The Role of Hydraulic Silicate Cements on Long-Term Properties and Biocompatibility of Partial Pulpotomy in Permanent Teeth
Abstract
1. Introduction
2. Materials and Methods
2.1. Patient Selection and Inclusion/Exclusion Criteria
2.2. Randomization and Sample Size
2.3. Clinical Procedure
2.4. Clinical and Radiographic Evaluation
2.5. Histologic Evaluation
2.6. Statistical Analysis
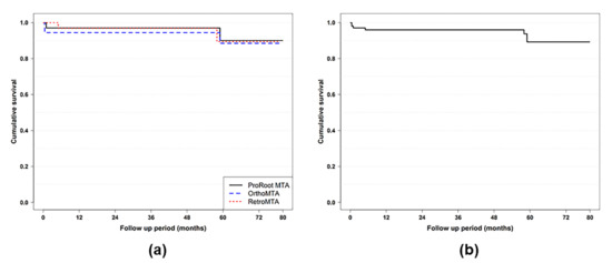
3. Results
4. Discussion
Author Contributions
Funding
Institutional Review Board Statement
Informed Consent Statement
Data Availability Statement
Acknowledgments
Conflicts of Interest
References
- Barrieshi-Nusair, K.M.; Hammad, H.M. Intracoronal sealing comparison of mineral trioxide aggregate and glass ionomer. Quintessence Int. 2005, 36, 539–545. [Google Scholar]
- Tziafas, D.; Pantelidou, O.; Alvanou, A.; Belibasakis, G.; Papadimitriou, S. The dentinogenic effect of mineral trioxide aggregate (MTA) in short-term capping experiments. Int. Endod. J. 2002, 35, 245–254. [Google Scholar] [CrossRef]
- Qudeimat, M.A.; Barrieshi-Nusair, K.M.; Owais, A.I. Calcium hydroxide vs mineral trioxide aggregates for partial pulpotomy of permanent molars with deep caries. Eur. Arch. Paediatr. Dent. 2007, 8, 99–104. [Google Scholar] [CrossRef]
- Smail-Faugeron, V.; Glenny, A.M.; Courson, F.; Durieux, P.; Muller-Bolla, M.; Fron Chabouis, H. Pulp treatment for extensive decay in primary teeth. Cochrane Database Syst. Rev. 2018, 5, Cd003220. [Google Scholar] [CrossRef]
- Koutroulis, A.; Kuehne, S.A.; Cooper, P.R.; Camilleri, J. The role of calcium ion release on biocompatibility and antimicrobial properties of hydraulic cements. Sci. Rep. 2019, 9, 19019. [Google Scholar] [CrossRef]
- Moghaddame-Jafari, S.; Mantellini, M.G.; Botero, T.M.; McDonald, N.J.; Nor, J.E. Effect of ProRoot MTA on pulp cell apoptosis and proliferation in vitro. J. Endod. 2005, 31, 387–391. [Google Scholar] [CrossRef]
- Gandolfi, M.G.; Iezzi, G.; Piattelli, A.; Prati, C.; Scarano, A. Osteoinductive potential and bone-bonding ability of ProRoot MTA, MTA Plus and Biodentine in rabbit intramedullary model: Microchemical characterization and histological analysis. Dent. Mater. 2017, 33, e221–e238. [Google Scholar] [CrossRef]
- Schembri, M.; Peplow, G.; Camilleri, J. Analyses of heavy metals in mineral trioxide aggregate and Portland cement. J. Endod. 2010, 36, 1210–1215. [Google Scholar] [CrossRef]
- Kogan, P.; He, J.; Glickman, G.N.; Watanabe, I. The effects of various additives on setting properties of MTA. J. Endod. 2006, 32, 569–572. [Google Scholar] [CrossRef]
- Valles, M.; Mercade, M.; Duran-Sindreu, F.; Bourdelande, J.L.; Roig, M. Color stability of white mineral trioxide aggregate. Clin. Oral Investig. 2013, 17, 1155–1159. [Google Scholar] [CrossRef]
