The Impact of Nano-Al2O3 on the Physical and Strength Properties as Well as on the Morphology of Cement Composite Crack Surfaces in the Early and Later Maturation Age
Abstract
:1. Introduction
2. Materials and Methods
2.1. Materials Used
- −
- −
- Aggregate: Quartz sand, grain size up to 2 mm. Sands used followed the requirements of PN-EN 12620:2004. Producer: ZEK STRZEGOCICE II (Table 3).
- −
- Superplasticizer: Masterglenium 115—superplasticizer based on polycarboxyl ethers.
- −
- Aluminum nanoxide: nanoparticles whose grain size declared by the manufacturer is 40 nm (Table 4)
2.2. Experimental Methods
- −
- Testing the consistency of mortars employing the spreading table method after PN-EN 1015-3:2000 [43]. The measurement consisted of determining the sample flow diameter spread on the flow table. The diameter of the flow was measured in millimeters.
- −
- Flexural and compressive strength of testing mortars after 7, 28 and 90 days of mortar curing after PN-EN 1015-11:2001 [44]. The determination of flexural strength of mortars was carried out on three samples with dimensions of 40 × 40 × 160 mm3 using a testing machine. Compressive strength was determined on the halves of the three samples that remained after the mortar bending test.
- −
- Testing water absorption resulting from the capillary rise after 28 days of mortar curing after PN-EN 1015-18:2002 [45]. During the test, the moisture level of the samples that were placed in water from the water level in the vessel was determined, as well as the increase in the weight of the sample. The measurement was carried out on six halves of samples.
- −
- Absorption testing of mortars after 28 days of mortar curing after PN-B-04500:1985 [46]. During the test, the water mass that can be absorbed by a sample immersed in water under atmospheric pressure was determined. The measurement was carried out on three samples.
- −
- Analysis of the morphology of the fractured (in a flexural strength test) surfaces of the mortar sample fractures was performed using a Taylor Hobson Talysurf CLI 1000 laser profilometer (Taylor Hobson Ltd., Leicester, UK) with software and the “FRAKTAL_Dimension2D” program (J. Konkol, FRACTAL_Dimension2D, a program, 2000, Poland ) [47]. The surfaces were separated out by 20 profile lines of 30 mm each. The number of profile lines was selected based on the research described in [48]. The measurements were performed with a discretization step of 1 µm, resulting in 30,001 points describing the profile line. The fractal dimension D was determined by the enclosing boxes method and the total profile height of the Pt profile. The analysis was carried out in two ways, i.e., for the profile line, and for the roughness profile separated out from this line. This approach was aimed at finding a solution that is more sensitive to changes in the microstructure of hardened cement paste due to its modification with aluminum nanoxide. SEM studies of the microstructure of the hardened cement slurry performed with a JEOL 5500 LV scanning microscope (Joel, Peabody, MA, USA) were carried out. The observations were run on randomly selected fracture surfaces of the samples used in the fracture resistance tests. Samples for SEM tests, after being stuck to the table, were sputtered with gold.
