Photoconversion Mechanism at the pn-Homojunction Interface in Single Organic Semiconductor
Abstract
1. Introduction
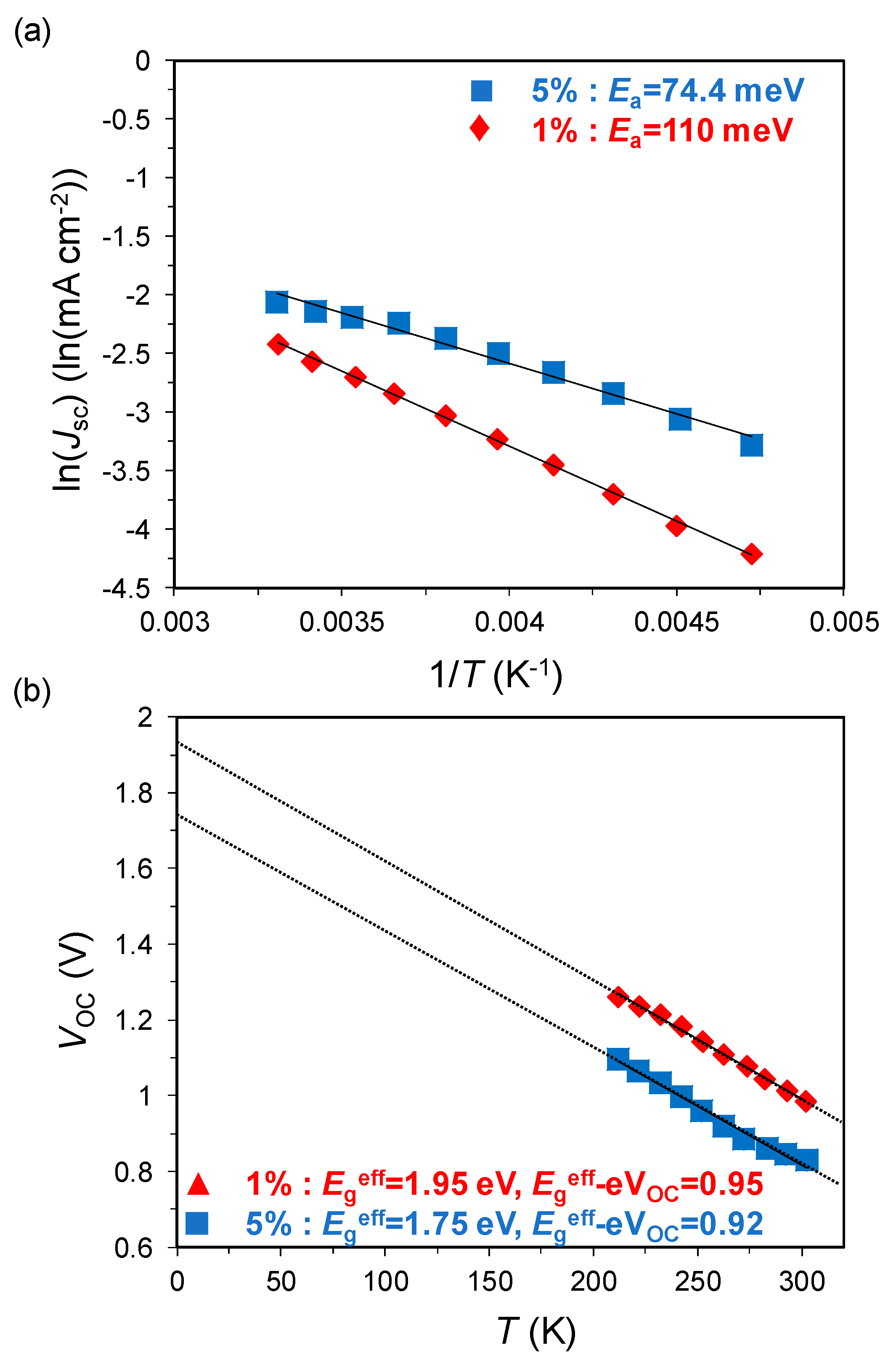
2. Results and Discussion
3. Conclusions
Supplementary Materials
Author Contributions
Funding
Acknowledgments
Conflicts of Interest
References
- Battaglia, C.; Cuevas, A. High-efficiency crystalline silicon solar cells: Status and perspectives. Energy Environ. Sci. 2016, 9, 1552–1576. [Google Scholar] [CrossRef]
- Clarke, T.M.; Durrant, J.R. Charge photogeneration in organic solar cells. Chem. Rev. 2010, 110, 6736–6767. [Google Scholar] [CrossRef] [PubMed]
- Hiramoto, M.; Kubo, M.; Shinmura, Y.; Ishiyama, N.; Kaji, T.; Sakai, K.; Ohno, T.; Izaki, M. bandgap science for organic solar cells. Electronics 2014, 3, 351–380. [Google Scholar] [CrossRef]
- Izawa, S.; Perrot, A.; Lee, J.H.; Hiramoto, M. Organic pn homojunction solar cell. Org. Electron. 2019, 71, 45–49. [Google Scholar] [CrossRef]
- Izawa, S.; Nakano, K.; Suzuki, K.; Hashimoto, K.; Tajima, K. Dominant effects of first monolayer energetics at donor/acceptor interfaces on organic photovoltaics. Adv. Mater. 2015, 27, 3025–3031. [Google Scholar] [CrossRef] [PubMed]
- Shintaku, N.; Hiramoto, M.; Izawa, S. Effect of trap-assisted recombination on open-circuit voltage loss in phthalocyanine/fullerene solar cells. Org. Electron. 2018, 55, 69–74. [Google Scholar] [CrossRef]
- Riedel, I.; Dyakonov, V. Influence of electronic transport properties of polymer-fullerene blends on the performance of bulk heterojunction photovoltaic devices. Phys. Status Solidi Appl. Res. 2004, 201, 1332–1341. [Google Scholar] [CrossRef]
- Gao, F.; Tress, W.; Wang, J.; Inganäs, O. Temperature dependence of charge carrier generation in organic photovoltaics. Phys. Rev. Lett. 2015, 114, 1–5. [Google Scholar] [CrossRef] [PubMed]
- Yamamoto, S.; Orimo, A.; Ohkita, H.; Benten, H.; Ito, S. Molecular understanding of the open-circuit voltage of polymer:Fullerene solar cells. Adv. Energy Mater. 2012, 2, 229–237. [Google Scholar] [CrossRef]
- Izawa, S.; Shintaku, N.; Hiramoto, M. Effect of band bending and energy level alignment at the donor/acceptor interface on open-circuit voltage in organic solar cells. J. Phys. Chem. Lett. 2018, 9, 2914–2918. [Google Scholar] [CrossRef] [PubMed]
- Ishii, H.; Hayashi, N.; Ito, E.; Washizu, Y.; Sugi, K.; Kimura, Y.; Niwano, M.; Ouchi, Y.; Seki, K. Kelvin probe study of band bending at organic semiconductor/metal interfaces: Examination of fermi level alignment. Phys. Status Solidi Appl. Res. 2004, 201, 1075–1094. [Google Scholar] [CrossRef]
- Shintaku, N.; Hiramoto, M.; Izawa, S. Doping for controlling open-circuit voltage in organic solar cells. J. Phys. Chem. C 2018, 122, 5248–5253. [Google Scholar] [CrossRef]
