Next Article in Journal
Surface Piezoelectricity and Pyroelectricity in Centrosymmetric Materials: A Case of α-Glycine
Previous Article in Journal
Elucidation of the Hydration Reaction of UHPC Using the PONKCS Method
Previous Article in Special Issue
Microwave-Leaching of Copper Smelting Dust for Cu and Zn Extraction
 
 
Font Type:
Arial Georgia Verdana
Font Size:
Aa Aa Aa
Line Spacing:
Column Width:
Background:
Article

Effects of Operational Parameters on the Low Contaminant Jarosite Precipitation Process-an Industrial Scale Study

1
Department of Mining and Metallurgical Engineering Yazd University, Yazd 89195-741, Iran
2
Bafgh Zinc Smelting Company (BZSC), Yazd 89195-741, Iran
3
Chemical Engineering Department, Laval University, Québec, QC G1V 0A6, Canada
4
Beneficiation and Hydrometallurgy Research Group, Mineral Processing Research Center, Academic Center for Education, Culture and Research (ACECR) on TMU, Tehran 15119-43943, Iran
5
Minerals and Metallurgical Engineering, Dept. of Civil, Environmental and Natural Resources Engineering, Luleå University of Technology, SE-971 87 Luleå, Sweden
*
Author to whom correspondence should be addressed.
Materials 2020, 13(20), 4662; https://doi.org/10.3390/ma13204662
Submission received: 11 September 2020 / Revised: 15 October 2020 / Accepted: 16 October 2020 / Published: 19 October 2020
(This article belongs to the Special Issue Mineral Processing for Advanced Material Applications)

Abstract

:
Jarosite precipitation process (JPP) is the most frequently used procedure for iron removal in the hydrometallurgical zinc extraction process. However, there is a gap in the knowledge of the relationship between operational parameters and the low contaminant JPP on the industrial scale. This study will address these issues by investigating the behavior of zinc calcine (ZC) as a neutralizing agent, exploring the source of zinc and iron through leaching experiments, and simulating the Jarosite process of the Bafgh Zinc Smelting Company (BZSC). The results showed that the zinc dissolution efficiency was 90.3% at 90 °C, and 73% of the iron present in the calcine can be solubilized. The main outcome was the iron removal of about 85% by alkaline ions present in ZC without the addition of any precipitating agent. The second target was to evaluate the effect of operational parameters on jarosite precipitation. Results revealed that increasing the temperature to 90 °C and the stirring rate to 500 RPM as well as adjusting the ZC’s pH during the jarosite precipitation remarkably improved iron removal. Considering all these factors in the plant could improve Fe precipitation to around 80% on average.

1. Introduction

As the second most plentiful element on planet earth (after aluminum), and the fourth most abundant element in the earth’s solid crust (after oxygen, silicon, and aluminum), iron is characteristically accompanying with, not only the crystal structure of over than 600 ores, but also the concentrates of many valuable nonferrous metals such as copper, nickel, zinc, lead, aluminum, manganese, and titanium. Due to the presence of iron as an impurity, iron removal procedures inevitably play a significant role in the hydrometallurgical process of producing these metals [1,2].
Even though, in the hydrometallurgical industries, the hematite, goethite, and paragoethite processes are frequently used as an effective means of eliminating iron from solutions [3,4,5], the Jarosite precipitation process (JPP) is the most well-known and extensively used iron removal method that has remarkable advantages, such as easy operation, low cost, and readily filterability [6,7,8,9,10]. The initial patents of JPP were published by Asturiana de Zinc, Norzinc, and Electrolytic Zinc Company of Australasia [10]. This technology was the first iron removal technique that introduced the commercial production of a readily filterable iron residue in hydrometallurgy and is the most commonly used procedure in different industries such as cement [11], copper [10,12], cobalt [13,14], manganese [15,16], nickel [17,18], and zinc [19,20,21]. During the JPP, Fe3+ precipitates gradually from weak acidic sulfate solutions in the form of crystalized AFe3(SO4)2(OH)6 under high temperatures. Equation (1) describes a typical reaction for the JPP where A typically stands for potassium, sodium, hydronium, or ammonium. Other ions such as Tl+, Pb2+, or Ag+ can be situated in A-sites as well [22,23,24,25]. Additionally, Fe3+ can be replaced by other trivalent cations such as Al3+, Ga3+, or Cr3+ [26,27].
3 Fe 3 + + A + + 2 SO 4 2 + 6 H 2 O A F e 3 ( S O 4 ) 2 ( O H ) 6 + 6 H +
In the hydrometallurgical extraction of zinc, JPP has been frequently applied for removing iron from the sulfate liquors before metal recovery through electrowinning. Worldwide, zinc production relies chiefly on the Roasting-Leaching-Electrowinning (RLE) process [28,29]. Zinc production plants mostly utilize the JPP method to remove a high amount of iron, which introduces the zinc sulfate solution in the leaching step. Therefore, several studies since the early 1970s have been conducted about iron control and the JPP in zinc hydrometallurgy. These studies have investigated the history of using the jarosite process [30,31,32,33], its advantages [19,34], and affecting parameters on the process [35,36,37,38].
Almost all of those investigations used synthetic solutions for their studies. Therefore, there is a considerable gap in JPP industrial conditions, such as the neutralizing agent’s effect on the solution and thermal limitations. This study aims to address these gaps and explore the efficient operational parameters on the JPP for the range of conditions operating at Bafgh Zinc Smelting Company’s (BZSC) production line (Figure 1). Since zinc calcine (ZC), a prevalent neutralizing agent, has many economic and technical advantages for the JPP, its dissolution, and consequent iron precipitation have also been investigated.