2.3. Proportions of Cement Mortars
3. Results and Discussions
3.1. Consistency
3.2. Flexural Strength and Compressive Strength
3.3. Capillary Water Absorption
3.4. Water Absorption
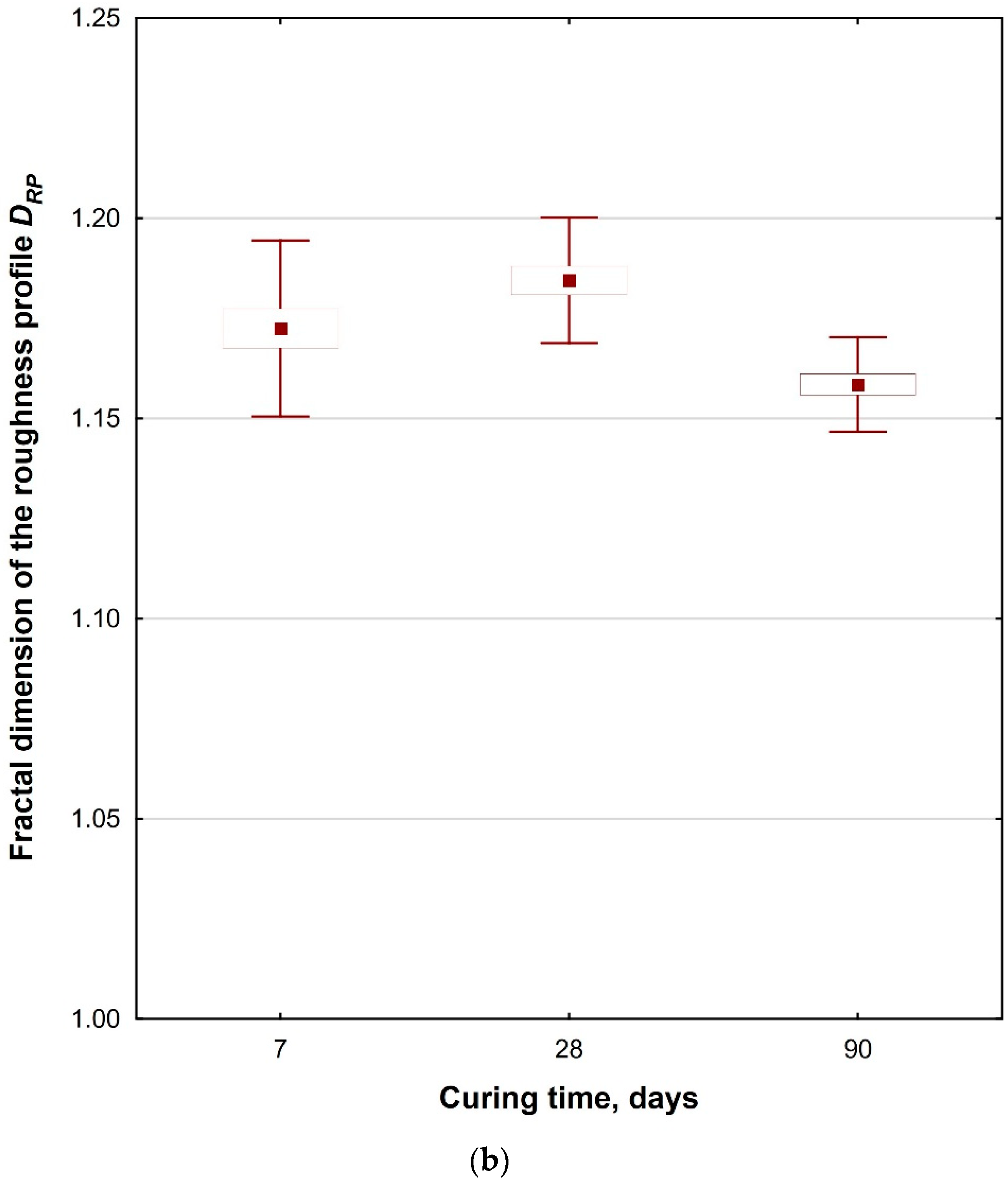
3.5. Morphological Analysis
4. Conclusions
- The addition of aluminum nanoxide as a partial replacement for cement affects the consistency of mortars. As the content of nano-Al2O3 increases, so does the water demand for the binder. In order to prevent this, an admixture based on polycarboxyates was used, which, in addition to the function of a dispersing agent, acted as liquefier.
- Aluminum nanoxide has a positive effect on the early compressive strength of mortars but also on the compressive strength of mortars after 28 and 90 days of curing compared with the reference mortar samples. The highest compressive strength of mortars modified with nano-Al2O3 is demonstrated by the mortar with the addition of 1% alumina nanoparticles. Compared with the reference mortar (MNA-0 series), the MNA-1 series mortar shows an increase in compressive strength after 7 days by about 20%. With the increase of the addition of aluminum nanoxide, the compressive strength of the mortars decreases, but it is still higher than the compressive strength of the reference mortars. The decrease in compressive strength is caused by the formation of nano-Al2O3 agglomerates in the structure of mortars. This phenomenon results from the high specific surface area of the alumina nanoparticles.
- The results of the qualitative analysis (F Snedecer–Fisher test) proved a statistically significant impact of independent variables (nano-Al2O3 proportion and mortar age) on the output values (flexural and compressive strengths). The multiple regression method employed additionally enabled a description of the dependencies in the form of regression models (1) and (2). The results revealed that in model (1) the impact of the variable of mortar age on mortar flexural strength prediction is about three times greater than that of the variable of nano-Al2O3 proportion. In model (2) the impact of nano-Al2O3 proportion turned out to be negligible.
