Sinterability and Dielectric Properties of LiTaO3-Based Ceramics with Addition of CoO
Abstract
1. Introduction
2. Experimental Details
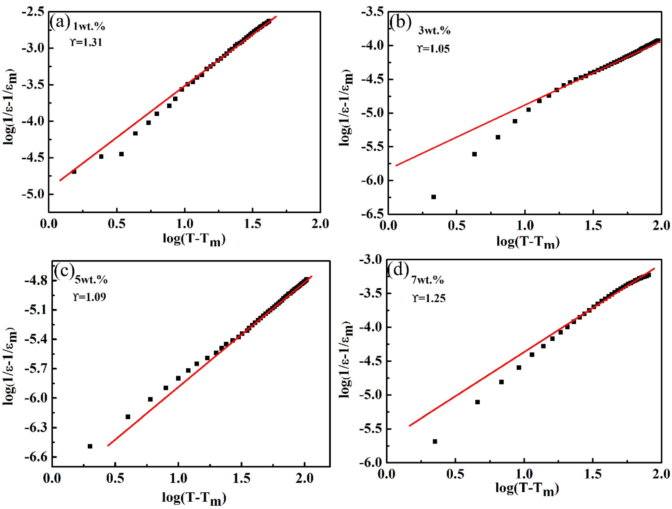
3. Results and Discussion
4. Conclusion
Author Contributions
Funding
Conflicts of Interest
References
- Liang, W.F.; Lu, Y.; Wu, J.; Gao, H.; Li, M. Application of LiTaO3 pyroelectric crystal for pulsed neutron detection. Nucl. Instrum. Methods A 2016, 827, 161–164. [Google Scholar] [CrossRef]
- Guo, E.J.; Xing, J.; Lu, H.B.; Jin, K.J.; Yang, G.Z. Ultraviolet fast-response photoelectric effects in LiTaO3 single crystal. J. Phys. D Appl. Phys. 2010, 43, 15402–15405. [Google Scholar] [CrossRef]
- Liu, P.; Huang, Q.; Liu, T.; Guo, S.S.; Zhang, L.; Zhou, Y.F.; Wang, X.L. Visible and near-infrared waveguide properties in LiTaO3 crystal produced by swift Ar8+ ion irradiation. Appl. Phys. B 2012, 108, 675–681. [Google Scholar] [CrossRef]
- Ma, T.; Wang, J.; Du, J.; Yuan, L.; Qian, Z.; Zhang, Z.; Zhang, C. A lateral field excited (yxl) 88° LiTaO3 bulk acoustic wave sensor with interdigital electrodes. Ultrasonics 2013, 53, 648–651. [Google Scholar] [CrossRef] [PubMed]
- Gruber, M.; Konetschnik, R.; Popov, M.; Spitaler, J.; Supancic, P.; Kiener, D.; Bermejo, R. Atomistic origins of the differences in anisotropic fracture behavior of LiTaO3 and LiNbO3 single crystals. Acta Mater. 2015, 150, 373–380. [Google Scholar] [CrossRef]
- Gruber, M.; Kraleva, I.; Supancic, P.; Bielen, J.; Kiener, D.; Berejo, R. Strength distribution and fracture analyses of LiNbO3 and LiTaO3 single crystals under biaxial loading. J. Eur. Ceram. Soc. 2017, 37, 4397–4406. [Google Scholar] [CrossRef]
- Sanna, S.; Neufeld, S.; Rüsing, M.; Berth, G.; Schmidt, W.G. Raman scattering efficiency in LiTaO3 and LiNbO3 crystals. Phys. Rev. B 2015, 91, 224302. [Google Scholar] [CrossRef]
- Kang, X.; Liang, L.; Song, W.; Wang, F.; Sang, Y.; Liu, H. Formation mechanism and elimination methods for anti-site defects in LiNbO3/LiTaO3 crystals. CrystEngComm 2016, 18, 8136–8146. [Google Scholar] [CrossRef]
- Chen, C.F.; Brennecka, G.L.; King, G.; Tegtmeier, E.L.; Holesinger, T.; Ivy, J.; Yang, P. Processing of crack-free high density polycrystalline LiTaO3 ceramics. J. Mater. Sci. Mater. Electron. 2017, 28, 3725–3732. [Google Scholar] [CrossRef]
- Zainuddin, L.W.; Kamarulzaman, N. Effect of sintering time on the purity and morphology of LiTaO3. Adv. Mater. Res. 2012, 501, 129–132. [Google Scholar] [CrossRef]
- Bomlai, P.; Sinsap, P.; Muensit, S.; Milne, S.J. Effect of MnO on the phase development, microstructures, and dielectric properties of 0.95Na0.5K0.5NbO3–0.05LiTaO3 ceramics. J. Am. Ceram. Soc. 2008, 91, 624–627. [Google Scholar] [CrossRef]
- Zhou, J.J.; Li, J.F.; Wang, K.; Zhang, X.W. Phase structure and electrical properties of (Li, Ta)-doped (K, Na)NbO3 lead-free piezoceramics in the vicinity of Na/K=50/50. J. Mater. Sci. 2011, 46, 5111–5116. [Google Scholar] [CrossRef]
- Yang, T.; Liu, Y.G.; Zhang, L.; Hu, M.L.; Yang, Q.; Huang, Z.H.; Fang, M.H. Powder synthesis and properties of LiTaO3 ceramics. Adv. Powder Technol. 2014, 25, 933–936. [Google Scholar] [CrossRef]
