Influence of Pulse–Pause Sequences on the Self-Heating Behavior in Continuous Carbon Fiber-Reinforced Composites under Ultrasonic Cyclic Three-Point Bending Loads
Abstract
:1. Introduction
1.1. Effect of Testing Frequency on the Surface Temperature of the Specimen
1.2. Stress Amplitude and Stabilized Self-Heating Phenomenon
1.3. The Motivation for This Study
2. Materials and Methods
2.1. Composite Material
2.2. Specimen Geometry
2.3. Monotonic Three-Point Bending Experiments
2.4. Fatigue Three-Point Bending Experiments
2.5. Preparation of Samples for Microscopy
3. Results and Discussion
3.1. Specimen Response under Monotonic Loading
3.2. Specimen Response under Fatigue Loading
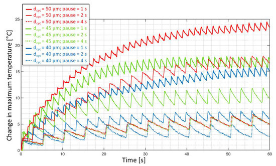
3.2.1. Influence of Pulse–Pause Combination on the Self-Heating Behavior of VHCF Specimens
3.2.2. Damage Morphologies Observed during Stationary and Non-Stationary Self-Heating Fatigue
4. Conclusions and Outlook
- The fiber and fiber architecture should enable the dissipation of heat such that it is not trapped in the bulk of the material.
- The glass transition temperature of the polymer is high enough such that specimen softening does not occur when the surface temperature of the specimen during ultrasonic fatigue loading rises to 20 °C.
- Fatigue damage mechanisms do not interact with self-heating mechanisms until the onset of damage.
Author Contributions
Funding
Institutional Review Board Statement
Informed Consent Statement
Data Availability Statement
Acknowledgments
Conflicts of Interest
References
- Harris, C.E.; Starnes, J.H.; Shuart, M.J. Design and Manufacturing of Aerospace Composite Structures, State-of-the-Art Assessment. J. Aircr. 2002, 39, 545–560. [Google Scholar] [CrossRef]
- Degrieck and, J.; van Paepegem, W. Fatigue damage modeling of fibre-reinforced composite materials: Review. Appl. Mech. Rev. 2001, 54, 279–300. [Google Scholar] [CrossRef]
- Harris, B. Fatigue in Composites: Science and Technology of the Fatigue Response of Fibre-Reinforced Plastics; Woodhead Publishing Limited: Cambridge, UK, 2003; ISBN 9781855738577. [Google Scholar]
- Peters, S.T. Handbook of Composites, 2nd ed.; Springer: Boston, MA, USA, 1997; ISBN 978-1-4615-6389-1. [Google Scholar]
- Gay, D. Composite Materials: Design and Applications, 3rd ed.; CRC Press: Boca Raton, FL, USA, 2014; ISBN 9781466584884. [Google Scholar]
- Shabani, P.; Taheri-Behrooz, F.; Samareh-Mousavi, S.S.; Shokrieh, M.M. Very high cycle and gigacycle fatigue of fiber-reinforced composites: A review on experimental approaches and fatigue damage mechanisms. Prog. Mater. Sci. 2021, 118, 100762. [Google Scholar] [CrossRef]
- Tsai, G.C.; Doyle, J.F.; Sun, C.T. Frequency Effects on the Fatigue Life and Damage of Graphite/Epoxy Composites. J. Compos. Mater. 1987, 21, 2–13. [Google Scholar] [CrossRef]
- Perreux, D.; Joseph, E. The effect of frequency on the fatigue performance of filament-wound pipes under biaxial loading: Experimental results and damage model. Compos. Sci. Technol. 1997, 57, 353–364. [Google Scholar] [CrossRef]
- Michel, S.; Kieselbach, R.; Martens, H. Fatigue strength of carbon fibre composites up to the gigacycle regime (gigacycle-composites). Int. J. Fatigue 2006, 28, 261–270. [Google Scholar] [CrossRef]
- Flore, D.; Wegener, K.; Mayer, H.; Karr, U.; Oetting, C.C. Investigation of the high and very high cycle fatigue behaviour of continuous fibre reinforced plastics by conventional and ultrasonic fatigue testing. Compos. Sci. Technol. 2017, 141, 130–136. [Google Scholar] [CrossRef]
- Premanand, A.; Balle, F. Development of an axial loading system for fatigue testing of textile-composites at ultrasonic frequencies. Mater. Lett. X 2022, 13, 100131. [Google Scholar] [CrossRef]
