Abstract
In this paper, the temperature-dependent vibration damping in C/SiC fiber-reinforced ceramic-matrix composites (CMCs) with different fiber preforms under different vibration frequencies is investigated. A micromechanical temperature-dependent vibration damping model is developed to establish the relationship between composite damping, material properties, internal damage mechanisms, and temperature. The effects of fiber volume, matrix crack spacing, and interface properties on temperature-dependent composite vibration damping of CMCs and interface damage are analyzed. The experimental temperature-dependent composite damping of 2D and 3D C/SiC composites is predicted for different loading frequencies. The damping of the C/SiC composite increases with temperature to the peak value and then decreases with temperature. When the vibration frequency increases from f = 1 to 10 Hz, the peak value of composite damping and corresponding temperature both decrease due to the decrease of interface debonding and slip range, and the damping of 2D C/SiC is much higher than that of 3D C/SiC at temperature range from room temperature to 400 °C. When the fiber volume and interface debonding energy increase, the peak value of composite damping and the corresponding temperature decreases, mainly attributed to the decrease of interface debonding and slip range.
1. Introduction
Ceramic-matrix composites (CMCs) are the candidate materials for hot section components of aerospace vehicles, high thrust-to-weight-ratio aeroengines, satellite attitude control engines, ramjets, and thermal protection systems [1,2]. However, in the above applications, there exist vibration and noise problems. Failure analysis of rockets and satellites shows that about two-thirds of the failures are related to vibration and noise, leading to reduced operational control accuracy, structural fatigue damage, and shortened safety life [3]. Therefore, studying the damping performance of CMCs and improving their reliability in the service environment of vibration and noise is an important guarantee for the safe service of CMCs in various fields [4].
Compared with metals and alloys, CMCs have many unique damping mechanisms due to their internal structure and complex damage mechanisms [5,6,7,8]. The damping properties of composites are usually much more complicated than homogenous material. Temperature, moisture, loading frequency, and wave form affect the damping of composites [9,10]. During manufacturing and service, cracks might occur in the matrix, fiber, and interface both between fiber/matrix and neighboring plies [11]. Friction slip in the interface debonding region among matrix crack space consumes energy [12]. The internal friction of CMCs is affected by fabrication method [10], interphase thickness [13], oxidation [14], coating, and heat treatment [15,16]. Holmes and Cho [17] developed an analytical model for predicting energy dissipation of SiC/CAS-II during a cycle based on the interfacial friction slip mechanisms. The energy dissipation corresponding to each cycle depends on stress level, matrix crack spacing, and interface frictional shear stress. Li [18] investigated internal frictional behavior of C/SiC considering fiber failure and developed temperature- and time-dependent damage models for matrix cracking [19,20]. The dynamic properties extracted from vibration response of damaged composites can be used for damage monitoring, and these include natural frequencies, mode shape, and damping. Li [21] established a relationship between natural frequency, critical rotation speed, and internal damage inside CMCs. Kyriazoglou et al. [22] measured and analyzed the specific damping capacity (SDC) of composite beams in flexure before and after quasi-static loading or fatigue damage. Zhang and Hartwig [23] detected a damping plateau from fatigue cycles in epoxy composites due to energy balance between fatigue load input and damage dissipation. However, in the research mentioned above, the synergistic effects of vibration frequency and fiber preform on temperature-dependent vibration damping of fiber-reinforced CMCs was not established.
In this paper, a micromechanical vibration damping model is developed to analyze the temperature-dependent damping of C/SiC composites with different fiber preforms under different loading frequencies. The relationships between composite damping, internal damage, and temperature are established considering different material properties and damage states. The experimental temperature-dependent damping of 2D and 3D C/SiC under vibration frequencies of f = 1, 2, 5, and 10 Hz is predicted.
2. Temperature-Dependent Damping Models
When a solid vibrates, its kinetic and strain energies transform mutually. The largest strain energy, equaling the entire energy driving vibration, determines the intensities of deformation or vibration of the structure. The proportion of energy consumed during one vibration cycle is directly associated with the vibration attenuation rate, which is also known as damping. The composite damping is given by: [7]
where Ud and U are dissipated energy density and maximum strain energy per cycle, respectively.
For CMCs without damage, the temperature-dependent composite damping (ηa) is obtained as:
where ηf and ηm denote fiber and matrix damping, respectively; Vf and Vm are the volume of fiber and matrix, respectively; and Ef(T) and Em(T) are the temperature-dependent elastic modulus of fiber and matrix, respectively.
When damage occurs inside of CMCs, the effective temperature-dependent matrix elastic modulus () is obtained as:
where τi(T) is the temperature-dependent interface shear stress; rf is fiber radius; Ec(T) is the temperature-dependent longitudinal modulus of intact composite material; lc(T) is the temperature-dependent matrix crack spacing; and Δσ is applied stress range (Δσ = 2σ).
where ω is a vibration frequency.
For damaged CMCs, the energy dissipation during each vibration cycle contributes to the composite damping (ηb), which is given by:
where
where Ud_u(T) and Ud_r(T) are the temperature-dependent dissipated energy density upon unloading and reloading, respectively, and Uf(T) and Um(T) are the temperature-dependent fiber and matrix strain energy density, respectively.
where ld(T), ly(T), and lz(T) are temperature-dependent interface debonding length, counter slip length, and new slip length, respectively; ρ is shear-lag model parameter; and σfo(T) and σmo(T) are temperature-dependent fiber and matrix axial stress in the interface bonding region, respectively.
where ξd(T) denotes temperature-dependent interface debonding energy; αlf(T), αlm(T), and αlc(T) are temperature-dependent fiber, matrix, and composite axial thermal expansion coefficient, respectively; and ΔT denotes temperature difference between testing temperature (T) and fabricated temperature (T0).
The total temperature-dependent composite damping (ηc) can be determined as:
where ηa and ηb can be determined by Equations (2) and (5), respectively.
3. Results and Discussion
The material properties of the C/SiC composite are given by: Vf = 0.3, rf = 3.5 μm, ξd = 0.1 J/m2, ηf = 0.002, ηm = 0.001, and T0 = 1000 °C, and the temperature-dependent constituent properties are given by [24,25,26,27,28]:
where τ0 is the steady-state interface shear stress; μ is the interface frictional coefficient; αrf and αrm denote the temperature-dependent fiber and matrix radial thermal expansion coefficient, respectively; and A is a constant depending on the elastic properties of the matrix and the fiber.
where Tr denotes the reference temperature; T0 denotes the fabricated temperature; and ξdr denotes the interface debonding energy at the reference temperature of Tr.
The effects of material properties and damage state on temperature-dependent composite damping and interface damage of the C/SiC composite are analyzed.
3.1. Effect of Fiber Volume on Temperature-Dependent Damping of C/SiC Composite
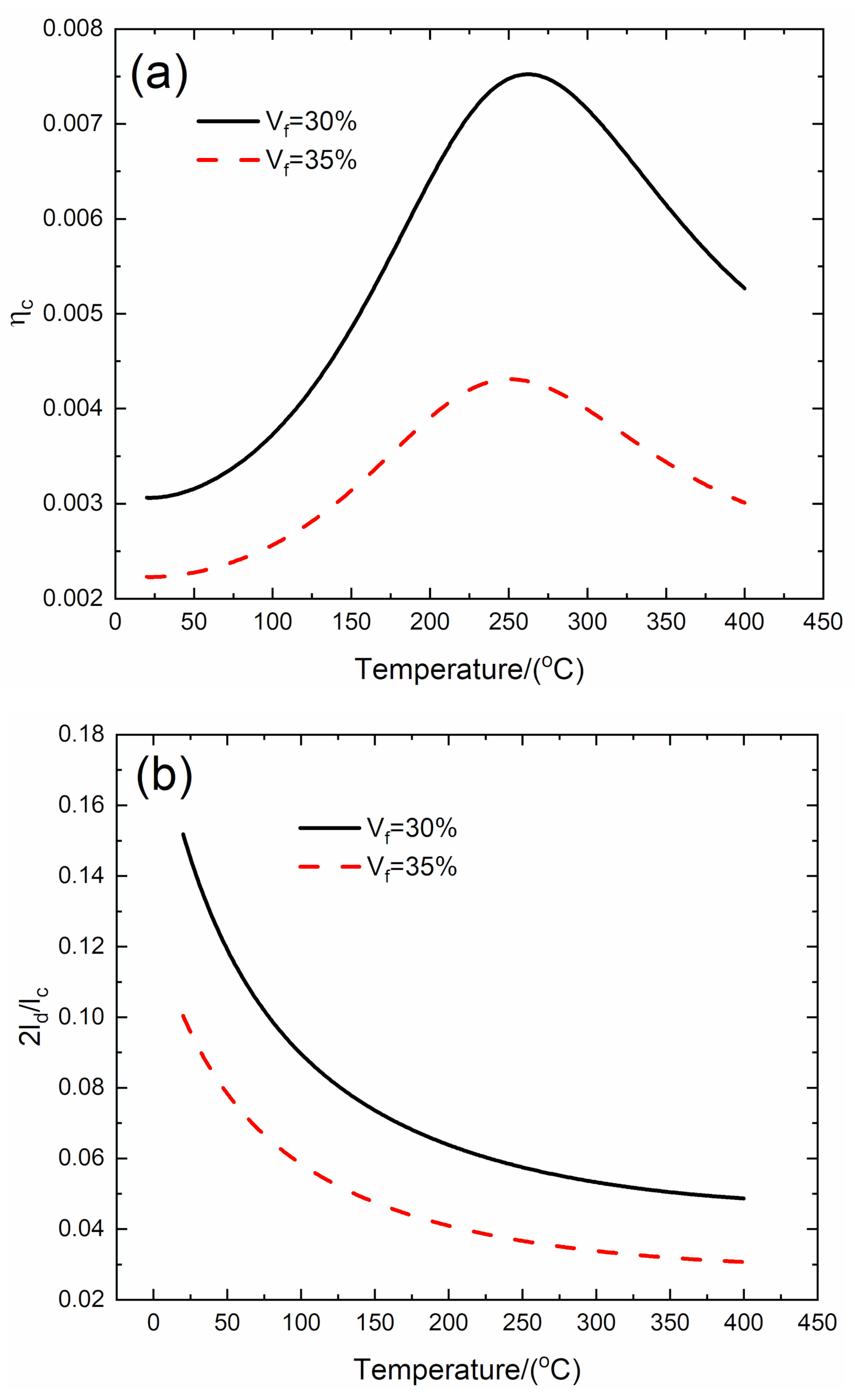
The effect of fiber volume (Vf = 30% and 35%) on temperature-dependent composite damping (ηc), interface debonding, and slip length (2ld/lc, 2ly/lc) versus temperature curves of the C/SiC composite is analyzed for the temperature range from room temperature (T = 20 °C) to elevated temperature of T = 400 °C, as shown in Figure 1 and Table 1.