2. Materials and Methods

2.1. Characterization of Materials and Reagents

BZSC (Yazd, Iran) with 30,000 t/y production has operated the JPP since 2000 [39]. Sulfuric acid and ZC were supplied from the sulfuric acid plant and the roasting unit at BZSC, respectively. The industrial solution for precipitation experiments was also obtained from the input zinc sulfate solution for the plant’s iron removal stage. Industrial grade chemical additives (Na2SO4 and MnO2) were utilized for all experiments. In experiments requiring precipitation seed use, the jarosite cake produced at BZSC was utilized. In this case, after crushing, grinding, and sieving, sodium jarosite residue (<74 µm) was prepared. Chemical compositions of the ZC and zinc sulfate solution are presented in Table 1, respectively. Since ferric ion is the only iron state necessary for the reaction of jarosite precipitation (Equation (1)). Enough MnO2 was used to oxidize ferrous ions to ferric ones.

2.2. Experimental Procedures

For minimizing the precipitation during the heat-up stage in all experiments, solutions were heated quickly on a hot plate to about the desired reaction temperature. Subsequently, the hot solution was immediately transferred to a baffled 2-L glass reaction vessel in a temperature-controlled oil bath (±1 °C). The glass reactor was equipped with an agitator, a thermometer, and a sampler. Right after the addition of reagents to the solution with a determined temperature, the time of the process was recorded. Two 45° pitched-blade impellers stirred solutions with a 5.5-cm diameter. Samples were periodically withdrawn with syringe filters at predetermined times and quickly cooled to the room temperature to avoid a further reaction. The solution samples of the syringe were transferred to a stoppered test tube to reduce evaporation. After cooling, a 5-mL solution sample was taken and analyzed. At the end of the experiments, the remaining slurry was filtered and washed with warm distilled water and dried in an oven at 110 °C for 24 h. Acid and zinc concentrations of the solutions were measured by NaOH and EDTA (Ethylenediaminetetraacetic acid) titration, respectively. In addition, iron concentration was determined using stannous chloride reduction followed by potassium dichromate titration with a sodium diphenyl sulfonic acid indicator (when [Fe3+] > 0.1 g/L) or by Varian SpectrAA 220 Atomic Absorption Spectrometer (when [Fe3+] < 0.1 g/L, VARIAN, Victoria, Australia).

2.2.1. Leaching

In general, the neutralizing agents such as slaked lime, limestone, and basic zinc sulfate were employed to adjust acidity in the iron precipitation processes [21,33,40]. However, mostly in the zinc production plants, ZC produced in the plant’s roasting unit is used for that purpose [5,41,42]. In the first step, for leaching experiments, the effect of ZC addition on sulfuric acid neutralization, zinc extraction, and iron leaching-precipitation in the governing conditions at BZSC’s jarosite line was studied. Using sulfuric acid and distilled water, a solution with a concentration of 24.75 g/L (similar to the acidity of the inlet JPP solution at BZSC) was prepared (iron and zinc concentrations were zero). All experiments were run for 300 min at a speed of 600 RPM (revolutions per minute).

2.2.2. Precipitation

Given the limitations and prevailing conditions at the BZSC, precipitation experiments were performed by the real solution obtained from the plant’s JPP unit. By performing precipitation experiments, the effects of various parameters including temperature, pH, Na2SO4 concentration, jarosite seed amount, stirring speed, and concentration of precipitating agent on the iron removal were investigated. At the beginning of the experiments, the pH was adjusted to the designated value. Regarding the production of sulfuric acid in the jarosite process (Equation (1)), pH was remodified to the initial value at 15-min intervals using ZC during the reactions. The jarosite precipitation (η) was calculated according to Equation (2).
η t   =   m 0 + m c t m t m 0 + m c t
where m0 (mg/L) is the initial Fe concentration in a jarosite process solution, mct (mg/L) is Fe concentration added by neutralizing agent (ZC) until time t, and mt (mg/L) is Fe concentration at time t.

3. Results and Discussion

3.1. Leaching

For investigating ZC’s behavior in terms of sulfuric acid neutralization, zinc dissolution, iron dissolution, and precipitation in the JPP, it was leached in sulfuric acid solution at different temperatures.

