Magnetic Properties of Silicon Steel after Plastic Deformation
Abstract
1. Introduction
2. Materials and Methods
2.1. M270-35A Electrical Steel Grade
2.2. Magnetomechanical Setup Using Stress Bench
2.3. Tensile Test Setup
2.4. Transmission Electron Microscopy Measurements
2.5. Magnetic Measurement Principles
2.6. Method of Core Loss Analysis
2.7. Electrical Resistance Measurements
3. Results
3.1. Stress Strain Measurements
3.2. Electrical Resistance Measurements
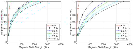
3.3. Magnetization Curve and Permeability Measurements
3.4. Core Loss Measurements and Loss Separation
3.5. TEM Measurements
4. Conclusions
Author Contributions
Funding
Conflicts of Interest
Abbreviations
| RD | Rolling Direction |
| TD | Transverse Direction |
| DD | Diagonal Direction |
| NGO | Non Grain Oriented |
| SST | single Sheet Tester |
| TEM | Transmission Electron Microscopy |
References
- Kuo, S.K.; Lee, W.C.; Lin, S.Y.; Lu, C.Y. The influence of cutting edge deformations on magnetic performance degradation of electrical steel. IEEE Trans. Ind. Appl. 2015, 51, 4357–4363. [Google Scholar] [CrossRef]
- Hofmann, M.; Naumoski, H.; Herr, U.; Herzog, H.G. Magnetic properties of electrical steel sheets in respect of cutting: Micromagnetic analysis and macromagnetic modeling. IEEE Trans. Magn. 2016, 52, 1–14. [Google Scholar] [CrossRef]
- Siebert, R.; Wetzig, A.; Beyer, E.; Betz, B.; Grünzweig, C.; Lehmann, E. Localized investigation of magnetic bulk property deterioration of electrical steel: Analysing magnetic property drop thorough mechanical and laser cutting of electrical steel laminations using neutron grating interferometry. In Proceedings of the 2013 3rd International Electric Drives Production Conference (EDPC), Nuremberg, Germany, 29–30 October 2013; pp. 1–5. [Google Scholar]
- Paltanea, G.; Stefanoiu, R.; Nemoianu, I.V.; Gavrila, H. Correlation between Magnetic Properties and Chemical Composition of Non-Oriented Electrical Steels Cut through Different Technologies. Materials 2020, 13, 1455. [Google Scholar] [CrossRef] [PubMed]
- Cao, H.; Hao, L.; Yi, J.; Zhang, X.; Luo, Z.; Chen, S.; Li, R. The influence of punching process on residual stress and magnetic domain structure of non-oriented silicon steel. J. Magn. Magn. Mater. 2016, 406, 42–47. [Google Scholar] [CrossRef]
- Vourna, P.; Ktena, A.; Tsakiridis, P.; Hristoforou, E. A novel approach of accurately evaluating residual stress and microstructure of welded electrical steels. NDT E Int. 2015, 71, 33–42. [Google Scholar] [CrossRef]
- Bali, M.; Muetze, A. Modeling the effect of cutting on the magnetic properties of electrical steel sheets. IEEE Trans. Ind. Electron. 2016, 64, 2547–2556. [Google Scholar] [CrossRef]
- Singh, D.; Rasilo, P.; Martin, F.; Belahcen, A.; Arkkio, A. Effect of mechanical stress on excess loss of electrical steel sheets. IEEE Trans. Magn. 2015, 51, 1–4. [Google Scholar] [CrossRef]
- Aydin, U.; Rasilo, P.; Martin, F.; Belahcen, A.; Daniel, L.; Haavisto, A.; Arkkio, A. Effect of multi-axial stress on iron losses of electrical steel sheets. J. Magn. Magn. Mater. 2019, 469, 19–27. [Google Scholar] [CrossRef]
- Permiakov, V.; Dupré, L.; Pulnikov, A.; Melkebeek, J. Loss separation and parameters for hysteresis modelling under compressive and tensile stresses. J. Magn. Magn. Mater. 2004, 272, E553–E554. [Google Scholar] [CrossRef]
- Rasilo, P.; Singh, D.; Aydin, U.; Martin, F.; Kouhia, R.; Belahcen, A.; Arkkio, A. Modeling of hysteresis losses in ferromagnetic laminations under mechanical stress. IEEE Trans. Magn. 2016, 52, 1–4. [Google Scholar] [CrossRef]
- LoBue, M.; Sasso, C.; Basso, V.; Fiorillo, F.; Bertotti, G. Power losses and magnetization process in Fe–Si non-oriented steels under tensile and compressive stress. J. Magn. Magn. Mater. 2000, 215, 124–126. [Google Scholar] [CrossRef]
- Karthaus, J.; Steentjes, S.; Leuning, N.; Hameyer, K. Effect of mechanical stress on different iron loss components up to high frequencies and magnetic flux densities. COMPEL Int. J. Comput. Math. Electr. Electr. Eng. 2017, 36, 580–592. [Google Scholar] [CrossRef]
- Leuning, N.; Steentjes, S.; Schulte, M.; Bleck, W.; Hameyer, K. Effect of elastic and plastic tensile mechanical loading on the magnetic properties of NGO electrical steel. J. Magn. Magn. Mater. 2016, 417, 42–48. [Google Scholar] [CrossRef]