Figure 1.
Effect of fiber volume (Vf = 30% and 35%) on (a) the temperature-dependent composite damping (ηc) versus temperature curves; (b) the temperature-dependent interface debonding length (2ld/lc) versus temperature curves; and (c) the temperature-dependent interface slip length (2ly/lc) versus temperature curves of C/SiC composite.
Table 1.
Temperature-dependent composite damping, interface debonding, and slip length of C/SiC composite for different fiber volumes.
When Vf = 30%, the temperature-dependent composite damping (ηc) increases from ηc = 0.00306 at T = 20 °C to peak value ηc = 0.00752 at T = 262 °C and decreases to ηc = 0.00527 at T = 400 °C; the temperature-dependent interface debonding length (2ld/lc) decreases from 2ld/lc = 0.152 at T = 20 °C to 2ld/lc = 0.048 at T = 400 °C; and the temperature-dependent interface slip length (2ly/lc) decreases from 2ly/lc = 0.15 at T = 20 °C to 2ly/lc = 0.048 at T = 400 °C.
When Vf = 35 %, the temperature-dependent composite damping (ηc) increases from ηc = 0.00223 at T = 20 °C to peak value ηc = 0.00431 at T = 250 °C, and decreases to ηc = 0.00301 at T = 400 °C; the temperature-dependent interface debonding length (2ld/lc) decreases from 2ld/lc = 0.1 at T = 20 °C to 2ld/lc = 0.03 at T = 400 °C; and the temperature-dependent interface slip length (2ly/lc) decreases from 2ly/lc = 0.1 at T = 20 °C to 2ly/lc = 0.03 at T = 400 °C.
At the temperature range from room temperature (T = 20 °C) to elevated temperature of T = 400 °C, the temperature-dependent composite damping of the C/SiC composite increases with temperature to the peak value first and then decreases with temperature. When the fiber volume increases from Vf = 30% to 35%, the temperature-dependent peak value damping of the C/SiC composite (ηc) decreases from ηc = 0.00752 to ηc = 0.00431, and the corresponding temperature for the peak value damping of the C/SiC composite decreases from T = 262 °C to T = 250 °C, mainly attributed to the decrease of interface debonding and slip length.
3.2. Effect of Matrix Crack Spacing on Temperature-Dependent Damping of C/SiC Composite
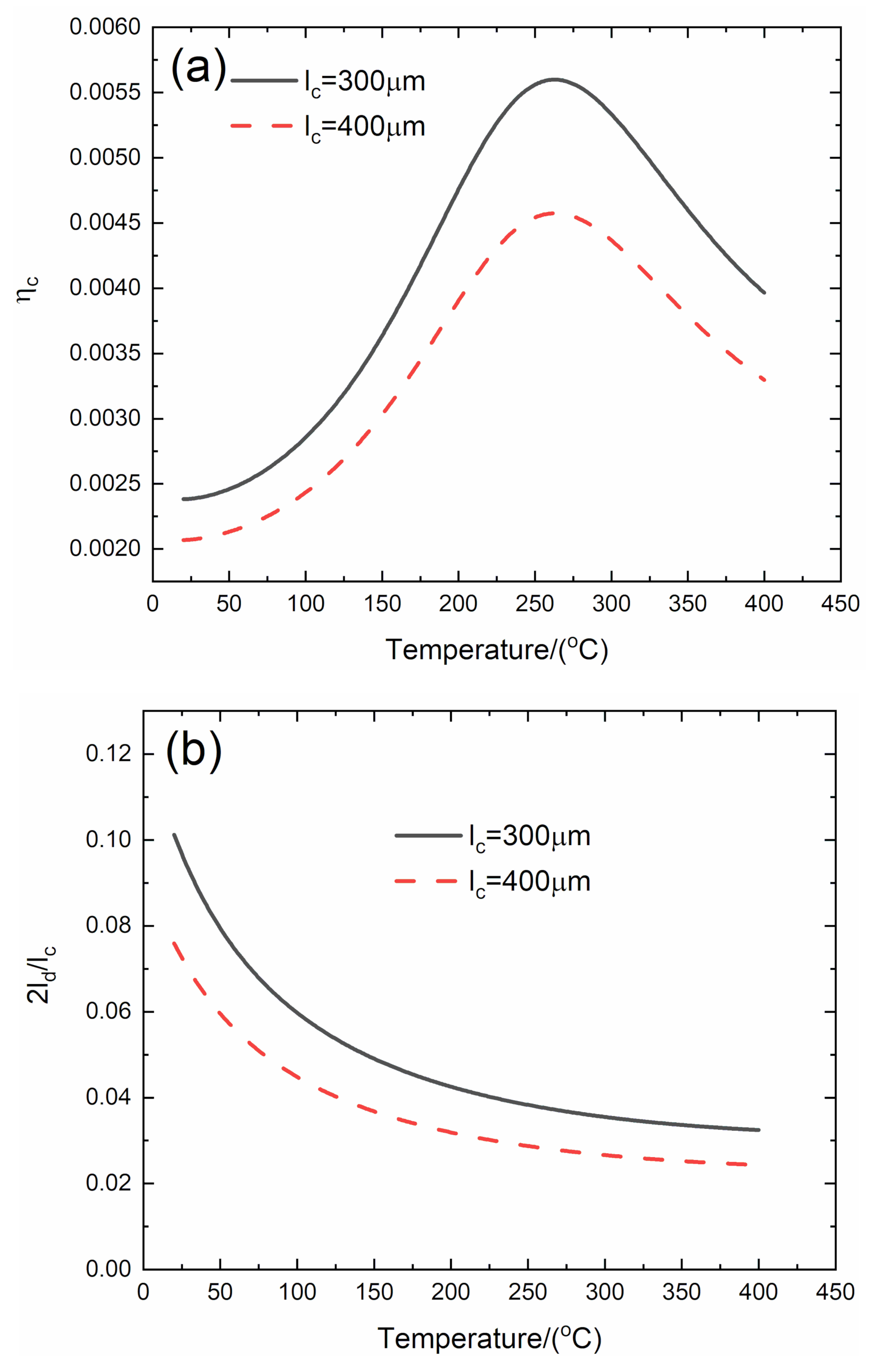
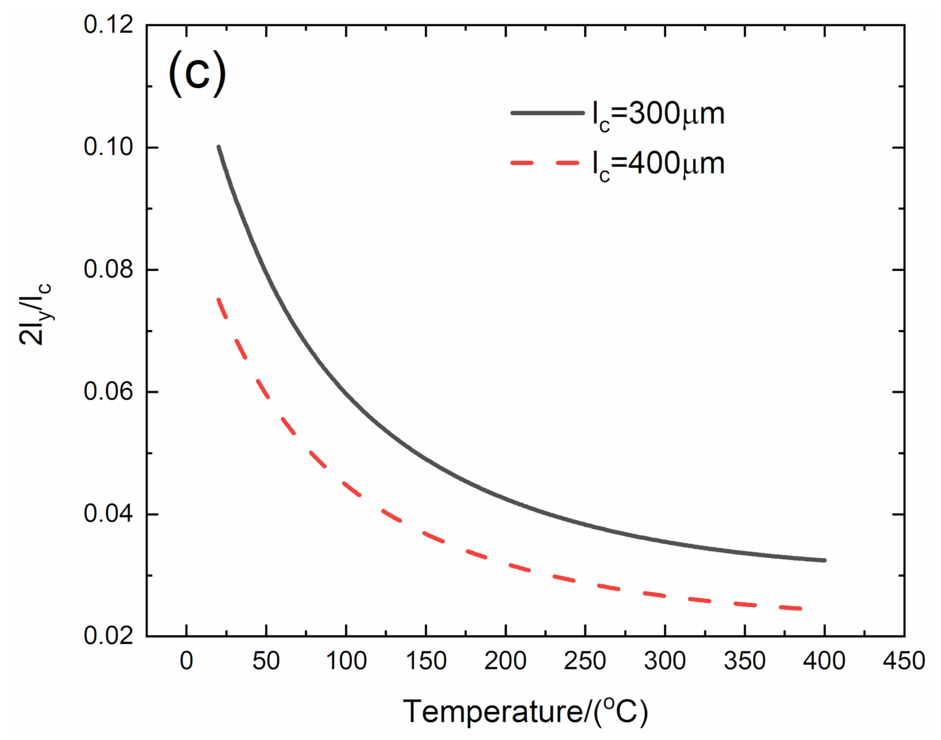
The effect of matrix crack spacing (lc = 300 and 400 μm) on temperature-dependent composite damping (ηc), interface debonding, and slip length (2ld/lc, 2ly/lc) versus temperature curves of the C/SiC composite is analyzed for the temperature range from room temperature (T = 20 °C) to elevated temperature of T = 400 °C, as shown in Figure 2 and Table 2.