3.1.1. Sulfuric Acid Neutralization

Results of exploring sulfuric acid neutralization (Figure 2) indicated a rapid decrease in sulfuric acid concentration at the beginning of the experiments. This may have occurred because the majority portion of the metal oxides (mainly zinc and iron oxides) and other alkaline oxides in the neutralizing agent dissolved quite readily in the sulfuric acid based on Equation (3). The ZC dissolution is predominantly dependent on the temperature, and its dissolution increases with a rising temperature. These results also showed that, after a sharp decrease in the sulfuric acid concentration at the initial step of the experiments, sulfuric acid concentration slightly increased. This increase is more visible for higher temperatures and can be due to the formation of jarosite. This is followed by the removal of iron from the solution, which, according to Equation (1), generates H+ in the solution (Figure 1).
Z n O + H 2 S O 4 Z n S O 4 + H 2 O

3.1.2. Zinc Dissolution

Optimization of zinc dissolution has an important economic point for the plant since the final cake obtained from the JPP in the zinc plants is removed from the processing circuit and stockpiled as a tailing. Exploring zinc extraction from ZC shows (Figure 3) that more than 70% of Zn was extracted after just 1 min since the process has been started and indicated a high rate of dissolution in all temperatures. This phenomenon is in good agreement with the data obtained in experiments evaluating acid concentration (Figure 2). These results (Figure 3) also show the temperature has a significant role in the reaction of Zn dissolution, where the maximum extractions occurred at 85–90 °C.

3.1.3. Iron Dissolution and Precipitation

Exploring variations of iron concentration as a result of leaching experiments (Figure 4) illustrates that iron leaching increased at the initial stage (<1 min) of the experiment due to the dissolution of the neutralizing agent. Subsequently, iron concentration gradually decreased along with the formation of jarosite and removal of iron from the solution. Even though, by increasing the temperature of the reaction, initially more iron dissolved, and the conditions for the reaction of iron removal were favored. In optimum conditions for ZC leaching, 85% of the dissolved iron was removed from the leaching solution in 240 min. The results of these experiments clearly express that a simultaneous leaching-precipitation process occurs when using only ZC. Therefore, ZC addition modifies the pH for the final jarosite precipitation and acts as another major role by sole precipitation of its own iron content to the tailing.

3.2. Precipitation

Considering the results of preliminary and ZC leaching experiments and, by incorporating the conditions and limitations of the jarosite precipitation line at BZSC, this series of experiments is conducted by changing the parameter values in a reasonable range for the plant. According to the plant operating instructions, the purpose of the JPP is not to remove all the iron present in the solution. In addition, 10–20% of the initial iron concentration must remain in the solution and transfer to the neutral leaching step (Figure 1) to remove some impurities in conjunction with iron in the co-precipitation process. By adding ZC and increasing the solution’s pH to around 5.2, the remaining iron is precipitated in the form of gelatinous Fe(OH)3 and co-precipitates some of the impurities such as arsenic, antimony, aluminum, indium, gallium, and germanium [43]. In this section, various parameters, including temperature, pH, precipitating agent concentration, jarosite seed amount, and stirring speed, were examined.

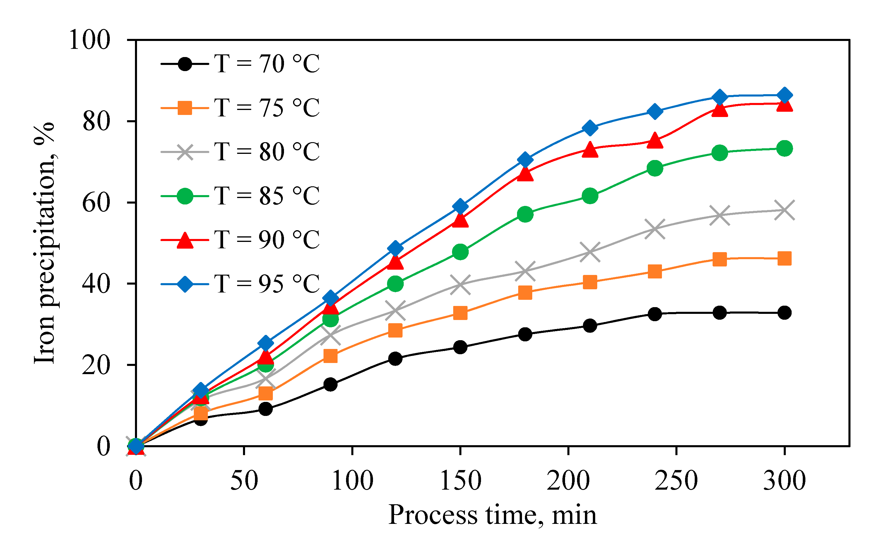
3.2.1. Temperature

Temperature is recognized to have a significant effect on both the amount and rate of jarosite precipitation [36]. Exploring the effect of temperature as a key parameter on the jarosite precipitation (Figure 5) shows that, as the temperature increased, the rate of jarosite formation and iron precipitation improved. According to literature, the optimum reaction temperature for jarosite precipitation is 90–100 °C [16,24,44,45]. Due to these results and operational limitations at BZSC, the optimum temperature of 90 °C was chosen for further experiments.