- For compressive strength, models (3) and (4), obtained by means of a non-linear estimation method, yielded better fitting of the results of empirical tests to the expected ones and indicated the significance of the impact of the variable nano-Al2O3 proportion. The performed analysis confirms a more complex impact of nano-Al2O3 proportion, in particular on mortar flexural and compressive strengths. The proposed models are applicable to mortar design.
- Alumina nanoparticles have a positive effect on the capillary adsorption coefficient. Compared with the reference mortar, the capillarity of mortars modified with nano-Al2O3 is lower by about 15%. The lowest capillary adsorption coefficient was demonstrated by the series of MNA-1 mortar with 1% content of aluminum nanoxide. Compared with the reference mortar, the capillary adsorption coefficient of MNA-1 mortar is lower by 21%. The lower capillarity of mortars modified with nano-Al2O3 is mainly due to the filling of capillary pores with aluminum nanoxide particles.
- The results of the mortar absorbability tests showed a minor effect of the addition of alumina nanoparticles on the absorbability of the tested cement mortars. All the results are comparable and oscillate within 8.6%.
- Fractographic analysis showed a significant effect of the modifier in the form of alumina nanoparticles on the value of fractal dimension D and fractal dimension of DRP roughness profile. The lowest values of fractal dimension D of profile lines of fracture surfaces were obtained for mortars modified with nano-Al2O3. Smaller fractal dimension D proves the reduction of unevenness on the fracture surface and, at the same time, a more homogeneous structure of the hardened cementitious composites. Mortars for which flatter fracture surfaces were obtained were also mortars with higher compressive strength. The fractographic parameters traditionally used to describe roughness were also found to be insensitive to changes in mortar structure. The authors suggest that the fractal dimension of the profile line should be determined on the basis of the roughness profile analysis. This approach eliminates distortions resulting from profile line analysis that includes the waviness profile. This is confirmed by analyses of the change in the fractal dimension of the roughness profile during curing.
- Based on the results of multiple regression analysis performed in the format of the roughness profile fractal dimension, adopting the mortar age and nano-Al2O3 proportion as variables and for the adopted significance level of 0.05, dependence (5) was obtained that enables roughness profile fractal dimension DRP to be predicted. On the basis of model (5), it was stated that both mortar age and nano-Al2O3 proportion decrease the roughness profile fractal dimension. Lower profile roughness manifests a more homogeneous microstructure of hardened cement mortar and better sand grains to cement paste binding, which also corresponds to a higher flexural and compressive strengths of these mortars.
Author Contributions
Funding
Institutional Review Board Statement
Informed Consent Statement
Data Availability Statement
Acknowledgments
Conflicts of Interest
References
- Pacheco-Torgal, F.; Jalali, S. Nanotechnology: Advantages and Drawbacks in the Field of Construction and Building Materials. Constr. Build. Mater. 2011, 25, 582–590. [Google Scholar] [CrossRef] [Green Version]
- Sanchez, F.; Sobolev, K. Nanotechnology in Concrete—A Review. Constr. Build. Mater. 2010, 24, 2060–2071. [Google Scholar] [CrossRef]
- Amin, M.; El-Gamal, S.; Hashem, F. Fire Resistance and Mechanical Properties of Carbon Nanotubes—Clay Bricks Wastes (Homra) Composites Cement. Constr. Build. Mater. 2015, 98, 237–249. [Google Scholar] [CrossRef]
