloy Ti–6Al–2Sn–2Zr–3Mo-X: Effects of stress ratio and loading frequency. Mater. Sci. Eng. A 2020, 798, 140265. [Google Scholar] [CrossRef]
- Takeuchi, E.; Furuya, Y.; Nagashima, N.; Matsuoka, S. The effect of frequency on the giga-cycle fatigue properties of a Ti–6Al–4V alloy. Fatigue Fract. Eng. Mater. Struct. 2008, 31, 599–605. [Google Scholar] [CrossRef]
- Liu, F.; Chen, Y.; He, C.; Li, L.; Wang, C.; Li, H.; Zhang, H.; Wang, Q.; Liu, Y. Tensile and very high cycle fatigue behaviors of a compressor blade titanium alloy at room and high temperatures. Mater. Sci. Eng. A 2021, 811, 141049. [Google Scholar] [CrossRef]
- Zhang, Z.; Li, Z.; Wu, H.; Sun, C. Size and Shape Effects on Fatigue Behavior of G20Mn5QT Steel from Axle Box Bodies in High-Speed Trains. Metals 2022, 12, 652. [Google Scholar] [CrossRef]
- Sun, J.; Wu, L.; Sun, C. Effects of Notches and Defects on Dwell Fatigue Mechanism and Fatigue Life of Ti-6Al-4V ELI Alloy Used in Deep-Sea Submersibles. J. Mar. Sci. Eng. 2021, 9, 845. [Google Scholar] [CrossRef]
- Sun, C.; Li, Y.; Xu, K.; Xu, B. Effects of intermittent loading time and stress ratio on dwell fatigue behavior of titanium alloy Ti-6Al-4V ELI used in deep-sea submersibles. J. Mater. Sci. Technol. 2021, 77, 223–236. [Google Scholar] [CrossRef]
- Zhong, B.; Huang, X.; Guo, W.; Yu, H. Experimental study on residual fatigue life for a nickel-based powder metallurgy superalloy. Structural Integrity and Materials Ageing in Extreme Conditions. In Proceedings of the 2010 International Symposium on Structural Integrity, Shanghai, China, 21–24 October 2010; pp. 221–226. [Google Scholar]
- Li, W.; Zhao, H.; Nehila, A.; Zhang, Z.; Sakai, T. Very high cycle fatigue of TC4 titanium alloy under variable stress ratio: Failure mechanism and life prediction. Int. J. Fatigue 2017, 104, 342–354. [Google Scholar] [CrossRef]
- Liu, X.; Sun, C.; Hong, Y. Effects of stress ratio on high-cycle and very-high-cycle fatigue behavior of a Ti–6Al–4V alloy. Mater. Sci. Eng. A 2015, 622, 228–235. [Google Scholar] [CrossRef]
- Li, G.; Ke, L.; Ren, X.; Sun, C. High cycle and very high cycle fatigue of TC17 titanium alloy: Stress ratio effect and fatigue strength modeling. Int. J. Fatigue 2022, 107299. [Google Scholar] [CrossRef]
- Ishihara, S.; McEvily, A.; Sato, M.; Taniguchi, K.; Goshima, T. The effect of load ratio on fatigue life and crack propagation behavior of an extruded magnesium alloy. Int. J. Fatigue 2009, 31, 1788–1794. [Google Scholar] [CrossRef]
- Sun, C.; Lei, Z.; Hong, Y. Effects of stress ratio on crack growth rate and fatigue strength for high cycle and very-high-cycle fatigue of metallic materials. Mech. Mater. 2014, 69, 227–236. [Google Scholar] [CrossRef]
- Lü, Z.-Y.; Wan, A.-S.; Xiong, J.-J.; Li, K.; Liu, J.-Z. Effects of stress ratio on the temperature-dependent high-cycle fatigue properties of alloy steels. Int. J. Miner. Metall. Mater. 2016, 23, 1387–1396. [Google Scholar] [CrossRef]
- Zhao, Z.; Zhang, F.; Dong, C.; Yang, X.; Chen, B. Initiation and early-stage growth of internal fatigue cracking under very-high-cycle fatigue regime at high temperature. Metall. Mater. Trans. A 2020, 51, 1575–1592. [Google Scholar] [CrossRef]
- Liu, Y.; Yu, J.; Xu, Y.; Sun, X.; Guan, H.; Hu, Z. High cycle fatigue behavior of a single crystal superalloy at elevated temperatures. Mater. Sci. Eng. A 2007, 454, 357–366. [Google Scholar] [CrossRef]