- Ueki, Y. High-speed bending-fatigue testing of composite materials. IOP Conf. Ser. Mater. Sci. Eng. 2018, 388, 12008. [Google Scholar] [CrossRef]
- Adam, T.J.; Horst, P. Experimental investigation of the very high cycle fatigue of GFRP [90/0]s cross-ply specimens subjected to high-frequency four-point bending. Compos. Sci. Technol. 2014, 101, 62–70. [Google Scholar] [CrossRef]
- Backe, D.; Balle, F.; Eifler, D. Fatigue testing of CFRP in the Very High Cycle Fatigue (VHCF) regime at ultrasonic frequencies. Compos. Sci. Technol. 2015, 106, 93–99. [Google Scholar] [CrossRef]
- Balle, F.; Backe, D. Very high cycle fatigue of carbon fiber reinforced polyphenylene sulfide at ultrasonic frequencies. In Fatigue of Materials at Very High Numbers of Loading Cycles; Christ, H.-J., Ed.; Springer: Wiesbaden, Germany, 2018; pp. 441–461. ISBN 978-3-658-24530-6. [Google Scholar]
- Cui, W.; Chen, X.; Chen, C.; Cheng, L.; Ding, J.; Zhang, H. Very High Cycle Fatigue (VHCF) Characteristics of Carbon Fiber Reinforced Plastics (CFRP) under Ultrasonic Loading. Materials 2020, 13, 908. [Google Scholar] [CrossRef] [PubMed] [Green Version]
- Kahirdeh, A.; Khonsari, M.M. Energy dissipation in the course of the fatigue degradation: Mathematical derivation and experimental quantification. Int. J. Solids Struct. 2015, 77, 74–85. [Google Scholar] [CrossRef]
- Katunin, A.; Wronkowicz, A.; Bilewicz, M.; Wachla, D. Criticality of self-heating in degradation processes of polymeric composites subjected to cyclic loading: A multiphysical approach. Arch. Civ. Mech. Eng. 2017, 17, 806–815. [Google Scholar] [CrossRef]
- Lee, C.S.; Kim, H.J.; Amanov, A.; Choo, J.H.; Kim, Y.K.; Cho, I.S. Investigation on very high cycle fatigue of PA66-GF30 GFRP based on fiber orientation. Compos. Sci. Technol. 2019, 180, 94–100. [Google Scholar] [CrossRef]
- Adam, T.J.; Horst, P. Fatigue damage and fatigue limits of a GFRP angle-ply laminate tested under very high cycle fatigue loading. Int. J. Fatigue 2017, 99, 202–214. [Google Scholar] [CrossRef]
- Lahuerta, F.; Nijssen, R.; van der Meer, F.P.; Sluys, L.J. Experimental–computational study towards heat generation in thick laminates under fatigue loading. Int. J. Fatigue 2015, 80, 121–127. [Google Scholar] [CrossRef]
- Weibel, D.; Balle, F.; Backe, D. Ultrasonic Fatigue of CFRP—Experimental Principle, Damage Analysis and Very High Cycle Fatigue Properties. KEM 2017, 742, 621–628. [Google Scholar] [CrossRef]
- La Rosa, G. Thermographic methodology for rapid determination of the fatigue limit of materials and mechanical components. Int. J. Fatigue 2000, 22, 65–73. [Google Scholar] [CrossRef]
- Montesano, J.; Fawaz, Z.; Bougherara, H. Use of infrared thermography to investigate the fatigue behavior of a carbon fiber reinforced polymer composite. Compos. Struct. 2013, 97, 76–83. [Google Scholar] [CrossRef]
- Giancane, S.; Panella, F.W.; Dattoma, V. Characterization of fatigue damage in long fiber epoxy composite laminates. Int. J. Fatigue 2010, 32, 46–53. [Google Scholar] [CrossRef]
- Kristofer Gamstedt, E.; Redon, O.; Brøndsted, P. Fatigue Dissipation and Failure in Unidirectional and Angle-Ply Glass Fibre/Carbon Fibre Hybrid Laminates. KEM 2001, 221–222, 35–48. [Google Scholar] [CrossRef]
- Gaurav, A.; Singh, K.K. Fatigue behavior of FRP composites and CNT-Embedded FRP composites: A review. Polym. Compos. 2018, 39, 1785–1808. [Google Scholar] [CrossRef]
- van Dooren, K.; Labans, E.; Tijs, B.; Bisagni, C.; Waleson, J. Analysis and testing of a thermoplastic composite stiffened panel under compression. In Proceedings of the 22nd International Conference on Composite Materials (ICCM22), Melbourne, Australia, 11–16 August 2019. [Google Scholar]
