Experimental Evaluation of Industrial Mushroom Waste Substrate Using Hybrid Mechanism of Vermicomposting and Effective Microorganisms
Abstract
1. Introduction
2. Materials and Methods
2.1. Mushroom Waste Substrates Collection
2.2. Activation of Effective Microorganisms (EM)
2.3. Earthworms Culture
2.4. Experimental Set Up
2.4.1. Effective Microorganism Design
2.4.2. Vermibed Design
2.5. Physico-Chemical Analysis
2.6. Statistical Analysis
3. Results and Discussion
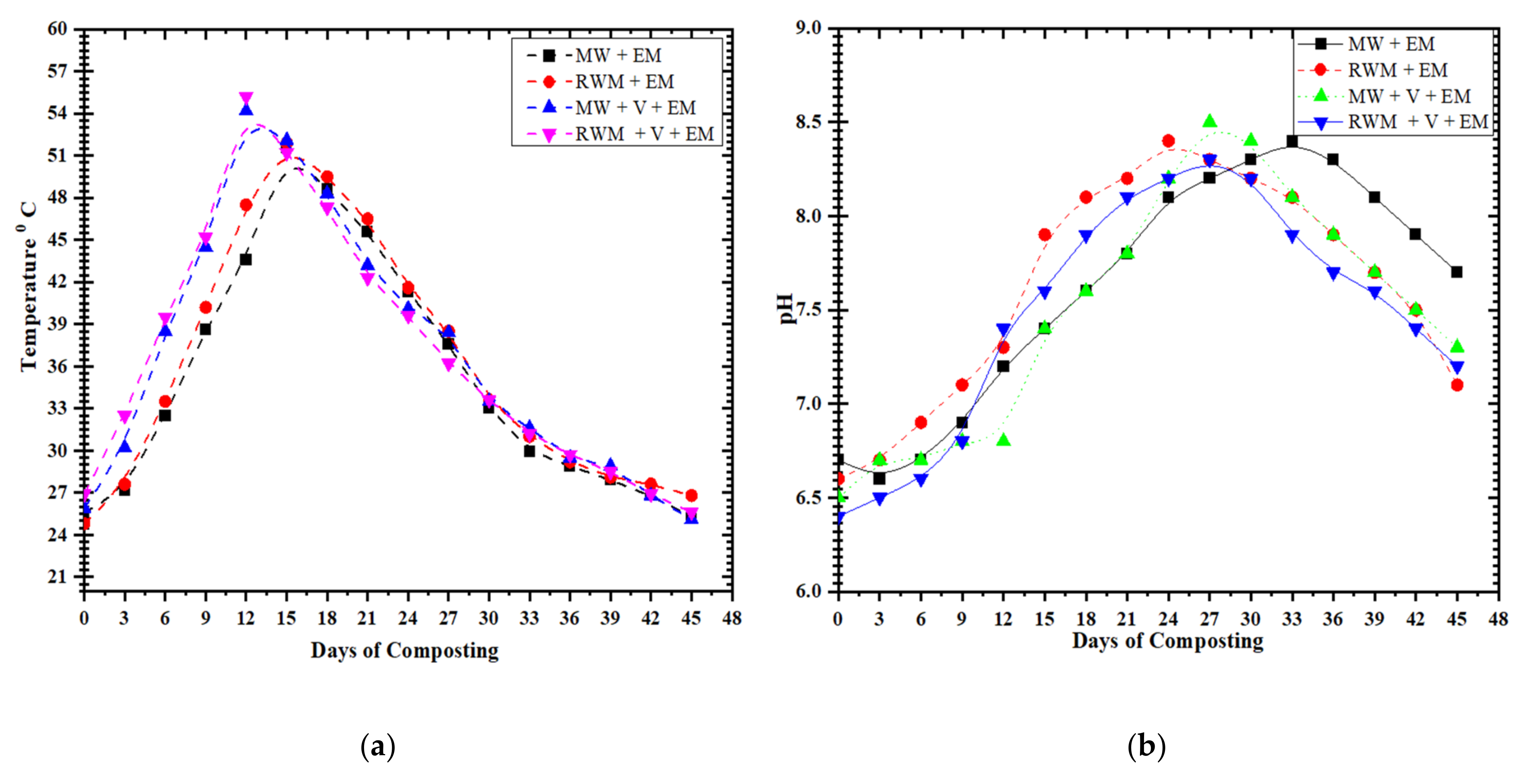
3.1. Temperature
3.2. pH and Odour
3.3. C:N Ratio
3.4. Heavy Metals
3.5. Evaluation of NPK
3.6. FTIR
3.7. X-ray Diffraction Analysis
3.8. Duration and C:N Ratio: Comparison with Other Studies
4. Conclusions
Author Contributions
Funding
Institutional Review Board Statement
Informed Consent Statement
Data Availability Statement
Acknowledgments
Conflicts of Interest
References
- Na, N.N.I.; Adi, A.J.; Noor, Z.M. Potential of spent mushroom substrate in vermicomposting. Vermitechnol. I. Dyn. Soil Dyn. Plant 2009, 3, 87–90. [Google Scholar]
- Sadler, M. Nutritional properties of edible fungi. Nutr. Bull. 2003, 28, 305–308. [Google Scholar] [CrossRef]
- Allen, D.T.; Palen, E.J.; Haimov, M.I.; Hering, S.V.; Young, J.R. Fourier Transform Infrared Spectroscopy of Aerosol Col-lected in a Low-Pressure Impactor (LPI/FTIR): Method Development and Field Calibration. Aerosol Sci. Technol. 1994, 21, 325–342. [Google Scholar] [CrossRef]
- Van Fan, Y.; Lee, C.T.; Klemeš, J.J.; Chua, L.S.; Sarmidi, M.R.; Leow, C.W. Evaluation of Effective Microorganisms on home scale organic waste composting. J. Environ. Manag. 2018, 216, 41–48. [Google Scholar] [CrossRef]
- Sangwan, P.S.; Swami, S.; Singh, J.P.; Kuhad, M.S.; Dhaiya, S.S. The effect of spent mushroom compost and inorganic fertilizer on yield and nutrient uptake by wheat. J. Indian Soc. Soil Sci. 2002, 50, 186–189. [Google Scholar]
- Jusoh, M.L.C.; Manaf, L.A.; Latiff, P.A. Composting of rice straw with effective microorganisms (EM) and its influence on compost quality. Iran. J. Environ. Health Sci. Eng. 2013, 10, 17. [Google Scholar] [CrossRef]
- Suthar, S. Vermicomposting of vegetable-market solid waste using Eisenia fetida: Impact of bulking material on earthworm growth and decomposition rate. Ecol. Eng. 2009, 35, 914–920. [Google Scholar] [CrossRef]
