Abstract
In this work, Gd2O3 bulks were sintered at temperatures ranging from 1400 °C to 1600 °C for times from 6 h to 24 h, and their microstructure and properties were studied for a wider application of materials in thermal barrier coatings. The densification of the Gd2O3 bulk reached 96.16% when it was sintered at 1600 °C for 24 h. The elastic modulus, hardness, fracture toughness and thermal conductivity of the bulks all increased with the rise in sintering temperature and extension of sintering time, while the coefficient of thermal expansion decreased. When the Gd2O3 bulk was sintered at 1600 °C for 24 h, it had the greatest elastic modulus, hardness, fracture toughness and thermal conductivity of 201.15 GPa, 9.13 GPa, 15.03 MPa·m0.5 and 2.75 W/(m·k) (at 1100 °C), respectively, as well as the smallest thermal expansion coefficients of 6.69 × 10−6/°C (at 1100 °C).
1. Introduction
Thermal barrier coatings (TBCs) have been commonly applied to hot-end components in progressive gas turbines and aero engines to enhance engine dependability, durability as well as efficiency [1,2,3]. TBCs can effectively isolate the touch of the high-temperature working agent with the metal substrate, thus reducing the components’ surface temperature and weakening the heat transfer efficiency, which ultimately plays a role in protecting the metal substrate [4,5,6]. The top ceramic layer is essential in the thermal insulation of the thermal barrier coating, which is required to possess a high melting point, low heat exchange rate, stable crystal structure as well as good anti-sintering abilities. ZrO2 is a commonly used material in TBCs for its high melting point (2680 °C), good anti-oxidation activity, stable chemical activity, high shock resistance and a coefficient of thermal expansion (CTE) close to metals (8~10.4 × 10−6/°C). However, when it is used at high temperature, the phase structure will change, resulting in a change in volume, and the stress in the coating increases, which will cause the initiation of cracking, leading to the failure of the ceramic layer [7,8,9,10,11,12,13].
In Liu’s work, it was proposed that by adjusting the composition, thermal barrier coatings can be prepared with lower thermal conductivity and better high temperature performances than the commonly used ceramics materials [14]. The structure of zirconia TBCs can be modified by rare-earth oxide co-doped with trivalent or pentavalent compounds [15]. In lots of stabilizers of ZrO2, Y2O3 is seen as the most suitable stabilizer when its doping amount lies from 6 to 12 wt%. Specially, 8 mol-YSZ has a single stabilized cubic structure with a thermal conductivity of 2.3 and 1.85 W/(m·k) at room temperature and 1000 °C, respectively [16]. Conversely, once the serving temperature is higher than 1200 °C, ZrO2 will be sintered quickly accompanied with phase changes. Rare-earth oxides become stable once they are oxidized because rare earth elements have a strong oxygen affinity [17,18]. The melting point of Gd2O3 is 2350 °C. Meanwhile, it possesses stable chemical activity, good anti-oxidation activity and good shock resistance, which makes it suited to serving in extreme environments [19,20,21,22]. The structure of TBCs can be modified and become stable via interaction with oxide co-doped yttrium oxide-stabilized zirconia ceramic materials. Moreover, Gd possesses a powerful ability of adsorbing rest elements, good chemical stability, and can be dissolved in ZrO2 cell [23,24,25]. Gao et al. [26] prepared quaternary GYYZO bulks with Gd2O3 and Yb2O3 added into 8YSZ. It was found that the addition of Gd2O3 reduced the thermal conductivity while improving the mechanical properties of the TBCs, with better comprehensive performance. Bobzin K et al. [27] prepared Yb2O3-Gd2O3 co-doped YSZ high-porosity TBCs by atmospheric plasma spraying (APS), and thermally cycled the product at 1150 °C to study the sintering effects on the coatings’ microstructure and properties. The Yb2O3-Gd2O3 co-doped YSZ coating has a relatively low thermal conductivity of 1.1 W/(m·K) (at 1100 °C). Zhang et al. [28] prepared Yb2O3 and Gd2O3 co-doped SrZrO3 system with good properties through a traditional solid-state reaction. The SZYG/YGZO composite ceramics with Yb0.5Zr0.5O1.75 and SZO phases possessed a thermal conductivity of 1.3 W/(m·K) (at 1000 °C), which was 40% less than the SZO ceramics’ at least. The CTE of the SZYG/YGZO composite ceramics reached 10.9 × 10−6K−1 (1250 °C). Meanwhile, the SZYG/YGZO composite ceramics’ fracture toughness was 30% higher than that of the SZO ceramic. Zheng et al. [29] deposited TBCs with Sm-doped Gd2Zr2O7 through EB-PVD (electron beam physical vapor deposition: EB-PVD). The coating exhibited high CTE and long thermal shock lifetimes at 1100 °C. The TGO’s thickness was about 15 μm after thermal shock tests. Therefore, the addition of Gd elements could evidently improve the performance of ZrO2 TBCs.
However, how does the added Gd2O3 enhance the material properties used in TBCs? This requires the properties of the pure Gd2O3, while there are few reports on the properties of Gd2O3 [19,20,21,22,23,25,26,27,28,29]. By consulting the relevant literature [19,21,22,29], it can be found that there are no detailed values for the thermal physical properties, including the thermal conductivity and thermal expansion coefficient, as well as mechanical properties, including elastic modulus, hardness and fracture toughness of the pure Gd2O3. Therefore, in this work, Gd2O3 bulks were made with which to study the microstructure, mechanical properties and thermal physical properties, which made the foundations for the wider application of materials in TBCs.