Figure 2.
Effect of matrix crack spacing (lc = 300 and 400 μm) on (a) the temperature-dependent composite damping (ηc) versus temperature curves; (b) the temperature-dependent interface debonding length (2ld/lc) versus temperature curves; and (c) the temperature-dependent interface slip length (2ly/lc) versus temperature curves of C/SiC composite.
Table 2.
Temperature-dependent composite damping, interface debonding, and slip length of C/SiC composite for different matrix crack spacing.
When lc = 300 μm, the temperature-dependent composite damping (ηc) increases from ηc = 0.00238 at T = 20 °C to peak value ηc = 0.0056 at T = 263 °C and decreases to ηc = 0.00397 at T = 400 °C; the temperature-dependent interface debonding length (2ld/lc) decreases from 2ld/lc = 0.101 at T = 20 °C to 2ld/lc = 0.032 at T = 400 °C; and the temperature-dependent interface slip length (2ly/lc) decreases from 2ly/lc = 0.1 at T = 20 °C to 2ly/lc = 0.032 at T = 400 °C.
When lc = 400 μm, the temperature-dependent composite damping (ηc) increases from ηc = 0.00207 at T = 20 °C to peak value ηc = 0.00458 at T = 263 °C and decreases to ηc = 0.00207 at T = 400 °C; the temperature-dependent interface debonding length (2ld/lc) decreases from 2ld/lc = 0.0759 at T = 20 °C to 2ld/lc = 0.0243 at T = 400 °C; and the temperature-dependent interface slip length (2ly/lc) decreases from 2ly/lc = 0.0751 at T = 20 °C to 2ly/lc =0.0243 at T = 400 °C.
When matrix crack spacing increases from lc = 300 to 400 μm, the peak damping of the C/SiC composite decreases from ηc = 0.0056 to ηc = 0.00458, and the interface debonding and slip length at the same temperature also decrease.
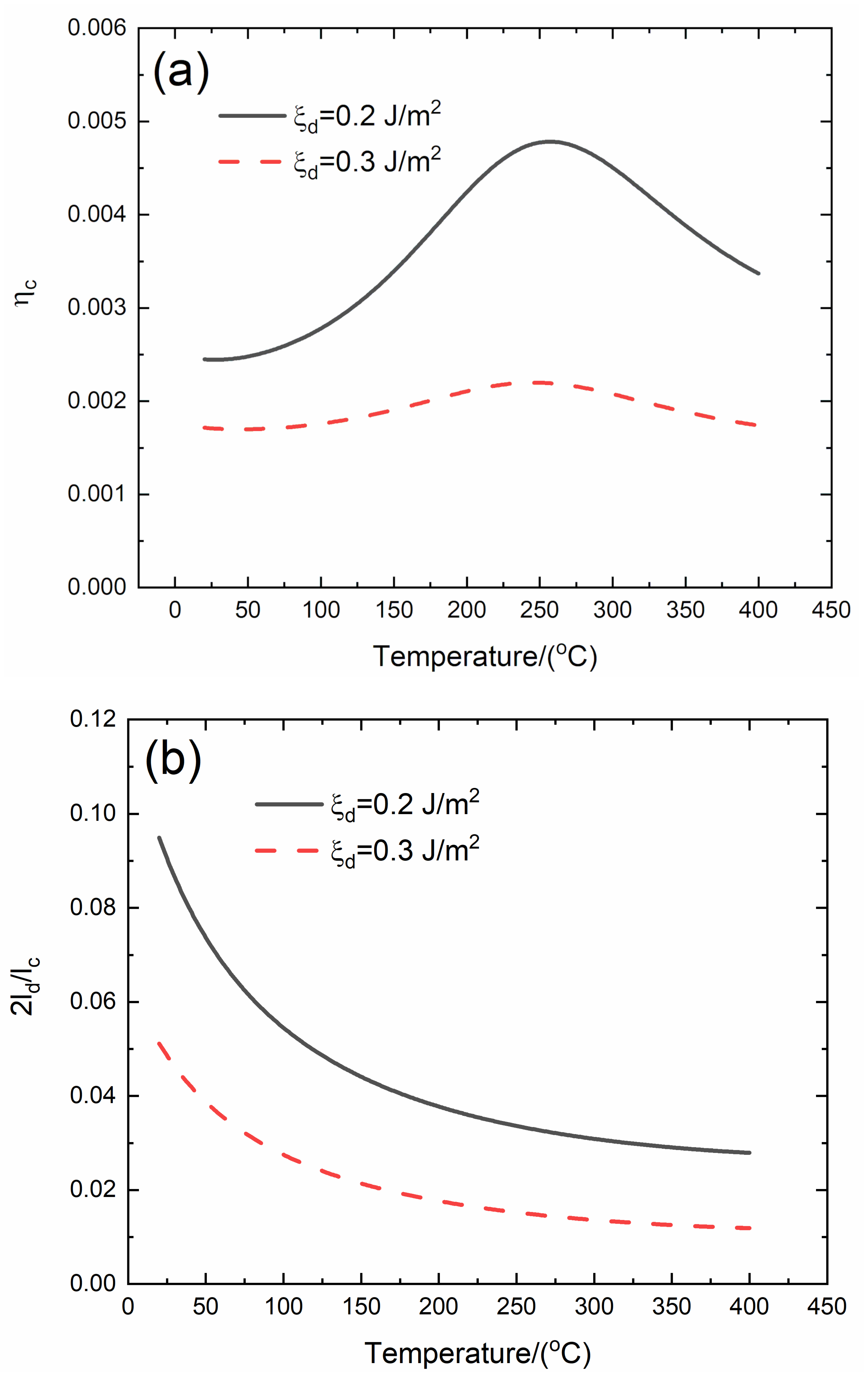
3.3. Effect of Interface Debonding Energy on Temperature-Dependent Damping of C/SiC Composite
The effect of interface debonding energy (ξd = 0.2 and 0.3 J/m2) on temperature-dependent composite damping (ηc), interface debonding, and slip length (2ld/lc, 2ly/lc) versus temperature curves of the C/SiC composite is analyzed for the temperature range from room temperature (T = 20 °C) to elevated temperature of T = 400 °C, as shown in Figure 3 and Table 3.

Figure 3.
Effect of interface debonding energy (ξd = 0.2 and 0.3 J/m2) on (a) the temperature-dependent composite damping (ηc) versus temperature curves; (b) the temperature-dependent interface debonding length (2ld/lc) versus temperature curves; and (c) the temperature-dependent interface slip length (2ly/lc) versus temperature curves of C/SiC composite.
Table 3.
Temperature-dependent composite damping, interface debonding, and slip length of C/SiC composite for different interface debonding energy.
When ξd = 0.2 J/m2, the temperature-dependent composite damping (ηc) increases from ηc = 0.00245 at T = 20 °C to peak value ηc = 0.00478 at T = 256 °C and decreases to ηc = 0.00337 at T = 400 °C; the temperature-dependent interface debonding length (2ld/lc) decreases from 2ld/lc = 0.0949 at T = 20 °C to 2ld/lc = 0.0279 at T = 400 °C; and the temperature-dependent interface slip length (2ly/lc) decreases from 2ly/lc = 0.0949 at T = 20 °C to 2ly/lc = 0.0279 at T = 400 °C.
When ξd = 0.3 J/m2, the temperature-dependent composite damping (ηc) increases from ηc = 0.00172 at T = 20 °C to peak value ηc = 0.0022 at T = 245 °C and then decreases to ηc = 0.00174 at T = 400 °C; the temperature-dependent interface debonding length (2ld/lc) decreases from 2ld/lc = 0.0511 at T = 20 °C to 2ld/lc = 0.0118 at T = 400 °C; and the temperature-dependent interface slip length (2ly/lc) decreases from 2ly/lc = 0.0511 at T = 20 °C to 2ly/lc = 0.0118 at T = 400 °C.
When interface debonding energy increases from ξd =0.2 to 0.3 J/m2, the peak damping of the C/SiC composite decreases from ηc =0.00478 to ηc =0.0022, and the corresponding temperature for peak damping decreases from T = 256 to T =245 °C, and the interface debonding and slip length at the same temperature also decrease.
