Effect of Weather Aging on Viscoelasticity and Fatigue Performance of Asphalt Mastic
Abstract
:1. Introduction
2. Experiment
2.1. Raw Materials
2.2. Preparation of Asphalt Mastic
- (1)
- The asphalt was heated to a fluid state in the oven. The heating temperature of the base asphalt and SBS modified asphalt is 140 °C and 170 °C, respectively. A certain quality of the asphalt required for further tests was poured into the stainless steel cups;
- (2)
- The limestone powder was heated in the oven at 140 °C for 2 h to make itself dry and the internal temperature uniform. The required quality of the limestone powder depended on the asphalt quality and the filler–asphalt ratio;
- (3)
- The stainless steel cups containing the asphalt were heated on the electric stove to keep the asphalt in a fluid state during the mixing process. The mixing temperature was maintained at 140 °C ± 5 °C (base asphalt), 165 °C ± 5 °C (SBS modified asphalt);
- (4)
- The limestone powder was added to the asphalt in batches, and mixed with the high-speed shearing machine. The speed was controlled at 1000 r/min and each mixing time was 3 min. After all the limestone powder was added, the asphalt mastic was mixed for another 5 min to ensure the even distribution of the limestone powder in the mixture, as shown in Figure 1;
- (5)
- The evenly mixed asphalt mastic was poured into the silastic mold, making two kinds of samples with a thickness of 2 mm, a diameter of 8 mm and a thickness of 1 mm, a diameter of 25 mm. The asphalt mastic was also poured into the weather aging tray with 50 g per tray for short-term aging and weather aging tests.
2.3. Weather Aging Methods
- (1)
- The irradiation intensity of the xenon lamp was 600 W;
- (2)
- The temperature of the black sheet was (65 ± 2.5) °C;
- (3)
- The relative humidity was controlled at (65 ± 5) %;
- (4)
- The rainfall intensity was 25 mm/h.
2.4. Dynamic Frequency Sweep Test
2.5. Fatigue Test
3. S_VECD Model and Fatigue Failure Index
3.1. S-VECD Model
- (1)
- Elastic-viscoelastic correspondence principle based on the pseudo strain. The viscoelastic problem can be simplified into the elastic problem with this principle;
- (2)
- Work potential theory based on the continuous damage mechanics, and it can quantify the influence of internal microdamage on the macroscopic mechanical behavior;
- (3)
- Time–temperature equivalence principle. It includes the influence of loading time and temperature on the physical and mechanical behavior of materials [25].
- (1)
- Elastic-viscoelastic correspondence principle based on the pseudo strain;
- (2)
- Work potential theory based on the continuous damage mechanics;
3.2. Fatigue Failure Criterion of Asphalt Mastic
- (1)
- Cycle number when the dynamic modulus is reduced to 50% of the initial modulus (Nf50);
- (2)
- Cycle number at the peak of , which i is the loading times (NNM);
- (3)
- Cycle number at the inflection point of the change rate of ;
- (4)
- Cycle number at the peak of energy dissipation rate (NDER);
- (5)
- The fatigue life is determined on the basis of the cumulative dissipation energy ratio (CDER). Specifically, the relationship between CDER and the loading cycle is linear at the beginning. When the relation curve between CDER and the loading cycle deviates from the straight line by 20%, the material is considered to have fatigue failure. The cycle number at this time is defined as the fatigue life.
