Abstract
In order to reduce the amount of fluorite during the steelmaking process for environmental protection, it is essential to investigate the fluorine-free slag system. Thus, high-basicity CaO–SiO2–FeOx–MgO slag with B2O3 content from 0% to 15% was designed, and its melting characteristics and viscosity were investigated. The influence of B2O3 content on the phase diagram of the slag system was calculated using FactSage 7.3, and the break temperature was determined from the curves of temperature-dependent viscosity. The results show that, with the increase in B2O3 content, the melting characteristics of the CaO–SiO2–FeOx–MgO/B2O3 slag system, including liquidus temperature, flow temperature, softening temperature, and hemispheric temperature, all decreased; the main phase of the slag system transformed from Ca2SiO4 into borosilicate, and finally into borate; the viscous flow activation energy reduced from 690 kJ to 130 kJ; the break temperature reduced from 1590 °C to 1160 °C. Furthermore, the melting characteristics and the break temperature of the slag system with 5% and 8% B2O3 content were found to be the closest to the values of fluorine-containing steel slag.
1. Introduction
World crude steel production was 1816.61 million tons in 2018, 70.64% of which was produced using an oxygen converter [1]. As an important physical property of slag, melting characteristics and viscosity have great influence on element diffusion, the reaction between slag and steel, gas escape, heat transfer, metal loss, and lining life. Fluorite is often added as a slag melting agent in order to reduce the melting characteristics and viscosity of slag in the process of converter steelmaking. If the fluorite usage is 2–3 kg/t in general, it can consume metallurgical grade fluorite of 1.64–2.46 million tons, based on the crude steel capacity of 820.20 million tons produced via converter in China in 2018 [2].
The main component in fluorite is CaF2, and its utilization can cause lots of problems, such as environmental pollution, health hazards, and erosion of furnace linings. In addition, China no longer issues new “fluorite mining licenses” as of 2003 in order to protect fluorite resources. Furthermore, fluorite resources were officially listed as national strategic mineral resources in the “National Mineral Resources Planning (2016–2020)” [3] that was issued by the Ministry of Natural Resources in 2016. It is, thus, imperative to find a new fluorine-free alternative that can maintain almost the same physicochemical properties of the fluorine-containing slag system. Many scholars studied the substitution of fluorite in different slag systems, such as Li2O, B2O3, BaO, MgO, Na2O, etc. [4,5,6,7]. The influence of different additives on the melting characteristics and viscosity of slag systems was widely studied. In the CaO–SiO2–MgO–Al2O3 system, the ability to reduce melting characteristics follows the order Li2O > Na2O > B2O3, while MgO can only increase the melting characteristics [8]. The order of reducing viscosity is Li2O > B2O3 > BaO > MgO > Na2O > K2O in the CaO–SiO2–Al2O3–Na2O–K2O system (mass percentage) [9]. These studies provide the possibility to design a new fluorine-free converter slag system.
B2O3 as a good alternative to fluorite due to its similar physical and chemical properties, and it was introduced into many kinds of slags to adjust their viscosity and melting characteristics. It was reported that the addition of B2O3 not only supplies [BO3]-trihedral units into the silicate network, resulting in reducing the symmetry and uniformity of the network structure, but also decreases the break temperature of mold flux and improves the superheat degree, leading to a reduction of the mold flux viscosity [10,11,12,13]. However, research focusing on the effects of B2O3 on the melting behavior, viscosity, desulfurization, and dephosphorization of the new slag is scarcely reported. This article, thus, discusses the effects of B2O3 on the melting behavior and viscosity of the designed slag system.
2. Methodology and Experiment
The composition of converter steel slag from Gansu JISCO Iron and Steel Co., Ltd. (Jiuquan, China) was determined using the ICP-OES method (Inductively coupled plasma optical emission spectrometry, Thermo Scientific, iCAP 7400 ICP-OES), as shown in Table 1. According to the main components of the slag, the experimental slag system was simplified as a CaO–SiO2–FeOx–MgO system.