3.2.2. pH

pH is one of the most important parameters for the formation of jarosite-type compounds [46,47]. It is necessary to control the remaining acidity from the hot acid leach step and acid, which is produced during the jarosite precipitation reaction (Equation (1)). For this purpose, ZC was used as the neutralizing agent. Based on Equation (1), for each iron mole that precipitated, two moles of hydrogen ions (H+) were formed. Thus, there is a necessity to neutralize the released sulfuric acid to enable efficient iron removal. Figure 6a shows the effect of the initial pHs on the JPP. Figure 6b shows the results of iron precipitation in constant pH, which was modified by ZC at certain times. In both sets of experiments, the iron precipitation increased with decreasing sulfuric acid concentration. However, constant modification of pH in the jarosite process is beneficial for iron removal.
ZnO is the chief compound of ZC that consumes sulfuric acid. However, the ZC also contains some other compounds, which are not dissolved and eventually would be introduced to the jarosite residue. Zinc ferrite (ZnOFe2O3) is the main compound of ZC containing Zn. It does not dissolve under the jarosite process conditions, and its rejection of the tailings causes zinc loss [48]. Based on BZSC’s process instruction, about 20% of the iron content, which presents in the solution, is required to remain in the solution to remove other impurities in the neutral leach step. Figure 6b shows that the higher the solution’s pH, the more iron removal there is. However, increasing pH results in rejecting more zinc to the tailing. By considering this fact, the JPP should be conducted in the lowest possible pH to reduce zinc losses by decreasing ZC consumption. For this purpose, according to the results (Figure 6b), other precipitation experiments were conducted at a pH of 1.

3.2.3. Na2SO4 Concentration

Ammonium sulfate and sodium sulfate are common additives that provide the alkaline ions required for the JPP [49]. Due to its availability and affordability, sodium sulfate has been used in the production line of the BZSC. JPP was studied in the presence of different amounts of Na2SO4 as the precipitating agent (Figure 7). It is clear that the rate of the jarosite precipitation is affected by the Na2SO4 concentration. Since the concentration of Na2SO4 in the solution increased, the amount of precipitated jarosite increased, and this trend continues with increasing Na2SO4 concentration to approximately 2 g/L. Thereafter, an additional increase in the concentration of Na2SO4, has a comparatively minor effect on the amount of iron removal. It is sufficient to remove about 80% of the iron present in the solution as mentioned earlier. For this reason, taking into account the economic aspects of the jarosite process, 2 g/L Na2SO4 was chosen as the optimum concentration.

3.2.4. Jarosite Seed Amount

It was reported that the initial presence of jarosite seed could effectively accelerate the iron precipitation, and it does not alter the jarosite reaction equilibrium [49]. The results of the precipitation experiments in the presence of different amounts of jarosite seed at 90 °C (Figure 8a) illustrates the effect of various jarosite seed amounts on iron precipitation efficiency when the initial pH is set to 1, while the results in Figure 8b were obtained in constant pH of 1. It is observed that, in both sets of experiments, increasing the initial amount of jarosite seed promotes the iron precipitation rate. The results of experiments conducted at an initial pH of 1 indicate an increase in the rate of iron precipitation where the precipitation generally increased. However, in constant pH, the rate of precipitation differs among all seed amounts, and total precipitation is independent of the amount of jarosite seed. Keeping the amount jarosite seed as low as possible leads to a lower volume of tailing. Thus, a lower dissolved Zn would be lost.

3.2.5. Stirring Speed

Examining the effect of stirring speed on iron precipitation in both constant pH and varied pH experiments after 300 min (Figure 9) shows, in all experiments, the addition of jarosite seed had a positive effect on total precipitation. In addition, any increase in stirring speed until 500 RPM leads to an improvement in the iron precipitation.
Considering all these optimum conditions in the BZSC plant and comparing the results (Figure 10) of a couple of months of monitoring before and after these implementations indicated that the optimization process was very successful and could improve Fe precipitation to around 80% on average.