- Karnchanawong, S.; Nissaikla, S. Effects of microbial inoculation on composting of household organic waste using passive aeration bin. Int. J. Recycl. Org. Waste Agric. 2014, 3, 113–119. [Google Scholar] [CrossRef]
- Deepashree, C.; Lingegowda, J.; Kumar, A.G.; Shubha, D.P.M. FTIR Spectroscopic Studies on Cleome Gynandra Comparative Analysis of Functional Group Before and After Extraction. Rom. J. Biophys. 2012, 22, 137–143. [Google Scholar]
- Mehmet, C.; Ergun, B.; Hakan, S.; Hilmi, T.; Ferah, Y.; Colak, M.; Baysal, E.; Simsek, H.; Toker, H.; Yilmaz, F. Cultivation of Agaricus bisporus on wheat straw and waste tea leaves based composts and locally available casing materials Part III: Dry matter, protein, and carbohydrate contents of Agaricus bisporus. Afr. J. Biotechnol. 2007, 6, 2855–2859. [Google Scholar] [CrossRef][Green Version]
- Tajbakhsh, J.; Abdoli, M.A.; Mohammadi Goltapeh, E.; Alahdadi, I.; Malakouti, M.J. Trend of physico-chemical properties change in recycling spent mushroom compost through vermicomposting by epigeic earthworms Eisenia foetida and E. andrei. J. Agric. Technol. 2008, 4, 185–198. [Google Scholar]
- Guo, F.L.; Yang, W.J.; Wan, Z. Yield and size of oyster mushroom grown on rice/wheat straw basal substrate supplemented with cottonseed hull. Saudi J. Biol. Sci. 2013, 20, 333–341. [Google Scholar]
- Cortina-Escribano, M.; Pihlava, J.M.; Miina, J.; Veteli, P.; Linnakoski, R.; Vanhanen, H. Effect of Strain, Wood Substrate and Cold Treatment on the Yield and β-Glucan Content of Ganoderma lucidum Fruiting Bodies. Molecules 2020, 25, 4732. [Google Scholar] [CrossRef] [PubMed]
- Sharma, A.; Ganguly, R.; Gupta, A.K. Spectral characterization and quality assessment of organic compost for agricultural purposes. Int. J. Recycl. Org. Waste Agric. 2018, 8, 197–213. [Google Scholar] [CrossRef]
- Lee, C.T. Physico-chemical and biological changes during co-composting of model kitchen waste, rice bran and dried leaves with different microbial inoculants. Malays. J. Anal. Sci. 2016, 20, 1447–1457. [Google Scholar] [CrossRef]