3.4. Effect of Steady-State Interface Shear Stress on Temperature-Dependent Damping of C/SiC Composite
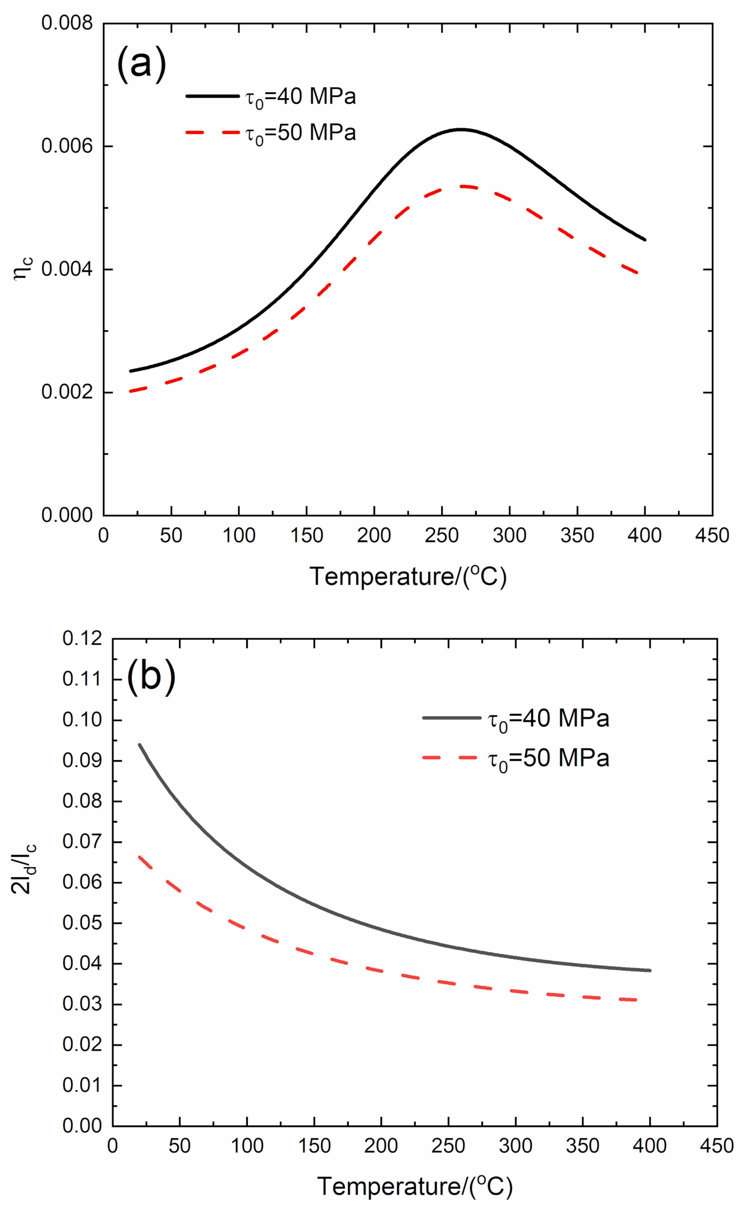
The effect of steady-state interface shear stress (τ0 = 40 and 50 MPa) on temperature-dependent composite damping (ηc), interface debonding, and slip length (2ld/lc, 2ly/lc), and interface slip length versus temperature curves of the C/SiC composite are analyzed for the temperature range from room temperature (T = 20 °C) to elevated temperature of T = 400 °C, as shown in Figure 4 and Table 4.

Figure 4.
Effect of steady-state interface shear stress (τ0 = 40 and 50 MPa) on (a) the temperature-dependent composite damping (ηc) versus temperature curves; (b) the temperature-dependent interface debonding length (2ld/lc) versus temperature curves; and (c) the temperature-dependent interface slip length (2ly/lc) versus temperature curves of C/SiC composite.
Table 4.
Temperature-dependent composite damping, interface debonding, and slip length of C/SiC composite for different steady-state interface shear stress.
When τ0 = 40 MPa, the temperature-dependent composite damping (ηc) increases from ηc = 0.00235 at T = 20 °C to peak value ηc = 0.00627 at T = 264 °C and decreases to ηc = 0.00448 at T = 400 °C; the interface debonding length (2ld/lc) decreases from 2ld/lc = 0.094 at T = 20 °C to 2ld/lc = 0.038 at T = 400 °C; and the interface slip length (2ly/lc) decreases from 2ly/lc = 0.094 at T = 20 °C to 2ly/lc = 0.038 at T = 400 °C.
When τ0 = 50 MPa, the temperature-dependent composite damping (ηc) increases from ηc = 0.00202 at T = 20 °C to peak value ηc = 0.00535 at T = 265 °C and decreases to ηc = 0.00389 at T = 400 °C; the temperature-dependent interface debonding length (2ld/lc) decreases from 2ld/lc = 0.0663 at T = 20 °C to 2ld/lc = 0.0309 at T = 400 °C; and the temperature-dependent interface slip length (2ly/lc) decreases from 2ly/lc = 0.0663 at T = 20 °C to 2ly/lc = 0.0309 at T = 400 °C.
When the steady-state interface shear stress increases from τ0 = 40 to 50 MPa, the peak damping of the C/SiC composite decreases from ηc = 0.00627 to ηc = 0.00535, and the interface debonding and slip length at the same temperature also decrease.
4. Experimental Comparisons
Wang et al. [15] investigated damping capacity of 2D and 3D T-300TM C/SiC composites at different vibration frequencies. The 2D C/SiC composite is prepared by laminating 1K T-300 woven carbon fabrics, and the 3D C/SiC composite is prepared by braiding 3K T-300 carbon fibers in a four-step method. The volume of fiber was about 40% and the fiber diameter is 7.0 μm. The C/SiC with the PyC interphase was fabricated using chemical vapor infiltration (CVI). The deposition conditions of PyC interlayer were as follows: temperature 960 °C, pressure 5 kPa, Ar flow 200 ml/min, and butane flow 15 ml/min. The infiltration conditions of the SiC matrix were as follows: temperature 1000 °C, pressure 5 kPa, time 120 h, H2 flow 350 ml/min, Ar flow 350 ml/min, and molar ratio of H2 and MTS 10. A Dynamical Mechanical Analyzer (DMA 2980) made by TA company, USA, was used for damping measurements of the C/SiC composite. All of the measurements were performed in air atmosphere from room temperature to 400 °C, and the testing frequencies were f = 1, 2, 5, and 10 Hz.
4.1. 2D C/SiC Composite
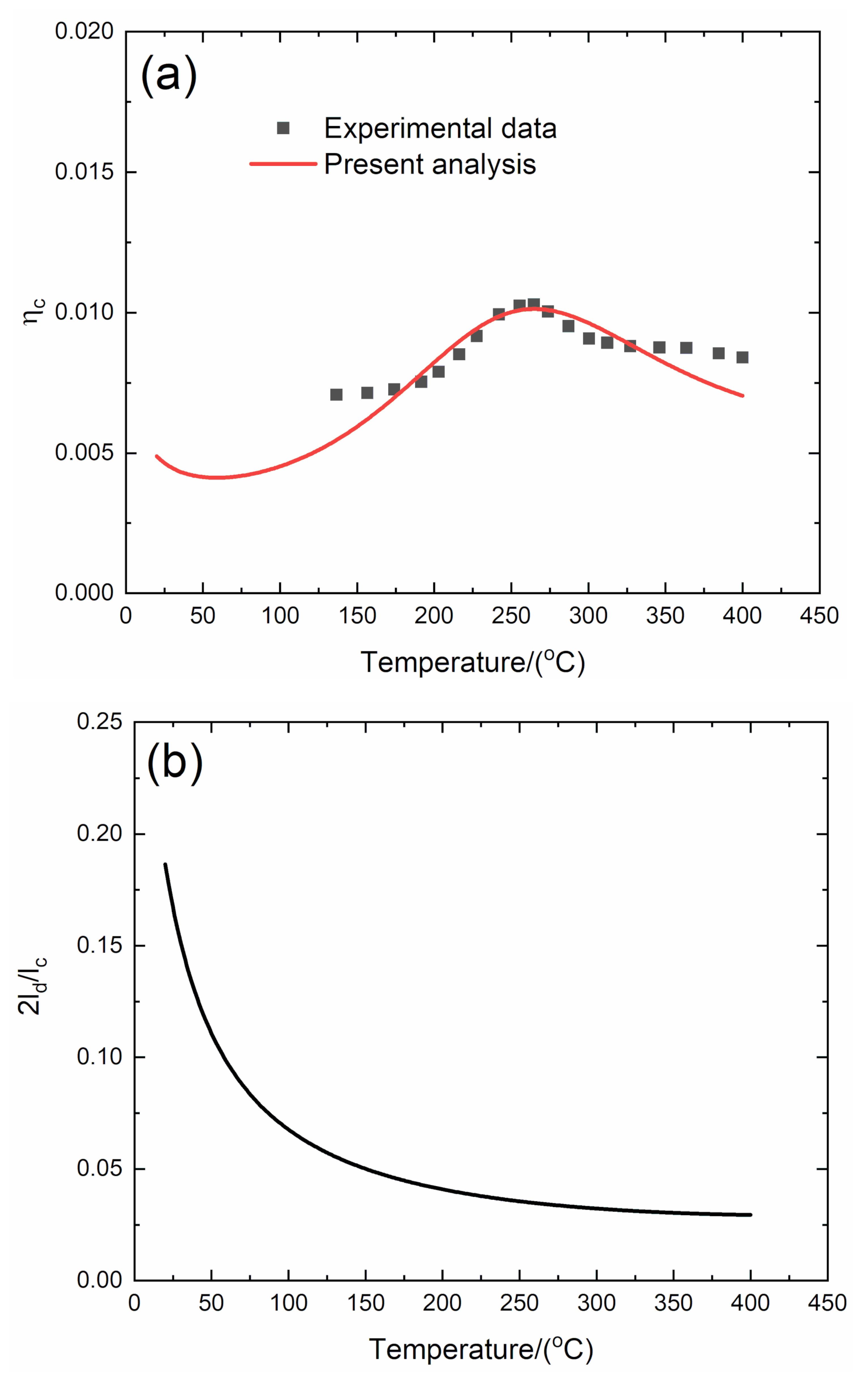
4.1.1. f = 1 Hz
The experimental and predicted temperature-dependent composite damping (ηc), interface debonding, and slip length (2ld/lc, 2ly/lc) versus temperature curves of the 2D C/SiC composite at the vibration frequency of f = 1 Hz are shown in Figure 5 and Table 5. The predicted peak composite damping agrees with experimental data, and the predicted corresponding temperature for peak composite damping is a little lower than the experimental data.