- Heikal, M.; Ali, A.I.; Ismail, M.N.; Ibrahim, S.A.N.S. Behavior of Composite Cement Pastes Containing Silica Nano-Particles at Elevated Temperature. Constr. Build. Mater. 2014, 70, 339–350. [Google Scholar] [CrossRef]
- El-Gamal, S.; Amin, M.; Ramadan, I.M.R. Hydration Characteristics and Compressive Strength of Hardened Cement Pastes Containing Nano-Metakaolin. HBRC J. 2017, 13, 114–121. [Google Scholar] [CrossRef] [Green Version]
- Tobón, J.; Payá, J.; Restrepo-Baena, O.J. Study of Durability of Portland Cement Mortars Blended with Silica Nanoparticles. Constr. Build. Mater. 2015, 80, 92–97. [Google Scholar] [CrossRef]
- Hashem, F.S.; Amin, M.S.; El-Gamal, S.M.A. Improvement of Acid Resistance of Portland Cement Pastes Using Rice Husk Ash and Cement Kiln Dust as Additives. J. Therm. Anal. Calorim. 2012, 111, 1391–1398. [Google Scholar] [CrossRef]
- Ismeal, R.; Silva, J.V.; Carmo, R.N.F. Influence of Nano-SiO2 and Nano-Al2O3 Additions on Steel-to-Concrete Bonding. Constr. Build. Mater. 2016, 125, 1080–1092. [Google Scholar] [CrossRef]
- Khalo, O.; Mobini, M.H.; Hosseini, P. Influence of Different Types of nano-SiO2 Particles on Properties of High-Performance Concrete. Constr. Build. Mater. 2016, 113, 188–201. [Google Scholar] [CrossRef]
- Horszczaruk, E. Role of Nanosalica in the Formation of the Properties of Cement Composites, State of the Art. Cem. Lime Concr. 2018, 6, 487–495. [Google Scholar]
- Niewiadomski, P. The Influence of SiO2, TiO2 and Al2O3 Nanoparticle Additives on Selected Parameters of Concrete Mix and Self-Compacting Concrete. Inform. Autom. Pomiary W Gospod. I Ochr. Śr. 2015, 5, 59–61. [Google Scholar] [CrossRef]
- Balapoura, M.; Joshaghani, A.F. Althoeya: Nano-SiO2 Contribution to Mechanical, Durability, Fresh and Microstructural Characteristics of Concrete: A Review. Constr. Build. Mater. 2018, 181, 27–41. [Google Scholar] [CrossRef]
- Shih, J.-Y.; Chang, T.-P.; Hsiao, T.-C. Effect of Nanosilica on Characterization of Portland Cement Composite. Mater. Sci. Eng. A 2006, 424, 266–274. [Google Scholar] [CrossRef]
- Mondal, P.; Shah, S.P.; Marks, L.D.; Gaitero, J.J. Comparative Study of the Effects of Microsilica and Nanosilica in Concrete. Transp. Res. Rec. 2010, 2141, 6–9. [Google Scholar]
- Nazari, A.; Riahi, S. Abrasion Resistance of Concrete Containing SiO2 and Al2O3 Nanoparticles in Different Curing Media. Energy Build. 2011, 43, 2939–2946. [Google Scholar] [CrossRef]
- Horszczaruk, E.; Łukowski, P.; Seul, C. Influence of Dispersing Method on the Quality of Nano-Admixtures Homogenization in Cement Matrix. Materials 2020, 13, 4865. [Google Scholar] [CrossRef]
- Sikora, P.; Augustyniak, A.; Cendrowski, K.; Horszczaruk, E.; Rucinska, T.; Nawrotek, P.; Mijowska, E. Characterization of Mechanical and Bactericidal Properties of Cement Mortars Containing Waste Glass Aggregate and Nanomaterials. Materials 2016, 9, 701. [Google Scholar] [CrossRef] [PubMed] [Green Version]
- Nazari, A.; Riahi, S. Effect of TiO2 on Properties of Self-Compacting Concrete. Cem. Lime Concr. 2011, 3, 167–181. [Google Scholar]
- Mohseni, E.; Naseri, F.; Amjadi, R.; Khotbehsara, M.M.; Ranjbar, M.M. Micro-Structure and Durability Properties of Cement Mortars Containing Nano-TiO2 and Rice Husk Ash. Constr. Build. Mater. 2016, 114, 656–664. [Google Scholar] [CrossRef]
- Chen, J.; Kou, S.-C.; Poon, C.-S. Hydration and Properties of Nano-TiO2 Blended Cement Composites. Cem. Concr. Compos. 2012, 34, 642–649. [Google Scholar] [CrossRef]
- Horszczaruk, E. Properties of Cement-Based Composites Modified with Magnetite Nanoparticles: A Review. Materials 2019, 12, 326. [Google Scholar] [CrossRef] [Green Version]
- Li, H.; Xiao, H.-G.; Yuan, J.; Ou, J. Microstructure of Cement Mortar with Nano-Particles. Compos. Part B Eng. 2004, 35, 185–189. [Google Scholar] [CrossRef]