2. Experimental Materials and Procedures
2.1. Preparation of Gd2O3 Bulks
For the convenience of preparing the bulk, Gd2O3 powders were milled by ball milling with the type of NDL-04, which was made in Xianyang zunkai Co., Ltd., Xianyang, China. The ball milling rotation rate was controlled at 120 revolutions per minute. Table 1 showed the ball milling technology. During the milling of powders, the ball-to-powder ratio in weight was set as 10:1. Both the ball and jar consisted of agate in order to avoid contamination. The main component of agate was silicon dioxide with a Vickers hardness of 1213 ± 75. The powders were milled for 20 h. Sodium stearate was used as a wetting agent in one-percent solution during milling. The initial mean particle size of the Gd2O3 powder was about 100 µm. The ball-milled Gd2O3 powder’s mean size was 20 µm. The powders’ morphology and cross-sectional microstructure were shown in Figure 1. The powder had a globular shape. Then, the powders were cold-pressed into a green body in a size of φ13 mm × 3 mm by an isostatic press with the type of TYP-60T, which was made in Taiyuan Xinzuo Co., Ltd., Taiyuan, China. The compacting pressure was kept at 200 MPa for 5 min. The detailed cold compaction parameters were given out in Table 2. Then, the preforms were sintered at 1400 °C, 1500 °C, 1600 °C for 6 h to 24 h in an air ambient muffle furnace, respectively. The sintering temperature was increased from room temperature to 600 °C at a heating rate of 10 °C/min. Then, the samples were heated from 600 °C to 1400 °C, 1500 °C and 1600 °C at a heating rate of 3 °C/min, respectively. The cooling method chosen was furnace cooling after heating.
Table 1.
Ball-milling parameters of the powders.
Figure 1.
Globular morphology of Gd2O3 powders (a); Cross-sectional microstructure of Gd2O3 powders (b).
Table 2.
Parameters of isostatic press and sintering.
2.2. Microstructures and Phases
The original powders’ morphology and the sintered bulks’ microstructure were characterized through a scanning electron microscopy conducted with the type of VEGA II-XMU, which was made in TESCAN, Brno, Czech Republic. X-ray diffraction was conducted with the D8 Discover, which was made in Bruker AXS GmbH, Germany, and was applied to characterize the powders’ and the bulks’ phases with Kα radiation of cooper. X-ray scanning was carried out with a step of 0.02°. The scanning was applied with 2θ from 20° to 80°. The scanning speed was controlled at 2°/min.
2.3. Properties
The bulk’s density was tested according to the Archimedes drainage method. The bulk’s mass was weighted through a balance with the type of PTY-504, which was made in Funing Huazhu Instrument Co., Ltd., Funing, Jiangsu, China. The balance’s accuracy was 0.0001 g. The density could be calculated through Formula (1):
where ρs indicated the sample’s density, ρ0 indicated the water’s density of 0.998 g/cm3, ρL indicated the air’s density of 1.2 × 10−3 g/cm3, m1 indicated the sample’s mass measured in air, and m2 indicated the sample’s mass measured in water. The mean value of 10 measurements per sample was used for experimental data.
A laser thermal conductivity meter with the type of DLF-1200, which was made in TA, New Castle, DE, USA, was applied to test the thermal conductivity according to specifications of the laser flash heating technique. The thermal conductivity was estimated according to Formula (2):
where λ indicated the thermal conductivity (W·m−1·K−1), D indicated the thermal diffusivity (m2·s−1), Cp indicated the specific heat (J·kg−1·K−1), and ρ indicated the sample’s density at room temperature (kg·m−3).
A thermal expansion meter (SDTA840, TA, New Castle, DE, USA) was applied to test the thermal expansion coefficient. The CTE was estimated through Formula (3):
where α represented the material’s CTE, LT and L0 represented the sample’s length at the temperature of T and T0, and T0 represented room temperature, respectively.
A nanomechanical testing system with the type of Hysitron TI Premier, which was made in Bruker, USA, was applied to measure modulus, hardness and fracture toughness. The used indenter in tests was a prismatic indenter. The force of 10 mN was loaded linearly in 5 s. The load of 10 mN was kept for 3 s. The load of 10 mN was unloaded linearly in 5 s. Radical cracks formed on the surface of the samples when the indentation test was used in a low-load model. All the formed cracks were radial cracks in this work. The crack length could be determined. The fracture toughness can be calculated through Formula (4) [29]:
where P represented the maximum press in load, C represented the crack length, and α represented a correlation coefficient related to the indenter appearances; where 1.6 × 10−2 was adopted, E represented the elastic modulus, and H represented the hardness. The mean values of the hardness, elastic modulus and fracture toughness were adopted on the base of ten measured results.