4. Results and Discussion
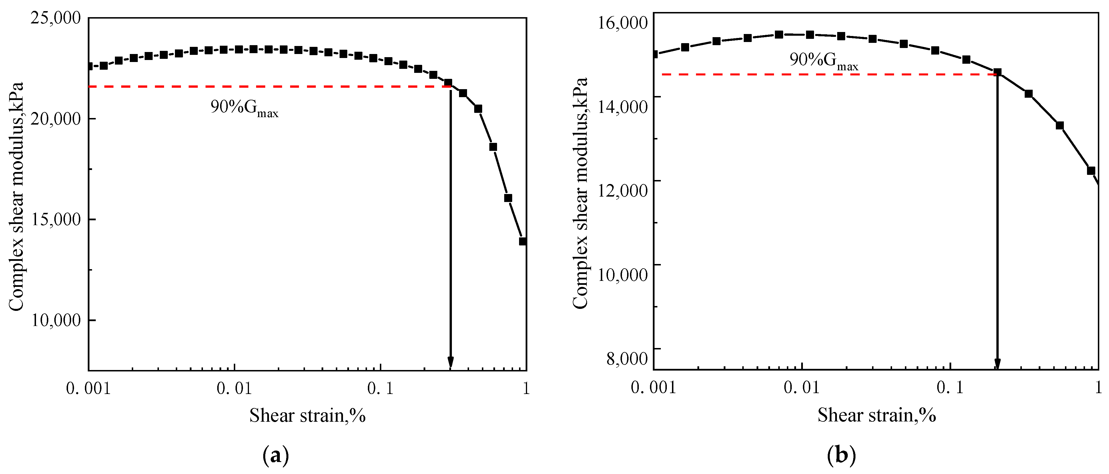
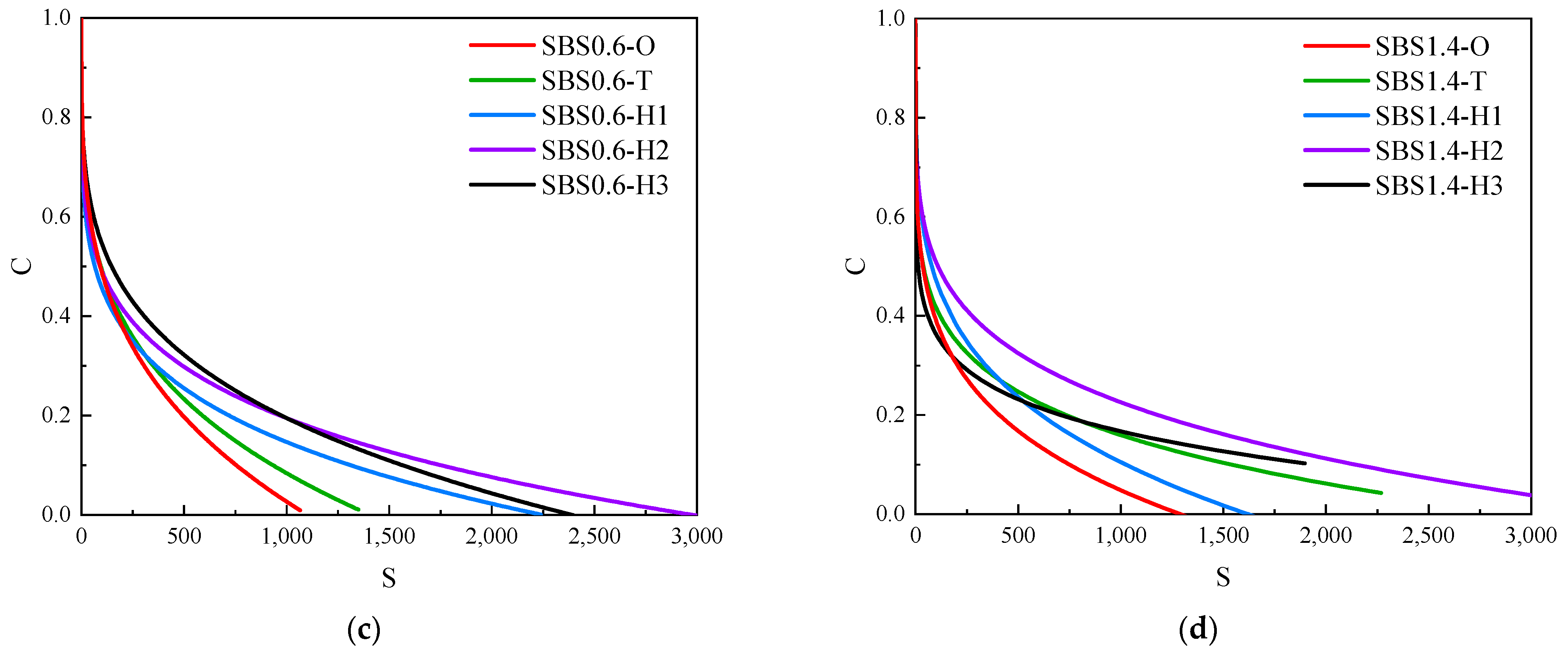
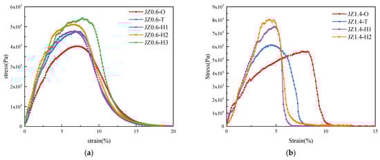
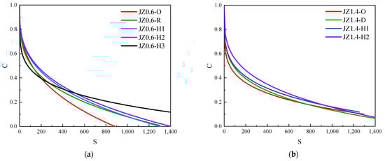
4.1. Influence of Weather Aging on Viscoelasticity Performance
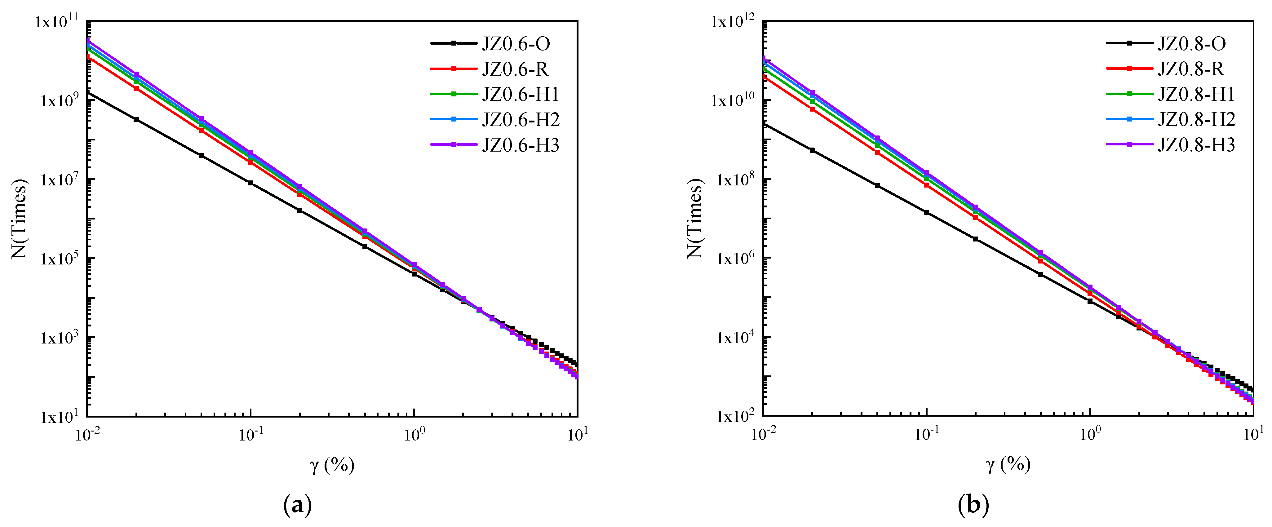
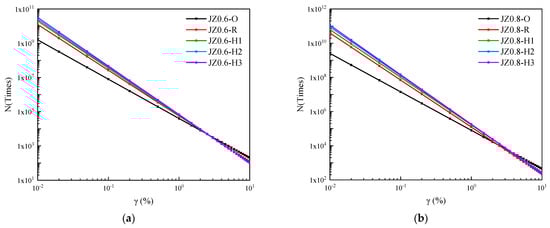
4.2. Influence of Weather Aging on Fatigue Performance
5. Conclusions
- (1)
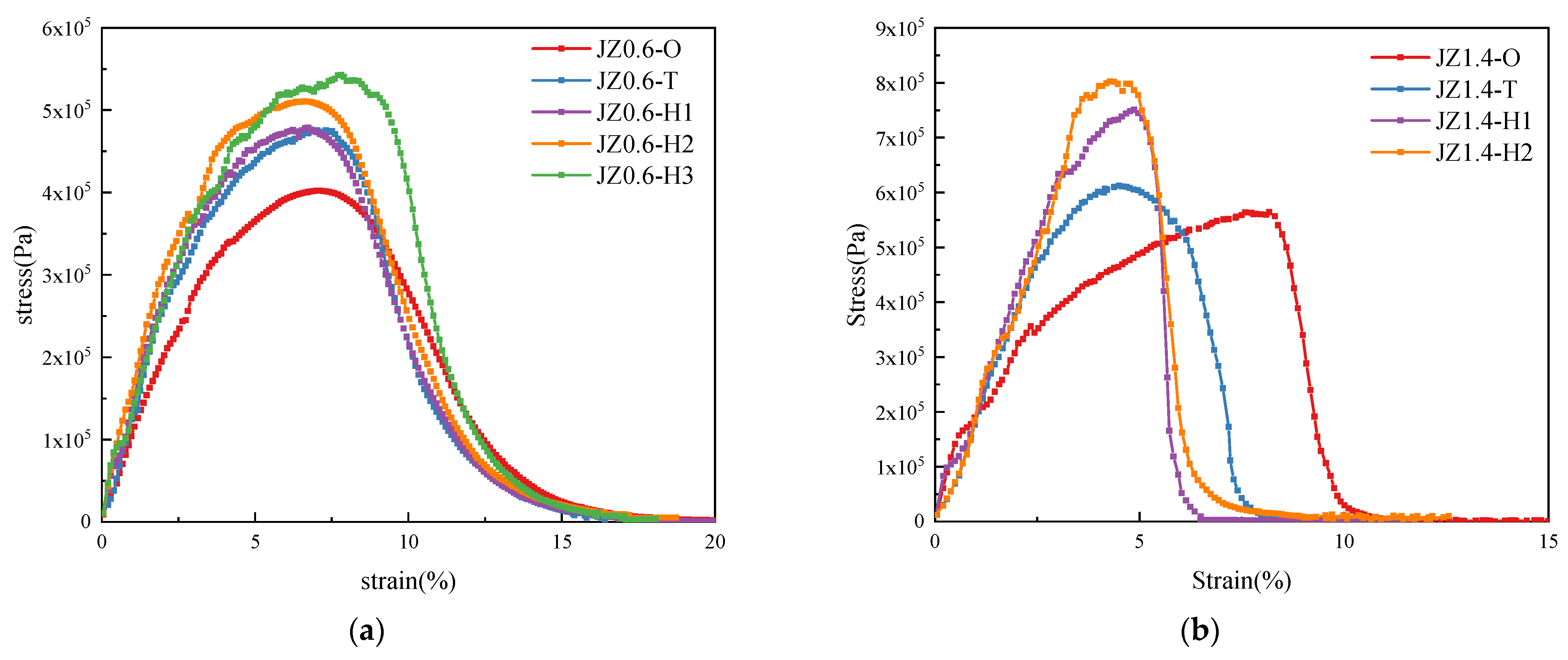
- Comparing the curves of complex shear modulus, shear stress, and storage pseudo strain energy for matrix asphalt mastic and SBS modified asphalt mastic, it is more suitable to use the maximum value of the stored pseudo strain energy to determine the fatigue failure of the asphalt mastic than shear stress and complex shear modulus;
- (2)
- As the aging time increases, the complex shear modulus of asphalt mastic increases significantly under low-frequency loading. Although under high-frequency loading, the complex shear modulus tends to the same asymptotic line. With the deepening of aging degree, the phase angle of base asphalt mastic and SBS modified asphalt mastic drops. The elastic component increases while the viscous component decreases;
- (3)
- According to the relationship between of fatigue life and the filler–asphalt ratio, the best filler–asphalt ratio of base asphalt and SBS modified asphalt are 1.0 and 1.2, respectively;
- (4)
- The base asphalt mastic becomes more sensitive to the strain level after aging than SBS modified asphalt mastic. The fatigue life of base asphalt mastic increases under the low strain load and decreases under the high strain load, but the fatigue life of SBS modified asphalt mastic gradually decreases within the strain load range of 0.1% to 10% as the aging degree deepens.