4. Conclusions

The effect of various parameters on zinc dissolution and JPP was investigated based on operational conditions in an industrial production line. In the first step, within leaching experiments, ZC as the most common and suitable neutralizing agent was solely used to evaluate its own effect on the acid neutralization, zinc dissolution, iron dissolution, and possible iron precipitation. Results of calcine leaching experiments indicated that most of the neutralizing agents dissolved right away in the sulfuric acid, causing the release of various elements into the solution, especially zinc and iron, and consuming sulfuric acid. Immediately after iron dissolution, precipitation of this element occurred due to an increase in pH and the possible presence of alkaline elements originating from ZC. Increasing reaction temperature from 70 to 90 °C increased and accelerated the zinc and iron extraction rate. In the optimum temperature (90 °C), 87% of zinc in the calcine was extracted, 85% of dissolved iron was precipitated, and 76% of sulfuric acid was neutralized. In the second stage of this study, the effect of efficient variables including temperature, pH, Na2SO4 addition, jarosite seed, and stirring speed on iron removal by JPP was investigated for industrial solution obtained from BZSC. The most influential parameters were temperature, pH, and stirring speed, among others. Increasing temperature from 70 to 90 °C significantly improved the iron precipitation. It was observed that higher pH of the solution results in higher iron removal. However, zinc dissolution mainly from zinc ferrite would be suppressed and consequently rejected to the tailing. Thus, there should be a tradeoff between the amount of iron removed and zinc loss. In this study, pH of 1 was suggested. Moreover, higher iron precipitation was observed when pH was constantly modified to the initial value compared with the cases without pH recodification. This is due to the fact that alkaline matters were always available to continue the precipitation process. The addition of Na2SO4 as a neutralization agent also had a positive effect on iron removal. An increasing amount of this agent to 2 g/L improved iron removal, and its further addition had no beneficial effect. The jarosite application as a seeding agent only improved the rate of iron removal and did not impact the total iron precipitation. It was concluded that iron removal depends on stirring speed, and increasing this variable to 500 RPM enhanced the process. Implementing all these factors could improve Fe precipitation to around 80% in the plant.

Author Contributions

Conceptualization, A.A. and E.A. Methodology, A.A. and K.G. Software, A.A., F.M., and S.C.C. Validation, A.A., F.M., and S.C.C. Formal analysis, A.A. and E.A. Investigation, A.A. and K.G. Data curation, A.A. and F.M. Writing—original draft preparation, A.A. and F.M. Writing—review and editing, S.C.C. and F.M. Supervision, E.A. and S.C.C. All authors have read and agreed to the published version of the manuscript.

Funding

This research received no external funding.

Acknowledgments

The authors greatly appreciate Bafgh Zinc Smelting Company for numerous titration and atomic absorption analyses and Mahdi Hadinejad for his valuable comments.

Conflicts of Interest

On behalf of all authors, the corresponding author states that there is no conflict of interest.