3. Results
3.1. Microstructure
Figure 2 shows the Gd2O3 bulks’ microstructures as being sintered at 1400 °C, 1500 °C, 1600 °C, for 6 h to 24 h. The sintered Gd2O3 bulks became dense gradually when the sintering time was extended at 1400 °C. In Figure 2a, when the Gd2O3 bulk was sintered at 1400 °C for 6 h, there existed were a lot of pores, while the number of pores in the bulk material decreased significantly when the fritting times reached 12 h and 24 h, as shown in Figure 2b,c. The bulks’ pores dissolved gradually with the fritting and densification of Gd2O3. With the increase in the fritting temperature, the sintered Gd2O3 bulk became dense. In Figure 2d, when the Gd2O3 bulk was sintered at 1500 °C for 6 h, a lot of pores were also existed, while the number of pores in the bulk material decreased significantly when the fritting times reached 12 h and 24 h as shown in Figure 2e,f. As compared with the Gd2O3 sintered at 1400 °C, the number of pores was lower in the one sintered Gd2O3 at 1500 °C. The Gd2O3 bulk sintered at 1600 °C had almost no pores. It reached a state of complete densification. With the sintering time extension at 1600 °C, the pore numbers did not change in the sintered Gd2O3 bulk, as seen in Figure 2g–i, which was different to the densification of the sintered Gd2O3 bulk at 1400 °C and 1500 °C.
Figure 2.
The Gd2O3 bulk’s microstructure, sintered at 1400 °C for 6 h (a), 12 h (b), and 24 h (c); the Gd2O3 bulk’s microstructure, sintered at 1500 °C for 6 h (d), 12 h (e), and 24 h (f); the Gd2O3 bulk’s microstructure, sintered at 1600 °C for 6 h (g), 12 h (h), and 24 h (i).
The bulks’ porosities were processed through the image processing method with ImageJ Software@. Table 3 shows the porosities of the bulks. With the fritting time extension, the bulks’ porosities decreased gradually. There was the lowest porosity in the bulk sintered for 24 h. Meanwhile, the sintered Gd2O3 bulk at 1600 °C had almost no pores, and was reaching a state of complete densification. With the fritting time extension at 1600 °C, the change of the pores was not obvious in the sintered Gd2O3 bulk.
Table 3.
The sintered bulks’ porosities analyzed through image processing.
3.2. Phases
Figure 3 shows the X-ray diffraction patterns of the original powders and the sintered Gd2O3 bulks. On the bases of X-ray diffraction peaks identification, all of the peaks have been indicated. The Gd2O3 powder and sintered bulks consisted of both cubic and monoclinic structures. According to the Rietveld method, the ratios of cubic and monoclinic phases of Gd2O3 were 90.02% and 9.98%, respectively. Neither of the Gd2O3 powder and bulks were pure cubic or monoclinic, while the Gd2O3 powder and bulks were composed mainly of the cubic phase with about ten percent of monoclinic phase. The Gd2O3 bulks possessed the same phases as the original powder. The Gd2O3 bulk had no obvious phase transitions during sintering at 1400 °C, 1500 °C and 1600 °C. The characteristic peaks of the sintered Gd2O3 bulks were identical.
Figure 3.
X-ray diffraction patterns of the Gd2O3 powder and the sintered bulks.
3.3. Densification
Table 4 shows the sintered Gd2O3 bulks’ real densities, tested according to the Archimedes drainage method. The sintered Gd2O3 bulk became dense gradually when the sintering temperature and the sintering time were increased. The density became larger and larger. The bulk had the maximum density of 7.394 g/cm3 when it was sintered at 1600 °C for 24 h.
Table 4.
The sintered Gd2O3 bulks’ densities.
The theoretical densities of the pure monoclinic and cubic Gd2O3 were 8.350 g/cm3 and 7.616 g/cm3, respectively. The Gd2O3 bulks with 9.98% monoclinic and 90.02% cubic phases had a theoretical density of 7.689 g/cm3 according to the contents of each phase. The sintered bulks’ densifications were determined according to the ratio of the real density to the theoretical one. The densifications of the Gd2O3 bulks sintered at different temperature for different times were given out in Table 5. With the rise in fritting temperature and the extension of fritting time, the sintered Gd2O3 bulk became dense, and the densification increased gradually. The Gd2O3 bulk had the maximum densification of 96.16% when it was sintered at 1600 °C for 24 h. The reported density of the Gd2O3 bulk was 7.407 g/cm3. The alumina was often added to Gd2O3 bulk to lower the sintering temperature and accelerate the sintering process. The alumina’s density was about 3.5 g/cm3. Therefore, the reported Gd2O3 bulk’s density was lower than the theoretical one.
Table 5.
The Gd2O3 bulks’ densifications.