- Kum, K.Y.; Zhu, Q.; Safavi, K.; Gu, Y.; Bae, K.S.; Chang, S.W. Analysis of six heavy metals in Ortho mineral trioxide aggregate and ProRoot mineral trioxide aggregate by inductively coupled plasma-optical emission spectrometry. Aust. Endod. J. 2013, 39, 126–130. [Google Scholar] [CrossRef]
- Li, Q.; Deacon, A.D.; Coleman, N.J. The impact of zirconium oxide nanoparticles on the hydration chemistry and biocompatibility of white Portland cement. Dent. Mater. J. 2013, 32, 808–815. [Google Scholar] [CrossRef]
- Innes, N.P.; Frencken, J.E.; Bjorndal, L.; Maltz, M.; Manton, D.J.; Ricketts, D.; Van Landuyt, K.; Banerjee, A.; Campus, G.; Domejean, S.; et al. Managing Carious Lesions: Consensus Recommendations on Terminology. Adv. Dent. Res. 2016, 28, 49–57. [Google Scholar] [CrossRef]
- Schwendicke, F.; Stolpe, M. Direct Pulp Capping after a Carious Exposure Versus Root Canal Treatment: A Cost-effectiveness Analysis. J. Endod. 2014, 40, 1764–1770. [Google Scholar] [CrossRef]
- Swift, E.J.; Trope, M.; Ritter, A.V. Vital pulp therapy for the mature tooth-can it work? Endod. Top. 2003, 5, 49–56. [Google Scholar] [CrossRef]
- Zhang, W.; Yelick, P.C. Vital pulp therapy-current progress of dental pulp regeneration and revascularization. Int. J. Dent. 2010, 2010, 856087. [Google Scholar] [CrossRef]
- Witherspoon, D.E. Vital pulp therapy with new materials: New directions and treatment perspectives—Permanent teeth. J. Endod. 2008, 34, S25–S28. [Google Scholar] [CrossRef]
- Taha, N.A.; Khazali, M.A. Partial pulpotomy in mature permanent teeth with clinical signs indicative of irreversible pulpitis: A randomized clinical trial. J. Endod. 2017, 43, 1417–1421. [Google Scholar] [CrossRef]
- Barrieshi-Nusair, K.M.; Qudeimat, M.A. A Prospective Clinical Study of Mineral Trioxide Aggregate for Partial Pulpotomy in Cariously Exposed Permanent Teeth. J. Endod. 2006, 32, 731–735. [Google Scholar] [CrossRef]
- Kang, C.M.; Sun, Y.; Song, J.S.; Pang, N.S.; Roh, B.D.; Lee, C.Y.; Shin, Y. A randomized controlled trial of various MTA materials for partial pulpotomy in permanent teeth. J. Dent. 2017, 60, 8–13. [Google Scholar] [CrossRef]
- Cvek, M. A clinical report on partial pulpotomy and capping with calcium hydroxide in permanent incisors with complicated crown fracture. J. Endod. 1978, 4, 232–237. [Google Scholar] [CrossRef]
- Chang, S.W.; Baek, S.H.; Yang, H.C.; Seo, D.G.; Hong, S.T.; Han, S.H.; Lee, Y.; Gu, Y.; Kwon, H.B.; Lee, W.; et al. Heavy metal analysis of ortho MTA and ProRoot MTA. J. Endod. 2011, 37, 1673–1676. [Google Scholar] [CrossRef]
- Chung, C.J.; Kim, E.; Song, M.; Park, J.-W.; Shin, S.-J. Effects of two fast-setting calcium-silicate cements on cell viability and angiogenic factor release in human pulp-derived cells. Odontology 2016, 104, 143–151. [Google Scholar] [CrossRef]