Figure 5.
(a) Experimental and predicted temperature-dependent composite damping (ηc) versus temperature curves; (b) the temperature-dependent interface debonding length (2ld/lc) versus temperature curves; and (c) the temperature-dependent interface slip length (2ly/lc) versus temperature curves of 2D C/SiC composite at the vibration frequency of f = 1 Hz.
Table 5.
Experimental and predicted peak value of composite damping and corresponding temperature of 2D C/SiC composite under the vibration frequencies of f = 1, 2, 5, and 10 Hz at temperature range from room temperature to 400 °C.
The experimental composite damping increases from ηc = 0.01 at room temperature to peak value of ηc = 0.019 at temperature of T = 283 °C and then decreases to ηc = 0.014 at temperature of T = 400 °C. The theoretical predicted composite damping increases from ηc = 0.008 at room temperature to peak value ηc = 0.019 at temperature of T = 279 °C and then decreases to ηc = 0.015 at temperature of T = 400 °C. The interface debonding length (2ld/lc) decreases from 2ld/lc = 0.337 at room temperature to 2ld/lc = 0.114 at temperature of T = 400 °C, and the interface slip length (2ly/lc) decreases from 2ly/lc = 0.248 at room temperature to 2ly/lc = 0.091 at temperature of T = 400 °C.
4.1.2. f = 2 Hz
The experimental and predicted temperature-dependent composite damping (ηc), interface debonding, and slip length (2ld/lc, 2ly/lc) versus temperature curves of the 2D C/SiC composite at the vibration frequency of f = 2 Hz are shown in Figure 6 and Table 5.

Figure 6.
(a) Experimental and predicted temperature-dependent composite damping (ηc) versus temperature curves; (b) the temperature-dependent interface debonding length (2ld/lc) versus temperature curves; and (c) the temperature-dependent interface slip length (2ly/lc) versus temperature curves of 2D C/SiC composite at the vibration frequency of f = 2 Hz.
The experimental composite damping (ηc) increases from ηc = 0.009 at temperature of T = 150 °C to the peak value of ηc = 0.015 at temperature of T = 266 °C and then decreases to ηc = 0.012 at temperature of T = 400 °C. The theoretical predicted composite damping increases from ηc = 0.006 at room temperature to the peak value of ηc = 0.0144 at temperature of T = 283 °C and then decreases to ηc = 0.012 at temperature of T = 400 °C. The interface debonding length (2ld/lc) decreases from 2ld/lc = 0.2 at room temperature to 2ld/lc = 0.05 at temperature of T = 400 °C, and the interface slip length (2ly/lc) decreases from 2ly/lc = 0.16 at room temperature to 2ly/lc = 0.048 at temperature of T = 400 °C.
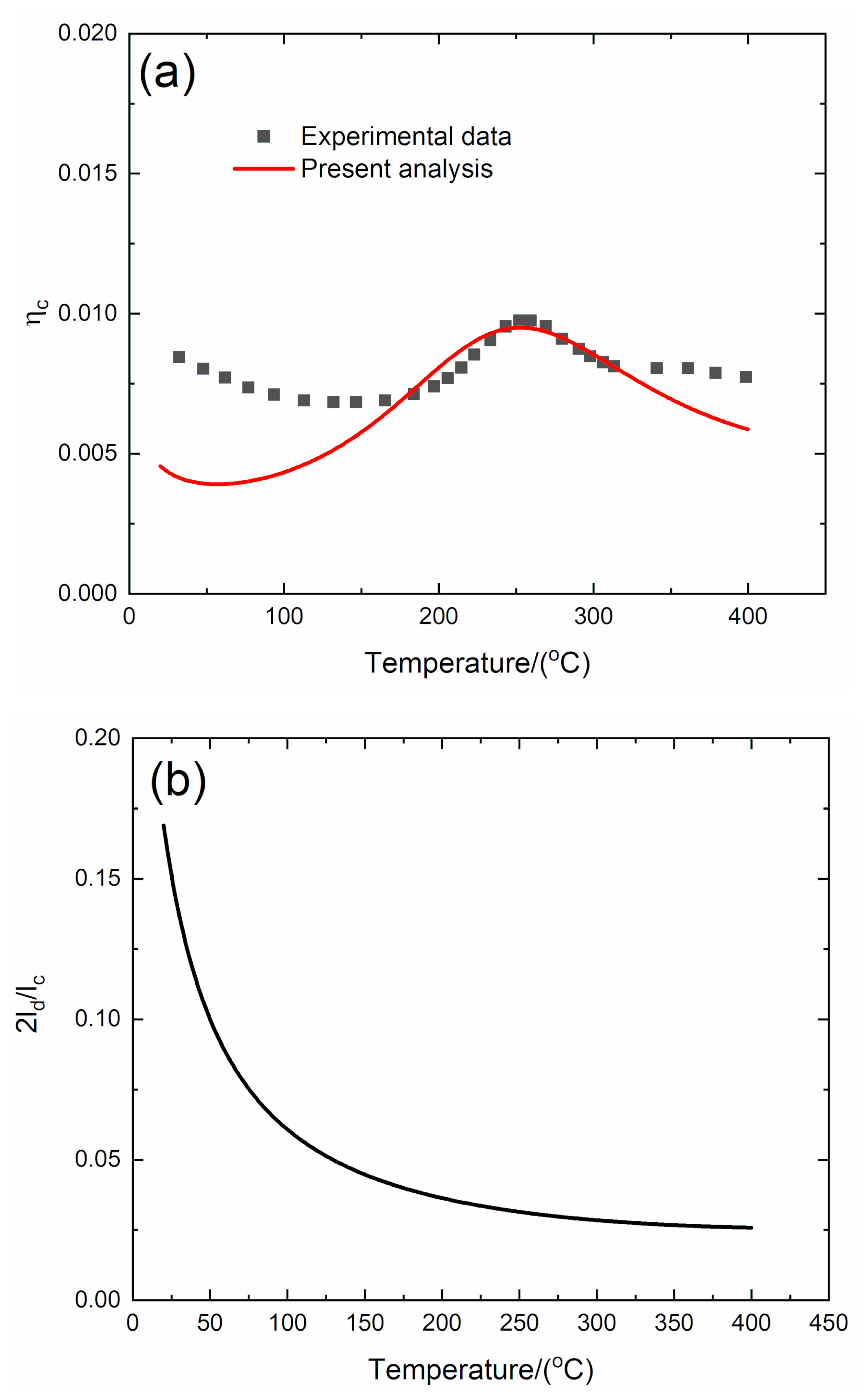
4.1.3. f = 5 Hz
The experimental and predicted temperature-dependent composite damping (ηc), interface debonding, and slip length (2ld/lc, 2ly/lc) versus temperature curves of the 2D C/SiC composite at the vibration frequency of f = 5 Hz are shown in Figure 7 and Table 5.

Figure 7.
(a) Experimental and predicted temperature-dependent composite damping (ηc) versus temperature curves; (b) the temperature-dependent interface debonding length (2ld/lc) versus temperature curves; and (c) the temperature-dependent interface slip length (2ly/lc) versus temperature curves of 2D C/SiC composite at the vibration frequency of f = 5 Hz.
The experimental composite damping (ηc) increases from ηc = 0.007 at temperature of T = 136 °C to the peak value of ηc = 0.0106 at temperature of T = 261 °C and then decreases to ηc = 0.008 at temperature of T = 400 °C. The theoretical predicted composite damping increases from ηc = 0.0048 at room temperature to the peak value of ηc = 0.0101 at temperature of T = 263 °C and then decreases to ηc = 0.007 at temperature of T = 400 °C. The interface debonding length (2ld/lc) decreases from 2ld/lc = 0.186 at room temperature to 2ld/lc = 0.029 at temperature of T = 400 °C, and the interface slip length (2ly/lc) decreases from 2ly/lc = 0.174 at room temperature to 2ly/lc = 0.029 at temperature of T = 400 °C.
4.1.4. f = 10 Hz
The experimental and predicted temperature-dependent composite damping (ηc), interface debonding, and slip length (2ld/lc, 2ly/lc) versus temperature curves of the 2D C/SiC composite at the vibration frequency of f = 10 Hz are shown in Figure 8 and Table 5.

Figure 8.
