Next Article in Journal
Effect of SiO2–Al2O3 Glass Composite Coating on the Oxidation Behavior of Ti60 Alloy
Previous Article in Journal
Analysis of the Part Distortions for Inconel 718 SLM: A Case Study on the NIST Test Artifact
 
 
Font Type:
Arial Georgia Verdana
Font Size:
Aa Aa Aa
Line Spacing:
Column Width:
Background:
Article

Deformation and Fracture Failure of a High-Speed Long Rod Intercepted by Linear Explosively Formed Penetrators Sequence

1
School of Mechatronical Engineering, Beijing Institute of Technology, Beijing 100081, China
2
No.52 Institute of China Ordnance Industries, Yantai 264003, China
3
Key Laboratory of Instrumentation Science and Dynamic Measurement, Ministry of Education, North University of China, Taiyuan 030051, China
*
Authors to whom correspondence should be addressed.
Materials 2020, 13(22), 5086; https://doi.org/10.3390/ma13225086
Submission received: 26 September 2020 / Revised: 4 November 2020 / Accepted: 9 November 2020 / Published: 11 November 2020

Abstract

The fracture failure of a high-speed long rod has historically been a challenge. Since the flying plate and flying rod have a relatively low velocity, it is challenging to achieve a multi-stage fracture of the high-speed long rod within the range of existing technology. In this paper, the linear explosively formed penetrators (LEFPs) sequence with a stable flight velocity of 850 m/s were used to cut a high-speed long rod. We investigated the deformation and fracture of Φ10 mm tungsten alloy long rods having different length-diameter ratios (20, 26, 35) and different speeds (1200, 1400, 1600 m/s) by employing the LEFPs sequence with different spacings (0–40 mm) and different interception angles (30°, 60°). In the meantime, the fractured rods movement pattern was recorded with a high-speed camera to elucidate the change law of the length, speed, linear momentum, and angular momentum of fractured rods. It was found that the length loss rate of the fractured rods is as high as 27%. The fractured rods rotated around the center of mass, and the vertical speed change could reach up to 18% of the muzzle velocity of the long rod, and the greatest reduction of horizontal speed and momentum could reach 37%. The longer the interaction time between LEFPs sequence and the long rod, the more beneficial the failure of the long rod. The application of LEFPs sequence solved the difficult problem of disabling the high-speed long rod, and the quantitative analysis of the fracture failure of the long rod had an important sense for studying the terminal penetration effect of the fractured rods.

1. Introduction

The fracture failure of a high-speed long rod has always been a challenge. In the range of existent technology, the dynamic flying plates or flying rods were concerned with applying the interception of a high-speed long rod, resulting in deformation or fracture of a high-speed long rod. E. Lidén et al. studied the shape of the fractured rod after the interaction of a 60° inclined steel flying plate and a long rod [1]. Its influencing factors include the length-to-diameter ratio (15, 30, 45), the thickness of the steel plate (0.5, 1, 1.5 times of the projectile diameter), long-rod projectile velocity (1500, 2000, 2500 m/s), and steel plate velocity (−300 to 300 m/s) [2,3]. Afterwards, the process from the deformation to the fracture of the long rod was reproduced by numerical simulation and the fracture mechanism of the long rod was analyzed [4]. After defining the dimensionless parameters of interaction between the long rod and flying plate (the ratio of the vertical movement velocity of the fractured rod to the horizontal sliding velocity), E. Lidén et al. concluded that the greater the value of this parameter, the larger the number of fractured segments of the long rod [5]. Shin H. et al. also used the numerical simulation method for investigating the effects of plate velocity and long rod impact velocity on residual kinetic energy and exploring the interaction mechanism of the long rod with a flying plate [6]. In addition to the effect of the flying plate on the long rod, E. Lidén et al. also carried out simulation and experimental research on the influence of the flying rod velocities and hitting points on the long-rod projectile [7]. Yo-Han Yoo et al. also used numerical simulation methods to study the effect of the diameter of the flying rod, the distance and position of the collision on the failure of the long rod, as well as the effect on the residual penetration depth after the deformation of the long rod [8,9]. Inspired by the flying rod intercepting the high-speed long rod, Joo J. et al. replaced the flying rod with the linear explosively formed penetrator (LEFP) and investigated the collision effect against a long rod by a LEFP through a series of numerical analyses [10]. As the detonation product of a linear-shaped charge (LSC), the stable flight velocity of LEFP is significantly higher than that of the flying plate or flying rod. Lim. et al. established the steady state analytical equation of motion of LSC jet after LSC detonation based on the Birkhoff theory and studied the shape and velocity of LSC detonation products [11,12,13,14,15,16]. In the literature [17,18,19,20,21], the effects of different structural parameters and material properties of LSC on its penetration properties were studied. After designing the LSC with an arc-shaped liner, Ruijun Gou et al. established a theoretical model of the LEFP detonation at different initiation positions and discussed the factors affecting its penetration depth [21,22]. The process of LEFP truncating the long rod can be regarded as the thermomechanical loading process, and the occurrence and propagation of cracks lead to the failure of the long rod. A. Singh et al. studied the effect of thermomechanical loading on an edge crack of finite length in an infinite orthotropic strip and obtained the analytical expressions for the stress intensity factor (SIF) at the crack tip [23]. In the literature [24,25], numerical simulations were performed to establish the role of the residual stresses generated after fatigue precaching, considering different Kmax-levels. The implications of the finite element results for fracture criteria based on critical stress or strain, or both, was discussed with respect to the transition of fracture mode and the angle of initial crack-growth [26].
To address the challenge of multi-segment fracture failure of the high-speed long rod, the LEFPs sequence was adopted to intercept the high-speed long rod in this article. First, we obtained the forming shape and flight speed of LEFP through the LSC detonation test. Afterwards, the influence of LEFP interception angles (30°, 60°), spacing (0, 10, 20, 30, and 40 mm), long rod length-to-diameter ratios (20, 26, 35), and velocity (1200, 1400, 1600 m/s) on the interaction between tungsten long-rod (Φ10 mm) and LEFP were studied experimentally. Finally, this article put up a quantitative analysis on the otherness of before and after fracture failure about the length loss rate, velocity change, momentum change, angular momentum change, and constructed concern between the influence factors and the fracture failure of the long rod. This work has an important significance for the fracture failure study of a high-speed long rod.