Table 1.
Compositions of steel slag (mass fraction, %).
2.1. Preparation of Pre-Melted Slag
The samples were prepared using reagent-grade SiO2, CaO, MgO, Fe2O3, Fe, and B2O3 powders (analytically pure, Sinopharm Chemical Reagent Co., Ltd., Shanghai, China). CaO was calcined at 1273 K (1000 °C) for 10 h in a muffle furnace to decompose any carbonate and hydroxide present before being used. The FeOx was prepared via heating Fe and Fe2O3 at 900 °C for 2 h under 100 mL/min of Ar gas in a high-temperature tube furnace (molar ratio 1:1). As B2O3 content increased from 0% to 15%, the mass percentage of MgO remained constant, approaching that of actual steelmaking slag, i.e., MgO/(CaO + SiO2 + FeO + MgO) (g/g) = 0.0685. Each reagent was accurately weighed according to the compositions shown in Table 2 and mixed entirely in an agate mortar. The well-mixed reagents were pressed into a cylindrical mold with a diameter of 30 mm and a height of 10 mm under a pressure of 20 MPa. Then, the compressed samples were placed into a vacuum arc furnace (NMS-DRX II, Chengdu Zhongke New Material Technology Engineering Co., Ltd., Chengdu, China) and heated with a current of 300 A for 100 s to ensure that the samples melted in the argon atmosphere. The samples were inverted, and the above smelting process was repeated four times to ensure the homogeneity of the slag samples. Finally, the obtained samples were crushed using a 200-mesh sieve (0.074 mm).
Table 2.
Compositions of the samples (mass fraction, %).
2.2. Calculation Method Using FactSage
FactSage 7.3 software (version 7.3, Montreal, Canada) was used to predict the melting characteristics and phase diagrams for the slag systems. The influence of B2O3 content on the phase diagram and melting characteristics of the CaO–SiO2–FeOx–MgO/B2O3 system was calculated using the Phase Diagram and Equilib modules in FactSage 7.3, respectively.
2.3. Determination of Melting Characteristics
The sample melting characteristics were measured using a hot-stage microscopy method. The experimental equipment (LZ-III slag MCT tester, Northeast University, Shenyang, China) comprised a high-temperature furnace with accurate high-temperature control, as well as a video image-recording and processing system, as shown in Figure 1.
Figure 1.
Schematic diagram of LZ-III slag tester used for determination of melting characteristics.
The samples were pressed into a cylinder with a diameter of 3 mm and a height of 3 mm, and then put into the furnace and heated with a controllable rate of 15 °C/min. At the same time, the change in sample height was observed through the video image-recording system, as shown in Figure 2. Melting characteristics, including the softening temperature (Ts), hemisphere temperature (Th), and “fluidity temperature (Tf), were defined according to the sample heights of 75%, 50%, and 25%, compared with the original height, respectively [14]. These three temperatures are generally used to characterize the melting trajectory of flux in industrial applications. For instance, the hemispherical temperature is referred to as the melting characteristic of mold flux [15]. The same equipment was described in detailed in a previous paper [16].
Figure 2.
The height changes during the slag melting process: (a) the original height; (b) the corresponding height of softening temperature; (c) the corresponding height of hemispheric temperature; (d) the corresponding height of flow temperature.
2.4. Viscosity Measurements
Viscosity measurements were carried out using a rotary viscometer (RTW-16 High-Temperature Melt Property Tester, Northeast University, Shenyang, China), as shown in Figure 3.
Figure 3.
Schematic diagram of the RTW-16 High-Temperature Melt Property Tester.