(a) Experimental and predicted temperature-dependent composite damping (ηc) versus temperature curves; (b) the temperature-dependent interface debonding length (2ld/lc) versus temperature curves; and (c) the temperature-dependent interface slip length (2ly/lc) versus temperature curves of 2D C/SiC composite at the vibration frequency of f = 10 Hz.
The experimental composite damping (ηc) decreases from ηc = 0.0085 at room temperature to ηc = 0.0068 at temperature of T = 125 °C, then increases to the peak value of ηc = 0.01 at temperature of T = 258 °C, and then decreases to ηc = 0.007 at temperature of T = 400 °C. The theoretical predicted composite damping (ηc) increases from ηc = 0.0045 at room temperature to the peak value of ηc = 0.0095 at temperature of T = 256 °C and then decreases to ηc = 0.0058 at temperature of T = 400 °C. The interface debonding length (2ld/lc) decreases from 2ld/lc = 0.169 at room temperature to 2ld/lc = 0.025 at temperature of T = 400 °C, and the interface slip length (2ly/lc) decreases from 2ly/lc = 0.165 at room temperature to 2ly/lc = 0.0258 at temperature of T = 400 °C.
Under a high loading frequency of f = 10 Hz, the damage mechanism of CMCs including matrix cracking and interface debonding are affected by the loading frequency. Sorensen and Holmes [29] investigated the effect of loading rate on tensile behavior of a SiC/CAS II composite. It was found that the saturation matrix crack spacing increases with loading rate, and dynamic frictional coefficient also increases. However, in the present analysis, the effect of temperature on dynamic loading damage of CMCs (i.e., matrix cracking and interface damage) is not considered. The predicted composite damping is different from the experimental result at low temperature.
4.2. 3D C/SiC Composite
4.2.1. f = 1 Hz
The experimental and predicted temperature-dependent composite damping (ηc), interface debonding, and slip length (2ld/lc, 2ly/lc) versus temperature curves of the 3D C/SiC composite at the vibration frequency of f = 1 Hz are shown in Figure 9 and Table 6.

Figure 9.
(a) Experimental and predicted temperature-dependent composite damping (ηc) versus temperature curves; (b) the temperature-dependent interface debonding length (2ld/lc) versus temperature curves; and (c) the temperature-dependent interface slip length (2ly/lc) versus temperature curves of 3D C/SiC composite at the vibration frequency of f = 1 Hz.
Table 6.
Experimental and predicted peak value of composite damping and corresponding temperature of 3D C/SiC composite under the vibration frequencies of f = 1, 2, 5, and 10 Hz at temperature range from room temperature to 400 °C.
The experimental composite damping (ηc) increases from ηc = 0.009 at room temperature to the peak value of ηc = 0.0165 at temperature of T = 325 °C and then decreases to ηc = 0.015 at temperature of T = 400 °C. The theoretical predicted composite damping (ηc) increases from ηc = 0.009 at room temperature to the peak value of ηc = 0.0163 at temperature of T = 308 °C and then decreases to ηc = 0.015 at temperature of T = 400 °C. The interface debonding length (2ld/lc) decreases from 2ld/lc = 0.455 at room temperature to 2ld/lc = 0.245 at temperature of T = 400 °C; and the interface slip length (2ly/lc) decreases from 2ly/lc = 0.449 at room temperature to 2ly/lc = 0.245 at temperature of T = 400 °C.
4.2.2. f = 2 Hz
The experimental and predicted temperature-dependent composite damping (ηc), interface debonding, and slip length (2ld/lc, 2ly/lc) versus temperature curves of the 3D C/SiC composite at the vibration frequency of f = 2 Hz are shown in Figure 10 and Table 6.

Figure 10.
(a) Experimental and predicted temperature-dependent composite damping (ηc) versus temperature curves; (b) the temperature-dependent interface debonding length (2ld/lc) versus temperature curves; and (c) the temperature-dependent interface slip length (2ly/lc) versus temperature curves of 3D C/SiC composite at the vibration frequency of f = 2 Hz.
The experimental composite damping (ηc) increases from ηc = 0.0083 at room temperature to the peak value of ηc = 0.0135 at temperature of T = 370 °C and then decreases to ηc = 0.0134 at temperature of T = 400 °C. The theoretical predicted composite damping (ηc) increases from ηc = 0.0086 at room temperature to the peak value of ηc = 0.0136 at temperature of T = 360 °C and then decreases to ηc = 0.0135 at temperature of T = 400 °C. The interface debonding length (2ld/lc) decreases from 2ld/lc = 0.445 at room temperature to 2ld/lc = 0.204 at temperature of T = 400 °C; and the interface slip length (2ly/lc) decreases from 2ly/lc = 0.445 at room temperature to 2ly/lc = 0.204 at temperature of T = 400 °C.
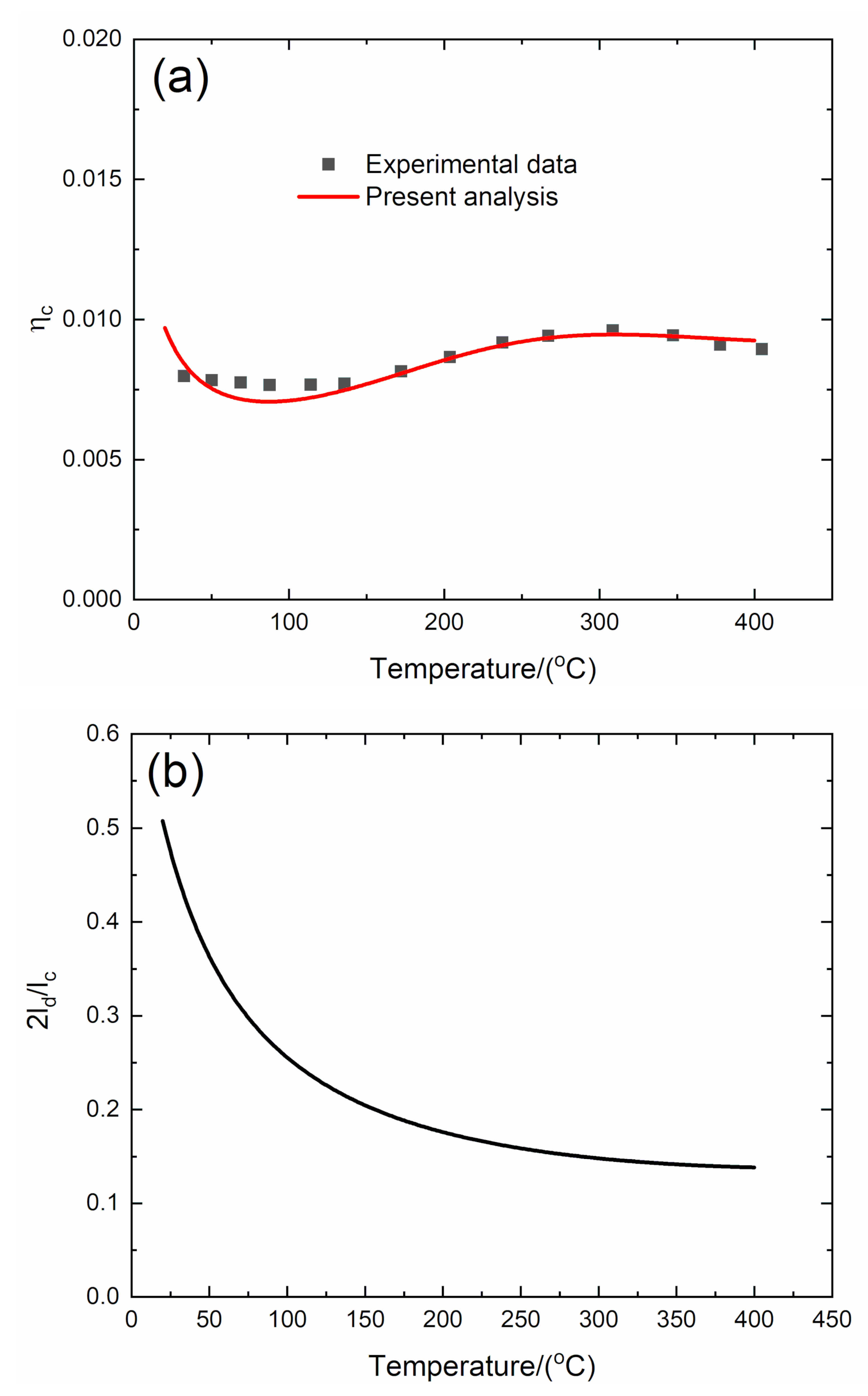
4.2.3. f = 5 Hz
The experimental and predicted temperature-dependent composite damping (ηc), interface debonding, and slip length (2ld/lc, 2ly/lc) versus temperature curves of the 3D C/SiC composite at the vibration frequency of f = 5 Hz are shown in Figure 11 and Table 6.

Figure 11.
(a) Experimental and predicted temperature-dependent composite damping (ηc) versus temperature curves; (b) the temperature-dependent interface debonding length (2ld/lc) versus temperature curves; and (c) the temperature-dependent interface slip length (2ly/lc) versus temperature curves of 3D C/SiC composite at the vibration frequency of f = 5 Hz.