References

  1. Chen, T.T.; Cabri, L.J. Mineralogical overview of iron control in hydrometallurgical processing. In Iron Control in Hydrometallurgy; Ellis Horwood: Chichester, UK, 1986; pp. 19–55. [Google Scholar]
  2. Monhemius, A.J. The iron elephant: A brief history of hydrometallurgists’ struggles with element no. 26. CIM J. 2016, 8, 1–13. [Google Scholar] [CrossRef]
  3. Dutrizac, J.; Soriano, C. Behaviour of the rare earths during goethite (α-FeOOH) precipitation from sulphate-based solutions. Hydrometallurgy 2018, 176, 87–96. [Google Scholar] [CrossRef]
  4. Javed, T.; Xie, M.; Asselin, E. Factors affecting hematite precipitation and characterization of the product from simulated sulphate-chloride solutions at 150 °C. Hydrometallurgy 2018, 179, 8–19. [Google Scholar] [CrossRef]
  5. Loan, M.; Newman, O.; Cooper, R.; Farrow, J.; Parkinson, G. Defining the Paragoethite process for iron removal in zinc hydrometallurgy. Hydrometallurgy 2005, 81, 104–129. [Google Scholar] [CrossRef]
  6. Arregui, V.; Gordon, A.R.; Steintveit, G. The jarosite process-past, present and future. In Lead-Zinc-Tin’80; Metallurgical Society of AIME: Warrendale, PA, USA, 1980; pp. 97–123. [Google Scholar]
  7. Baron, D.; Palmer, C.D. Solubility of jarosite at 4–35 °C. Geochim. Cosmochim. Acta 1996, 60, 185–195. [Google Scholar] [CrossRef]
  8. Dutrizac, J.E. The physical chemistry of iron precipitation in the zinc industry. In Lead-Zinc-Tin’80; Metallurgical Society of AIME: Warrendale, PA, USA, 1980; pp. 532–564. [Google Scholar]
  9. Li, H.-J.; Yang, H.-Y.; Chen, G. Catalytic performance of biological method seeds on jarosite process. Trans. Nonferrous Met. Soc. China 2016, 26, 557–564. [Google Scholar] [CrossRef]
  10. Zhang, Y.; Liu, Q.; Li, L. Removal of iron from sythetic copper leach solution using a hydroxy-oxime chelating resin. Hydrometallurgy 2016, 164, 154–158. [Google Scholar] [CrossRef]
  11. Beazi-Katsioti, M.; Boura, P.; Agatzini-Leonardou, S.; Tsakiridis, P.; Oustadakis, P. Use of jarosite/alunite precipitate as a substitute for gypsum in Portland cement. Cem. Concr. Compos. 2005, 27, 3–9. [Google Scholar] [CrossRef]
  12. Sahu, S.; Asselin, E. Characterization of residue generated during medium temperature leaching of chalcopyrite concentrate under CESL conditions. Hydrometallurgy 2011, 110, 107–114. [Google Scholar] [CrossRef]
  13. Aird, J.; Celmer, R.S.; May, A.V. New Cobalt Production from R. C. M.’s Chambishi Roast--Leach--Electrowin Process. Min. Mag. 1980, 143, 320–336. [Google Scholar]
  14. Osseo-Asare, K.; Miller, J.D. Hydrometallurgy: Research, Development and Plant Practice. In Proceedings of the 3rd International Symposium on Hydrometallurgy Hardcover, Quebec City, QC, Canada, 1 January 1982. [Google Scholar]
  15. Tam, T.; Tran, T. Kinetic study on the precipitation of alunite from manganese sulphate solutions. Hydrometallurgy 1991, 27, 85–97. [Google Scholar] [CrossRef]
  16. Teixeira, L. Precipitation of jarosite from manganese sulphate solutions. In Iron Control in Hydrometallurgy; Ellis Horwood: Chichester, UK, 1986; pp. 431–453. [Google Scholar]
  17. Kyle, J.H. Jarosite/Alunite in Nickel Laterite Leaching—Friend or Foe. In ALTA 2003 Nickel/Cobalt—9; ALTA Metallurgical Services: Castlemaine, Australia, 2003. [Google Scholar]
  18. White, D.T.; Gillaspie, J.D. Acid Leaching of Nickel Laterites with Jarosite Precipitation. In Ni-Co 2013; Springer: Cham, Switzerland, 2013; pp. 75–95. [Google Scholar]
  19. Dutrizac, J.E.; Jambor, J.L. Jarosites and Their Application in Hydrometallurgy. Rev. Miner. Geochem. 2000, 40, 405–452. [Google Scholar] [CrossRef]
  20. Garcia, A.; Valdez, C. Jarosite disposal practices at the Penoles zinc plant. Iron Control Dispos. 1996, 643–650. [Google Scholar]
  21. Swarnkar, S.; Gupta, B.; Sekharan, R. Iron control in zinc plant residue leach solution. Hydrometallurgy 1996, 42, 21–26. [Google Scholar] [CrossRef]
  22. Ballčžunlč, T.; Moëlo, Y.; Lončar, Ž.; Micheelsen, H. Dorallcharite Tl0.8K0.2Fe3(SO4)2(OH)6, a new member of the jarosite-alunite family. Eur. J. Miner. 1994, 6, 255–264. [Google Scholar] [CrossRef]
  23. Breidenstein, B. On beaverite: New occurrence, chemical data, and crystal structure. Neues Jahrbuch für Mineralogie Monatshefte 1992, 5, 213–220. [Google Scholar]
  24. Dutrizac, J.E.; Jambor, J.L. Formation and characterization of argentojarosite and plumbojarosite and their relevance to metallurgical processing. In Applied Mineralogy; AIME: Warrendale, PA, USA, 1984; pp. 507–530. [Google Scholar]
  25. Ghassa, S.; Boruomand, Z.; Abdollahi, H.; Moradian, M.; Akcil, A. Bioleaching of high grade Zn–Pb bearing ore by mixed moderate thermophilic microorganisms. Sep. Purif. Technol. 2014, 136, 241–249. [Google Scholar] [CrossRef]
  26. Jambor, J.L.; Owens, D.R.; Grice, J.D.; Feinglos, M.N. Gallobeudantite, PbGa3[(AsO4),(SO4)]2 (OH)6, a new mineral species from Tsumeb, Namibia, and associated new gallium analogues of the alunite-jarosite family. Can. Mineral. 1996, 34, 1305–1315. [Google Scholar]
  27. Lengauer, C.L.; Giester, G.; Irran, E. KCr3(SO4)2(OH)6: Synthesis, characterization, powder diffraction data, and structure refinement by the Rietveld technique and a compilation of alunite-type compounds. Powder Diffr. 1994, 9, 265–271. [Google Scholar] [CrossRef]
  28. Abkhoshk, E.; Jorjani, E.; Al-Harahsheh, M.; Rashchi, F.; Naazeri, M. Review of the hydrometallurgical processing of non-sulfide zinc ores. Hydrometallurgy 2014, 149, 153–167. [Google Scholar] [CrossRef]
  29. Ghassa, S.; Noaparast, M.; Shafaei, S.Z.; Abdollahi, H.; Gharabaghi, M.; Boruomand, Z. A study on the zinc sulfide dissolution kinetics with biological and chemical ferric reagents. Hydrometallurgy 2017, 171, 362–373. [Google Scholar] [CrossRef]
  30. Agrawal, A.; Kumari, S.; Sahu, K.K. Iron and Copper Recovery/Removal from Industrial Wastes: A Review. Ind. Eng. Chem. Res. 2009, 48, 6145–6161. [Google Scholar] [CrossRef]
  31. Buban, K.R.; Collins, M.J.; Masters, I.M. Iron control in zinc pressure leach processes. JOM 1999, 51, 23–25. [Google Scholar] [CrossRef]
  32. Dutrizac, J. An Overview of Iron Precipitation in Hydrometallurgy; Crystallization and Precipitation. In Proceedings of the International Symposium, Saskatoon, SK, Canada, 5–7 October 1987; pp. 259–283. [Google Scholar]