- Ye, Z.G.; Von Der Mühll, R.; Ravez, J. New oxyfluorides and highly densified ceramics related to LiNbO3. J. Phys. Chem. Solids 1989, 50, 809–812. [Google Scholar] [CrossRef]
- Shimada, S.; Kodaira, K.; Matsushita, T. Sintering LiTaO3 and KTaO3 with the aid of manganese oxide. J. Mater. Sci. 1984, 19, 1385–1390. [Google Scholar] [CrossRef]
- Huanosta, A.; Alvarez, E.; Villafuerte-Castrejón, M.E.; West, A.R. Electrical properties of Mg-doped LiTaO3 ceramics. Mater. Res. Bull. 2004, 39, 2229–2240. [Google Scholar] [CrossRef]
- Bamba, N.; Yokouchi, T.; Takaoka, J.; Elouadi, B.; Fukami, T. Effects of CaTiO3 on electrical properties in LiTaO3 ceramics. Ferroelectr 2004, 304, 135–138. [Google Scholar] [CrossRef]
- Tahiri, M.; Masaif, N.; Jennane, A.; Lemdek, E.M.; Benkhouja, K.; Lotfi, E.M. Experimental and theoretical study of the density of Cu-doped LiTaO3. Opt. Quant. Electorn. 2016, 48, 278. [Google Scholar] [CrossRef]
- Lin, P.J.; Bursill, L.A. High-resolution study of Li(1−x)AgxTaO3. Micron 1982, 13, 275–276. [Google Scholar]
- Ye, Z.G.; Von Der Mühll, R.; Ravez, J.; Hagenmuller, P. Dielectric, piezoelectric, and pyroelectric studies of LiTaO3-derived ceramics sintered at 900 °C following the addition of (LiF+MgF2). J. Mater. Res. 1988, 3, 112–115. [Google Scholar] [CrossRef]
- Rödel, J.; Jo, W.; Seifert, K.T.P.; Anton, E.M.; Granzow, T.; Damjanovic, D. Perspective on the development of lead-free piezoelectrics. J. Am. Ceram. Soc. 2009, 92, 1153–1177. [Google Scholar] [CrossRef]
- Gou, Q.; Wu, J.; Li, A.; Wu, B.; Xiao, D.; Zhu, J. Enhanced d33 value of Bi0.5Na0.5TiO3-(Ba0.85Ca0.15)(Ti0.90Zr0.10)O3 lead-free ceramics. J. Alloy. Compd. 2012, 521, 4–7. [Google Scholar] [CrossRef]
- Chen, C.F.; Llobet, A.; Brennecka, G.L.; Forsyth, R.T.; Guidry, D.R.; Papin, P.A.; McCabe, R.J. Powder synthesis and hot-pressing of a LiTaO3 ceramic. J. Am. Ceram. Soc. 2012, 95, 2820–2826. [Google Scholar] [CrossRef]
- Zhang, Y.; Zhou, Y.; Jia, D.; Li, H.; Meng, Q. Microstructure and mechanical properties of Al2O3 particle reinforced LiTaO3 piezoelectric ceramic matrix composites. Mater. Sci. Eng. A 2007, 448, 330–334. [Google Scholar] [CrossRef]
- Kulawik, J.; Szwagierczak, D. Dielectric properties of manganese and cobalt doped lead iron tantalate ceramics. J. Eur. Ceram. Soc. 2007, 27, 2281–2286. [Google Scholar] [CrossRef]
- Wang, F.L.; Li, Y.; Wang, N.; Zhu, L.; Jain, A.; Wang, Y.G.; Chen, F.G. Enhanced magnetic, ferroelectric and optical properties of Sr and Co co-doped BiFeO3 powders. J. Alloy. Compd. 2019, 810, 151941. [Google Scholar] [CrossRef]
- Dung, D.D.; Doan, N.B.; Dung, N.Q.; Bac, L.H.; Linh, N.H.; Thanh, L.T.H.; Thiet, D.V.; Trung, N.N.; Khang, N.C.; Trung, T.V.; et al. Role of Co dopants on the structural, optical and magnetic properties of lead-free ferroelectric Na0.5Bi0.5TiO3 materials. J. Sci. Adv. Mater. Devices 2019, 4, 584–590. [Google Scholar] [CrossRef]
- Gu, Y.; Zhao, J.; Zhang, W.; Liu, S.; Ge, S.; Chen, W.; Zhang, Y. Improved ferromagnetism and ferroelectricity of La and Co co-doped BiFeO3 ceramics with Fe vacancies. Ceram. Int. 2016, 42, 8863–8868. [Google Scholar] [CrossRef]