The operation process was as follows: (1) 120 g of obtained slag was pressed into a cylinder with a diameter of 30 mm and a height of 10 mm, at a pressure of 20 MPa, using a tableting machine; (2) the pressed samples were placed into an MgO crucible with a diameter of 40 mm and a height of 120 mm, before heating up to 1600 °C with a heating rate of 3 °C/min, held for 2 h in the RTW-16 High Temperature Melt Property Tester; (3) the corundum rotor was immersed into the slag melt, keeping a distance of 10mm from the bottom of the MgO crucible. The viscosity was measured at the rotation rate of 200 rpm, and the values were recorded during the cooling process with a cooling rate of 3 K/min. High-purity argon gas (99.99%, 1.5 L/min) was introduced as the protective gas during the measurement process. The measurement was terminated when the viscosity value was close to 3.5 Pa·s. Castor oil was used to calibrate the instrument [16].
3. Results and Discussion
3.1. Effects of B2O3 on Phase and MCT of CaO–SiO2–FeOx–MgO System
Figure 4 shows the phase diagrams of the CaO–SiO2–FeO–MgO/B2O3 system with different contents of B2O3, drawn using FactSage software. It can be seen that the composition point was located in the monoxide phase region (i.e., primary phase region) without B2O3 addition. With the B2O3 content increasing, the primary phase transformed into Ca2SiO4, and then reached the Ca11B2Si4O22 phase region. Furthermore, the liquidus temperature changed from an initial value higher than 1600 °C down to less than 1400 °C.
Figure 4.
Calculated phase diagrams of CaO–SiO2–FeO–MgO system with different content of B2O3, drawn using FactSage: (a) B2O3 = 0%; (b) B2O3 = 5%; (c) B2O3 = 8%; (d) B2O3 = 10%; (e) B2O3 = 12%; (f) B2O3 = 15%.
Figure 5 shows the equilibrium phase fractions of the CaO–SiO2–FeO–MgO/B2O3 system calculated using FactSage 7.3. It can be seen that the main components in the slag system were Ca2SiO4 and monoxide without B2O3 addition, and then Ca11B2Si4O22 and Ca3B2O6 occurred at 5% B2O3 content and 8% B2O3 content, respectively. When the B2O3 content continued to increase to 12%, the main phases in the slag system were Ca11B2Si4O22 and Ca3B2O6, as well as olivine. Finally, the main boron-containing phases in the slag system became Ca3B2O6 and olivine at 15% B2O3 content. Moreover, the liquidus temperature decreased from an initial value of1650 °C down to 1210 °C with the increase in B2O3 content.

Figure 5.
Calculated equilibrium phase fractions of CaO–SiO2–FeO–MgO/B2O3 system, drawn using FactSage: (a) B2O3 = 0%; (b) B2O3 = 5%; (c) B2O3 = 8%; (d) B2O3 = 10%; (e) B2O3 = 12%; (f) B2O3 = 15%.
In order to confirm the accuracy of FactSage predictions, X-ray diffraction (XRD) analysis was performed for all samples, as shown in Figure 6. It was found that the main phases of the slag system were Ca2SiO4, Ca3SiO5, and monoxide (CaFeO2, MgxFe1−xO) without B2O3 addition. When the B2O3 content was 5%, Ca11Si4B2O22 and Ca2B2SiO7 occurred. When the B2O3 content was increased to 8%, Ca3B2O6 formed. When the B2O3 content was increased to 12% and 15%, the main phases changed to Ca3B2O6 and CaSiO3. Most of these phases were identical to the results of Figure 5, implying that the prediction of FactSage was convincing. It was also found that the slag structure initially became complicated and then gradually changed into a simple structure with the phase transformation caused by the addition of B2O3 [17].
Figure 6.
X-ray diffraction (XRD) patterns of CaO–SiO2–FeOx–MgO/B2O3 systems with different B2O3 content.
Generally, the liquidus temperature (Tliq) and solidus temperature (Tsol) are defined as the maximum and minimum temperatures in the coexistence region of liquid and solid phases, respectively [10]. According to the equilibrium phase fractions calculated using FactSage (shown in Figure 5), Tliq and Tsol of the CaO–SiO2–FeO–MgO/B2O3 system could be calculated with different B2O3 content, as shown in Figure 7. It can be seen that, as the B2O3 content increased, Tliq decreased continuously, while Tsol decreased firstly, then increased slightly, and finally decreased.