  33. Ismael, M.; Carvalho, J. Iron recovery from sulphate leach liquors in zinc hydrometallurgy. Miner. Eng. 2003, 16, 31–39. [Google Scholar] [CrossRef]
  34. Pappu, A.; Saxena, M.; Asolekar, S.R. Jarosite characteristics and its utilisation potentials. Sci. Total. Environ. 2006, 359, 232–243. [Google Scholar] [CrossRef] [PubMed]
  35. Dutrizac, J.E. Factors affecting alkali jarosite precipitation. Met. Mater. Trans. A 1983, 14, 531–539. [Google Scholar] [CrossRef]
  36. Dutrizac, J. The effect of seeding on the rate of precipitation of ammonium jarosite and sodium jarosite. Hydrometallurgy 1996, 42, 293–312. [Google Scholar] [CrossRef]
  37. Dutrizac, J.E. The effectiveness of jarosite species for precipitating sodium jarosite. JOM 1999, 51, 30–32. [Google Scholar] [CrossRef]
  38. Dutrizac, J. Factors Affecting the Precipitation of Potassium Jarosite in Sulfate and Chloride Media. Met. Mater. Trans. A 2008, 39, 771–783. [Google Scholar] [CrossRef]
  39. Bafgh Zinc Smelting Company. Available online: http://www.bzsc.ir/ (accessed on 23 August 2020).
  40. García, M.; Mejias, A.; Martin, D.; Diaz, G. Upcoming Zinc Mine Projects: The Key for Success is Zincex Solvent Extraction. In Lead-Zinc 2000; TMS: Warandale, PA, USA, 2000; pp. 751–762. [Google Scholar] [CrossRef]
  41. Claassen, J.; Meyer, E.; Rennie, J.; Sandenbergh, R. Iron precipitation from zinc-rich solutions: Defining the Zincor Process. Hydrometallurgy 2002, 67, 87–108. [Google Scholar] [CrossRef]
  42. Han, H.; Sun, W.; Hu, Y.; Tang, H. The application of zinc calcine as a neutralizing agent for the goethite process in zinc hydrometallurgy. Hydrometallurgy 2014, 147, 120–126. [Google Scholar] [CrossRef]
  43. Sinclair, R.J. The Extractive Metallurgy of Zinc; Australasian Institute of Mining and Metallurgy: Carlton, VIC, Australia, 2005. [Google Scholar]
  44. Kershaw, M.G.; Pickering, R.W. The jarosite process--phase equilibria. In Lead--Zinc--Tin’80; Metallurgical Society of AIME: Warrendale, PA, USA, 1980; pp. 565–580. [Google Scholar]
  45. Dutrizac, J.; Dinardo, O. The co-precipitation of copper and zinc with lead jarosite. Hydrometallurgy 1983, 11, 61–78. [Google Scholar] [CrossRef]
  46. Liu, P.; Zhang, Y. Crystallization of ammonium jarosite from ammonium ferric sulfate solutions. Hydrometallurgy 2019, 189, 105–133. [Google Scholar] [CrossRef]
  47. Ghassa, S.; Boruomand, Z.; Moradian, M.; Abdollahi, H.; Akcil, A. Microbial Dissolution of Zn-Pb Sulfide Minerals Using Mesophilic Iron and Sulfur-Oxidizing Acidophiles. Miner. Process. Extr. Met. Rev. 2015, 36, 112–122. [Google Scholar] [CrossRef]
  48. Saxén, B.; Lahtinen, M.; Ritasalo, T.; Latva-Kokko, M. Process for the precipitation of pure jarosite. In Proceedings of the 28th International Mineral Processing Congress (MIPC 2016), Quebec City, QC, Canada, 11–15 September 2016. [Google Scholar]
  49. Dutrizac, J. Comparative Rates of Precipitation of Ammonium Jarosite and Sodium Jarosite in Ferric Sulphate—Sulphuric Acid Media. Can. Met. Q. 2010, 49, 121–130. [Google Scholar] [CrossRef]
Figure 1. Schematic flow sheet of Bafgh Zinc Smelting Company’s (BZSC) leaching unit and jarosite precipitation line.
Figure 1. Schematic flow sheet of Bafgh Zinc Smelting Company’s (BZSC) leaching unit and jarosite precipitation line.
Materials 13 04662 g001
Figure 2. Changes in the concentration of sulfuric acid during leaching experiments.
Figure 2. Changes in the concentration of sulfuric acid during leaching experiments.
Materials 13 04662 g002
Figure 3. Zinc dissolution efficiency during leaching experiments.
Figure 3. Zinc dissolution efficiency during leaching experiments.
Materials 13 04662 g003
Figure 4. Changes in the concentration of iron during leaching experiments.
Figure 4. Changes in the concentration of iron during leaching experiments.
Materials 13 04662 g004
Figure 5. Effect of temperature on iron precipitation (Constant pH = 1, [Na2SO4] = 2 g/L, stirring speed = 600 RPM).
Figure 5. Effect of temperature on iron precipitation (Constant pH = 1, [Na2SO4] = 2 g/L, stirring speed = 600 RPM).
Materials 13 04662 g005
Figure 6. Effect of (a) initial pH and (b) constant pH on iron precipitation (Temperature = 90 °C, [Na2SO4] = 2 g/L, Stirring speed = 600 RPM).
Figure 6. Effect of (a) initial pH and (b) constant pH on iron precipitation (Temperature = 90 °C, [Na2SO4] = 2 g/L, Stirring speed = 600 RPM).
Materials 13 04662 g006
Figure 7. Effect of Na2SO4 concentration on iron precipitation (Constant pH = 1, Temperature = 90 °C, Stirring speed = 600 RPM).
Figure 7. Effect of Na2SO4 concentration on iron precipitation (Constant pH = 1, Temperature = 90 °C, Stirring speed = 600 RPM).
Materials 13 04662 g007
Figure 8. Effect of jarosite seed amount on iron precipitation: (a) pHinitial = 1, (b) Constant pH = 1, (Constant pH = 1, [Na2SO4] = 2 g/L, Temperature = 90 °C, Stirring speed = 600 RPM).
Figure 8. Effect of jarosite seed amount on iron precipitation: (a) pHinitial = 1, (b) Constant pH = 1, (Constant pH = 1, [Na2SO4] = 2 g/L, Temperature = 90 °C, Stirring speed = 600 RPM).
Materials 13 04662 g008
Figure 9. Effect of stirring speed on iron precipitation (Process time of 300 min). (Constant pH = 1, [Na2SO4] = 2 g/L, Temperature = 90 °C).
Figure 9. Effect of stirring speed on iron precipitation (Process time of 300 min). (Constant pH = 1, [Na2SO4] = 2 g/L, Temperature = 90 °C).
Materials 13 04662 g009
Figure 10. A comparison between Fe precipitation before and after optimization in the Jarosite precipitation process (JPP) of the BZSC plant.
Figure 10. A comparison between Fe precipitation before and after optimization in the Jarosite precipitation process (JPP) of the BZSC plant.
Materials 13 04662 g010
Table 1. Chemical composition of the zinc calcine and zinc sulfate solution.
Table 1. Chemical composition of the zinc calcine and zinc sulfate solution.
Zinc Calcine (wt.%)
ZnFePbCaKNaAg
51.33.703.211.890.220.260.01
Zinc Sulfate Solution (g/L)
ZnFe (Total)Fe2+KNaH2SO4
101.379.1730.0940.1730.39624.75
Publisher’s Note: MDPI stays neutral with regard to jurisdictional claims in published maps and institutional affiliations.

