Characterization and Vibro-Acoustic Modeling of Wood Composite Panels
Abstract
1. Introduction
2. Materials and Methods
2.1. Characterization of the Panel’s Elastic Properties
2.2. Plate’s Radiation Efficiency
2.3. Plate’s Transmission Loss
3. Experimental Investigation
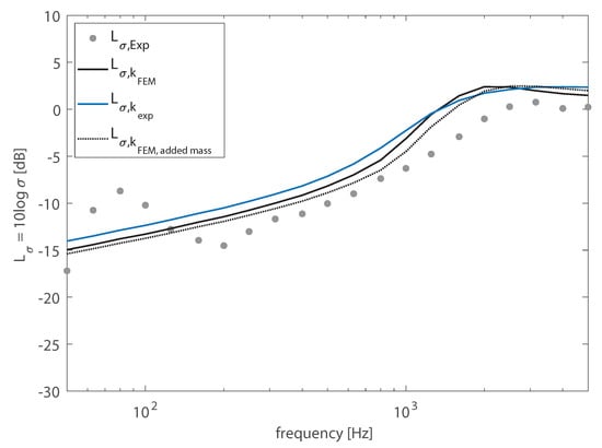
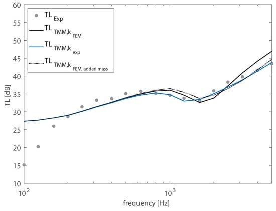
4. Results
5. Conclusions
Author Contributions
Funding
Acknowledgments
Conflicts of Interest
References
- Global Alliance for Buildings and Construction; International Energy Agency; United Nations Environment Programme. 2019 Global Status Report for Buildings and Construction: Towards a Zero-Emissions, Efficient and Resilient Buildings and Construction Sector; International Energy Agency: Paris, France, 2019. [Google Scholar]
- Asdrubali, F.; D’Alessandro, F.; Schiavoni, S. A review of unconventional sustainable building insulation materials. Sustain. Mater. Technol. 2015, 4, 1–17. [Google Scholar] [CrossRef]
- Asdrubali, F.; Schiavoni, S.; Horoshenkov, K. A review of sustainable materials for acoustic applications. Build. Acoust. 2012, 19, 283–311. [Google Scholar] [CrossRef]
- Santoni, A.; Bonfiglio, P.; Fausti, P.; Marescotti, C.; Mazzanti, V.; Mollica, F.; Pompoli, F. Improving the sound absorption performance of sustainable thermal insulation materials: Natural hemp fibers. Appl. Acoust. 2019, 150, 279–289. [Google Scholar] [CrossRef]
- Klyosov, A.A. Wood-Plastic Composites; John Wiley & Sons: Hooboken, NJ, USA, 2007. [Google Scholar]
- Lu, J.Z.; Wu, Q.; Negulescu, I.I. Wood-fiber/high-density-polyethylene composites: Coupling agent performance. Appl. Polym. Sci. 2005, 96, 93–102. [Google Scholar] [CrossRef]
- Schirp, A.; Stender, J. Properties of extruded wood-plastic composites based on refiner wood fibers (TMP fibers) and hemp fibers. Eur. J. Wood Wood Prod. 2010, 68, 219–231. [Google Scholar] [CrossRef]
- Englund, K.; Villechevrolle, V. Flexure and water sorption properties of wood thermoplastic composites made with polymer blends. Appl. Polym. Sci. 2011, 120, 1034–1039. [Google Scholar] [CrossRef]
- Mazzanti, V.; Mollica, F.; El Kissi, N. Rheological and mechanical characterization of polypropylene-basedwood plastic composites. Polym. Compos. 2016, 37, 3460–3473. [Google Scholar] [CrossRef]
- Mazzanti, V.; Mollica, F. In-line rheometry of polypropylene based wood polymer composites. Polym. Test. 2015, 47, 30–35. [Google Scholar] [CrossRef]
- Mazzanti, V.; Mollica, F. Pressure dependent wall slip of wood flour filled polymer melts. J. Non-Newton. Fluid Mech. 2017, 247, 178–187. [Google Scholar] [CrossRef]
- Migneault, S.; Koubaa, A.; Erchiqui, F.; Chaala, A.; Englund, K.; Wolcott, M.P. Effects of processing method and fiber size on the structure and properties of wood–plastic composites. Compos. Part A Appl. Sci. Manuf. 2009, 40, 80–85. [Google Scholar] [CrossRef]
- Ashori, A. Wood–plastic composites as promising green-composites for automotive industries! Bioresour. Technol. 2008, 99, 4661–4667. [Google Scholar] [CrossRef] [PubMed]
- Fan, M.; Fu, F. Introduction: A perspective–natural fiber composites in construction. In Advanced High Strength Natural Fibre Composites in Construction; Elsevier: Amsterdam, The Netherlands, 2017; pp. 1–20. [Google Scholar]