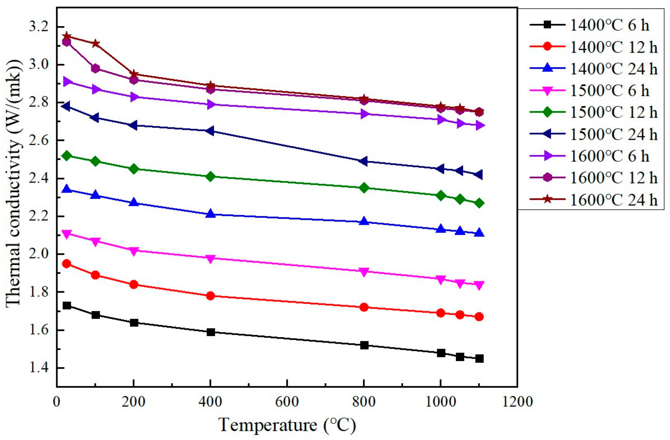
3.4. Thermal Conductivity
As shown in Figure 4, the Gd2O3 bulks’ thermal conductivities were detected from room temperature to 1100 °C. With the extension of fritting time at a certain temperature, the bulk’s thermal conductivity increased gradually. The Gd2O3 bulk possessed the minimum thermal conductivity of 1.45 W/(m·k) (at 1100 °C) when it was sintered at 1400 °C for 6 h, which was much less than that of the one sintered at 1400 °C for 24 h, with its value of 2.11 W/(m·k) (at 1100 °C). The Gd2O3 bulk possessed the thermal conductivity of 1.84 W/(m·k) (at 1100 °C) when it was sintered at 1500 °C for 6 h, which was less than that of the one sintered at 1500 °C for 24 h with its value of 2.42 W/(m·k) (at 1100 °C). The Gd2O3 bulk sintered at 1600 °C for 6 h, 12 h, 24 h possessed the thermal conductivity of 2.68, 2.75 and 2.75 W/(m k) at 1100 °C, respectively. When the fritting temperature was 1600 °C, the thermal conductivity was almost unchanged with the extension of fritting time, which was attributed to the fully densified state of the Gd2O3 bulk sintered at 1600 °C. The densified Gd2O3 bulk’s thermal conductivity was 2.75 W/(m·k) (at 1100 °C). With the increase in the sintering temperature, the pores or voids inside or among the Gd2O3 powders disappeared gradually. The motionless air in the pores or voids was a poor conductor of heat, with low thermal conductivity. With the decrease in the pores and voids during sintering, the sintered bulk’s Gd2O3 thermal conductivity was increased gradually.
Figure 4.
The sintered Gd2O3 bulks’ thermal conductivities.
3.5. Thermal Expansion Coefficient
As shown in Figure 5, the Gd2O3 bulks’ CTEs were detected from room temperature to 1100 °C. Generally, all of the sintered bulks’ CTEs increased when the working temperature elevated. The bulks’ CTEs decreased gradually with the rise in sintering temperatures and extension of times. The sintered Gd2O3 bulk possessed the minimum CTE of 6.69 × 10−6/°C (at 1100 °C) when it was sintered at 1600 °C for 24 h, which was 10.6% less than that of the one sintered at 1400 °C for 6 h with its CTE of 7.48 × 10−6/°C (at 1100 °C). The CTEs of the bulks sintered at 1600 °C were almost unchanged, which was attributed to the fully densified state of the Gd2O3 bulk sintered at 1600 °C. At 1100 °C, the densified Gd2O3 bulk possessed a CTE of 6.69 × 10−6/°C. The increase in the bulk density with the increase in sintering temperature could be attributed to the decrease in pores or voids inside or among the Gd2O3 powders. With the densification process, the thermal expansion space became smaller, which restricted the thermal expansion and led to a low thermal expansion coefficient. With the decrease in the pores and voids during sintering, the sintered bulk’s thermal expansion coefficient decreased gradually.
Figure 5.
The sintered Gd2O3 bulks’ CTEs.
3.6. Mechanical Properties
Figure 6 shows the hardnesses of the bulks sintered at 1400 °C, 1500 °C, 1600 °C for 6 h, 12 h, and 24 h. With the rise in the sintering temperatures and extension of the fritting times, the sintered Gd2O3 bulks’ hardnesses were increased. The Gd2O3 bulk had the minimum hardness of 8.08 GPa when it was sintered at 1400 °C for 6 h, which was 10.4% less than that of the sample sintered at 1400 °C for 24 h, with its value of 9.02 GPa. The Gd2O3 bulk possessed the hardness of 8.43 GPa when it was sintered at 1500 °C for 6 h, which was 7.4% less than that of the one sintered at 1500 °C for 24 h, with its value of 9.10 GPa. The Gd2O3 bulks possessed the hardnesses of 9.12 GPa, 9.13 GPa and 9.13 GPa, respectively, when they were sintered at 1600 °C for 6 h, 12 h and 24 h. The hardness was almost unchanged, which was attributed to the fully densified state of the Gd2O3 bulk sintered at 1600 °C. The densified Gd2O3 bulk with the hardness of 9.13 GPa. With the extension of fritting times, the bulks’ densifications reached 99.82%, which was near the full densification and could indicate high hardness.
Figure 6.
The sintered Gd2O3 bulks’ hardnesses.
As Figure 7 shown, the bulks’ elastic moduli were measured when they were sintered at 1400 °C, 1500 °C, 1600 °C for 6 h to 24 h. When the sintering temperature was raised and the sintering time was extended, the bulk’s elastic modulus increased. The Gd2O3 bulk possessed the minimum elastic modulus of 156.39 GPa when it was sintered at 1400 °C for 6 h, which was 19.5% less than that of the one sintered at 1400 °C for 24 h with its value of 194.39 GPa. The Gd2O3 bulk possessed the elastic modulus of 182.45 GPa when it was sintered at 1500 °C for 6 h, which was 8.5% less than that of the one sintered at 1500 °C for 24 h, with its value of 199.52 GPa. The Gd2O3 bulks possessed the elastic modulo of 200.56 GPa, 200.88 GPa, 201.15 GPa, respectively, when they were sintered at 1600 °C for 6 h, 12 h, 24 h. The elastic modulus was almost unchanged, which was attributed to the fully densified state of the Gd2O3 bulk sintered at 1600 °C. The densified Gd2O3 bulk’s elastic modulus was 201.15 GPa.