- van den Brink, W.M.; Bruins, R.; Lantermans, P.; Groenendijk, C. Fibre steered skin design of composite thermoplastic horizontal stabilizer torsion box. In Proceedings of the 5th Aircraft Structural Design Conference, Manchester, UK, 4–6 October 2016. [Google Scholar]
- Ochôa, P.; Groves, R.M.; Benedictus, R. Systematic multiparameter design methodology for an ultrasonic health monitoring system for full-scale composite aircraft primary structures. Struct. Control. Health Monit. 2019, 26, e2340. [Google Scholar] [CrossRef] [Green Version]
- Dubé, M.; Chazerain, A.; Hubert, P.; Yousefpour, A.; Bersee, H.E.N. Characterization of resistance-welded thermoplastic composite double-lap joints under static and fatigue loading. J. Thermoplast. Compos. Mater. 2015, 28, 762–776. [Google Scholar] [CrossRef]
- De Vries, R.; Lamers, E.; Wijskamp, S.; Villa Rodriguez, B.; Akkerman, R. Micromechanics Modeller; The University of Twente: Enschede, The Netherlands, 2004. [Google Scholar]
- D30 Committee. Test Method for Flexural Properties of Polymer Matrix Composite Materials: D7264/D7264M−15; ASTM International: West Conshohocken, PA, USA, 2015. [Google Scholar]
- Turczyn, R.; Krukiewicz, K.; Katunin, A. Spectroscopic evaluation of structural changes in composite materials subjected to self-heating effect. Compos. Struct. 2018, 204, 192–197. [Google Scholar] [CrossRef]
- Katunin, A.; Wronkowicz, A. Characterization of failure mechanisms of composite structures subjected to fatigue dominated by the self-heating effect. Compos. Struct. 2017, 180, 1–8. [Google Scholar] [CrossRef]













| Elastic Properties | Values |
|---|---|
| E11 [GPa] | 58.00 |
| E22 [GPa] | 58.00 |
| E33 [GPa] | 13.00 * |
| G12 [GPa] | 4.80 |
| G13 [GPa] | 5.70 * |
| G23 [GPa] | 5.70 * |
| 12 [-] | 0.05 |
| 13 [-] | 0.5 * |
| 23 [-] | 0.5 * |
| Cyclic Amplitude [μm] | Pause Times [s] | Failure [Cycles]/Run-Out * |
|---|---|---|
| 50 | 4 | 9.07 × 107 |
| 50 | 2 | 7.07 × 107 |
| 50 | 1 | 6.71 × 107 |
| 45 | 4 | Run-out |
| 45 | 2 | 8.00 × 107 |
| 45 | 1 | 8.38 × 107 |
| 40 | 4 | Run-out |
| 40 | 2 | Run-out |
| 40 | 1 | Run-out |
Publisher’s Note: MDPI stays neutral with regard to jurisdictional claims in published maps and institutional affiliations. |
© 2022 by the authors. Licensee MDPI, Basel, Switzerland. This article is an open access article distributed under the terms and conditions of the Creative Commons Attribution (CC BY) license (https://creativecommons.org/licenses/by/4.0/).
Share and Cite
Premanand, A.; Balle, F. Influence of Pulse–Pause Sequences on the Self-Heating Behavior in Continuous Carbon Fiber-Reinforced Composites under Ultrasonic Cyclic Three-Point Bending Loads. Materials 2022, 15, 3527. https://doi.org/10.3390/ma15103527
Premanand A, Balle F. Influence of Pulse–Pause Sequences on the Self-Heating Behavior in Continuous Carbon Fiber-Reinforced Composites under Ultrasonic Cyclic Three-Point Bending Loads. Materials. 2022; 15(10):3527. https://doi.org/10.3390/ma15103527
Chicago/Turabian StylePremanand, Aravind, and Frank Balle. 2022. "Influence of Pulse–Pause Sequences on the Self-Heating Behavior in Continuous Carbon Fiber-Reinforced Composites under Ultrasonic Cyclic Three-Point Bending Loads" Materials 15, no. 10: 3527. https://doi.org/10.3390/ma15103527
APA StylePremanand, A., & Balle, F. (2022). Influence of Pulse–Pause Sequences on the Self-Heating Behavior in Continuous Carbon Fiber-Reinforced Composites under Ultrasonic Cyclic Three-Point Bending Loads. Materials, 15(10), 3527. https://doi.org/10.3390/ma15103527