- Taufiq, M.; Mansor, M.R.; Mustafa, Z. Characterisation of wood plastic composite manufactured from kenaf fiber reinforced recycled-unused plastic blend. Compos. Struct. 2018, 189, 510–515. [Google Scholar] [CrossRef]
- Zhang, Y.; Xue, P.; Ding, Y.; Jia, M.; Cai, J.; Jin, X. Improvement of mechanical properties of wood-plastic composite floors based on the optimum structural design. Acta Mech. Solida Sin. 2016, 29, 444–454. [Google Scholar] [CrossRef]
- Qi, C.; Zhang, F.; Mu, J.; Zhang, Y.; Yu, Z. Enhanced mechanical and thermal properties of hollow wood composites filled with phase-change material. J. Clean. Prod. 2020, 256, 120373. [Google Scholar] [CrossRef]
- Santoni, A.; Bonfiglio, P.; Mollica, F.; Fausti, P.; Pompoli, F.; Mazzanti, V. Vibro-acoustic optimization of wood plastic composite systems. Constr. Build. Mater. 2018, 174, 730–740. [Google Scholar] [CrossRef]
- ASTM E756-05—Standard Test Method for Measuring Vibration-Damping Properties of Materials; Standard; ASTM International: West Conshohocken, PA, USA, 2010.
- Berthaut, J.; Ichchou, M.; Jezequel, L. K-space identification of apparent structural behavior. J. Sound Vib. 2005, 280, 1125–1131. [Google Scholar] [CrossRef]
- Ichchou, M.; Berthaut, J.; Collet, M. Multi-mode wave propagation in ribbed plates: Part I, wavenumber-space characteristics. Int. J. Solids Struct. 2008, 45, 1179–1195. [Google Scholar] [CrossRef]
- Ichchou, M.N.; Berthaut, J.; Collet, M. Multi-mode wave propagation in ribbed plates. Part II: Predictions and comparisons. Int. J. Solids Struct. 2008, 45, 1196–1216. [Google Scholar] [CrossRef]
- Van Damme, B.; Zemp, A. Measuring Dispersion Curves for Bending Waves in Beams: A Comparison of Spatial Fourier Transform and Inhomogeneous Wave Correlation. Acta Acust. United Acust. 2018, 114, 228–234. [Google Scholar] [CrossRef]
- Roozen, N.B.; Labelle, L.; Leclere, Q.; Ege, K.; Alvarado, S. Non-contact experimental assessment of apparent dynamic stiffness of constrained-layer damping sandwich plates in a broad frequency range using a Nd: YAG pump laser and a laser Doppler vibrometer. J. Sound Vib. 2017, 395, 90–101. [Google Scholar] [CrossRef]
- Santoni, A.; Bonfiglio, P.; Fausti, P.; Pompoli, F. Alternative method to the Oberst technique to measure the complex elastic modulus of visco-elastic materials. Noise Control Eng. J. 2019, 67, 1–10. [Google Scholar] [CrossRef]
- Tufano, G.; Errico, F.; Robin, O.; Droz, C.; Ichchou, M.; Pluymers, B.; Desmet, W.; Atalla, N. K-space analysis of complex large-scale meta-structures using the Inhomogeneous Wave Correlation method. Mech. Syst. Signal Process. 2020, 135, 106407. [Google Scholar] [CrossRef]
- Nilsson, A.; Liu, B. Vibro-Acoustics; Springer: Berlin/Heidelberg, Germany, 2016; Volume 2. [Google Scholar]
- Graff, K.F. Wave Motion in Elastic Solids; Dover Publications, Inc.: New York, NY, USA, 1991. [Google Scholar]
- Santoni, A.; Schoenwald, S.; Van Damme, B.; Fausti, P. Determination of the elastic and stiffness characteristics of cross-laminated timber plates from flexural wave velocity measurements. J. Sound Vib. 2017, 400, 387–401. [Google Scholar] [CrossRef]
- Santoni, A.; Schoenwald, S.; Fausti, P.; Tröbs, H.M. Modelling the radiation efficiency of orthotropic cross-laminated timber plates with simply-supported boundaries. Appl. Acoust. 2019, 143, 112–124. [Google Scholar] [CrossRef]