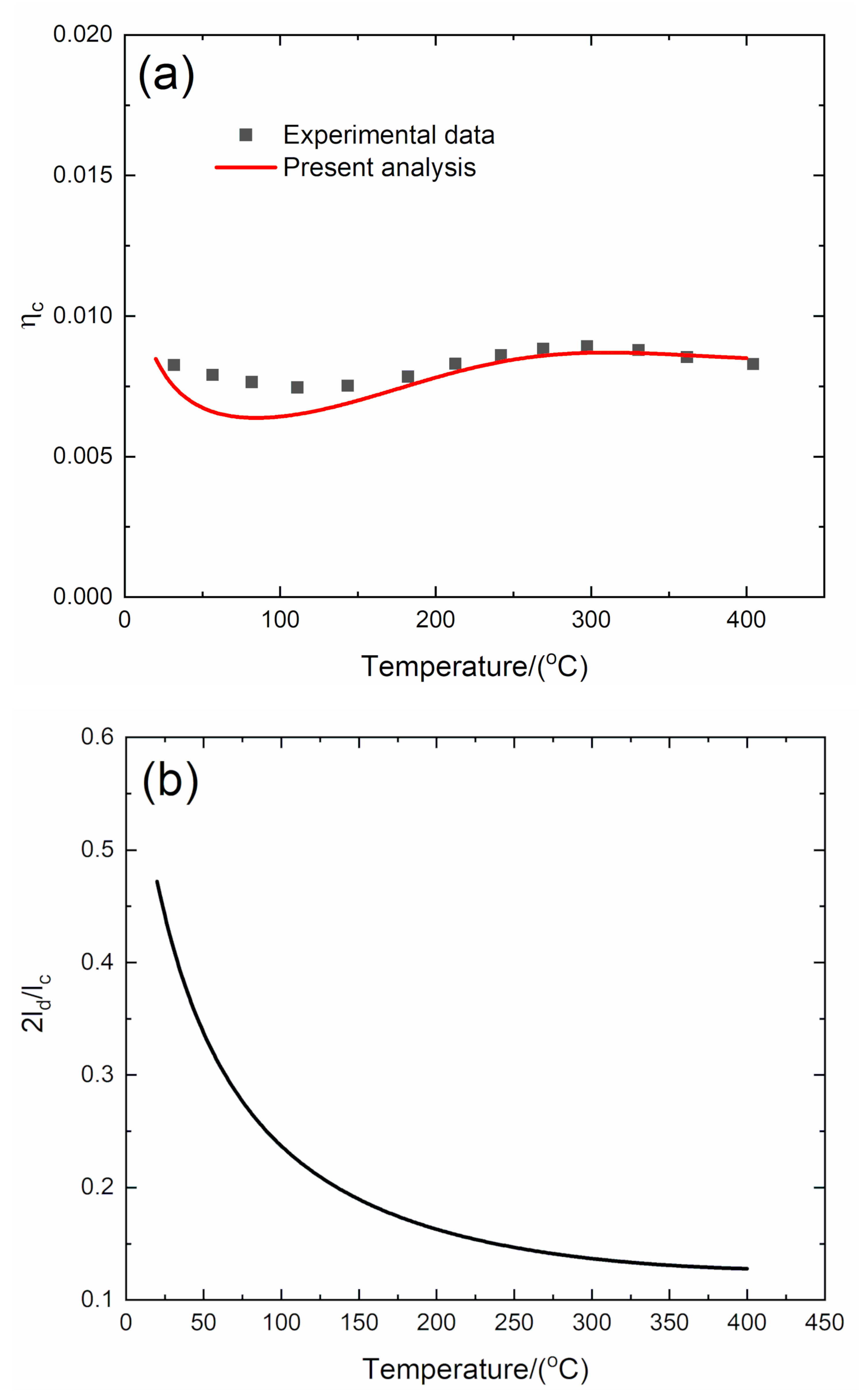
The experimental composite damping (ηc) increases from ηc = 0.008 at room temperature to the peak value of ηc = 0.0095 at temperature of T = 300 °C and then decreases to ηc = 0.009 at temperature of T = 400 °C. The theoretical predicted composite damping (ηc) decreases from ηc = 0.0097 at room temperature to ηc = 0.007 at temperature of T = 86 °C, then increases to the peak value of ηc = 0.0095 at temperature of T = 300 °C, and then decreases to ηc = 0.0092 at temperature of T = 400 °C. The interface debonding length (2ld/lc) decreases from 2ld/lc = 0.507 at room temperature to 2ld/lc = 0.138 at temperature of T = 400 °C; and the interface slip length (2ly/lc) decreases from 2ly/lc = 0.507 at room temperature to 2ly/lc = 0.138 at temperature of T = 400 °C.
4.2.4. f = 10 Hz
The experimental and predicted temperature-dependent composite damping (ηc), interface debonding, and slip length (2ld/lc, 2ly/lc) versus temperature curves of the 3D C/SiC composite at the vibration frequency of f = 10 Hz are shown in Figure 12 and Table 6.

Figure 12.
(a) Experimental and predicted temperature-dependent composite damping (ηc) versus temperature curves; (b) the temperature-dependent interface debonding length (2ld/lc) versus temperature curves; and (c) the temperature-dependent interface slip length (2ly/lc) versus temperature curves of 3D C/SiC composite at the vibration frequency of f = 10 Hz.
The experimental composite damping (ηc) decreases from ηc = 0.0084 at room temperature to ηc = 0.0075 at temperature of T = 125 °C, then increases to the peak value of ηc = 0.009 at temperature of T = 295 °C, and then decreases to ηc = 0.0084 at temperature of T = 400 °C. The theoretical predicted composite damping (ηc) decreases from ηc = 0.0084 at room temperature to ηc = 0.0064 at temperature of T = 96 °C, then increases to the peak value of ηc = 0.0087 at temperature of T = 300 °C, and then decreases to ηc = 0.0085 at temperature of T = 400 °C. The interface debonding length (2ld/lc) decreases from 2ld/lc = 0.472 at room temperature to 2ld/lc = 0.127 at temperature of T = 400 °C; and the interface slip length (2ly/lc) decreases from 2ly/lc = 0.472 at room temperature to 2ly/lc = 0.127 at temperature of T = 400 °C.
4.3. Discussion
Due to temperature-dependent material properties and especially the interface properties (i.e., the interface shear stress (τi(T))), the composite damping, interface debonding, and slip state of C/SiC are temperature-dependent. For 2D and 3D C/SiC, the temperature-dependent composite vibration damping increases with temperature to the peak value and then decreases; and the temperature-dependent interface debonding and slip length decrease with temperature. The experimental and predicted composite damping peak values of 2D and 3D C/SiC under vibration frequencies of f = 1, 2, 5, and 10 Hz from room temperature to 400 °C are shown in Table 5 and Table 6.
For 2D C/SiC, the composite damping peak value decreases with vibration frequency, i.e., from ηc = 0.019 at a vibration frequency of f = 1 Hz to ηc = 0.01 at a vibration frequency of f = 10 Hz, and the corresponding temperature for peak composite damping also decreases, i.e., from T = 283 °C at a vibration frequency of f = 1 Hz to T = 258 °C at a vibration frequency of f = 10 Hz.
For 3D C/SiC, the composite damping peak value decreases with vibration frequency, i.e., from ηc = 0.0165 at a vibration frequency of f = 1 Hz to ηc = 0.009 at a vibration frequency of f = 10 Hz, and the corresponding temperature for peak composite damping also decreases, i.e., from T = 325 °C at a vibration frequency of f = 1 Hz to T = 295 °C at a vibration frequency of f = 10 Hz.
For C/SiC, the fiber and matrix damping contributes little to composite damping. However, the frictional dissipated energy caused by frictional slip in the debonding region mainly contributes to the composite damping. For 2D C/SiC, when the vibration frequency increases, the dynamic frictional slip range (i.e., the interface debonding length 2ld/lc and interface slip length 2ly/lc) decreases, which decreases the energy dissipated through frictional slip and composite damping. For C/SiC with weak interface bonding, the interface debonding occurs when matrix cracking propagates to the fiber/matrix interphase. The frictional slip between the fiber and the matrix or between fiber and fiber causes the energy dissipation, which contributes to the damping of C/SiC. However, when the interface slip range or interface debonding/slip length decreases, the composite damping decreases.
For C/SiC, the composite damping of 2D C/SiC is higher than that of 3D C/SiC, mainly due to the damage mechanisms of matrix cracking and interface debonding. For 3D C/SiC, the fiber volume along the longitudinal loading direction is higher than that of 2D C/SiC, leading to higher matrix cracking density, low interface debonding length, and low composite damping.
5. Conclusions
In this paper, a micromechanical temperature-dependent vibration damping model of a C/SiC composite is developed. The composite damping is divided into damping of the fiber and the matrix and the damping caused by frictional dissipated energy. The relationships between composite damping, composite internal damage, and temperature are established for different material properties and damage states. The experimental temperature-dependent damping of 2D and 3D C/SiC are predicted for different vibration frequencies.
- (1)
- For C/SiC, the temperature-dependent composite vibration damping increases with temperature to the peak value and then decreases, and the temperature-dependent interface debonding and slip length decrease with temperature.
- (2)
- For C/SiC, when the vibration frequency increases, the dynamic frictional slip range decreases, which decreases the energy dissipated through frictional slip and composite damping.
- (3)
- For 3D C/SiC, the fiber volume along the longitudinal loading direction is higher than that of 2D C/SiC, leading to higher matrix cracking density, low interface debonding length, and low composite damping.