Share and Cite

MDPI and ACS Style

Asimi, A.; Gharibi, K.; Abkhoshk, E.; Moosakazemi, F.; Chelgani, S.C. Effects of Operational Parameters on the Low Contaminant Jarosite Precipitation Process-an Industrial Scale Study. Materials 2020, 13, 4662. https://doi.org/10.3390/ma13204662

AMA Style

Asimi A, Gharibi K, Abkhoshk E, Moosakazemi F, Chelgani SC. Effects of Operational Parameters on the Low Contaminant Jarosite Precipitation Process-an Industrial Scale Study. Materials. 2020; 13(20):4662. https://doi.org/10.3390/ma13204662

Chicago/Turabian Style

Asimi, Ali, Khodakaram Gharibi, Emad Abkhoshk, Farhad Moosakazemi, and Saeed Chehreh Chelgani. 2020. "Effects of Operational Parameters on the Low Contaminant Jarosite Precipitation Process-an Industrial Scale Study" Materials 13, no. 20: 4662. https://doi.org/10.3390/ma13204662

APA Style

Asimi, A., Gharibi, K., Abkhoshk, E., Moosakazemi, F., & Chelgani, S. C. (2020). Effects of Operational Parameters on the Low Contaminant Jarosite Precipitation Process-an Industrial Scale Study. Materials, 13(20), 4662. https://doi.org/10.3390/ma13204662

Note that from the first issue of 2016, this journal uses article numbers instead of page numbers. See further details here.

Article Metrics

Back to TopTop