Figure 7.
The sintered Gd2O3 bulks’ elastic moduli.
As Figure 8 shown, the nanoindentations with cracks in the Gd2O3 bulks were labeled when the bulks were sintered at 1400 °C, 1500 °C, 1600 °C for 6 to 24 h. Table 6 shows the bulks’ fracture toughnesses (KIC) estimated on the basis of Formula (4). When the sintering time extended, the sintered Gd2O3 bulks’ fracture toughnesses all increased. Meanwhile, with the rise in the fritting temperature, the sintered Gd2O3 bulks’ fracture toughnesses increased. The Gd2O3 bulk possessed the minimum fracture toughness of 10.91 MPa·m0.5 when it was sintered at 1400 °C for 6 h, which was 19.5% less than that of the one sintered at 1400 °C for 24 h, with its value of 13.50 MPa·m0.5. The Gd2O3 bulk possessed the fracture toughness of 12.75 MPa·m0.5 when it was sintered at 1500 °C for 6 h, which was 8.5% less than that of the one sintered at 1500 °C for 24 h with its value of 14.03 MPa·m0.5. The Gd2O3 bulks possessed the fracture toughnesses of 14.97 MPa·m0.5, 15.02 MPa·m0.5 and 15.03 MPa·m0.5, respectively, when they were sintered at 1600 °C for 6 h, 12 h and 24 h. The fracture toughness was almost unchanged, which was attributed to the fully densified state of the Gd2O3 bulk sintered at 1600 °C. The densified Gd2O3 bulk had the fracture toughness of 15.03 MPa·m0.5.

Figure 8.
Indentations of the Gd2O3 bulks sintered at 1400 °C for 6 h (a), 12 h (b), and 24 h (c); indentations of the Gd2O3 bulks sintered at 1500 °C for 6 h (d), 12 h (e), and 24 h (f); indentations of the Gd2O3 bulks sintered at 1600 °C for 6 h (g), 12 h (h), and 24 h (i).
Table 6.
The sintered Gd2O3 bulks’ fracture toughnesses/MPa·m0.5.
4. Discussion
The melting point of Gd2O3 is 2350 °C, which is very high. Meanwhile, it possesses stable chemical activity, good oxidation resistance and good impact resistance, which makes it suited to serving in high-temperature and harsh circumstance. The crystal structure of TBCs can be modified and become stable by oxide co-doped yttrium oxide-stabilized zirconia. Moreover, Gd possesses a powerful affinity with rest elements and strong chemical stabilities and can be blended into ZrO2 cell. Table 7 shows the lattice parameters of the unit cells and the space group of the phases calculated through the CrystalMaker software®. M-Gd2O3 had a monoclinic structure with space group C2/M, as well as the lattice parameters of a (14.095 nm), b (3.5765 nm), c (8.7692 nm) and _β = 100.08°. C-Gd2O3 had a cubic structure with space group IA-3, and the lattice parameters of a (10.813 nm), b (10.813 nm) and c (10.813 nm) and α = β = γ = 90°. The crystalline structures of monoclinic and cubic Gd2O3 were shown in Figure 9. Cubic Gd2O3 had a large lattice constant, which was helpful for enhancing affinity with other elements. Therefore, Gd2O3 can be added to zirconia as a stabilizer to promote the material’s comprehensive properties used in TBCs.
Table 7.
Lattice parameters of the unit cells and the space group of the monoclinic and cubic Gd2O3.
Figure 9.
Crystalline structures of the Gd2O3: (a) M-Gd2O3, (b) C-Gd2O3.
In this work, Gd2O3 bulks were sintered at 1400 °C,1500 °C,1600 °C for 6 h to 24 h to study the Gd2O3 bulks’ microstructure and properties to aid with wider the application of the materials in TBCs. The sintered Gd2O3 bulks were composed of monoclinic and cubic structures. Meanwhile, the cubic structure took about 90%. The main structure of the sintered Gd2O3 was cubic. The investigated mechanical properties included hardness, elastic modulus and fracture toughness. The thermal physical properties included the thermal expansion coefficient and thermal conductivity. It was found that the densification of the Gd2O3 bulk reached 96.16% after 24 h sintering at 1600 °C. When the sintering temperature rose and sintering time extended, the elastic modulus, hardness, fracture toughness and thermal conductivity of the sintered bulks increased, and the CTE decreased gradually. Gd2O3 bulk possessed the greatest elastic modulus, hardness and fracture toughness of 201.15 GPa, 9.13 GPa and 15.03 MPa·m0.5, respectively when it was sintered at 1600 °C for 24 h. Meanwhile, it had the highest thermal conductivity and the lowest CTE of 2.75 W/(m·k) and 6.69 × 10−6/°C at 1100 °C. At present, the properties of the co-doped zirconia ceramics used in TBCs are shown in Table 8. The ZrO2 bulk exhibited 12.0 GPa hardness, 210 GPa elastic modulus, a fracture toughness of 6 cMPa·m0.5, 3.0 W/(m·k) (at room temperature (RT)) thermal conductivity and 9 × 10−6/K (at 1100 °C) linear expansion coefficient, respectively [30,31]. The optimized 8YSZ bulk exhibited 13 GPa hardness, 230 GPa elastic modulus, a fracture toughness of 5.1 MPa·m0.5, 1.85 W/(m·k) (at 1000 °C) thermal conductivity and 10 × 10−6/K (at 1100 °C) CTE, respectively [31,32,33,34]. The 6GdSZ bulk stabilized by Gd2O3 had 10 GPa hardness, 200 GPa elastic modulus, 1.5 W/(m·k) (at 1100 °C) thermal conductivity and 11.5 × 10−6/K (at 1100°) CTE, respectively [35,36]. The 15 wt.