2. Experiment

LSC is a strip-shaped charge structure, which is composed of a metal liner, insensitive explosive, and non-metallic shell. The LSC detonated at the center point. The center of the shell is perforated to insert the detonator to ensure that the detonator is in good contact with the explosive, as shown in Figure 1. RLiner, δLiner, Rsh, δsh, WLiner, hex, and LChanrge are the liner inner diameter, the liner thickness, the outer diameter of the shell base, shell thickness, charge width, charge height, and charge length, respectively.

2.1. Linear-Shaped Charge (LSC) Test Preparation

Figure 2 shows the LSC used in the experiment. Figure 2a is the main charge of LSC, and Figure 2b is the copper liner of LSC. Table 1 shows the related parameters of the LSC. The length of the LSC is 100 mm, in which 96 g of insensitive explosives are loaded between the liner and the shell. The detonation velocity of explosive is 5880 m/s, with a charge density of 1.1 g/cm3. The material parameters of the liner are shown in Table 1.

2.2. X-ray Test Setup of Linear-Shaped Charge

To obtain the shape and velocity of the LEFP after the LSC detonation, an X-ray test was carried out. Figure 3 is a layout diagram of a LSC X-ray test. The LSC was placed on a PVC cylinder that is situated in a sandbox. The height of the PVC cylinder was 300 mm. The LSC, PVC cylinder, and sandbox were placed between the X-ray exit and the imaging device. The imaging device was composed of an imaging plate and a protective cover.

2.3. Interception Experiment of Dynamic Long Rod with Multiple Linear-Shaped Charges

Multiple LSCs were arranged side by side at a certain inclination angle θ above the striking direction of the long-rod projectile, in which the spacing between adjacent LSCs was s, and the lowest linear-shaped charge was 200 mm above the ground (H = 200 mm). The signal plate was placed in front of the LSC. The backplane was a SHY685NS steel plate with a thickness of 30 mm, which is placed behind the LSC. The distance between the detonating plate and the backplane was 390 mm. The body of the long rod projectile was a tungsten alloy with a diameter of 10 mm. The striking height of the long-rod projectile was h. The long rod first hit the signal board, which transmits electrical signals to the electric detonators. The electric detonators simultaneously detonated multiple LSCs, and then formed the LEFPs sequence, resulting in the fracture of the long rod. The fractured rods penetrated the witness plate, which not only recorded the direction of penetration of the fractured rods, but also effectively isolated the scattering of detonation products and part of the detonation glare, facilitating the photographing of motion morphology of the fractured rods with a high-speed camera. The high-speed camera was placed 30 m away from the curtain. The test layout is shown in Figure 4.
The parameters describing the damage and fracture performance of long rod include the change in mass of the fractured rod (∆m/mproj), the change in length (−∆L/L), the number of fractures (n), and the ratio of the longest length of the fractured rod (Lmax/L). To better describe the shape of the long rod fracture and damage after being intercepted, the velocity, momentum, and angular momentum of the fractured rods need to be analyzed. The speed change of the fractured rods can be described as:
Δ V X = X i = n n V Xi = X i = n n r Xi 2 r Xi 1 t 2 t 1
Δ V Z = Z i = n n Δ V Zi = Z i = n n V Zi V proj
V Zi = r Zi 2 r Zi 1 t 2 t 1
where ( r Xi 1 , r Yi 1 , r Zi 1 ) and ( r Xi 2 , r Yi 2 , r Zi 2 ) represent the three-dimensional coordinates of fractured rod i at times t1 and t2, respectively. The number of fractured rods is n.
Δ V = i m i Δ V i / m rps
where mi, ΔVi, and m rps = i m i represent the mass of the fractured rod i, the velocity change value of the fractured rod center of mass, and the total mass of the fractured rods, respectively. The momentum change of the fractured rod is described as:
Δ P = i m i V proj + Δ V i P proj    
where Pproj = mproj × Vproj is the momentum of the long rod. mproj and Vproj represent the mass and velocity of the long rod, respectively. The angular momentum of the fractured rods is described as:
Δ H = i [ J i Δ ω i + r i r rps × m i Δ V i  
where Ji and Δωi are the moment of inertia and angular velocity of the fractured rod i, respectively. ri is the moving distance of the center of mass of the fractured rod i, whereas rrps is the moving distance of the center of mass of all fractured rods.