- Hashimoto, N. Measurement of sound radiation efficiency by the discrete calculation method. Appl. Acoust. 2001, 62, 429–446. [Google Scholar] [CrossRef]
- Allard, J.; Atalla, N. Propagation of Sound in Porous Media: Modelling Sound Absorbing Materials, 2nd ed.; John Wiley & Sons, Ltd.: Chichester, UK, 2009. [Google Scholar]
- Atalla, N. Modeling the sound transmission through complex structures with attached noise control materials. Wave Motion 2014, 51, 650–663. [Google Scholar] [CrossRef]
- Santoni, A.; Bonfiglio, P.; Fausti, P.; Schoenwald, S. Predicting sound radiation efficiency and sound transmission loss of orthotropic cross-laminated timber panels. In Proceedings of the Meetings on Acoustics 173EAA, Boston, MA, USA, 25–29 June 2017; Volume 30, p. 015013. [Google Scholar]
- Villot, M.; Guigou-Carter, C.; Gagliardini, L. Predicting the acoustical radiation of finite size multi-layered structures by applying spatial windowing on infinite structures. J. Sound Vib. 2001, 245, 433–455. [Google Scholar] [CrossRef]
- Vigran, T.E. Predicting the sound reduction index of finite size specimen by a simplified spatial windowing technique. J. Sound Vib. 2009, 325, 507–512. [Google Scholar] [CrossRef]
- Bonfiglio, P.; Pompoli, F.; Lionti, R. A reduced-order integral formulation to account for the finite size effect of isotropic square panels using the transfer matrix method. J. Acoust. Soc. Am. 2016, 139, 1773–1783. [Google Scholar] [CrossRef]
- Rhazi, D.; Atalla, N. Transfer matrix modeling of the vibroacoustic response of multi-materials structures under mechanical excitation. J. Sound Vib. 2010, 329, 2532–2546. [Google Scholar] [CrossRef]
- ISO 15186-1—Acoustics—Measurement of Sound Insulation in Buildings and of Building Elements Using Sound Intensity—Part 3: Laboratory Measurements; Standard; International Organization for Standardization: Geneva, Switzerland, 2003.
- Squicciarini, G.; Thompson, D.; Corradi, R. The effect of different combinations of boundary conditions on the average radiation efficiency of rectangular plates. J. Sound Vib. 2014, 333, 3931–3948. [Google Scholar] [CrossRef]








© 2020 by the authors. Licensee MDPI, Basel, Switzerland. This article is an open access article distributed under the terms and conditions of the Creative Commons Attribution (CC BY) license (http://creativecommons.org/licenses/by/4.0/).
Share and Cite
Santoni, A.; Bonfiglio, P.; Fausti, P.; Marescotti, C.; Mazzanti, V.; Pompoli, F. Characterization and Vibro-Acoustic Modeling of Wood Composite Panels. Materials 2020, 13, 1897. https://doi.org/10.3390/ma13081897
Santoni A, Bonfiglio P, Fausti P, Marescotti C, Mazzanti V, Pompoli F. Characterization and Vibro-Acoustic Modeling of Wood Composite Panels. Materials. 2020; 13(8):1897. https://doi.org/10.3390/ma13081897
Chicago/Turabian StyleSantoni, Andrea, Paolo Bonfiglio, Patrizio Fausti, Cristina Marescotti, Valentina Mazzanti, and Francesco Pompoli. 2020. "Characterization and Vibro-Acoustic Modeling of Wood Composite Panels" Materials 13, no. 8: 1897. https://doi.org/10.3390/ma13081897
APA StyleSantoni, A., Bonfiglio, P., Fausti, P., Marescotti, C., Mazzanti, V., & Pompoli, F. (2020). Characterization and Vibro-Acoustic Modeling of Wood Composite Panels. Materials, 13(8), 1897. https://doi.org/10.3390/ma13081897