- Li, Z.; Wang, H.; He, S.; Lu, Y.; Wang, M. Investigations on the Preparation and Mechanical Properties of the Nano-Alumina Reinforced Cement Composite. Mater. Lett. 2006, 60, 356–359. [Google Scholar] [CrossRef]
- Nazari, A.; Riahi, S. RETRACTED: Al2O3 Nanoparticles in Concrete and Different Curing Media. Energy Build. 2011, 43, 1480–1488. [Google Scholar] [CrossRef]
- Li, W.; Li, X.; Chen, S.J.; Long, G.; Liu, Y.M.; Duan, W.H. Effects of Nanoalumina and Graphene Oxide on Early-Age Hydration and Mechanical Properties of Cement Paste. J. Mater. Civ. Eng. 2017, 29, 04017087. [Google Scholar] [CrossRef]
- Farzadnia, N.; Ali, A.A.A.; Demirboga, R. Characterization of High Strength Mortars with Nano Alumina at Elevated Temperatures. Cem. Concr. Res. 2013, 54, 43–54. [Google Scholar] [CrossRef]
- Heikal, M.; Ismail, M.N.; Ibrahim, N.S. Physico-Mechanical, Microstructure Characteristics and Fire Resistance of Cement Pastes Containing Al2O3 Nano-Particles. Constr. Build. Mater. 2015, 91, 232–242. [Google Scholar] [CrossRef]
- Behfarnia, K.; Salemi, N. The Effects of Nano-Silica and Nano-Alumina on Frost Resistance of Normal Concrete. Constr. Build. Mater. 2013, 48, 580–584. [Google Scholar] [CrossRef]
- Yang, Z.; Gao, Y.; Mu, S.; Chang, H.; Sun, W.; Jiang, J. Improving the Chloride Binding Capacity of Cement Paste by Adding Nano-Al2O3. Constr. Build. Mater. 2019, 195, 415–422. [Google Scholar] [CrossRef]
- Chen, J.; Liang, C.; Li, B.; Wang, E.; Li, G.; Hou, X. The Effect of Nano-γAl2O3 Additive on Early Hydration of Calcium Aluminate Cement. Constr. Build. Mater. 2018, 158, 755–760. [Google Scholar] [CrossRef]
- Barbhuiya, S.; Mukherjee, S.; Nikraz, H. Effects of Nano-Al2O3 on Early-Age Microstructural Properties of Cement Paste. Constr. Build. Mater. 2014, 52, 189–193. [Google Scholar] [CrossRef]
- Hosseiniab, P.; Hosseinpourpiac, R.; Pajum, A.; Khodavirdi, M.M.; Izadi, H.; Vaezi, A. Effect of Nano-Particles and Aminosilane Interaction on the Performances of Cement-Based Composites: An Experimental Study. Constr. Build. Mater. 2014, 66, 113–124. [Google Scholar] [CrossRef]
- Roelofs, F.; Vogelsberger, W. Dissolution Kinetics of Nanodispersed γ-Alumina in Aqueous Solution at Different pH: Unusual Kinetic Size Effect and Formation of a New Phase. J. Colloid Interface Sci. 2006, 303, 450–459. [Google Scholar] [CrossRef]
- Mandelbrot, B.B. Fractals. Form, Chance and Dimension; Freeman: San Francisco, CA, USA, 1977. [Google Scholar]
- Winslow, D.N. The Fractal Nature of the Surface of Cement Paste. Cem. Concr. Res. 1985, 15, 817–824. [Google Scholar] [CrossRef]
- Saouma, V.E.; Barton, C.C. Fractals, Fractures, and Size Effects in Concrete. J. Eng. Mech. 1994, 120, 835–854. [Google Scholar] [CrossRef]
- Konkol, J.; Prokopski, G. Fracture Toughness and Fracture Surfaces Morphology of Metakaolinite-Modified Concrete. Constr. Build. Mater. 2016, 123, 638–648. [Google Scholar] [CrossRef]
- Yang, X.; Wang, F.; Yang, X.; Zhou, Q. Fractal Dimension in Concrete and Implementation for Meso-Simulation. Constr. Build. Mater. 2017, 143, 464–472. [Google Scholar] [CrossRef]
- Peng, J.; Wu, Z.; Zhao, G. Fractal Analysis of Fracture in Concrete. Theor. Appl. Fract. Mech. 1997, 27, 135–140. [Google Scholar] [CrossRef]
- Xie, H. Effects of Fractal Crack. Theor. Appl. Fract. Mech. 1995, 23, 235–244. [Google Scholar] [CrossRef]
- Yan, A.; Wu, K.; Zhang, X. A Quantitative Study on the Surface Crack Pattern of Concrete with High Content of Steel Fiber. Cem. Concr. Res. 2002, 32, 1371–1375. [Google Scholar] [CrossRef]
- Konkol, J. A Fractal Model of Cracking of Cement Matrix Composites. Buildings 2020, 10, 52. [Google Scholar] [CrossRef] [Green Version]
- PN-EN 1015-3:2000. Available online: https://sklep.pkn.pl/pn-en-1015-3-2000p.html (accessed on 31 December 2000).