- Belewu, M.A.; Belewu, K.Y. Evaluation of feeding graded levels aspergillus treated rice husk on milk yield and composition of goat. Bull. Pure Appl. Sci. 2005, 24, 29–35. [Google Scholar]
- Berthomieu, C.; Hienerwadel, R. Fourier transform infrared (FTIR) spectroscopy. Photosynth. Res. 2009, 101, 157–170. [Google Scholar] [CrossRef]
- Chang, Y.; Hudson, H.J. The fungi of wheat straw compost. Trans. Br. Mycol. Soc. 1967, 50, 649–666. [Google Scholar] [CrossRef]
- Olle, M.; Williams, I.H. Effective microorganisms and their influence on vegetable production—A review. J. Hortic. Sci. Biotechnol. 2013, 88, 380–386. [Google Scholar] [CrossRef]
- Coury, C.; Dillner, A.M. A method to quantify organic functional groups and inorganic compounds in ambient aerosols using attenuated total reflectance FTIR spectroscopy and multivariate chemometric techniques. Atmos. Environ. 2008, 42, 5923–5932. [Google Scholar] [CrossRef]
- Rinker, D.L. Spent Mushroom Substrate Uses. Medicinal Mushrooms: Technology and Applications; John Wiley & Sons: Hoboken, NJ, USA, 2017; pp. 427–454. [Google Scholar]
- Monshi, A.; Foroughi, M.R.; Monshi, M.R. Modified Scherrer Equation to Estimate More Accurately Nano-Crystallite Size Using XRD. World J. Nano Sci. Eng. 2012, 2, 154–160. [Google Scholar] [CrossRef]
- Fogarty, A.; Tuovinen, O. Microbiological Degradation of Pesticides in Yard Waste Composting. Microbiol. Rev. 1991, 55, 225–233. [Google Scholar] [CrossRef] [PubMed]
- Manohara, B.; Belagali, S.L.; Ragothama, S. studied decomposition pattern during aerobic composting of municipal solid waste by physicochemical and spectroscopic method. Int. J. Chem. Tech. Res. 2017, 10, 27–34. [Google Scholar]
- Venkatesan, S.; Pugazhendy, K.; Sangeetha, D.; Vasantharaja, C.; Prabakaran, M. Fourier Transform Infrared (FT-IR) Spec-troscopic Analysis of Spirulina. Int. J. Pharm. Biol. Arch. 2012, 3, 969–972. [Google Scholar]
- Benito, M.; Masaguer, A.; Moliner, A.; Arrigo, N.; Palma, R.M. Chemical and microbiological parameters for the character-isation of the stability and maturity of pruning waste compost. Biol. Fertil. Soils 2003, 37, 184–189. [Google Scholar] [CrossRef]
- Hitman, A.; Bos, K.; Bosch, M.; Arjan, K. Fermentation versus Composting. Feed Innovation Services: Wageningen, The Netherlands; p. 2013.