3. Results

3.1. X-ray Test Results

Figure 5 shows X-ray images captured at 30 and 130 μs after detonating the LSC. It can be seen that the LSC liner began to flip at 30 μs, and the detonation product has completed flipping at 130 μs to reach a stable flight status. The flight velocity of the LSC detonation product was calculated by X-ray photography to be about 850 m/s. Figure 6 shows the LSC detonation product collected in the X-ray experiment sandbox. It can be seen that the shape of the overturned molding of the liner was basically consistent with the X-ray images.

3.2. Test Results of LEFP Interception High-Speed Long Rod

When the linear-shaped charge (LSC) detonated, the resulting LEFP intercepted the dynamic long rod. Through high-speed photography, photos of the dynamic long rods deformation and fracture were captured. The test results were obtained by analyzing the photos. In the test, the length-to-diameter ratios of the dynamic long rods were 20, 26, and 35, and the velocity were 1200, 1400, and 1600 m/s, respectively. The detonation delay of the signal board was 10 μs. The inclinations of the linear-shaped charge in the test θ were selected as 30 and 60°. The spacing of the LSCs was also selected as 0, 10, 20, 30, and 40 mm. The test results are shown in Table 2. The ratios of multi-section fractured rods to the long rod and the variations in velocity, linear momentum, and angular momentum of the multi-section fractured rods are calculated and listed in Table 3.

4. Discussion

4.1. The Fractured Rods and Bullet Hole Shape

After the LEFPs sequence hit the long rod, the long rod fractured. Figure 7 shows a photograph of the tungsten alloy long rod fractured by the LEFP interception. The penetration trace by copper LEFP remained at the cut of the tungsten alloy fractured rod, in which the cut surface of the fracture is relatively flat.
When the fractured rods passed through the backplane, the bullet hole appeared as a single hole expansion or multiple holes. Figure 8 is the photograph of the fractured bar penetrating the backplane in the fourth test, in which the bullet hole size was 40 mm × 50 mm. Figure 9 is the photography screenshot of the fractured bar penetrating the backplane in the seventh test, which has a bullet hole size of 40 mm × 70 mm. It can be seen that the size of the bullet holes on the backplane was all larger than the diameter of the dynamic long rod by 10 mm. Under the action of multiple LEFPs, the dynamic long rod all fractured, and the moving direction of the fractured rods changed to a certain extent, deviating from the initial trajectory direction and enlarging the incident hole of the backplane.
Figure 10 shows a high-speed photography screenshot of the fractured rod at 24.1 ms in the fourth test. It can be seen that the head of the long rod was fractured, and the moving direction of the two fractured rods shifted to a certain extent. Figure 11 is a high-speed photography screenshot of the fractured rod at 19.9 ms in the 7th test. It can be seen that the long rod fractured into four relatively even fractures. The four fractured rods were scattered around with different moving directions. The long rod fractured into a large number of fractures with various moving directions, resulting in multiple craters on the backplane by the fractured rod, which increases the area of the bullet holes on the backplane.
Therefore, it can be concluded that the number, length, and deflection angle of the fractured rod affect the opening shape of the backplane to a certain extent, which in turn affects the penetration performance of the fractured rod. In the following section, the influencing factors such as the length-to-diameter ratio, velocity of the long rod, and LSC spacing on the fractured rod shape are analyzed and studied.