% Gd2O3-GYYZO bulk sintered at 1650 °C for 24 h possessed the hardness, elastic modulus, and fracture toughness, thermal conductivity and thermal expansion coefficient of 15.61 GPa, 306.88 GPa, 7.822 MPa·m0.5, 1.04 W/(m·k) and 7.89 × 10−6/°C (at 1100 °C), respectively [26]. The increase in the bulk density with the increase in sintering temperature could be attributed to the decrease in pores or voids inside or among the Gd2O3 powders. It could be assumed that the average grain size of the sintered sample increased moderately with the increase in sintering temperature [22]. For the effect of Gd2O3 and Yb2O3 co-doping on the sintering of 8YSZ, Gd2O3-Yb2O3-YSZ exhibited better sintering resistance than 8YSZ [37]. It was thought to be the case that sintering process was controlled by diffusion. On the one hand, the shrinkage of Gd2O3-Yb2O3-YSZ was lower than that of 8YSZ due to the incorporation of larger and heavier atoms in YSZ. On the other hand, the co-dopants could promote the formation of defect clusters in zirconia crystals. Gd2O3 will take great effect in adjusting the zirconia’s microstructure and properties to meet the serving environments. The properties of the sintered Gd2O3 bulk lay the foundation for the properties of Gd2O3-doped oxide ceramics and can adjust the performances of TBCs prepared with Gd2O3-doped oxide ceramics further.
Table 8.
Properties of Gd2O3 and co-doped zirconia ceramics used in TBCs.
5. Conclusions
- (1)
- The Gd2O3 bulk became denser and denser when sintering temperature rose and sintering time extended. The densification of the Gd2O3 bulk reached 96.16% after sintering at 1600 °C for 24 h, which reached a near-fully dense state.
- (2)
- There was no phase transformation during sintering of the preformed Gd2O3 bulks. All of the sintered Gd2O3 bulks were composed of about 90% cubic and 10% monoclinic structures.
- (3)
- When sintering temperature rose and sintering time extended, the hardness, elastic modulus, fracture toughness and thermal conductivity of the sintered Gd2O3 bulk increased and the CTE decreased gradually. Gd2O3 bulk sintered at 1600 °C for 24 h possessed the maximum elastic modulus, hardness, fracture toughness and thermal conductivity of 201.15 GPa, 9.13 GPa, 15.03 MPa·m0.5 and 2.75 W/(m·k) (at 1100 °C), and the minimum CTE of 6.69 × 10−6/°C (at 1100 °C).
Author Contributions
Conceptualization, P.-H.G., C.J., S.-C.Z. and M.-X.L.; methodology, P.-H.G., C.J., S.-C.Z., R.-G.X., B.-Y.C., M.-X.L., L.-N.Z., Z.-Y.Y., L.J. and D.Z.; software, P.-H.G., C.J., S.-C.Z. and Y.-C.G.; validation, P.-H.G. and S.-C.Z.; formal analysis, P.-H.G. and S.-C.Z.; investigation, P.-H.G., S.-C.Z., B.Z., B.-Y.C., L.-N.Z., Z.-Y.Y., L.J. and D.Z.; data curation, Z.Y.; writing—original draft preparation, C.J. and S.-C.Z.; writing—review and editing, P.-H.G.; simulation, C.J. and Y.-C.G.; experiment, B.Z., L.-N.Z., Z.-Y.Y., L.J. and D.Z.; project administration, J.-P.L.; funding acquisition, P.-H.G. and J.-P.L. All authors have read and agreed to the published version of the manuscript.
Funding
This work was funded by the National Natural Science Foundation of China (51771140), China Scholarship Council (201908610115), The Youth Innovation Team of Shaanxi Universities: Metal Corrosion Protection and Surface Engineering Technology, Shaanxi Provincial Key Research and Development Project (2019ZDLGY05-09), Local Serving Special Scientific Research Projects of Shaanxi Provincial Department of Education (19JC022), Project of Yulin Science and Technology Bureau (2019-121).
Institutional Review Board Statement
Not applicable.
Informed Consent Statement
Not applicable.
Data Availability Statement
Not applicable.
Acknowledgments
We kindly acknowledge the support of Wei Yang and Hong-Bo Duan in nanoindentation tests.
Conflicts of Interest
The authors declare no conflict of interest.