- Matsuo, T.; Nakanishi, T.; Shimizu, H.; Ebisu, S. A clinical study of direct pulp capping applied to carious-exposed pulps. J. Endod. 1996, 22, 551–556. [Google Scholar] [CrossRef]
- Mejare, I.; Cvek, M. Partial pulpotomy in young permanent teeth with deep carious lesions. Dent. Traumatol. 1993, 9, 238–242. [Google Scholar] [CrossRef]
- Zilberman, U.; Mass, E.; Sarnat, H. Partial pulpotomy in carious permanent molars. Am. J. Dent. 1989, 2, 147–150. [Google Scholar]
- Zanini, M.; Hennequin, M.; Cousson, P.Y. A Review of Criteria for the Evaluation of Pulpotomy Outcomes in Mature Permanent Teeth. J. Endod. 2016, 42, 1167–1174. [Google Scholar] [CrossRef]
- Elmsmari, F.; Ruiz, X.F.; Miro, Q.; Feijoo-Pato, N.; Duran-Sindreu, F.; Olivieri, J.G. Outcome of Partial Pulpotomy in Cariously Exposed Posterior Permanent Teeth: A Systematic Review and Meta-analysis. J. Endod. 2019, 45, 1296–1306. [Google Scholar] [CrossRef]
- Kim, M.; Yang, W.; Kim, H.; Ko, H. Comparison of the Biological Properties of ProRoot MTA, OrthoMTA, and Endocem MTA Cements. J. Endod. 2014, 40, 1649–1653. [Google Scholar] [CrossRef]
- De Deus, G.; Ximenes, R.; Gurgel-Filho, E.D.; Plotkowski, M.C.; Coutinho-Filho, T. Cytotoxicity of MTA and Portland cement on human ECV 304 endothelial cells. Int. Endod. J. 2005, 38, 604–609. [Google Scholar] [CrossRef]
- Sinkar, R.C.; Patil, S.S.; Jogad, N.P.; Gade, V.J. Comparison of sealing ability of ProRoot MTA, RetroMTA, and Biodentine as furcation repair materials: An ultraviolet spectrophotometric analysis. J. Conserv. Dent. 2015, 18, 445–448. [Google Scholar] [CrossRef]
- Pornamazeh, T.; Yadegari, Z.; Ghasemi, A.; Sheykh-Al-Eslamian, S.M.; Shojaeian, S. In Vitro Cytotoxicity and Setting Time Assessment of Calcium-Enriched Mixture Cement, Retro Mineral Trioxide Aggregate and Mineral Trioxide Aggregate. Iran. Endod. J. 2017, 12, 488–492. [Google Scholar]
- Bakhtiar, H.; Aminishakib, P.; Ellini, M.R.; Mosavi, F.; Abedi, F.; Esmailian, S.; Esnaashari, E.; Nekoofar, M.H.; Sezavar, M.; Mesgarzadeh, V.; et al. Dental Pulp Response to RetroMTA after Partial Pulpotomy in Permanent Human Teeth. J. Endod. 2018, 44, 1692–1696. [Google Scholar] [CrossRef]
- Massler, M. Therapy conducive to healing of the human pulp. Oral Surg. Oral Med. Oral Pathol. 1972, 34, 122–130. [Google Scholar] [CrossRef]
- Mass, E.; Zilberman, U. Long-term radiologic pulp evaluation after partial pulpotomy in young permanent molars. Quintessence Int. 2011, 42, 547–554. [Google Scholar] [PubMed]
- Fewtrell, M.S.; Kennedy, K.; Singhal, A.; Martin, R.M.; Ness, A.; Hadders-Algra, M.; Koletzko, B.; Lucas, A. How much loss to follow-up is acceptable in long-term randomised trials and prospective studies? Arch. Dis. Child. 2008, 93, 458–461. [Google Scholar] [CrossRef] [PubMed]