Author Contributions
Funding
Institutional Review Board Statement
Informed Consent Statement
Data Availability Statement
Acknowledgments
Conflicts of Interest
References
- Feng, Z.G.; Bian, H.; Li, X.; Yu, Y. FTIR analysis of UV aging on bitumen and its fractions. Mater. Struct. 2016, 49, 1381–1389. [Google Scholar] [CrossRef]
- Poulikakos, L.D.; dos Santos, S.; Bueno, M.; Kuentzel, S.; Hugener, M.; Partl, M.N. Influence of short and long term aging on chemical, microstructural and mac-ro-mechanical properties of recycled asphalt mixtures. Constr. Build. Mater. 2014, 51, 414–423. [Google Scholar] [CrossRef]
- Wang, M.; Liu, L. Investigation of microscale aging behavior of asphalt binders using atomic force microscopy. Constr. Build. Mater. 2017, 135, 411–419. [Google Scholar] [CrossRef]
- Traxler, R.N. Asphalt, Its Composition, Properties and Uses; Reinhold Publishing Co., Ltd.: New York, NY, USA, 1961. [Google Scholar]
- Hu, J.; Wu, S.; Liu, Q.; Hernandez, M.I.G.; Wang, Z.; Nie, S.; Zhang, G. Effect of ultraviolet radiation in different wavebands on bitumen. Constr. Build. Mater. 2018, 159, 479–485. [Google Scholar] [CrossRef]
- Fernandez-Gomez, W.D.; Quintana, H.A.R.; Daza, C.E.; Lizcano, F.A.R. The effects of environmental aging on Colombian asphalts. Fuel 2014, 115, 321–328. [Google Scholar] [CrossRef]
- Bai, X.; Qian, G.; Wei, H.; Jin, D. Review on SBS Modified Asphalt Aging under Ultraviolet Light Radiation. J. Mater. Sci. Eng. 2019, 37, 855–859. [Google Scholar]
- Yu, H.N.; Yao, D.; Qian, G.P.; Cai, J.; Gong, X.B.; Cheng, L.G. Effect of ultraviolet aging on dynamic mechanical properties of SBS modified asphalt mastic. Constr. Build. Mater. 2021, 281, 11. [Google Scholar] [CrossRef]
- Noguera, J.A.H.; Quintana, H.A.R.; Gomez, W.D.F. The influence of water on the oxidation of asphalt cements. Constr. Build. Mater. 2014, 71, 451–455. [Google Scholar] [CrossRef]
- Pang, L.; Zhang, X.M.; Wu, S.P.; Ye, Y.; Li, Y.Y. Influence of Water Solute Exposure on the Chemical Evolution and Rheolog-ical Properties of Asphalt. Materials 2018, 11, 983. [Google Scholar] [CrossRef] [Green Version]
- Xue-mei, Z.; Ling, P.; Guo-fu, Z. Effects of the Aqueous Medium on Asphalt Aging Characteristic Functional. J. Wuhan Univ. Technol. (Transp. Sci. Eng.) 2018, 42, 31–34. [Google Scholar]
- Ji, J.; Suo, Z.; Wen, B.; Shi, Y.; Xu, S. Effects of water and warm mix agent on adhesion capacity of ashalt-aggregate interface. China J. Highw. Transp. 2015, 28, 25–30. [Google Scholar]
- Liu, X.; Li, B.; Jia, M.; Li, C.; Zhang, Z.W. Effect of short-term aging on interface-cracking behaviors of warm mix asphalt un-der dry and wet conditions. Constr. Build. Mater. 2020, 261, 119885. [Google Scholar] [CrossRef]
- Zheng, C.F.; Zheng, S. Factors of Adhesion between Asphalt and Mineral Aggregates. In Proceedings of the 2nd International Conference on Civil Engineering and Transportation (ICCET 2012), Guilin, China, 27–28 October 2012; pp. 1765–1768. [Google Scholar]