- Jiménez, E.I.; Garcia, V.P. Evaluation of city refuse compost maturity: A review. Biol. Wastes 1989, 27, 115–142. [Google Scholar] [CrossRef]
- Bidlingaier, W.; Grauenhorst, V.; Schlosser, M. Chapter 11 Odor emissions from composting plants. Waste Manag. Ser. 2017, 8, 215. [Google Scholar]
- Jamaludin, A.A.; Mahmood, N.Z.; Abdullah, N. Waste recycling: Feasibility of saw dust based spent mushroom substrate and goat manure in vermicomposting. Sains Malays. 2012, 41, 1445–1450. [Google Scholar]
- Haug, R.T. Compost Engineering Principles and Practice; Technomic Publishing: Lancaster, PA, USA, 1980; Volume 655. [Google Scholar]
- Biyada, S.; Merzouki, M.; Elkarrach, K.; Benlemlih, M. Spectroscopic characterization of organic matter transformation during composting of textile solid waste using UV–Visible spectroscopy, Infrared spectroscopy and X-ray diffraction (XRD). Microchem. J. 2020, 159, 105314. [Google Scholar] [CrossRef]
- Martín-Olmedo, P.; Rees, R.M. Short-term N availability in response to dissolved-organic-carbon from poultry manure, alone or in combination with cellulose. Biol. Fertil. Soils 1999, 29, 386–393. [Google Scholar] [CrossRef]
- Kumar, M.; Ou, Y.-L.; Lin, J.-G. Co-composting of green waste and food waste at low C/N ratio. Waste Manag. 2010, 30, 602–609. [Google Scholar] [CrossRef] [PubMed]
- Purnawanto, A.M.; Ahadiyat, Y.R.; Iqbal, A. Tamad the Utilization of Mushroom Waste Substrate in Producing Vermicompost: The Decomposer Capacity of Lumbricus rubellus, Eisenia fetida and Eudrilus eugeniae. Acta Technol. Agric. 2020, 23, 99–104. [Google Scholar] [CrossRef]
- Roosmalen, G.R.V.; Langerijt, J.C.V.D. Green was composting in the Netherlands. Biocycle 1989, 30, 32–35. [Google Scholar]
- Song, X.; Liu, M.; Wu, D.; Qi, L.; Ye, C.; Jiao, J.; Hu, F. Heavy metal and nutrient changes during vermicomposting animal manure spiked with mushroom residues. Waste Manag. 2014, 34, 1977–1983. [Google Scholar] [CrossRef] [PubMed]
- Bakari, S.S.; Moh’d, L.M.; Maalim, M.K.; Aboubakari, Z.M.; Salim, L.A.; Ali, H.R. Characterization of Household Solid Waste Compost Inoculated with Effective Microorganisms; Modern Environmental Science and Engineering; Academic Star Publishing: New York, NY, USA, 2016; ISSN 2333-2581. [Google Scholar] [CrossRef]
- Mahari, W.A.W.; Peng, W.; Nam, W.L.; Yang, H.; Lee, X.Y.; Lee, Y.K.; Liew, R.K.; Ma, N.L.; Mohammad, A.; Sonne, C.; et al. A review on valorization of oyster mushroom and waste generated in the mushroom cultivation industry. J. Hazard. Mater. 2020, 400, 123156. [Google Scholar] [CrossRef]
- Afzal, A.; AD, M.S.; Javad, A. Heat transfer analysis of plain and dimpled tubes with different spacings. Heat Transf.—Asian Res. 2017, 47, 556–568. [Google Scholar] [CrossRef]
- Soudagar, M.E.M.; Afzal, A.; Safaei, M.R.; Manokar, A.M.; El-Seesy, A.I.; Mujtaba, M.A.; Samuel, O.D.; Badruddin, I.A.; Ahmed, W.; Shahapurkar, K.; et al. Investigation on the effect of cottonseed oil blended with different percentages of octanol and suspended MWCNT nanoparticles on diesel engine characteristics. J. Therm. Anal. 2020, 147, 525–542. [Google Scholar] [CrossRef]
- Soudagar, M.E.M.; Afzal, A.; Kareemullah, M. Waste coconut oil methyl ester with and without additives as an alternative fuel in diesel engine at two different injection pressures. Energy Sources Part A Recover. Util. Environ. Eff. 2020, 1–19. [Google Scholar] [CrossRef]
- Labeckas, G.; Slavinskas, S.; Mažeika, M. The effect of ethanol–diesel–biodiesel blends on combustion, performance and emissions of a direct injection diesel engine. Energy Convers. Manag. 2014, 79, 698–720. [Google Scholar] [CrossRef]