Figure 7.
Variation in Tliq and Tsol of CaO–SiO2–FeO–MgO/B2O3 system with B2O3 content calculated using FactSage.
Melting characteristics (Ts, Th, and Tf) are closely related to the formation and melting of solid phases in the flux melting process [14]. Figure 8 shows the effects of B2O3 addition on the melting characteristics (Ts, Th, and Tf) of the CaO–SiO2–FeOx–MgO/B2O3 system. It was found that, with B2O3 content increasing, Ts, Th, and Tf decreased from 1400.60 °C to 1082.80 °C, 1414.60 °C to 1098.80 °C, and 1423.00 °C to 1131.00 °C, respectively. Compared with the melting characteristics of actual converter steel slag (Tf = 1420.00 °C, Th = 1414.00 °C, Ts = 1405.00 °C), the values of the CaO–SiO2–FeOx–MgO/B2O3 system with 5% B2O3 were found to be the closest to that of actual fluorine-containing steel slag, indicating that this slag system could be used as a candidate for steelmaking applications.
Figure 8.
Variation in melting characteristics (Ts, Th, and Tf) of CaO–SiO2–FeOx–MgO/B2O3 system with B2O3 content.
3.2. Effects of B2O3 on Break Temperature and Apparent Activation Energy of CaO–SiO2–FeOx–MgO System
Break temperature [18,19,20,21] is defined by the intersection of the two tangents of the linearized curve branches within a logarithmic plot of viscosity versus the reciprocal Kelvin temperature (K−1), which refers to the temperature at which the fluid undergoes non-equilibrium solidification during the cooling process, and suddenly changes from a Newtonian fluid to non-Newtonian fluid. The break temperature (Tbr) is shown by the abrupt change in viscosity, which separates the fully liquid region from the solid–liquid coexisting region, and it represents the point at which solids are first precipitated in the melt. The same expression was also expressed in a large number of fly-ash-related articles [22,23], but this temperature was called the critical viscosity temperature.
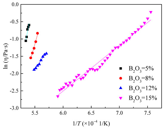
The break temperature of the CaO–SiO2–FeOx–MgO/B2O3 slag system was accordingly investigated based on the temperature-dependent viscosity. The curve of ln η vs. 1/T of the 12% B2O3 system is plotted as an example in Figure 9. Second-order polynomials were determined from three consecutive pairs of log η versus 1/T values, from which the second derivative of log η at the center point was calculated, where the maximum absolute value was identified the break temperature [21]. Break temperature was, thus, calculated, and the results are plotted in Figure 10. It can be seen that, with the content of B2O3 increasing, the break temperature decreased significantly. The addition of B2O3 can inhibit crystallization, and it would also combine with other oxides in the slag to form low-melting-point eutectics, leading to a reduction in break temperature [20,24].
Figure 9.
The natural logarithm of viscosity as a function of 1/T for the CaO–SiO2–FeOx–MgO slag system.
Figure 10.
Break temperature of slag systems with different content of B2O3.
Figure 11 shows the viscosity–temperature curves of the B2O3-containing slag system. The viscosity values were captured at an interval of 10 °C during the cooling process. It can be seen that, with the increase in B2O3 content, the viscosities decreased sharply, and the corresponding break temperature also reduced. Meanwhile, at the same temperature, the viscosities decreased with the increase in B2O3 content, which could be attributed to the slag structure and liquid fraction. In a complete molten state, the viscosity is mainly determined by the melt structure, where simpler [BO3]-trihedral units replace complicated silicate network units, resulting in the viscosity decreasing [11,25,26]. In the coexistence state of liquid and solid phases, the viscosity is mainly affected by the liquid fraction; according to the Roscoe–Einstein equation [27], the viscosity is mainly determined by the solid content in the system, also resulting in the viscosity decreasing.