4.2. Effect of the Length-Diameter Ratio of the Long Rod

Figure 12 shows a screenshot of the position of the fractured residual rod on the screen captured by a high-speed camera at 26 ms after the dynamic long rod triggers the signal board, in which each dotted grid represents 50 mm × 50 mm. The velocity of the long rod was 1200 m/s. The length-to-diameter ratios of the long rod from left to right in the photo were L/D = 20, 26, and 35, and the interception angles from top to bottom were θ = 30° and 60°. The test number was marked in the upper right corner.
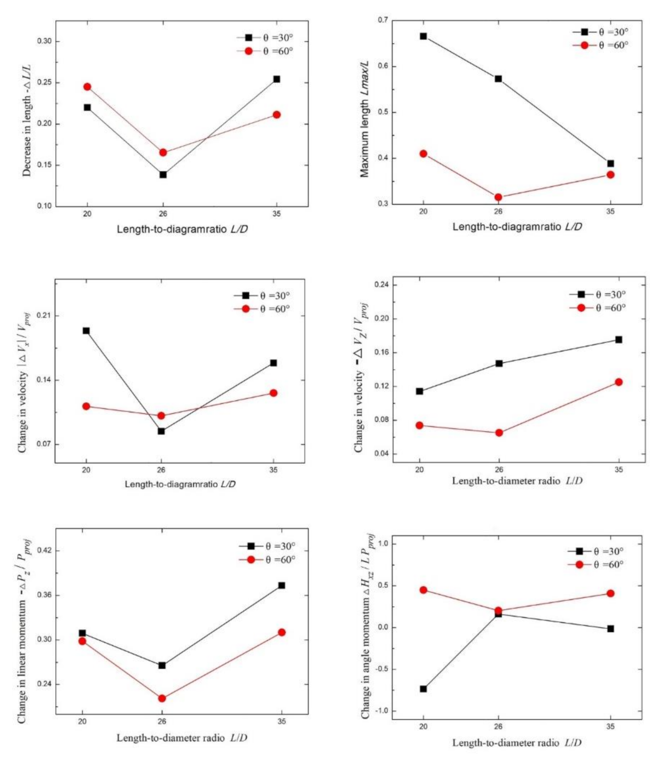
It can be seen from Figure 13 that as the length-to-diameter ratio (L/D) of the long rod increased, the number of fractured rods increased. The main reason is that under the same long rod diameter D, with increasing L/D, the long rod length L increased, and the number of LEFPs that can act on the long rod also increased. As a result, the number of fractured rods increased. At the same time, the number of fractured rods at θ = 60° was greater than that at θ = 30°, primarily because the distance d between LEFPs and the long rod at θ = 60° is smaller than that at the time of θ = 30°, which causes more LEFPs to contact with the long rod within a certain time and generate more truncated rods.
Since the deflection direction and angle of the fractured rods are affected by the center of mass and the interacting position of the LEFP, the deflection direction of the fractured rod in different positions varied accordingly. The head fractured rod rotates counterclockwise around the center of mass. The tail fractured rod, which is exactly opposite of the head fractured rod, rotates clockwise around the center of mass. The middle-fractured rods are subjected to the LEFP shearing force at the front and rear end position, which rotate clockwise and counterclockwise successively and smoothly around the center of mass with deflection angles smaller than those of head and tail fractured rods.
Figure 13 shows the trend of the evaluation of the fractured rods. The data in the figure are based on the data of entries 1–6 in Table 3. After the long rod fractured, the length of the rod changed to a certain extent. −ΔL/L is the length loss rate after the long rod collides the LEFP. The number of fractured rods determines the change in the total length of the fractured rods (−∆L). In other words, the larger the number of fractured rods, the greater the value of −∆L. When L/D was 20 and 26, the number of fractured rods was identical, with increasing Lproj, the value of −∆L/L decreased. When L/D was 35 and the number of fractured rods increased, with rising −∆L, the value of −∆L/L was greater than the value of L/D = 26.
Lmax is the length of the longest fractured rod. When θ = 60°, the value of Lmax/L was less than θ = 30°; meanwhile, when θ = 30°, Lmax/L showed a downward trend with the increase of L/D primarily since the number of fractured rods increases and the length of the longest fractured rod also decreases. At the same time, the Lmax/L value had certain randomness, which depends on the intersection of the long rod and LEFP to a certain extent. Since the penetration depth of the longest fractured rod is related to its length, the smaller the Lmax/L value, the lower the subsequent penetration performance of the fractured rod.
Vx is the velocity component in the x-axis direction when the fractured rod is deflected by the LEFP. Vx depends on the length of the fractured rod and the position of the fractured rod impacted by LEFP. The longer the length of the fractured rod, the larger the inertia and the smaller the Vx. The rotation angle of the fractured rod depends on the position of fractured rod impacted by LEFP, implying that the positive and negative values of Vx are different. |ΔVx| is the absolute value of the velocity change of all fractured rods. The larger the |ΔVx| value, the greater the longitudinal velocity obtained by all fractured rods. The instability of fractured rods is positively correlated with the angle of the fractured rods from the original penetration direction. It can be seen that when L/D was 20 and 35, |∆Vx|/Vproj was greater than that of L/D = 26.
The velocity of the fractured rods in the z-axis direction has a certain degree of reduction. The velocity reduction rate of fractured rods in the z-axis direction can be quantified by −∆Vz/Vproj value. With the increase of the long diameter ratio (L/D), −∆Vz/Vproj increased, suggesting that the velocity of the fractured rods in the z-axis direction decreases. Primarily owing to the increase of L/D, the number of fractured rods n increased. With decreasing Lmax/L, the mass of a single fractured rod decreased, and the velocity of the fractured rods increased after interacting with LEFP.
The −∆Pz/Pproj value reflects the momentum change rate of the fractured rods in the z-axis direction. The momentum reduction rate of the fractured rods in the z-axis direction decreased first and then increased with the increase of L/D. The value of −∆Pz/Pproj at θ = 60° was greater than that at θ = 30°. Since the value of −∆Pz/Pproj is related to the fractured rod mass m i and ∆Vz, it can be seen that the change trend of the −∆Pz/Pproj value is in line with the variation trends of the −∆L/L and −∆Vz/Vproj.
Hxz is determined by the rotation angle and movement velocity of the fractured rods around the center of mass. The fractured rod rotates clockwise around the center of mass when the angular velocity is positive, and vice versa. ΔHxz/LPproj reflects the rotation amplitude of the fractured rod. It can be seen from Figure 13 that the rotation amplitude of the fractured rods at θ = 60° was higher than that at θ = 30°. The rotation amplitude of the fractured rods determines the size of the damaged area of the backplane. The broader the rotation amplitude, the larger the damaged area of the backplane.