- Afzal, A.; Aabid, A.; Khan, A.; Khan, S.A.; Rajak, U.; Verma, T.N.; Kumar, R. Response surface analysis, clustering, and random forest regression of pressure in suddenly expanded high-speed aerodynamic flows. Aerosp. Sci. Technol. 2020, 107, 106318. [Google Scholar] [CrossRef]
- Afzal, A.; Saleel, C.A.; Badruddin, I.A.; Khan, T.Y.; Kamangar, S.; Mallick, Z.; Samuel, O.D.; Soudagar, M.E. Human thermal comfort in passenger vehicles using an organic phase change material– an experimental investigation, neural network modelling, and optimization. Build. Environ. 2020, 180, 107012. [Google Scholar] [CrossRef]
- Aneeque, M.; Alshahrani, S.; Kareemullah, M.; Afzal, A.; Saleel, C.; Soudagar, M.; Hossain, N.; Subbiah, R.; Ahmed, M. The Combined Effect of Alcohols and Calophyllum inophyllum Biodiesel Using Response Surface Methodology Optimization. Sustainability 2021, 13, 7345. [Google Scholar] [CrossRef]
- Afzal, A.; Mokashi, I.; Khan, S.A.; Abdullah, N.A.; Bin Azami, M.H. Optimization and analysis of maximum temperature in a battery pack affected by low to high Prandtl number coolants using response surface methodology and particle swarm optimization algorithm. Numer. Heat Transf. Part A Appl. 2020, 79, 406–435. [Google Scholar] [CrossRef]
- Chaluvaraju, B.V.; Afzal, A.; Vinnik, D.A.; Kaladgi, A.R.; Alamri, S.; Tirth, V. Mechanical and Corrosion Studies of Friction Stir Welded Nano Al2O3 Reinforced Al-Mg Matrix Composites: RSM-ANN Modelling Approach. Symmetry 2021, 13, 537. [Google Scholar] [CrossRef]
- Nagaraja, S.; Kodandappa, R.; Ansari, K.; Kuruniyan, M.S.; Afzal, A.; Kaladgi, A.R.; Aslfattahi, N.; Saleel, C.A.; Gowda, A.C.; Anand, P.B. Influence of Heat Treatment and Reinforcements on Tensile Characteristics of Aluminium AA 5083/Silicon Carbide/Fly Ash Composites. Materials 2021, 14, 5261. [Google Scholar] [CrossRef] [PubMed]
- Chairman, C.A.; Ravichandran, M.; Mohanavel, V.; Sathish, T.; Rashedi, A.; Alarifi, I.M.; Badruddin, I.A.; Anqi, A.E.; Afzal, A. Mechanical and Abrasive Wear Performance of Titanium Di-Oxide Filled Woven Glass Fibre Reinforced Polymer Composites by Using Taguchi and EDAS Approach. Materials 2021, 14, 5257. [Google Scholar] [CrossRef]
- Akhtar, M.; Khan, M.; Khan, S.; Afzal, A.; Subbiah, R.; Ahmad, S.; Husain, M.; Butt, M.; Othman, A.; Bakar, E. Determination of Non-Recrystallization Temperature for Niobium Microalloyed Steel. Materials 2021, 14, 2639. [Google Scholar] [CrossRef]
- Sharath, B.; Venkatesh, C.; Afzal, A.; Aslfattahi, N.; Aabid, A.; Baig, M.; Saleh, B. Multi Ceramic Particles Inclusion in the Aluminium Matrix and Wear Characterization through Experimental and Response Surface-Artificial Neural Networks. Materials 2021, 14, 2895. [Google Scholar] [CrossRef]
- Sathish, T.; Mohanavel, V.; Arunkumar, T.; Raja, T.; Rashedi, A.; Alarifi, I.M.; Badruddin, I.A.; Algahtani, A.; Afzal, A. Investigation of Mechanical Properties and Salt Spray Corrosion Test Parameters Optimization for AA8079 with Reinforcement of TiN + ZrO2. Materials 2021, 14, 5260. [Google Scholar] [CrossRef]
- Nagaraja, S.; Nagegowda, K.U.; Kumar, V.A.; Alamri, S.; Afzal, A.; Thakur, D.; Kaladgi, A.R.; Panchal, S.; Saleel, C.A. Influence of the Fly Ash Material Inoculants on the Tensile and Impact Characteristics of the Aluminum AA 5083/7.5SiC Composites. Materials 2021, 14, 2452. [Google Scholar] [CrossRef]
- Rethnam, G.S.; Manivel, S.; Sharma, V.K.; Srinivas, C.; Afzal, A.; Razak RK, A.; Alamri, S.; Saleel, C.A. Parameter Study on Friction Surfacing of AISI316Ti Stainless Steel over EN8 Carbon Steel and Its Effect on Coating Dimensions and Bond Strength. Materials 2021, 14, 4967. [Google Scholar] [CrossRef] [PubMed]