Figure 11.
Viscosity of slag systems with different content of B2O3.
It should be mentioned that the viscosity of the liquid in the slag system was calculated using FactSage software, as shown in Figure 12. It can be found that the viscosity increased with the rise in B2O3 content, in contrast to the experimental results shown in Figure 11. As reported in the literature [10,17], this interesting phenomenon is worthy of investigation to understand the difference between FactSage calculation results and experimental measurement results.
Figure 12.
Viscosity of slag systems with different contents of B2O3 in liquid phase calculated using FactSage.
The viscosity of borosilicate melts is strongly dependent on the degree of polymerization, which is a function of temperature and composition. Their relationship is generally discussed by taking the activation energy for viscous flow into account. The activation energy for viscous flow of silicate melts can be calculated using the following Arrhenius equation [28]:
where η, η0, Eη, R, and T are the viscosity, a pre-exponent constant, the activation energy, the gas constant, and absolute temperature, respectively. Hence, it is possible to calculate Eη above the break temperature according to the plots of ln η vs. 1/T, as shown in Figure 13. represents the energy barrier for viscous flow, the variations of which imply the structure changes of the molten slag and which further reflect the transformation of the flow units in the slag [10]. The activation energy with different B2O3 content was then calculated, as shown in Figure 14. It can be seen that the activation energy gradually decreased from 690 kJ to 130 kJ with increasing B2O3 content.
Figure 13.
Relationship between ln η and 1/T with different B2O3 content according to the Arrhenius equation.
Figure 14.
Variation in apparent activation energy of viscous flow with B2O3 content.
This can be attributed to the change in slag structure. With the B2O3 content increasing, two-dimensional (2D) triangular [BO3] units occur in the slag system, gradually becoming the dominant structure associated with B–O arrangements, favoring slag flowability and resulting in an apparent reduction in activation energy [17].
4. Conclusions
(1) With the increase in B2O3 content, the melting characteristics including liquidus temperature, softening temperature, and hemispheric temperature of the CaO–SiO2–FeOx–MgO/B2O3 slag system all decreased. The melting characteristics of the slag system with 5% B2O3 were found to be the closest to that of actual fluorine-containing steel slag, indicating that this slag system could be used as a candidate for steelmaking applications.
(2) With the increase in B2O3 content, borosilicate and borate occurred in the CaO–SiO2–FeOx–MgO/B2O3 slag system, resulting in the slag structure initially becoming complicated before gradually changing into a simple structure.
(3) With the increase in B2O3 content, the break temperature was reduced from 1590 °C to 1160 °C, and the viscous flow activation energy was reduced from 690 kJ to 130 kJ.
Author Contributions
Conceptualization, Y.S. and X.D.; methodology, Y.S. and J.C.; software, J.C. and P.Y.; validation, J.C. and J.T.; formal analysis, J.C.; investigation, J.C.; resources, Y.S. and X.D.; data curation, Y.S. and X.D.; writing—original draft preparation, J.C. and Y.S.; writing—review and editing, J.C., Y.S., and X.D.; visualization, J.C.; supervision, Y.S., W.Z., and X.T.; project administration, Y.S.; funding acquisition, Y.S. All authors have read and agreed to the published version of the manuscript.
Funding
This work was financially supported by the National Natural Science Foundation (No. 51904139) and the Innovation Ability Improvement Project of Universities in Gansu Province (No. 2019A-029).
Conflicts of Interest
The authors declare no conflicts of interest.
References
- World Steel Association. Steel statistical yearbook 2019 concise version. 2019. Available online: https://www.worldsteel.org/zh/steel-by-topic/statistics/steel-statistical-yearbook.html (accessed on 7 March 2020).