4.3. The Velocity Effect of the Long Rod

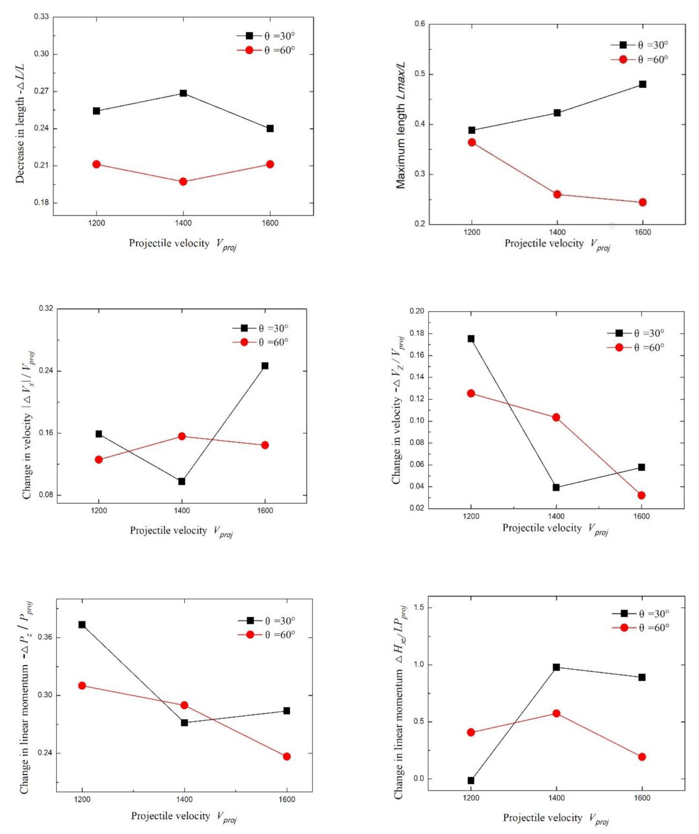
Figure 14 shows high-speed camera screenshots of a long rod with a L/D ratio of 35 at velocities of 1200, 1400, and 1600 m/s, respectively, at 26 ms after the signal board is triggered (5–8, 17, 18 round test results). It can be seen that with the increasing velocity of the long rod, the length of the middle-fractured rods increased. This result is primarily attributed to the increase in the velocity of the long rod and the increase in the interaction time difference of the adjacent LEFPs, resulting in the intersection backward of the LEFP with the long rod. As the length of the middle fractured rods increased, the angular momentum of the center fractured rods decreased, and the penetration depth increased.
Figure 15 shows the fractured rods performance curve at different long rod velocities. It can be seen that the increase in the velocity of the long rod affected −∆L/L slightly. When θ = 30°, −∆L/L was higher than that of θ = 60°. In other words, when θ was small, the length loss rate of the fractured rod −ΔL/L was significant.
The value of Lmax/L at θ = 30° was higher than that at θ = 60°. When θ = 30°, the Lmax/L value increased as the velocity of the rod increased. When θ = 60°, the Lmax/L value decreased with the increasing velocity of the rod. When θ = 30°, the velocity of the long rod increased, whereas the time interval between adjacent LEFPs intercepting long rods remained constant, resulting in an increase in the length of the middle fractured rod and an increase in the Lmax/L value. When θ = 60°, the time interval was smaller than that at θ = 30°. In the meantime, the velocity of the long rod increased, resulting in a more uniform length of the fractured rods and decreased value of Lmax/L.
The |ΔVx|/Vproj value increased with the increase of the long rod velocity, indicating that the higher the velocity of the long rod, the less the stability of the fractured rods after being impacted by LEFPs. When θ = 30° and Vproj = 1400 m/s, the |ΔVx|/Vproj value exhibited some special characteristics. As can be seen from the images in Figure 15, the head fractured rod in the front section was also impacted by LEFP. In the meantime, the abrasion on tip appeared. This resulted in a small ΔVx value of the fractured rod in the front section, as well as a small |ΔVx|/Vproj value. When θ = 60°, the |ΔVx|/Vproj value was less than that at θ = 30°, suggesting that the smaller the interception angle of LEFP, the more favorable it is for the fractured rods to rotate.
The value of −∆Vz/Vproj decreased with the increase of the velocity of the long rod, which is primarily due to the fact that the fractured rod maintains inertial motion after the interaction with LEFP, which decreased the reduced value of the fractured rods velocity in the z-axis direction.
The value of −∆Pz/Pproj showed a downward trend with the increase of the rod velocity. The changing trend was the same as that of −∆Vz/Vproj.
The value of ΔHxz/LPproj was the maximum when Vproj = 1400 m/s regardless at θ = 30° or 60°, but diminished when the long rod velocity was 1200 or 1600 m/s. It can be seen that when LEFP intercepted a long rod at a certain velocity, the value of the angular momentum change of the fractured rods in the XZ plane was the maximum at the long rod velocity of about 1400 m/s, indicating that the rotation angle of the fractured rods and the spread range were large. It also can be seen that the value of ΔHxz/LPproj was less impacted by the velocity of the rod at θ = 60° but more influenced by the velocity of the rod at θ = 30°.