- Gupta, S.K. Intention-to-treat concept: A review. Perspect. Clin. Res. 2011, 2, 109–112. [Google Scholar] [CrossRef] [PubMed]
- Newell, D.J. Intention-to-treat analysis: Implications for quantitative and qualitative research. Int. J. Epidemiol. 1992, 21, 837–841. [Google Scholar] [CrossRef]



| Material | Composition |
|---|---|
| ProRoot MTA | Tricalcium silicate, (CaO)3·SiO2 |
| Dicalcium silicate, (CaO)2·SiO2 | |
| Tricalcium aluminate, (CaO)3·Al2O3 | |
| Tetracalcium aluminoferrite, (CaO)4·Al2O3·Fe2O3 | |
| Gypsum, CaSO4·2H2O | |
| Free calcium oxide, CaO | |
| Bismuth oxide, Bi2O3 | |
| OrthoMTA | Tricalcium silicate, (CaO)3·SiO2 |
| Dicalcium silicate, (CaO)2·SiO2 | |
| Tricalcium aluminate, (CaO)3·Al2O3 | |
| Tetracalcium aluminoferrite, (CaO)4·Al2O3·Fe2O3 | |
| Free calcium oxide, CaO | |
| Bismuth oxide, Bi2O3 | |
| RetroMTA | Calcium carbonate (CaCO3) |
| Silicon dioxide (SiO2) | |
| Aluminum oxide (Al2O3) | |
| Calcium zirconia complex |
| Variable | Censored (n, %) | Failure (n, %) | Total | p Value a |
|---|---|---|---|---|
| Age (y) | ||||
| <30 | 36 (87.8) | 5 (12.2) | 41 | |
| ≥30 | 22 (91.7) | 2 (8.3) | 24 | 1 |
| Arch | ||||
| Lower | 25 (92.6) | 2 (7.4) | 27 | |
| Upper | 33 (86.8) | 5 (13.2) | 38 | 0.69 |
| Tooth type | ||||
| Molar | 33 (89.2) | 4 (10.8) | 37 | |
| Premolar | 25 (89.3) | 3 (10.7) | 28 | 1 |
| Type of HSC a | ||||
| ProRoot MTA | 18 (90.0) | 2 (10.0) | 20 | |
| OrthoMTA | 18 (85.7) | 3 (14.3) | 21 | |
| RetroMTA | 22 (91.7) | 2 (8.3) | 24 | 0.88 |
| Cause of exposure | ||||
| Caries | 54 (90.0) | 6 (10.0) | 60 | |
| Trauma | 4 (80.0) | 1 (20.0) | 5 | 0.45 |
| Apex status | ||||
| Closed | 49 (87.5) | 7 (12.5) | 56 | |
| Open | 9 (100.0) | 0 (0.0) | 9 | 0.58 |
| Distance to exposure (mm) b | ||||
| >0.5 | 36 (90.0) | 4 (10.0) | 40 | |
| ≤0.5 | 22 (88.0) | 3 (12.0) | 25 | 1 |
| Site of exposure | ||||
| Occlusal | 19 (90.5) | 2 (9.5) | 21 | |
| Axial | 39 (88.6) | 5 (11.4) | 44 | 1 |
| Final restoration c | ||||
| Indirect | 27 (80.0) | 3 (10.0) | 30 | |
| Direct | 31 (88.6) | 4 (11.4) | 35 | 1 |
| Variable | Censored (n, %) | Failure (n, %) | Total | p Value | Hazard Ratio (95% CI) |
|---|---|---|---|---|---|
| Age (y) | |||||
| <30 | 59 (92.2) | 5 (7.8) | 64 | 1 | |
| ≥30 | 38 (95.0) | 2 (5.0) | 40 | 0.32 | 0.31 (0.03–3.14) |
| Arch | |||||
| Lower | 43 (95.6) | 2 (4.4) | 45 | 1 | |
| Upper | 54 (91.5) | 5 (8.5) | 59 | 0.33 | 2.62 (0.38–18.04) |
| Tooth type | |||||
| Molar | 56 (93.3) | 4 (6.7) | 60 | 1 | |
| Premolar | 41 (93.2) | 3 (6.8) | 44 | 0.68 | 0.67 (0.1–4.46) |
| Type of HSC a | |||||
| ProRoot MTA | 31 (93.9) | 2 (6.1) | 33 | 1 | |
| OrthoMTA | 33 (91.7) | 3 (8.3) | 36 | 0.88 | 0.85 (0.1–7.26) |
| RetroMTA | 33 (94.3) | 2 (5.7) | 35 | 0.97 | 1.04 (0.1–10.69) |
| Cause of exposure | |||||
| Caries | 91 (93.8) | 6 (6.2) | 97 | 1 | |