- PN-EN 1015-11:2001. Available online: https://sklep.pkn.pl/pn-en-1015-11-2001p.html (accessed on 31 December 2001).
- BS-EN 1015-18:2002. Methods of Test for Mortar for Masonry. Determination of Water Absorption Coefficient Due to Capillary Action of Hardened Mortar; BSI: London, UK, 2002. [Google Scholar]
- PN-B-04500:1985. Available online: https://sklep.pkn.pl/pn-b-04500-1985p.html (accessed on 31 December 1985).
- Konkol, J. Fracture Toughness and Fracture Surface Morphology of Concretes Modified with Selected Additives of Pozzolanic Properties. Buildings 2019, 9, 174. [Google Scholar] [CrossRef] [Green Version]
- Konkol, J.; Prokopski, G. The Necessary Number of Profile Lines for the Analysis of Concrete Fracture Surfaces. Struct. Eng. Mech. 2007, 25, 565–576. [Google Scholar] [CrossRef]
- Dębińska, E. Wpływ Nanotlenków Glinu i Cynku na Parametry Świeżego i Stwardniałego Zaczynu Cementowego. Nafta-Gaz 2016, 72, 251–261. [Google Scholar] [CrossRef]
- Meddah, M.S.; Praveenkumar, T.R.; Vijayalakshmi, M.M.; Manigandan, S.; Arunachalamd, R. Mechanical and Microstructur-al Characterization of Rice Husk Ash and Al2O3 Nanoparticles Modified Cement Concrete. Constr. Build. Mater. 2020, 255, 119358. [Google Scholar] [CrossRef]
- Nazari, A.; Khalaj, G.; Rhai, S.; Khalaj, M.J. The Influence of Al2O3 Nanoparticles on the Properties of Traditional Concrete with Ground Granulated Blastfurnance Slag as Binder. Cem. Lime Concr. 2011, 6, 311–322. [Google Scholar]
- Zhou, J.; Zheng, K.; Liu, Z.; He, F. Chemical Effect of Nano-Alumina on Early-Age Hydration of Portland Cement. Cem. Concr. Res. 2019, 116, 159–167. [Google Scholar] [CrossRef]
- Oltulu, M.; Şahin, R. Effect of Nano-SiO2, Nano-Al2O3 and Nano-Fe2O3 Powders on Compressive Strengths and Capillary Water Absorption of Cement Mortar Containing Fly Ash: A Comparative Study. Energy Build. 2013, 58, 292–301. [Google Scholar] [CrossRef]
- Gowda, R.; Narendra, H.; Nagabushan, B.M.; Rangappa, D.; Prabhakara, R. Investigation of Nano-Alumina on the Effect of Durability and Microstructural Properties of the Cement Mortar. Mater. Today Proc. 2017, 4, 12191–12197. [Google Scholar] [CrossRef]
















| Chemical Properties | Requirements | Average Values |
|---|---|---|
| Loss on ignition (%) | max 5.00 | 2.95 |
| Insoluble parts (%) | max 5.00 | 0.75 |
| Sulphate content (as SO3) (%) | max 4.00 | 3.24 |
| Chloride content (as Cl− (%) | max 0.100 | 0.06 |
| Alkali content (as Na2Oeq) (%) | - | 0.75 |
| Physical Properties | Requirements | Average Values |
|---|---|---|
| Start of setting time (min) | min 60 | 182 |
| Compressive strength (MPa) | - | - |