4.4. Effect of LSC Spacing

Figure 16 shows images of the fractured rods, where after 26 ms the long rod hit the signal board and interacted with LEFP with different spacing. The velocity of the long rod was 1400 m/s, the length-to-diameter ratio was 35, and the spacing of the linear shape charge was 0, 10, 20, 30, and 40 mm. With the increasing LSC spacing, the mutual interference in the detonation process is reduced, which is more favorable for the stable formation of LEFP. On the other hand, with the increasing LSC spacing, the length of the fractured rod changed from the isometric length to significantly different lengths with the reduced fractured rod amount. The main reason for this phenomenon is that after increasing the LSC spacing, the time interval between adjacent LEFP intercepting long rods increases, which reduces the number of fractured rods.
Figure 17 shows the curve of fractured rods after the interaction of LSCs having different spacings with the long rod. The value of −ΔL/L basically decreased with the increase of LSC spacing. When θ = 60°, there were more fractured rods than when θ = 30°, so the value of −∆L/L was higher. The −∆L/L value depends not only on the number of fractured rods, but also on whether the head or tail of the long rod is abraded by LEFP. In the case of s = 0, in the eighth test, when LEFP hit the long bar at an interaction angle of 30°, the head of the long rod fractured and abraded, resulting in a high value of −∆L/L. Similarly, in the case of s = 10, when LEFP hit the long pole at an inclination angle of 60°, one of the LEFPs and the tail of the long rod were abraded, so the −∆L/L value was also higher than when s = 0 and 20.
The Lmax/L value increased with the increase of the LSC spacing, indicating that the maximum length of the fractured rod increased. The maximum fractured rod length at θ = 30° was greater than the maximum fractured rod length at θ = 60°.
The |ΔVx|/Vproj value showed a downward trend with the increase of LSC spacing, which is attributed to various factors, including the reduced number of fractured rods, increased length, increased inertia, decreased longitudinal displacement, etc. The |ΔVx|/Vproj value at θ = 60° was significantly higher than that at θ = 30°.
The value of −ΔVz/Vproj decreased with the increase of the LSC spacing, indicating that the reduced value of the fractured rods on the z-axis velocity tended to be small, which is mainly due to the rise in the length of the fractured rod, the inertial motion of fractured rod, and the reduced effect of LEFP on the z-axis velocity of the fractured rods. The influence of LEFP on the velocity of the fractured rods at θ = 60° was greater than that at θ = 30°.
The value of −ΔPz/Pproj basically decreased with the increasing LSC spacing. This value is related to mi and ∆Vi. The value of −ΔPz/Pproj at θ = 60° was higher than that at θ = 30°.
The value of ΔHxz/LPproj varied with the increase of LSC spacing, which exhibited a changing trend of a broken line. The value ΔHxz/LPproj at θ = 30° was higher than that at θ = 60°. ΔHxz depends on the rotation angle and movement velocity of the fractured rods around the center of mass. When the fractured rod rotates clockwise around the center of mass, the angular velocity is positive, and vice versa. ΔHxz/LPproj reflects the fractured rods rotation amplitude. Only at θ = 60°, ΔHxz/LPproj was a negative value when the spacing distance was 10 or 30 mm. In other words, the amplitude of the fractured rod rotating counterclockwise around the center of mass was greater than that of clockwise rotation.

5. Conclusions

This paper studies the deformation and fracture failure of a high-speed long rod intercepted by the LEFPs sequence. The following conclusions can be made:
  • LEFP with a stable flight velocity of 850 m/s was formed after the LSC explosion. The LEFPs sequence could cut the high-speed long rod (speed about 1200~1600 m/s) in several segments (number about 2~4) and yaw the fractured rods.
  • In this paper, the deformation and fracture failure of a high-speed long rod was quantified: The length loss rate of the fractured rods is as high as 27%, and the length of the longest fractured rod could be as low as 23% of the original length. The fractured rods rotated around the center of mass and the vertical speed change could reach up to 18% of the muzzle velocity of the long rod, and the greatest reduction of the horizontal speed and momentum could reach 37%.
  • The increase in the interception angle and the reduction in the distance between the LEFPs sequence can increase the interaction time. The longer the interaction time, the more beneficial the failure of the long rod.
In this paper, the application of the LEFPs sequence solved the difficult problem of disabling the high-speed long rod. The quantitative analysis to the fracture failure of long rod had an important sense for studying the terminal penetration effect of the fractured rods.

Author Contributions

Writing—original draft preparation, Y.L.; methodology, H.H.; review and guidance, Z.H.; editing, A.S.; project administration, X.X.; test implementation, H.L. and S.S. All authors have read and agreed to the published version of the manuscript.

Funding

This research received no external funding.

Conflicts of Interest

The authors declare no conflict of interest.