- Jeevan, T.P.; Jayaram, S.R.; Afzal, A.; Ashrith, H.S.; Soudagar, M.E.M.; Mujtaba, M.A. Machinability of AA6061 aluminum alloy and AISI 304L stainless steel using nonedible vegetable oils applied as minimum quantity lubrication. J. Braz. Soc. Mech. Sci. Eng. 2021, 43, 1–18. [Google Scholar] [CrossRef]
- Sathish, T.; Mohanavel, V.; Ansari, K.; Saravanan, R.; Karthick, A.; Afzal, A.; Alamri, S.; Saleel, C. Synthesis and Characterization of Mechanical Properties and Wire Cut EDM Process Parameters Analysis in AZ61 Magnesium Alloy + B4C + SiC. Materials 2021, 14, 3689. [Google Scholar] [CrossRef] [PubMed]












| Strains | Residues | References |
|---|---|---|
| Agaricus bisporus | wheat straw residues and rice straw and hulls. | [15,16] |
| Pleurotus sp. | soybean straw, coffee pulp, corn fibre, cottonseed hulls, groundnut shells, and maize straw. | [17] |
| Volvallella | paddy straw; coconut fibre, coir, and husks; cotton waste; and barley straw. | [18,19] |
| Ganoderma | sawdust, jowar leaves, sugar cane bagasse, and cottonseed hulls. | [20] |
| Parameter | Mushroom Waste (MW) | Raw Mushroom Waste (RMW) | Cow Manure |
|---|---|---|---|
| pH | 7.3 | 7.9 | 9.3 |
| TOC% | 40.02 | 38.23 | 34.60 |
| C:N ratio | 39.80 | 38.05 | 45.62 |
| MC% | 55.80 | 54.90 | 58.6 |
| N% | 0.71 | 0.64 | 2.88 |
| P% | 0.19 | 0.22 | 0.32 |
| K% | 1.35 | 1.18 | 1.91 |
| Samples | Average β = FWHM (in Radian) | Average 2θ (in Radian) | Average Crystallinity Size (nm) |
|---|---|---|---|
| MW+EM | 0.4269 | 30.38 | 93.13 |
| RWM+EM | 0.4861 | 28.71 | 86.52 |
| MW+V+EM | 0.5194 | 25.51 | 72.43 |
| RWM+V+EM | 0.5376 | 24.16 | 69.82 |
| Treatment of Mushroom Waste | Earthworm Species | Manure | Duration (Time) | C: N Ratio | References |
|---|---|---|---|---|---|
| Vermicomposting | Lumbricus rubellus | Cow Dung | 10 Weeks | 8.9 * | [1] |
| Vermicomposting | Eisenia-fetida | Cow Dung | 12 Weeks | 6.67 * | [11] |
| Vermicomposting | Lumbricus rubellus | Goat Manure | 20 Weeks | 6.39 * | [30] |
| Vermicomposting | Eisenia-fetida | Cow Dung | 75 Days | 11.97 | [35] |
| Vermicomposting | Eisenia-fetida | Pig Dung | Four Month | 10.43 * | [37] |
| Effective Microorganism + Vermicomposting | Eisenia-fetida | Cow Dung | 6 Weeks | 10.2 * | [PS] |
Publisher’s Note: MDPI stays neutral with regard to jurisdictional claims in published maps and institutional affiliations. |
© 2022 by the authors. Licensee MDPI, Basel, Switzerland. This article is an open access article distributed under the terms and conditions of the Creative Commons Attribution (CC BY) license (https://creativecommons.org/licenses/by/4.0/).
Share and Cite
Ansari, K.; Khandeshwar, S.; Waghmare, C.; Mehboob, H.; Gupta, T.; Shrikhande, A.N.; Abbas, M. Experimental Evaluation of Industrial Mushroom Waste Substrate Using Hybrid Mechanism of Vermicomposting and Effective Microorganisms. Materials 2022, 15, 2963. https://doi.org/10.3390/ma15092963
Ansari K, Khandeshwar S, Waghmare C, Mehboob H, Gupta T, Shrikhande AN, Abbas M. Experimental Evaluation of Industrial Mushroom Waste Substrate Using Hybrid Mechanism of Vermicomposting and Effective Microorganisms. Materials. 2022; 15(9):2963. https://doi.org/10.3390/ma15092963
Chicago/Turabian StyleAnsari, Khalid, Shantanu Khandeshwar, Charuta Waghmare, Hassan Mehboob, Tripti Gupta, Avinash N. Shrikhande, and Mohamed Abbas. 2022. "Experimental Evaluation of Industrial Mushroom Waste Substrate Using Hybrid Mechanism of Vermicomposting and Effective Microorganisms" Materials 15, no. 9: 2963. https://doi.org/10.3390/ma15092963
APA StyleAnsari, K., Khandeshwar, S., Waghmare, C., Mehboob, H., Gupta, T., Shrikhande, A. N., & Abbas, M. (2022). Experimental Evaluation of Industrial Mushroom Waste Substrate Using Hybrid Mechanism of Vermicomposting and Effective Microorganisms. Materials, 15(9), 2963. https://doi.org/10.3390/ma15092963