- Li, X.J.; Wang, Q.; Li, Q.L. Effects of MnO2 addition on microstructure and electrical properties of (Bi0.5Na0.5)0.94Ba0.06TiO3 ceramics. J. Electroceram. 2008, 20, 89–94. [Google Scholar] [CrossRef]
- Yao, Y.; Zhang, Y. Fabrication and dielectric properties of LiTaO3 matrix ceramics with added manganese dioxide. J. Ceram. Sci. Technol. 2019, 1–10. [Google Scholar] [CrossRef]
- Shannon, R.D. Revised effective ionic radii and systematic studies of interatomic distances in halides and chalcogenides. Acta Crystallogr. A 1976, 32, 751–767. [Google Scholar] [CrossRef]
- La Rosa-Toro, A.; Berenguer, R.; Quijada, C.; Montilla, F.; Morallón, E.; Vázquez, J.L. Preparation and Characterization of Copper-Doped Cobalt Oxide Electrodes. J. Phys. Chem. B 2006, 110, 24021–24029. [Google Scholar] [CrossRef] [PubMed]
- Wu, X.; Fang, C.; Lin, J.; Liu, C.; Luo, L.; Lin, M.; Zheng, X.; Lin, C. Tetragonal Er3+-doped (K0.48Na0.48Li0.04)(Nb0.96Bi0.04)O3: Lead-free ferroelectric transparent ceramics with electrical and optical multifunctional performances. Ceram. Int. 2017, 44, 4908–4914. [Google Scholar] [CrossRef]
- Liu, Y.; Du, Y.; Cheng, C.; Sun, X.; Jiang, N.; Wang, J.; Sun, X. Dielectric and impedance spectroscopy analysis of lead-free (1-x)(K0.44Na0.52Li0.04)(Nb0.86Ta0.10Sb0.04)O3-xBaTiO3 ceramics. Ceram. Int. 2019, 45, 13347–13353. [Google Scholar] [CrossRef]
- Hao, J.; Bai, W.; Li, W. Correlation between the microstructure and electrical properties in high-performance (Ba0.85Ca0.15)(Zr0.1Ti0.9)O3 Lead-free piezoelectric ceramics. J. Am. Ceram. Soc. 2012, 95, 1998–2006. [Google Scholar] [CrossRef]
- Bokov, A.A.; Ye, Z.G. Recent progress in relaxor ferroelectrics with perovskite structure. J. Mater. Sci. 2016, 41, 31–52. [Google Scholar] [CrossRef]
- Qi, X.; Sun, E.; Zhang, R.; Yang, B.; Li, S.; Cao, W. Effect of Mn-doping on dielectric relaxation behavior of Pb(In1/2Nb1/2)O3-Pb(Mg1/3Nb2/3)O3-PbTiO3 ferroelectric ceramics. Ceram. Int. 2017, 43, 16819–16826. [Google Scholar] [CrossRef]







© 2020 by the authors. Licensee MDPI, Basel, Switzerland. This article is an open access article distributed under the terms and conditions of the Creative Commons Attribution (CC BY) license (http://creativecommons.org/licenses/by/4.0/).
Share and Cite
Zhang, Y.; Yao, Y.; He, S. Sinterability and Dielectric Properties of LiTaO3-Based Ceramics with Addition of CoO. Materials 2020, 13, 1506. https://doi.org/10.3390/ma13071506
Zhang Y, Yao Y, He S. Sinterability and Dielectric Properties of LiTaO3-Based Ceramics with Addition of CoO. Materials. 2020; 13(7):1506. https://doi.org/10.3390/ma13071506
Chicago/Turabian StyleZhang, Youfeng, Yali Yao, and Shasha He. 2020. "Sinterability and Dielectric Properties of LiTaO3-Based Ceramics with Addition of CoO" Materials 13, no. 7: 1506. https://doi.org/10.3390/ma13071506
APA StyleZhang, Y., Yao, Y., & He, S. (2020). Sinterability and Dielectric Properties of LiTaO3-Based Ceramics with Addition of CoO. Materials, 13(7), 1506. https://doi.org/10.3390/ma13071506