References

  1. Liden, E.; Johansson, B. Effect of thin oblique moving plates on long rod projectiles: A reverse impact study. Int. J. Impact. Eng. 2006, 32, 1696–1720. [Google Scholar] [CrossRef]
  2. Liden, E.; Andersson, O. Deformation and fracture of a long-rod projectile induced by an oblique moving plate: Experimental tests. Int. J. Impact. Eng. 2011, 38, 989–1000. [Google Scholar] [CrossRef]
  3. Liden, E.; Helte, A. Fracture of long rod projectiles subjected to oblique moving plates. In Proceedings of 26th Int Symp on Ballistics; Destech: Miami, FL, USA, 2011; pp. 1736–1747. [Google Scholar]
  4. Liden, E.; Mousavi, S. Deformation and fracture of a long-rod projectile induced by an oblique moving plate: Numerical simulations. Int. J. Impact. Eng. 2012, 40, 35–45. [Google Scholar] [CrossRef]
  5. Liden, E.; Helte, A. The break-up tendency of long rod projectiles. Def. Technol. 2016, 12, 177–187. [Google Scholar] [CrossRef]
  6. Shin, H.; Yoo, Y. Effect of the velocity of a single flying plate on the protection capability against obliquely impacting long-rod penetrators. Combust. Explo. Shock. 2003, 39, 591–600. [Google Scholar] [CrossRef]
  7. Liden, E.; Andersson, O. Influence of side-impacting dynamic armour components on long rod projectiles. In Proceedings of the 23th Int Symp on Ballistics, Tarragona, Spain, 16–20 April 2007; pp. 1099–1106. [Google Scholar]
  8. Yoo, Y.; Paik, S.H. Effects of impact location and angle of a flying cross bar on the protection of a long rod penetrator. Trans. Can. Soc. Mech. Eng. 2013, 37, 1115–1125. [Google Scholar] [CrossRef]
  9. Yoo, Y.; Paik, S.H. Performance of a flying cross bar to incapacitate a long-rod penetrator based on a finite element model. Eng. Comput. Ger. 2013, 29, 409–415. [Google Scholar] [CrossRef]
  10. Joo, J.; Choi, J. Numerical analysis of penetration reduction of a long rod penetrator impacted by a linear explosively formed penetrator. In Proceedings of 30th Int Symp on Ballistics; Destech: Long Beach, CA, USA, 2017; pp. 1886–1896. [Google Scholar]
  11. Lim, S. Steady state equation of motion of a linear shaped charges liner. Int. J. Impact. Eng. 2012, 10, 10–16. [Google Scholar] [CrossRef]
  12. Lim, S. Steady State Analytical equation of motion of linear shaped charges jet based on the modification of birkhoff theory. Appl. Sci. 2012, 2, 35–45. [Google Scholar] [CrossRef]
  13. Lim, S. Jet Velocity profile of linear shaped charges based on an arced liner collapse. J. Energy Mater. 2013, 31, 239–250. [Google Scholar] [CrossRef]
  14. Lim, S. Jet flight patterns of linear shaped charges. J. Energy Mater. 2016, 34, 14–25. [Google Scholar] [CrossRef]
  15. Lim, S. Liner collapse line of linear shaped charges. J. Energy Mater. 2017, 35, 125–135. [Google Scholar] [CrossRef]
  16. Johnston, M.; Lim, S. Numerical observation of the jet flight patterns of linear shaped charges. Appl. Sci. 2012, 2, 629–640. [Google Scholar] [CrossRef]
  17. Cheng, X.; Huang, G. Design of a novel linear shaped charge and factors influencing its penetration performance. Appl. Sci. 2018, 8, 1863. [Google Scholar] [CrossRef]
  18. Gang, Y.; Xu, H. Computer simulation of two-dimensional linear-shaped charge jet using smoothed particle hydrodynamics. Eng. Comput. 2011, 28, 58–75. [Google Scholar] [CrossRef]
  19. Bohanek, V.; Dobrilovic, M.; Škrlec, V. The efficiency of linear shaped charges. Teh. Vjesn. 2014, 21, 525–531. [Google Scholar]
  20. Dong, S.K.; Cui, A.Y. A simulation study on the effect of cavity shapes on the penetration of linear shaped charges with curved liners. Strength Mater. 2018, 50, 229–234. [Google Scholar] [CrossRef]
  21. Gou, R.J.; Zhang, S.H. Numerical simulation of linear explosive formed penetrator by endpoint initiating manner. Adv. Mater. Res. 2012, 534–537. [Google Scholar] [CrossRef]
  22. Gou, R.J.; Zhang, S.H. Formation mechanism of linear explosive formed penetrator by midpoint initiating manner. Adv. Mater. Res. 2011, 295–297, 1643–1646. [Google Scholar] [CrossRef]
  23. Singh, S.D.; Craciun, E.-M. Effect of thermomechanical loading on an edge crack of finite length in an infinite orthotropic strip. Mech. Compos. Mater. 2019, 55, 295–296. [Google Scholar] [CrossRef]
  24. Shin, C.S.; Cai, C.Q. Experimental and finite element analyses on stress intensity factors of an elliptical surface crack in a circular shaft under tension and bending. Int. J. Fract. 2004, 129, 239–264. [Google Scholar] [CrossRef]
  25. Jesús, T.; Leticia, A.; Miguel, L.; Viktor, K. Hydrogen assisted cracking in pearlitic steel rods: the role of residual stresses generated by fatigue precracking. Materials 2017, 10, 485. [Google Scholar] [CrossRef] [PubMed]
  26. McMeeking, R.M. Finite deformation analysis of crack tip opening in elastic–plastic materials and implications for fracture. J. Mech. Phys. Solids 1977, 25, 357–381. [Google Scholar] [CrossRef]
Figure 1. Schematic diagram of a linear-shaped charge (LSC).
Figure 1. Schematic diagram of a linear-shaped charge (LSC).
Materials 13 05086 g001
Figure 2. The linear-shaped charge used in the experiment: (a) Main charge; (b) arc liner used in the experiment.
Figure 2. The linear-shaped charge used in the experiment: (a) Main charge; (b) arc liner used in the experiment.
Materials 13 05086 g002
Figure 3. Flash X-ray experimental setup diagram.
Figure 3. Flash X-ray experimental setup diagram.
Materials 13 05086 g003
Figure 4. Schematic diagram of the dynamic test layout.
Figure 4. Schematic diagram of the dynamic test layout.
Materials 13 05086 g004
Figure 5. Flash X-ray experiment images at a typical time.
Figure 5. Flash X-ray experiment images at a typical time.
Materials 13 05086 g005
Figure 6. Linear explosively formed penetrator (LEFP) shape.
Figure 6. Linear explosively formed penetrator (LEFP) shape.
Materials 13 05086 g006
Figure 7. Fractured rods diagram.
Figure 7. Fractured rods diagram.
Materials 13 05086 g007
Figure 8. Damage results of witness block (4#).
Figure 8. Damage results of witness block (4#).
Materials 13 05086 g008
Figure 9. Damage results of witness block (7#).
Figure 9. Damage results of witness block (7#).
Materials 13 05086 g009
Figure 10. High-speed photography screenshots of the fourth dynamic test (4#).
Figure 10. High-speed photography screenshots of the fourth dynamic test (4#).
Materials 13 05086 g010
Figure 11. High-speed photography screenshots of the seventh dynamic test (7#).
Figure 11. High-speed photography screenshots of the seventh dynamic test (7#).
Materials 13 05086 g011
Figure 12. Location pattern of the residual fractured rods after the interaction of long rods having different L/D ratios with different interception angles of LEFP (26 ms).
Figure 12. Location pattern of the residual fractured rods after the interaction of long rods having different L/D ratios with different interception angles of LEFP (26 ms).
Materials 13 05086 g012
Figure 13. Influence of length to diameter ratio L/D of the long rod at different inclination angles.
Figure 13. Influence of length to diameter ratio L/D of the long rod at different inclination angles.
Materials 13 05086 g013
Figure 14. Location pattern of the residual fractured rod after the interaction of long rods having different velocities with different interception angles of LEFP (26 ms).
Figure 14. Location pattern of the residual fractured rod after the interaction of long rods having different velocities with different interception angles of LEFP (26 ms).
Materials 13 05086 g014
Figure 15. Influence of the projectile velocity Vproj at different inclination angles.
Figure 15. Influence of the projectile velocity Vproj at different inclination angles.
Materials 13 05086 g015
Figure 16. Location pattern of the residual fractured rods after the interaction of long rods with different interception angles of LEFP and LSC spacing (26 ms).
Figure 16. Location pattern of the residual fractured rods after the interaction of long rods with different interception angles of LEFP and LSC spacing (26 ms).
Materials 13 05086 g016
Figure 17. Influence of the LSC spacing at different inclination angles.
Figure 17. Influence of the LSC spacing at different inclination angles.
Materials 13 05086 g017
Table 1. Parameters of the LSC structure.
Table 1. Parameters of the LSC structure.
RLinerδLinerWLinerRshδshhexLCharge
20 mm3 mm34 mm43 mm3 mm12.5 mm100 mm
Table 2. Results of the dynamic impact test.
Table 2. Results of the dynamic impact test.
CaseL/DhVprojθsn
120150118960°03
220175120530°02
326188121260°03
426165120630°02
535169119460°04
635174120230°02
735176141160°04
835149140830°02
935179140660°104
1035166141230°102
1135187140660°204
1235160138730°202
1335210139760°303
1435170140430°302
1535185141060°403
1635150140730°401
1735194158760°04
1835145161030°02
Table 3. Change in length, velocity, linear momentum, and angular momentum.
Table 3. Change in length, velocity, linear momentum, and angular momentum.
Case−ΔL/LLmax/LΔVx/VprojΔVz/VprojΔPz/PprojΔHxz/(LPproj)
10.2450.410.11−0.07−0.300.45
20.220.670.19−0.11−0.31−0.74
30.170.320.10−0.07−0.220.20
40.130.570.08−0.15−0.270.16
50.210.360.13−0.13−0.310.41
60.250.390.16−0.18−0.37−0.02
70.200.260.156−0.10−0.290.57
80.270.420.10−0.04−0.270.98
90.270.230.15−0.09−0.33−0.10
100.130.460.06−0.05−0.170.51
110.220.300.13−0.10−0.290.62
120.110.700.06−0.06−0.160.70
130.230.350.12−0.04−0.26−0.29
140.130.690.05−0.03−0.150.97
150.150.400.13−0.03−0.170.45
160.130.870.03−0.02−0.150.02
170.210.240.14−0.03−0.240.19
180.240.480.25−0.06−0.280.89
Publisher’s Note: MDPI stays neutral with regard to jurisdictional claims in published maps and institutional affiliations.