- Zhaokuang, C.; Jinjiang, Y.; Xiaofeng, S.; Hengrong, G.; Zhuangqi, H. High cycle fatigue behavior of a directionally solidified Ni-base superalloy DZ951. Mater. Sci. Eng. A 2008, 496, 355–361. [Google Scholar] [CrossRef]
- Chi, W.; Wang, W.; Xu, W.; Li, G.; Chen, X.; Sun, C. Effects of defects on fatigue behavior of TC17 titanium alloy for compressor blades: Crack initiation and modeling of fatigue strength. Eng. Fract. Mech. 2022, 259, 108136. [Google Scholar] [CrossRef]
- Li, G.; Sun, C. High-temperature failure mechanism and defect sensitivity of TC17 titanium alloy in high cycle fatigue. J. Mater. Sci. Technol. 2022, 122, 128–140. [Google Scholar] [CrossRef]
- Kevinsanny; Okazaki, S.; Takakuwa, O.; Ogawa, Y.; Okita, K.; Funakoshi, Y.; Yamabe, J.; Matsuoka, S.; Matsunaga, H. Effect of defects on the fatigue limit of Ni-based superalloy 718 with different grain sizes. Fatigue Fract. Eng. Mater. Struct. 2019, 42, 1203–1213. [Google Scholar] [CrossRef]
- Silver, D.; Huang, A.; Maddison, C.J.; Guez, A.; Sifre, L.; van den Driessche, G.; Schrittwieser, J.; Antonoglou, I.; Panneershelvam, V.; Lanctot, M.; et al. Mastering the game of Go with deep neural networks and tree search. Nature 2016, 529, 484–489. [Google Scholar] [CrossRef]
- Silver, D.; Schrittwieser, J.; Simonyan, K.; Antonoglou, I.; Huang, A.; Guez, A.; Hubert, T.; Baker, L.; Lai, M.; Bolton, A.; et al. Mastering the game of go without human knowledge. Nature 2017, 550, 354–359. [Google Scholar] [CrossRef]
- Guo, X.; Singh, S.; Lee, H.; Lewis, R.L.; Wang, X. Deep learning for real-time Atari game play using offline Monte-Carlo tree search planning. Adv. Neural Inf. Process. Syst. 2014, 27. [Google Scholar]
- Warmuth, M.K.; Liao, J.; Rätsch, G.; Mathieson, M.; Putta, A.S.; Lemmen, C. Active learning with support vector machines in the drug discovery process. J. Am. Chem. Soc. 2003, 43, 667–674. [Google Scholar]
- Wainberg, M.; Merico, D.; Delong, A.; Frey, B.J. Deep learning in biomedicine. Nat. Biotechnol. 2018, 36, 829–838. [Google Scholar] [CrossRef] [PubMed]
- Lima, A.N.; Philot, E.A.; Trossini, G.H.G.; Scott, L.P.B.; Maltarollo, V.G.; Honorio, K.M. Use of machine learning approaches for novel drug discovery. Expert Opin. Drug Discov. 2016, 11, 225–239. [Google Scholar] [CrossRef]
- Usman, S.M.; Usman, M.; Fong, S. Epileptic seizures prediction using machine learning methods. Comput. Math. Methods Med. 2017, 2017. [Google Scholar] [CrossRef]
- De Bruijne, M. Machine learning approaches in medical image analysis: From detection to diagnosis. Med. Image Anal. 2016, 33, 94–97. [Google Scholar] [CrossRef]
- Kourou, K.; Exarchos, T.P.; Exarchos, K.P.; Karamouzis, M.V.; Fotiadis, D.I. Machine learning applications in cancer prognosis and prediction. Comput. Struct. Biotechnol. J. 2015, 13, 8–17. [Google Scholar] [CrossRef]
- Iacoviello, F.; Iacoviello, D.; Cavallini, M. Analysis of stress ratio effects on fatigue propagation in a sintered duplex steel by experimentation and artificial neural network approaches. Int. J. Fatigue 2004, 26, 819–828. [Google Scholar] [CrossRef]
- Durodola, J.; Ramachandra, S.; Gerguri, S.; Fellows, N. Artificial neural network for random fatigue loading analysis including the effect of mean stress. Int. J. Fatigue 2018, 111, 321–332. [Google Scholar] [CrossRef]