References
- Tian, T. The journey of gas turbine localization. Energy 2019, 12, 16–22. [Google Scholar]
- Thakare, J.G.; Pandey, C.; Mahapatra, M.M.; Mulik, R.S. Thermal Barrier Coatings—A State of the Art Review. Met. Mater. Int. 2021, 27, 1947–1968. [Google Scholar] [CrossRef]
- Cai, L.X.; He, Y.; Wang, S.S.; Li, Y.; Li, F. Thermal-Fluid-Solid coupling analysis on the temperature and thermal stress field of a Nickel-Base superalloy turbine blade. Materials 2021, 14, 3315. [Google Scholar] [CrossRef] [PubMed]
- Vassen, R.; Jarligo, M.O.; Steinke, T.; Mack, D.E.; Stöver, D. Overview on advanced thermal barrier coatings. Surf. Coat. Technol. 2010, 205, 938–942. [Google Scholar] [CrossRef]
- Mishra, R.K.; Nandi, V.; Bhat, R.R. Failure Analysis of High-Pressure compressor blade in an aero gas turbine engine. J. Fail. Anal. Prev. 2018, 18, 465–470. [Google Scholar] [CrossRef]
- Bakan, E.; Vaßen, R. Ceramic top coats of plasma-sprayed thermal barrier coatings: Materials, processes, and properties. J. Therm. Spray. Technol. 2017, 26, 992–1010. [Google Scholar] [CrossRef]
- Wu, S.; Zhao, Y.T.; Li, W.G.; Liu, W.L.; Wu, Y.P.; Liu, F.K. Research progresses on ceramic materials of thermal barrier coatings on gas turbine. Coatings 2021, 11, 79. [Google Scholar] [CrossRef]
- Huang, J.; Wang, W.; Li, Y.; Fang, H.; Tu, S. A novel strategy to control the microstructure of plasma-sprayed ysz thermal barrier coatings. Surf. Coat. Technol. 2020, 402, 126304. [Google Scholar] [CrossRef]
- Raghavan, S.; Wang, H.; Porter, W.D. Thermal properties of zirconia co-doped with trivalent and pentanvalent oxides. Acta Mater. 2001, 49, 169–179. [Google Scholar] [CrossRef]
- Chen, X.G.; Zhang, H.S.; Liu, Y.X.; Zhao, Y.D.; Ren, B.; Tang, A.; Lu, K. Thermal properties of RE2AlTaO7 (RE = Gd and Yb) oxides. Ceram. Int. 2018, 44, 10762–10765. [Google Scholar] [CrossRef]
- Li, Y.J.; Huang, J.B.; Wang, W.Z.; Ye, D.D.; Fang, H.J.; Gao, D.; Tu, S.T.; Guo, X.P.; Yu, Z.X. Control of the Pore Structure of Plasma-Sprayed Thermal Barrier Coatings through the Addition of Unmelted Porous YSZ Particles. Coatings 2021, 11, 360. [Google Scholar] [CrossRef]
- Allen, A.; Ilavsky, J.; Long, G. Microstructural characterization of yttria-stabilized zirconia plasma-sprayed deposits using multiple small-angle neutron scattering. Acta Mater. 2001, 49, 1661–1675. [Google Scholar] [CrossRef]
- Boissonnet, G.; Chalk, C.; Nicholls, J.R. Thermal insulation of YSZ and Erbia-Doped Yttria-Stabilised Zirconia EB-PVD thermal barrier coating systems after CMAS attack. Materials 2020, 13, 4382. [Google Scholar] [CrossRef] [PubMed]
- Liu, Z.; Shen, Z.Y.; Liu, G.X.; He, L.M. Sm-doped Gd2Zr2O7 thermal barrier coatings: Thermal expansion coefficient, structure and failure. Vacuum 2021, 190, 110314. [Google Scholar] [CrossRef]
- Gao, P.H.; Yang, G.J.; Sao, S.T.; Li, J.P.; Yang, Z.; Guo, Y.C. Heredity and variation of hollow structure from powders to coatings through atmospheric plasma spraying. Surf. Coat. Technol. 2016, 305, 76–82. [Google Scholar] [CrossRef]
- Nicholls, J.R.; Lawson, K.J.; Johnstone, A.; Rickerby, D.S. Methods to reduce the thermal conductivity of EB-PVD TBCs. Surf. Coat. Technol. 2002, 151, 383–391. [Google Scholar] [CrossRef]
- An, G.S.; Li, W.S.; Feng, L.; Cheng, B.; Wang, Z.P.; Li, Z.Y.; Zhang, Y. Isothermal oxidation and TGO growth behaviors of YAG/YSZ double-ceramic-layer thermal barrier coatings. Ceram. Int. 2021, 47, 24320–24330. [Google Scholar] [CrossRef]
- Wang, Y.Y.; Han, Y.X.; Lin, C.C.; Zheng, W. Effect of spraying power on the morphology of YSZ splat and micro-structure of thermal barrier coating. Ceram. Int. 2021, 47, 18956–18963. [Google Scholar] [CrossRef]
- Cong, S.; Ran, G.; Li, Y.P.; Chen, Y. Ball-milling properties and sintering behavior of Al-based Gd2O3–W shielding materials used in spent-fuel storage. Powder Technol. 2020, 369, 127–136. [Google Scholar] [CrossRef]
- Bahamirian, M.; Hadavi, S.M.M.; Farvizi, M.; Rahimipour, M.R.; Keyvani, A. Phase stability of ZrO29.5Y2O35.6Yb2O35.2Gd2O3 compound at 1100 °C and 1300 °C for advanced TBC applications. Ceram. Int. 2019, 45, 7344–7350. [Google Scholar] [CrossRef]