| after 2 days | min 20.0 | 31.3 |
| after 28 days | 42.5−62.5 | 56.9 |
| Volume change (mm) | max 10 | 0.7 |
| Surface area | - | 4187 |
| Physical Properties | Values |
|---|---|
| Aggregate dimension | 0/2 |
| Granularity | GF85 |
| Aggregate grain density | 2.65 ± 0.05 (Mg/m³) |
| Petrographic composition | sedimentary rocks (sandstone, limestone—up to 1%)—less than 15% metamorphic rocks (quartzites)—over 85% igneous rocks—none |
| Physical Properties | Values |
|---|---|
| Physical state | Solid, powder |
| Purity | 99.99% |
| Surface area | 25 m2/g |
| Initial boiling point | 3000 °C |
| Relative density | 4 g/cm3 |
| Viscosity | Kinematic (40 °C): >0.205 cm2/s (>20.5 mm2/s) |
| Sample Designation | Cement, g | Sand, g | Water, g | Nano-Al2O3, g | SP, % of the Cement Mass |
|---|---|---|---|---|---|
| MNA-0 | 450 | 1350 | 225 | - | - |
| MNA-1 | 445 | 4.5 | 0.5 | ||
| MNA-2 | 441 | 9 | 1 | ||
| MNA-3 | 436.5 | 13.5 | 1.5 | ||
| MNA-4 | 432 | 18 | 2 |
| Sample Designation | Flexural Strength, MPa | Compressive Strength, MPa | ||||
|---|---|---|---|---|---|---|
| 7 Days | 28 Days | 90 Days | 7 Days | 28 Days | 90 Days | |
| MNA-0 | 6.1 ± 0.14 | 7.4 ± 0.33 | 7.8 ± 0.33 | 28.2 ± 0.30 | 36.9 ± 0.61 | 42.0 ± 0.65 |
| MNA-1 | 6.1 ± 0.17 | 7.5 ± 0.33 | 8.2 ± 0.12 | 34.1 ± 1.14 | 39.5 ± 0.42 | 47.3 ± 1.17 |
| MNA-2 | 6.0 ± 0.18 | 7.1 ± 0.33 | 8.0 ± 0.37 | 32.4 ± 0.51 | 40.0 ± 0.55 | 46.3 ± 0.73 |
| MNA-3 | 5.7 ± 0.09 | 6.8 ± 0.33 | 7.7 ± 0.10 | 31.6 ± 0.5 | 39.6 ± 0.78 | 44.6 ± 0.59 |
| MNA-4 | 5.6 ± 0.32 | 6.9 ± 0.33 | 7.2 ± 0.45 | 29.9 ± 1.28 | 36.8 ± 1.08 | 44.1 ± 1.07 |
| Sample Designation | Fractal Dimension D ± Standard Error of the Mean | Fractal Dimension of the DRP Roughness Profile ± Standard Error of the Mean | ||||
|---|---|---|---|---|---|---|
| 7 Days | 28 Days | 90 Days | 7 Days | 28 Days | 90 Days | |
| MNA-0 | 1.23 ± 0.005 | 1.24 ± 0.004 | 1.23 ± 0.009 | 1.23 ± 0.006 | 1.25 ± 0.006 | 1.24 ± 0.006 |
| MNA-1 | 1.17 ± 0.003 | 1.21 ± 0.005 | 1.18 ± 0.004 | 1.17 ± 0.005 | 1.18 ± 0.004 | 1.16 ± 0.003 |
| MNA-2 | 1.18 ± 0.005 | 1.19 ± 0,003 | 1.19 ± 0.007 | 1.17 ± 0.003 | 1.17 ± 0.006 | 1.15 ± 0.003 |
| MNA-3 | 1.15 ± 0.004 | 1.16 ± 0.005 | 1.16 ± 0.006 | 1.14 ± 0.004 | 1.17 ± 0.005 | 1.15 ± 0.004 |
| MNA-4 | 1.16 ± 0.004 | 1.19 ± 0.005 | 1.18 ± 0.004 | 1.17 ± 0.004 | 1.19 ± 0.003 | 1.16 ± 0.004 |
| Sample Designation | The Greatest Total Height of the Profile Pt (mm) ± Standard Error of the Mean | The Highest Total Height of the PtPR Roughness Profile (mm) ± Standard Error of the Mean | ||||
|---|---|---|---|---|---|---|
| 7 Days | 28 Days | 90 Days | 7 Days | 28 Days | 90 Days | |