- Yan, F.; Song, K.; Liu, Y.; Chen, S.; Chen, J. Predictions and mechanism analyses of the fatigue strength of steel based on machine learning. J. Mater. Sci. 2020, 55, 15334–15349. [Google Scholar] [CrossRef]
- Wen, J.; Zou, Q.; Zhang, Z.; Shi, J.; Wei, Y. The scaling of charging rate and cycle number of commercial batteries. Acta Mech. Sin. 2022, 38, 1–10. [Google Scholar] [CrossRef]
- Chen, X.; Yuan, Z.; Li, Q.; Sun, S.; Wei, Y. A computational method for the load spectra of large-scale structures using a data-driven learning algorithm. Sci. China Technol. Sci. [CrossRef]
- Zhou, K.; Sun, X.; Shi, S.; Song, K.; Chen, X. Machine learning-based genetic feature identification and fatigue life prediction. Fatigue Fract. Eng. Mater. Struct. 2021, 44, 2524–2537. [Google Scholar] [CrossRef]
- Xu, W.; Chen, X.; Zhong, B.; Yu, H.; He, Y.; Tao, C. High cycle fatigue characterization of a nickel-based superalloy based on a novel temperature-dependent regression method. Int. J. Fatigue 2021, 142, 105960. [Google Scholar] [CrossRef]
- Friedman, J.H. Greedy function approximation: A gradient boosting machine. Ann. Stat. 2001, 1189–1232. [Google Scholar] [CrossRef]
- Hochreiter, S.; Schmidhuber, J. Long short-term memory. Neural Comput. 1997, 9, 1735–1780. [Google Scholar] [CrossRef]
- Ren, B. The use of machine translation algorithm based on residual and LSTM neural network in translation teaching. PLoS ONE 2020, 15, e0240663. [Google Scholar] [CrossRef]
- Dedes, K.; Utama, A.B.P.; Wibawa, A.P.; Afandi, A.N.; Handayani, A.N.; Hernandez, L. Neural Machine Translation of Spanish-English Food Recipes Using LSTM. JOIV Int. J. Inform. Vis. 2022, 6, 290–297. [Google Scholar] [CrossRef]
- Huang, X.; Tan, H.; Lin, G.; Tian, Y. A LSTM-based bidirectional translation model for optimizing rare words and terminologies. In Proceedings of the 2018 International Conference on Artificial Intelligence and Big Data (ICAIBD), Chengdu, China, 26–28 May 2018; pp. 185–189. [Google Scholar]
- Yang, Y. Application of LSTM Neural Network Technology Embedded in English Intelligent Translation. Comput. Intell. Neurosci. 2022, 2022, 1085577. [Google Scholar] [CrossRef]
- Li, J.; Mohamed, A.; Zweig, G.; Gong, Y. LSTM time and frequency recurrence for automatic speech recognition. In Proceedings of the 2015 IEEE Workshop on Automatic Speech Recognition and Understanding (ASRU), Scottsdale, AZ, USA, 13–17 December 2015; pp. 187–191. [Google Scholar]
- El Maghraby, E.E.; Gody, A.M.; Farouk, M.H. Audio-Visual Speech Recognition Using LSTM and CNN. Recent Adv. Comput. Sci. Commun. 2021, 14, 2023–2039. [Google Scholar] [CrossRef]
- Understanding LSTM Networks. Available online: http://colah.github.io/posts/2015-08-Understanding-LSTMs/ (accessed on 19 December 2022).
- Wright, S. Correlation and Causation; USDA: Washington, DC, USA, 1921.
Disclaimer/Publisher’s Note: The statements, opinions and data contained in all publications are solely those of the individual author(s) and contributor(s) and not of MDPI and/or the editor(s). MDPI and/or the editor(s) disclaim responsibility for any injury to people or property resulting from any ideas, methods, instructions or products referred to in the content. |
© 2022 by the authors. Licensee MDPI, Basel, Switzerland. This article is an open access article distributed under the terms and conditions of the Creative Commons Attribution (CC BY) license (https://creativecommons.org/licenses/by/4.0/).