- (4)
- When fiber volume and interface debonding energy increase, the peak value of composite damping and the corresponding temperature both decrease.
- (5)
- When matrix crack spacing and steady-state interface shear stress increase, the peak value of composite damping decreases, and the corresponding temperature for peak damping changes a little.
Funding
This research was funded by Fundamental Research Funds for the Central Universities of China, grant number NS2019038.
Acknowledgments
The author also wish to thank two anonymous reviewers and editors for their helpful comments on an earlier version of the paper.
Conflicts of Interest
The author declares no conflict of interest. The funders had no role in the design of the study; in the collection, analyses, or interpretation of data; in the writing of the manuscript, or in the decision to publish the results.
Data Availability
The data used to support the findings of this study are available from the paper.
Nomenclature
| η | composite damping |
| ηa | composite damping of CMCs without damage |
| ηb | composite damping of CMCs with damage |
| ηc | total composite damping of CMCs |
| Ud | dissipated energy density per cycle |
| U | maximum strain energy density per cycle |
| σ | stress amplitude of vibration stress |
| σc | vibration stress |
| ω | vibration frequency |
| rf | fiber radius |
| Vf | fiber volume |
| Vm | matrix volume |
| Ef | fiber elastic modulus |
| Em | matrix elastic modulus |
| effective matrix elastic modulus | |
| Ec | composite elastic modulus |
| ld | interface debonding length |
| ly | interface counter slip length |
| lz | interface new slip length |
| lc | matrix crack spacing |
| Ud_u | dissipated energy density upon unloading |
| Ud_r | dissipated energy density upon reloading |
| Uf | fiber strain energy density per cycle |
| Um | matrix strain energy density per cycle |
| ξd | interface debonding energy |
| ρ | shear-lag model parameter |
| σfo | fiber axial stress in the bonding region |
| σmo | matrix axial stress in the bonding region |
| αrf | fiber radial thermal expansional coefficient |
| αlf | fiber axial thermal expansional coefficient |
| αrm | matrix radial thermal expansional coefficient |
| αlm | matrix axial thermal expansional coefficient |
| αlc | composite axial thermal expansional coefficient |
| ΔT | temperature difference between testing and fabricated temperature |
| τi | interface shear stress |
| τ0 | steady-state interface shear stress |
| μ | interface frictional coefficient |
References
- Naslain, R. Design, Preparation and properties of non-oxide CMCs for application in engines and nuclear reactors: An overview. Compos. Sci. Technol. 2004, 64, 155–170. [Google Scholar] [CrossRef]
- Li, L.B. Durability of ceramic-matrix composites. Elsevier 2020. [Google Scholar] [CrossRef]
- Min, J.B.; Harris, D.L.; Ting, J.M. Advances in ceramic matrix composite blade damping characteristics for aerospace turbomachinery applications. In Proceedings of the 52nd AIAA/ASME/ASCE/AHS/ASC Structures, Structural Dynamics and Materials Conference, Denver, Colorado, 4−7 April 2011. [Google Scholar] [CrossRef]
- Momon, S.; Moevus, M.; Godin, N.; R’Mili, M.; Reynaud, P.; Fantozzi, G.; Fayolle, G. Acoustic emission and lifetime prediction during static fatigue tests on ceramic-matrix-composite at high temperature under air. Compos. Part A 2010, 41, 913–918. [Google Scholar] [CrossRef]
- Zhang, J.; Perez, R.J.; Lavernia, E.J. Documentation of damping capacity of metallic ceramic and metal-matrix composite materials. J. Mater. Sci. 1993, 28, 2395–2404. [Google Scholar] [CrossRef]
- Chandra, R.; Singh, S.P.; Gupta, K. Damping studies in fiber-reinforced composites—A review. Compos. Struct. 1999, 46, 41–51. [Google Scholar] [CrossRef]
- Birman, V.; Byrd, L.W. Damping in ceramic matrix composites with matrix cracks. Int. J. Solids Struct. 2003, 40, 4239–4256. [Google Scholar] [CrossRef]
- Melo, J.D.; Radford, D.W. Time and temperature dependence of the viscoelastic properties of CFRP by dynamic mechanical analysis. Compos. Struct. 2005, 70, 240–253. [Google Scholar] [CrossRef]
- Patel, R.K.; Bhattacharya, B.; Basu, S. A finite element based investigation on obtaining high material damping over a larger frequency range in viscoelastic composites. J. Sound Vib. 2007, 303, 753–766. [Google Scholar] [CrossRef]
- Sato, S.; Serizawa, H.; Araki, H.; Node, T.; Kohyama, A. Temperature dependence of internal friction and elastic modulus of SiC/SiC composites. J. Alloy. Compd. 2003, 355, 142–147. [Google Scholar] [CrossRef]
- Gowayed, Y.; Ojard, G.; Santhosh, U.; Jefferson, G. Modeling of crack density in ceramic matrix composites. J. Compos. Mater. 2015, 49, 2285–2294. [Google Scholar] [CrossRef]
- Birman, V.; Byrd, L.W. Effect of matrix cracks on damping in unidirectional and cross-ply ceramic matrix composites. J. Compos. Mater. 2002, 36, 1859–1877. [Google Scholar] [CrossRef]
- Zhang, Q.; Cheng, L.F.; Wang, W.; Wei, X.; Zhang, L.T.; Xu, Y.D. Effect of interphase thickness on damping behavior of 2D C/SiC composites. Mater. Sci. Forum 2007, 546–549, 1531–1534. [Google Scholar] [CrossRef]
- Hong, Z.L.; Cheng, L.F.; Zhao, C.N.; Zhang, L.T.; Wang, Y.G. Effect of oxidation on internal friction behavior of C/SC composites. Acta Mater. Compos. Sin. 2013, 30, 93–100. [Google Scholar]
- Wang, W. Study on Damping Capacity of C/SiC Composites. Master’s Thesis, Northwestern Polytechnical University, Xi’an, China, 2005. [Google Scholar]
- Zhang, Q.; Cheng, L.; Wang, W.; Zhang, L.; Xu, Y. Effect of SiC coating and heat treatment on damping behavior of C/SiC composites. Mater. Sci. Eng. A 2008, 473, 254–258. [Google Scholar] [CrossRef]
- Holmes, J.W.; Cho, C. Experimental observation of frictional heating in fiber-reinforced ceramics. J. Am. Ceram. Soc. 1992, 75, 929–938. [Google Scholar] [CrossRef]
- Li, L.B. Modeling fatigue hysteresis behavior of unidirectional C/SiC ceramic-matrix composites. Compos. Part B 2014, 66, 466–474. [Google Scholar] [CrossRef]
- Li, L.B. Modeling matrix multicracking development of fiber-reinforced ceramic-matrix composites considering fiber debonding. Int. J. Appl. Ceram. Technol. 2019, 16, 97–107. [Google Scholar] [CrossRef]
- Li, L.B. Time-dependent damage and fracture of fiber-reinforced ceramic-matrix composites at elevated temperatures. Compos. Interfaces 2019, 26, 963–988. [Google Scholar] [CrossRef]
- Li, H.Q. Analysis of Vibration and Damage Test of Ceramic Matrix Composites Structure. Master’s Thesis, Nanchang Hongkong University, Nanchang, China, 2019. [Google Scholar]
- Kyriazoglou, C.; Page, B.H.; Guild, F.J. Vibration damping for crack detection in composite laminates. Compos. Part A 2004, 35, 945–953. [Google Scholar] [CrossRef]
- Zhang, Z.; Hartwig, G. Relation of damping and fatigue damage of unidirectional fiber composites. Int. J. Fatigue 2002, 24, 713–718. [Google Scholar] [CrossRef]
- Sauder, C.; Lamon, J.; Pailler, R. The tensile behavior of carbon fibers at high temperatures up to 2400 °C. Carbon 2004, 42, 715–725. [Google Scholar] [CrossRef]
- Snead, L.L.; Nozawa, T.; Katoh, Y.; Byun, T.S.; Kondo, S.; Petti, D.A. Handbook of SiC properties for fuel performance modeling. J. Nucl. Mater. 2007, 371, 329–377. [Google Scholar] [CrossRef]
- Pradere, C.; Sauder, C. Transverse and longitudinal coefficient of thermal expansion of carbon fibers at high temperatures (300–2500K). Carbon 2008, 46, 1874–1884. [Google Scholar] [CrossRef]
- Reynaud, P.; Douby, D.; Fantozzi, G. Effects of temperature and of oxidation on the interfacial shear stress between fibers and matrix in ceramic-matrix composites. Acta Mater. 1998, 46, 2461–2469. [Google Scholar] [CrossRef]
- Wang, R.Z.; Li, W.G.; Li, D.Y.; Fang, D.N. A new temperature dependent fracture strength model for the ZrB2-SiC composites. J. Eur. Ceram. Soc. 2015, 35, 2957–2962. [Google Scholar] [CrossRef]
- Sorensen, B.F.; Holmes, J.W. Effect of loading rate on the monotonic tensile behavior of a continuous-fiber-reinforced glass-ceramic matrix composite. J. Am. Ceram. Soc. 1996, 79, 313–320. [Google Scholar] [CrossRef]
© 2020 by the author. Licensee MDPI, Basel, Switzerland. This article is an open access article distributed under the terms and conditions of the Creative Commons Attribution (CC BY) license (http://creativecommons.org/licenses/by/4.0/).