| Trauma | 6 (85.7) | 1 (14.3) | 7 | 0.66 | 1.91 (0.11–34.56) |
| Apex status | |||||
| Closed | 81 (92.0) | 7 (8.0) | 88 | 1 | |
| Open | 16 (100.0) | 0 (0.0) | 16 | 1 | 0.0000001 b |
| Distance to exposure (mm) c | |||||
| >0.5 | 59 (93.7) | 4 (6.3) | 63 | 1 | |
| ≤0.5 | 38 (92.7) | 3 (7.3) | 41 | 0.37 | 2.16 (0.4–11.56) |
| Site of exposure | |||||
| Occlusal | 32 (94.1) | 2 (5.9) | 34 | 1 | |
| Axial | 65 (92.9) | 5 (7.1) | 70 | 0.88 | 1.19 (0.13–11.0) |
| Final restoration d | |||||
| Indirect | 46 (93.9) | 3 (6.1) | 49 | 1 | |
| Direct | 51 (92.7) | 4 (7.3) | 55 | 0.75 | 0.75 (0.12–4.54) |
| Age | Tooth Type | Apex | Exposure Type | Site of Exposure | HSCs Material | Decision of Failure | Reason of Failure |
|---|---|---|---|---|---|---|---|
| 25 | Premolar | Closed | Trauma | Axial | OrthoMTA | 2 Weeks | Spontaneous pain |
| 25 | Premolar | Closed | Caries | Axial | OrthoMTA | 2 Weeks | Spontaneous pain |
| 26 | Molar | Closed | Caries | Occlusal | ProRoot MTA | 1 Month | Spontaneous pain and sensitivity to percussion |
| 28 | Molar | Closed | Caries | Axial | RetroMTA | 5 Months | Sinus tract formation and periapical radiolucency |
| 22 | Molar | Closed | Caries | Occlusal | RetroMTA | 58 Months | Sinus tract formation and periapical radiolucency |
| 39 | Molar | Closed | Caries | Axial | OrthoMTA | 59 Months | Periapical radiolucency |
| 37 | Premolar | Closed | Caries | Axial | ProRoot MTA | 59 Months | Periapical radiolucency |
Publisher’s Note: MDPI stays neutral with regard to jurisdictional claims in published maps and institutional affiliations. |
© 2021 by the authors. Licensee MDPI, Basel, Switzerland. This article is an open access article distributed under the terms and conditions of the Creative Commons Attribution (CC BY) license (http://creativecommons.org/licenses/by/4.0/).
Share and Cite
Kang, C.-M.; Seong, S.; Song, J.S.; Shin, Y. The Role of Hydraulic Silicate Cements on Long-Term Properties and Biocompatibility of Partial Pulpotomy in Permanent Teeth. Materials 2021, 14, 305. https://doi.org/10.3390/ma14020305
Kang C-M, Seong S, Song JS, Shin Y. The Role of Hydraulic Silicate Cements on Long-Term Properties and Biocompatibility of Partial Pulpotomy in Permanent Teeth. Materials. 2021; 14(2):305. https://doi.org/10.3390/ma14020305
Chicago/Turabian StyleKang, Chung-Min, Saemi Seong, Je Seon Song, and Yooseok Shin. 2021. "The Role of Hydraulic Silicate Cements on Long-Term Properties and Biocompatibility of Partial Pulpotomy in Permanent Teeth" Materials 14, no. 2: 305. https://doi.org/10.3390/ma14020305
APA StyleKang, C.-M., Seong, S., Song, J. S., & Shin, Y. (2021). The Role of Hydraulic Silicate Cements on Long-Term Properties and Biocompatibility of Partial Pulpotomy in Permanent Teeth. Materials, 14(2), 305. https://doi.org/10.3390/ma14020305