- Yamashina, Y.; Shinmura, Y.; Ishiyama, N.; Kaji, T.; Hiramoto, M. Mapping of band-bending in organic pn –homojunctions. J. Appl. Phys. 2015, 117, 125501. [Google Scholar] [CrossRef]
- Koster, L.J.A.; Kemerink, M.; Wienk, M.M.; Maturová, K.; Janssen, R.A.J. Quantifying bimolecular recombination losses in organic bulk heterojunction solar cells. Adv. Mater. 2011, 23, 1670–1674. [Google Scholar] [CrossRef] [PubMed]
- Nakano, K.; Chen, Y.; Xiao, B.; Han, W.; Huang, J.; Yoshida, H.; Zhou, E.; Tajima, K. Anatomy of the energetic driving force for charge generation in organic solar cells. Nat. Commun. 2019, 10, 2520. [Google Scholar] [CrossRef] [PubMed]
- Hegedus, S.S.; Shafarman, W.N. Thin-film solar cells: Device measurements and analysis. Prog. Photovolt. Res. Appl. 2004, 12, 155–176. [Google Scholar] [CrossRef]
- Burke, T.M.; Sweetnam, S.; Vandewal, K.; McGehee, M.D. Beyond Langevin recombination: How equilibrium between free carriers and charge transfer states determines the open-circuit voltage of organic solar Cells. Adv. Energy Mater. 2015, 5, 1500123. [Google Scholar] [CrossRef]
- Bussolotti, F.; Yang, J.; Yamaguchi, T.; Yonezawa, K.; Sato, K.; Matsunami, M.; Tanaka, K.; Nakayama, Y.; Ishii, H.; Ueno, N.; et al. Hole-phonon coupling effect on the band dispersion of organic molecular semiconductors. Nat. Commun. 2017, 8, 173. [Google Scholar] [CrossRef] [PubMed]
- Liu, C.; Minari, T.; Lu, X.; Kumatani, A.; Takimiya, K.; Tsukagoshi, K. Solution-processable organic single crystals with bandlike transport in field-effect transistors. Adv. Mater. 2011, 23, 523–526. [Google Scholar] [CrossRef] [PubMed]





© 2020 by the authors. Licensee MDPI, Basel, Switzerland. This article is an open access article distributed under the terms and conditions of the Creative Commons Attribution (CC BY) license (http://creativecommons.org/licenses/by/4.0/).
Share and Cite
Lee, J.-H.; Perrot, A.; Hiramoto, M.; Izawa, S. Photoconversion Mechanism at the pn-Homojunction Interface in Single Organic Semiconductor. Materials 2020, 13, 1727. https://doi.org/10.3390/ma13071727
Lee J-H, Perrot A, Hiramoto M, Izawa S. Photoconversion Mechanism at the pn-Homojunction Interface in Single Organic Semiconductor. Materials. 2020; 13(7):1727. https://doi.org/10.3390/ma13071727
Chicago/Turabian StyleLee, Ji-Hyun, Armand Perrot, Masahiro Hiramoto, and Seiichiro Izawa. 2020. "Photoconversion Mechanism at the pn-Homojunction Interface in Single Organic Semiconductor" Materials 13, no. 7: 1727. https://doi.org/10.3390/ma13071727
APA StyleLee, J.-H., Perrot, A., Hiramoto, M., & Izawa, S. (2020). Photoconversion Mechanism at the pn-Homojunction Interface in Single Organic Semiconductor. Materials, 13(7), 1727. https://doi.org/10.3390/ma13071727