- Yan, Z.; Peng, H.R.; Yuan, K.; Zhang, X. Optimization of Yb2O3-Gd2O3-Y2O3 Co-Doped ZrO2 Agglomerated and Calcined Powders for Air Plasma Spraying. Coatings 2021, 11, 373. [Google Scholar] [CrossRef]
- Eranezhuth, W.A.; Soumya, S.; Rajashekhar, S.; Ravi, K. Structural, functional and mechanical properties of spark plasma sintered gadolinia (Gd2O3). Ceram. Int. 2016, 42, 1384–1391. [Google Scholar] [CrossRef]
- Doleker, K.M.; Karaoglanli, A.C. Comparison of oxidation behavior of YSZ and Gd2Zr2O7 thermal barrier coatings (TBCs). Surf. Coat. Technol. 2017, 318, 198–207. [Google Scholar] [CrossRef]
- Shen, Z.Y.; Liu, Z.; Liu, G.X.; Mu, R.D.; He, L.M.; Dai, J.W. GdYbZrO thermal barrier coatings by EB-PVD: Phase, microstructure, thermal properties and failure. Surf. Interfaces 2021, 24, 101123. [Google Scholar] [CrossRef]
- Chen, D.; Wang, Q.S.; Liu, Y.B.; Ning, X.J. Microstructure, thermal characteristics, and thermal cycling behavior of the ternary rare earth oxides (La2O3, Gd2O3, and Yb2O3) co-doped YSZ coatings. Surf. Coat. Technol. 2020, 403, 126387. [Google Scholar] [CrossRef]
- Gao, P.H.; Zeng, S.C.; Jin, C.; Zhang, B.; Chen, B.Y.; Yang, Z.; Guo, Y.C.; Liang, M.X.; Li, J.P.; Li, Q.P.; et al. Effect of Gd2O3 Addition on the Microstructure and Properties of Gd2O3-Yb2O3-Y2O3-ZrO2 (GYYZO) Ceramics. Materials 2021, 14, 7470. [Google Scholar] [CrossRef]
- Bobzin, K.; Zhao, L.D.; Öte, M.; Königstein, T. A highly porous thermal barrier coating based on Gd2O3-Yb2O3 co-doped YSZ. Surf. Coat. Technol. 2019, 366, 349–354. [Google Scholar] [CrossRef]
- Zhang, J.X.; Bai, Y.; Li, E.B.; Dong, H.Y.; Ma, W. Yb2O3-Gd2O3 codoped strontium zirconate composite ceramics for potential thermal barrier coating applications. Int. J. Appl. Ceram. Technol. 2020, 17, 1608–1618. [Google Scholar] [CrossRef]
- Shang, F.L.; Zhang, X.; Guo, X.C.; Zhao, P.F.; Chang, Y. Determination of high temperature mechanical properties of thermal barrier coatings by nanoindentation. Surf. Eng. 2014, 30, 283–289. [Google Scholar] [CrossRef]
- Kyongjun, A.; Kakkaveri, S.; Ravichandran, R.E.; Dutton, S.L. Semiatin. Microstructure, Texture, and Thermal Conductivity of Single-Layer and Multilayer Thermal Barrier Coatings of Y2O3-Stabilized ZrO2 and Al2O3 Made by Physical Vapor Deposition. J. Am. Ceram. Soc. 1999, 82, 399–406. [Google Scholar] [CrossRef]
- Rice, R.W.; Wu, C.C.; Borchelt, F. Hardness-Grain-Size relations in ceramics. J. Am. Ceram. Soc. 1994, 77, 2539–2553. [Google Scholar] [CrossRef]
- Jan, F.J.; Virkar, A.V. Fabrication, Microstructural characterization, and mechanical properties of polycrystalline t′-Zirconia. J. Am. Ceram. Soc. 1990, 73, 3650–3657. [Google Scholar] [CrossRef]
- Schaedler, T.A.; Leckie, R.M.; Krmer, S.; Evans, A.G.; Levi, C.G. Toughening of nontransformable T′-YSZ by addition of titania. J. Am. Ceram. Soc. 2007, 90, 3896–3901. [Google Scholar] [CrossRef]
- Cao, X.Q.; Vassen, R.; Stoever, D. Ceramic materials for thermal barrier coatings. J. Eur. Ceram. Soc. 2004, 24, 1–10. [Google Scholar] [CrossRef]
- Schelling, P.K.; Phillpot, S.R.; Grimes, R.W. Optimum pyrochlore compositions for low thermal conductivity. Philos. Mag. Lett. 2004, 84, 127–137. [Google Scholar] [CrossRef]
- Lehmann, H.; Pitzer, D.; Pracht, G.; Vassen, R.; Stover, D. Thermal conductivity and thermal expansion coefficients of the Lanthanum Rare-Earth-Element zirconate system. J. Am. Ceram. Soc. 2010, 86, 1338–1344. [Google Scholar] [CrossRef]
- Zhang, Y.L.; Guo, L.; Yang, Y.P.; Guo, H.B.; Zhang, H.J.; Gong, S.K. Influence of Gd2O3 and Yb2O3 co-doping on phase stability, thermo-physical properties and sintering of 8YSZ. Chin. J. Aeronaut. 2012, 25, 948–953. [Google Scholar] [CrossRef]
Publisher’s Note: MDPI stays neutral with regard to jurisdictional claims in published maps and institutional affiliations. |
© 2022 by the authors. Licensee MDPI, Basel, Switzerland. This article is an open access article distributed under the terms and conditions of the Creative Commons Attribution (CC BY) license (https://creativecommons.org/licenses/by/4.0/).