Share and Cite

MDPI and ACS Style

Li, Y.; Huang, Z.; Shi, A.; Xu, X.; Shen, S.; Liu, H. Deformation and Fracture Failure of a High-Speed Long Rod Intercepted by Linear Explosively Formed Penetrators Sequence. Materials 2020, 13, 5086. https://doi.org/10.3390/ma13225086

AMA Style

Li Y, Huang Z, Shi A, Xu X, Shen S, Liu H. Deformation and Fracture Failure of a High-Speed Long Rod Intercepted by Linear Explosively Formed Penetrators Sequence. Materials. 2020; 13(22):5086. https://doi.org/10.3390/ma13225086

Chicago/Turabian Style

Li, Yishu, Zhonghua Huang, Anshun Shi, Xiangqun Xu, Sanmin Shen, and Han Liu. 2020. "Deformation and Fracture Failure of a High-Speed Long Rod Intercepted by Linear Explosively Formed Penetrators Sequence" Materials 13, no. 22: 5086. https://doi.org/10.3390/ma13225086

APA Style

Li, Y., Huang, Z., Shi, A., Xu, X., Shen, S., & Liu, H. (2020). Deformation and Fracture Failure of a High-Speed Long Rod Intercepted by Linear Explosively Formed Penetrators Sequence. Materials, 13(22), 5086. https://doi.org/10.3390/ma13225086

Note that from the first issue of 2016, this journal uses article numbers instead of page numbers. See further details here.

Article Metrics

Back to TopTop