- Sun, W.; Wang, H. Moisture effect on nanostructure and adhesion energy of asphalt on aggregate surface: A molecular dy-namics study. Appl. Surf. Sci. 2020, 145435. [Google Scholar] [CrossRef]
- Shashidhar, N.; Shenoy, A. On using micromechanical models to describe dynamic mechanical behavior of asphalt mastics. Mech. Mater. 2002, 34, 657–669. [Google Scholar] [CrossRef]
- Shenoy, A. Fatigue testing and evaluation of asphalt binders using the dynamic shear rheometer. J. Test. Eval. 2002, 30, 303–312. [Google Scholar]
- Wang, Y.; Wang, C.; Bahia, H. Comparison of the fatigue failure behaviour for asphalt binder using both cyclic and monotonic loading modes. Constr. Build. Mater. 2017, 151, 767–774. [Google Scholar] [CrossRef]
- Xie, W.; Castorena, C.; Wang, C.; Kim, Y.R. A framework to characterize the healing potential of asphalt binder using the linear amplitude sweep test. Constr. Build. Mater. 2017, 154, 771–779. [Google Scholar] [CrossRef]
- Mannan, U.A.; Islam, M.R.; Tarefder, R.A. Effects of recycled asphalt pavements on the fatigue life of asphalt under different strain levels and loading frequencies. Int. J. Fatigue 2015, 78, 72–80. [Google Scholar] [CrossRef]
- GB/T 15255-2015. Rubber, Vulcanized—Test Method for Artificial Weathering—Carbon-Arc Lamp; Standardization Administration of China: Beijing, China, 2015; pp. 1–5. [Google Scholar]
- ASTM D4798/D4798M-11(2021). Standard Practice for Accelerated Weathering Test Conditions and Procedures for Bituminous Materials (Xenon-Arc Method); ASTM International: West Conshohocken, PA, USA, 2021. [Google Scholar]
- Li, F.; Yang, Y.Y. Experimental investigation on the influence of interfacial effects of limestone and fly ash filler particles in asphalt binder on mastic aging behaviors. Constr. Build. Mater. 2021, 290, 123184. [Google Scholar] [CrossRef]
- Asgharzadeh, S.M.; Tabatabaee, N.; Naderi, K.; Partl, M. An empirical model for modified bituminous binder master curves. Mater. Struct. 2013, 46, 1459–1471. [Google Scholar] [CrossRef]
- Underwood, B.S.; Kim, Y.R.; Guddati, M.N. Improved calculation method of damage parameter in viscoelastic continuum damage model. Int. J. Pavement Eng. 2010, 11, 459–476. [Google Scholar] [CrossRef]
- Wang, C.; Castorena, C.; Zhang, J.X.; Kim, Y.R. Unified failure criterion for asphalt binder under cyclic fatigue loading. Road Mater. Pavement Des. 2015, 16, 125–148. [Google Scholar] [CrossRef]
- Zhang, H.Y.; Shen, K.R.; Xu, G.; Tong, J.S.; Wang, R.; Cai, D.G.; Chen, X.H. Fatigue resistance of aged asphalt binders, An investigation of different analytical methods in linear amplitude sweep test. Constr. Build. Mater. 2020, 241, 118099. [Google Scholar] [CrossRef]