| MNA-0 | 2.2 ± 0.12 | 1.9 ± 0.15 | 2.8 ± 0.27 | 0.8 ± 0.59 | 1.0 ± 0.16 | 1.0 ± 0.16 |
| MNA-1 | 2.9 ± 0.93 | 2.0 ± 0.16 | 2.0 ± 0.09 | 0.7 ± 0.05 | 1.2 ± 0.21 | 0.7 ± 0.04 |
| MNA-2 | 2.5 ± 0.26 | 1.5 ± 0.06 | 1.8 ± 0.10 | 0.92 ± 0.09 | 1.2 ± 0.35 | 0.7 ± 0.05 |
| MNA-3 | 1.9 ± 0.14 | 2.2 ± 0.21 | 2.4 ± 1.50 | 0.8 ± 0.12 | 1.9 ± 0.15 | 0.7 ± 0.05 |
| MNA-4 | 3.0 ± 0.16 | 1.9 ± 0.10 | 2.8 ± 0.20 | 0.9 ± 0.09 | 0.9 ± 0.08 | 0.7 ± 0.05 |
| Fractographic Parameter | The Critical Significance Level p for Mortar After | ||
|---|---|---|---|
| 7 Days | 28 Days | 90 Days | |
| Fractal dimension D | close to 0 | close to 0 | close to 0 |
| Fractal dimension of the roughness profile DRP | close to 0 | close to 0 | close to 0 |
| Largest overall profile height Pt | 0.34 | 0.008 | 0.099 |
| Largest overall height of the roughness profile PtPR | 0.39 | 0.64 | 0.018 |
| Sample Designation | Critical Significance Level p | |
|---|---|---|
| for the Fractal Dimension D | for the Fractal Dimension DRP | |
| MNA-0 | 0.187 | 0.056 |
| MNA-1 | close to 0 | close to 0 |
| MNA-2 | 0.241 | close to 0 |
| MNA-3 | 0.300 | close to 0 |
| MNA-4 | close to 0 | close to 0 |
Publisher’s Note: MDPI stays neutral with regard to jurisdictional claims in published maps and institutional affiliations. |
© 2021 by the authors. Licensee MDPI, Basel, Switzerland. This article is an open access article distributed under the terms and conditions of the Creative Commons Attribution (CC BY) license (https://creativecommons.org/licenses/by/4.0/).
Share and Cite
Iskra-Kozak, W.; Konkol, J. The Impact of Nano-Al2O3 on the Physical and Strength Properties as Well as on the Morphology of Cement Composite Crack Surfaces in the Early and Later Maturation Age. Materials 2021, 14, 4441. https://doi.org/10.3390/ma14164441
Iskra-Kozak W, Konkol J. The Impact of Nano-Al2O3 on the Physical and Strength Properties as Well as on the Morphology of Cement Composite Crack Surfaces in the Early and Later Maturation Age. Materials. 2021; 14(16):4441. https://doi.org/10.3390/ma14164441
Chicago/Turabian StyleIskra-Kozak, Wioleta, and Janusz Konkol. 2021. "The Impact of Nano-Al2O3 on the Physical and Strength Properties as Well as on the Morphology of Cement Composite Crack Surfaces in the Early and Later Maturation Age" Materials 14, no. 16: 4441. https://doi.org/10.3390/ma14164441
APA StyleIskra-Kozak, W., & Konkol, J. (2021). The Impact of Nano-Al2O3 on the Physical and Strength Properties as Well as on the Morphology of Cement Composite Crack Surfaces in the Early and Later Maturation Age. Materials, 14(16), 4441. https://doi.org/10.3390/ma14164441