- Wang, W.L.; Bai, Z.M. Fluorite Resources in China and its Industrial Development Status. Met. Mine (Chin.) 2014, 3, 1–9. [Google Scholar]
- National Mineral Resources Planning (2016–2020). Ministry of Natural Resources of the People’s Republic of China. 2016. Available online: http://www.mnr.gov.cn/gk/ghjh/201811/t20181101_2324927.html (accessed on 7 March 2020).
- Fox, A.B.; Mills, K.C.; Lever, D.; Bezerra, C.; Valadares, C.; Unamuno, I.; Laraudogoitia, J.J.; Gisby, J. Development of fluoride-free fluxes for billet casting. ISIJ Int. 2005, 45, 1051–1058. [Google Scholar] [CrossRef]
- Shi, C.B.; Zheng, D.L.; Shin, S.H.; Li, J.; Cho, J.W. Effect of TiO2 on the viscosity and structure of low-Fluoride slag used for electroslag remelting of Ti-Containing steels. Int. J. Miner. Metall. Mater. 2017, 24, 18–24. [Google Scholar] [CrossRef]
- He, S.P.; Xu, C.S.; Wang, Q.; Chi, J.H.; Li, Y.G.; Qiu, G.B. Discussion of Relevant Technical Problems in Fluorine-Free Mould Fluxes. J. Iron Steel Res. (Chin.) 2007, 19, 1–3. [Google Scholar] [CrossRef]
- Sakamaki, T.; Yagi, T.; Susa, M. Form of fluorine in Na2O-NaF-SiO2 slags determined by infrared spectroscopy. Ironmak. Steelmak. 2003, 30, 396–398. [Google Scholar] [CrossRef]
- He, S.P.; Xie, B.; Wang, Q.; Wang, Y.; Wu, G.R. Study on the Relationship between Composition and Melting Point of Fluorine-Free Continuous Casting Slag. In Proceedings of the 2003 China Iron and Steel Annual Meeting, Beijing, China, 1 October 2003; pp. 1542–1544. [Google Scholar]
- Qiu, B.; Yuan, S.Q.; Cao, Y.L.; Song, M.J.; Liang, D.A.; Zhang, Q.Y. Experimental study on effect of addictives on fluorine-Free mold power. Metall. Collect. (Chin.) 2009, 4, 4–7. [Google Scholar] [CrossRef]
- Wang, L.; Cui, Y.; Yang, J.; Zhang, C.; Cai, D.X.; Zhang, J.Q.; Sasaki, Y.; Ostrovski, O. Melting Properties and Viscosity of SiO2-CaO-Al2O3-B2O3 System. Steel Res. Int. 2015, 86, 670–677. [Google Scholar] [CrossRef]
- Kim, G.H.; Sohn, I. Role of B2O3 on the viscosity and structure in the CaO-Al2O3-Na2O-based system. Metall. Mater. Trans. B 2014, 45, 86–95. [Google Scholar] [CrossRef]
- Zhang, L.; Wang, W.L.; Zhai, B.Y.; Sohn, I. The evolution of the mold flux melt structure during the process of fluorine replacement by B2O3. J. Am. Ceram. Soc. 2020, 103, 112–121. [Google Scholar] [CrossRef]
- Zhang, L.; Wang, W.L.; Xie, S.L.; Zhang, K.X.; Sohn, I. Effect of basicity and B2O3 on the viscosity and structure of fluorine-Free mold flux. J. Non-Cryst Solids 2017, 460, 113–118. [Google Scholar] [CrossRef]
- Wang, L.; Zhang, C.; Cai, D.X.; Zhang, J.Q.; Sasaki, Y.; Ostrovski, O. Effects of CaO/SiO2 ratio and Na2O content on melting properties and viscosity of SiO2-CaO-Al2O3-B2O3-Na2O mold fluxes. Metall. Mater. Trans. B 2017, 48, 516–526. [Google Scholar] [CrossRef]