- Liang, Y.; Harvey, J.T.; Jones, D.; Wu, R. Evaluation of Age-Hardening on Long-Term Aged Asphalt Binders. Constr. Build. Mater. 2021, 304, 124687. [Google Scholar] [CrossRef]
- Hu, D.; Gu, X.; Lyu, L.; Pei, J.; Cui, B. Investigating the aging mechanism of asphaltene and its dependence on environmental factors through AIMD simulations and DFT calculations. Sci. Total Environ. 2021, 795, 148897. [Google Scholar] [CrossRef]

















| Technical Specifications | Base Asphalt | SBS Modified Asphalt | |
|---|---|---|---|
| Penetration (25 °C, 100 g, 5 s) (0.1 mm) | 69.3 | 54 | |
| Ductility (5 °C, 5 cm/min) (cm) | / | 35 | |
| Ductility (10 °C, 5 cm/min) (cm) | 43 | / | |
| Softening point (°C) | 47 | 71.5 | |
| Thin film oven test TFOT (163 °C, 5 h) | Quality change (%) | 0.1 | 0.1 |
| Residual penetration ratio (25 °C) (%) | 65 | 76 | |
| Residual ductility (5 °C) (cm) | / | 22.6 | |
| Residual ductility (10 °C) (cm) | 26 | / | |
| Test Item | Units | Testing Result |
|---|---|---|
| Apparent density | - | 2.773 |
| Hydrophilic coefficient | - | 0.5 |
| Plasticity | % | 2.9 |
| The water content | % | 0.3 |
| Appearance | - | No agglomeration |
| Composition | LOSS | SiO2 | Fe2O3 | Al2O3 | CaO | MgO | Cl− | K2O | SO3 | CaCO3 | Na2O |
|---|---|---|---|---|---|---|---|---|---|---|---|
| Percentage, % | 41.00 | 4.47 | 0.47 | 0.85 | 50.70 | 0.87 | 0.024 | 0.48 | 0.17 | 91.50 | 0.07 |
| Degree of Aging | Cross Fatigue Strain (%) | ||||
|---|---|---|---|---|---|
| JZ0.6 | JZ0.8 | JZ1.0 | JZ1.2 | JZ1.4 | |
| T | 3.23 | 10.41 | 31.17 | 0.88 | 0.11 |
| H1 | 3.07 | 15.79 | 21.26 | 3.20 | 0.06 |
| H2 | 3.50 | 12.98 | 15.47 | 3.35 | 0.06 |
| H3 | 3.54 | 11.20 | 14.95 | - | - |
Publisher’s Note: MDPI stays neutral with regard to jurisdictional claims in published maps and institutional affiliations. |
© 2021 by the authors. Licensee MDPI, Basel, Switzerland. This article is an open access article distributed under the terms and conditions of the Creative Commons Attribution (CC BY) license (https://creativecommons.org/licenses/by/4.0/).
Share and Cite
Xu, G.; Zhou, Y.; Zhu, Y.; Wang, R.; Chen, X. Effect of Weather Aging on Viscoelasticity and Fatigue Performance of Asphalt Mastic. Materials 2021, 14, 6163. https://doi.org/10.3390/ma14206163
Xu G, Zhou Y, Zhu Y, Wang R, Chen X. Effect of Weather Aging on Viscoelasticity and Fatigue Performance of Asphalt Mastic. Materials. 2021; 14(20):6163. https://doi.org/10.3390/ma14206163
Chicago/Turabian StyleXu, Gang, Yixin Zhou, Yu Zhu, Rui Wang, and Xianhua Chen. 2021. "Effect of Weather Aging on Viscoelasticity and Fatigue Performance of Asphalt Mastic" Materials 14, no. 20: 6163. https://doi.org/10.3390/ma14206163
APA StyleXu, G., Zhou, Y., Zhu, Y., Wang, R., & Chen, X. (2021). Effect of Weather Aging on Viscoelasticity and Fatigue Performance of Asphalt Mastic. Materials, 14(20), 6163. https://doi.org/10.3390/ma14206163