- Wen, G.H.; Sridhar, S.; Tang, P.; Qi, X.; Liu, Y.Q. Development of fluoride-Free mold powders for peritectic steel slab casting. ISIJ Int. 2007, 47, 1117–1125. [Google Scholar] [CrossRef]
- Shen, Y.Y.; Chong, J.K.; Huang, Z.N.; Tian, J.K.; Zhang, W.J.; Tang, X.C.; Ding, W.W.; Du, X.Y. Viscosity and Structure of a CaO-SiO2-FeO-MgO System during a Modified Process from Nickel Slag by CaO. Materials 2019, 12, 2562. [Google Scholar] [CrossRef] [PubMed]
- Fan, X.Y.; Zhang, J.L.; Jiao, K.X.; Xu, R.Z.; Wang, K.D. Influence of B2O3 on viscosity and structure of low MgO slag containing titanium. Metall. Res. Technol. 2018, 115, 313. [Google Scholar] [CrossRef]
- Sridhar, S.; Mills, K.C.; Afrange, O.D.C.; Lorz, H.P.; Carli, R. Break temperatures of mould fluxes and their relevance to continuous casting. Ironmak. Steelmak. 2000, 27, 238–242. [Google Scholar] [CrossRef]
- Kim, G.H.; Sohn, I. A study of the viscous properties with NaF additions in the CaO-SiO2-12 mass pct Na2O based slags. Metall. Mater. Trans. B 2011, 42, 1218–1223. [Google Scholar] [CrossRef]
- Wang, W.L.; Dai, S.F.; Zhou, L.J.; Zhang, J.K.; Tian, W.G.; Xu, J.L. Viscosity and structure of MgO–SiO2-based slag melt with varying B2O3 content. Ceram. Int. 2020, 46, 3631–3636. [Google Scholar] [CrossRef]
- Kölbl, N.; Harmuth, H. Automated break temperature determination of mould slags for the continuous casting of steel based on temperature-dependent viscosity data. Ironmak. Steelmak. 2019, 1–4. [Google Scholar] [CrossRef]
- Kondratiev, A.; Ilyushechkin, A. Flow behaviour of crystallising coal ash slags: Shear viscosity, non-Newtonian flow and temperature of critical viscosity. Fuel 2018, 224, 783–800. [Google Scholar] [CrossRef]
- Xuan, W.; Zhang, J.; Xia, D. Crystallization characteristics of a coal slag and influence of crystals on the sharp increase of viscosity. Fuel 2016, 176, 102–109. [Google Scholar] [CrossRef]
- Kim, G.H.; Sohn, I. Effect of CaF2, B2O3 and the CaO/SiO2 mass ratio on the viscosity and structure of B2O3-containing calcium-Silicate-Based melts. J. Am. Ceram. Soc. 2019, 102, 6575–6590. [Google Scholar] [CrossRef]
- Bian, L.T.; Gao, Y.H. Influence of B2O3 and basicity on viscosity and structure of medium titanium bearing blast furnace slag. J. Chem. 2016, 6754593. [Google Scholar] [CrossRef]
- Li, Q.H.; Yang, S.F.; Zhang, Y.L.; An, Z.Q.; Guo, Z.C. Effects of MgO, Na2O, and B2O3 on the viscosity and structure of Cr2O3-Bearing CaO–SiO2–Al2O3 slags. ISIJ Int. 2017, 57, 689–696. [Google Scholar] [CrossRef]
- Roscoe, R. The viscosity of suspensions of rigid spheres. Br. J. Appl. Phys. 1952, 3, 267. [Google Scholar] [CrossRef]
- Arrhenius, S. The viscosity of solutions. Biochem. J. 1917, 11, 112. [Google Scholar] [CrossRef] [PubMed]
© 2020 by the authors. Licensee MDPI, Basel, Switzerland. This article is an open access article distributed under the terms and conditions of the Creative Commons Attribution (CC BY) license (http://creativecommons.org/licenses/by/4.0/).