- Naumoski, H.; Maucher, A.; Herr, U. Investigation of the influence of global stresses and strains on the magnetic properties of electrical steels with varying alloying content and grain size. In Proceedings of the 2015 5th International Electric Drives Production Conference (EDPC), Nuremberg, Germany, 15–16 September 2015; pp. 1–8. [Google Scholar]
- Kai, Y.; Tsuchida, Y.; Todaka, T.; Enokizono, M. Influence of stress on vector magnetic property under rotating magnetic flux conditions. IEEE Trans. Magn. 2012, 48, 1421–1424. [Google Scholar] [CrossRef]
- Kai, Y.; Enokizono, M.; Kido, Y. Measurement of Vector Magnetic Properties of a Nonoriented Electrical Steel Sheet under Shear Stress. Electr. Eng. Jpn. 2015, 191, 1–7. [Google Scholar] [CrossRef]
- Yamazaki, K.; Mukaiyama, H.; Daniel, L. Effects of multi-axial mechanical stress on loss characteristics of electrical steel sheets and interior permanent magnet machines. IEEE Trans. Magn. 2018, 54, 1–4. [Google Scholar] [CrossRef]
- Yamazaki, K.; Fukushima, W. Loss analysis of induction motors by considering shrink fitting of stator housings. IEEE Trans. Magn. 2015, 51, 1–4. [Google Scholar] [CrossRef]
- Hubert, O.; Daniel, L. Energetical and multiscale approaches for the definition of an equivalent stress for magneto-elastic couplings. J. Magn. Magn. Mater. 2011, 323, 1766–1781. [Google Scholar] [CrossRef]
- Daniel, L.; Hubert, O. Equivalent stress criteria for the effect of stress on magnetic behavior. IEEE Trans. Magn. 2010, 46, 3089–3092. [Google Scholar] [CrossRef]
- von Pfingsten, G.; Hameyer, K.; Paul, D. Influence of axial mechanical stress on the magnetic properties of non-oriented electrical steel. In Proceedings of the 2016 6th International Electric Drives Production Conference (EDPC), Nuremberg, Germany, 30 November–1 December 2016; pp. 193–200. [Google Scholar]
- Alatawneh, N.; Rahman, T.; Lowther, D.A.; Chromik, R. Design and analysis of a toroidal tester for the measurement of core losses under axial compressive stress. J. Magn. Magn. Mater. 2017, 432, 519–526. [Google Scholar] [CrossRef]
- Kawabe, M.; Nomiyama, T.; Shiozaki, A.; Mimura, M.; Takahashi, N.; Nakano, M. Magnetic properties of particular shape specimen of nonoriented electrical steel sheet under compressive stress in thickness direction. IEEE Trans. Magn. 2012, 48, 3462–3465. [Google Scholar] [CrossRef]
- Sablik, M.; Landgraf, F. Modeling microstructural effects on hysteresis loops with the same maximum flux density. IEEE Trans. Magn. 2003, 39, 2528–2530. [Google Scholar] [CrossRef]
- Makar, J.; Tanner, B. The effect of plastic deformation and residual stress on the permeability and magnetostriction of steels. J. Magn. Magn. Mater. 2000, 222, 291–304. [Google Scholar] [CrossRef]
- Fiorillo, F.; Küpferling, M.; Appino, C. Magnetic hysteresis and barkausen noise in plastically deformed steel sheets. Metals 2018, 8, 15. [Google Scholar] [CrossRef]
- Iordache, V.; Ossart, F.; Hug, E. Magnetic characterisation of elastically and plastically tensile strained non-oriented Fe–3.2% Si steel. J. Magn. Magn. Mater. 2003, 254, 57–59. [Google Scholar] [CrossRef]
- Xiong, X.; Hu, S.; Hu, K.; Zeng, S. Texture and magnetic property evolution of non-oriented Fe–Si steel due to mechanical cutting. J. Magn. Magn. Mater. 2016, 401, 982–990. [Google Scholar] [CrossRef]
- Leuning, N.; Steentjes, S.; Heller, M.; Korte-Kerzel, S.; Hameyer, K. On the correlation of crystallographic macro-texture and magnetic magnetization anisotropy in non-oriented electrical steel. J. Magn. Magn. Mater. 2019, 490, 165485. [Google Scholar] [CrossRef]
- Ham, R. The determination of dislocation densities in thin films. Philos. Mag. 1961, 6, 1183–1184. [Google Scholar] [CrossRef]
- Dupré, L.; Sablik, M.; Van Keer, R.; Melkebeek, J. Modelling of microstructural effects on magnetic hysteresis properties. J. Phys. D Appl. Phys. 2002, 35, 2086. [Google Scholar] [CrossRef]













© 2020 by the authors. Licensee MDPI, Basel, Switzerland. This article is an open access article distributed under the terms and conditions of the Creative Commons Attribution (CC BY) license (http://creativecommons.org/licenses/by/4.0/).
Share and Cite
Daem, A.; Sergeant, P.; Dupré, L.; Chaudhuri, S.; Bliznuk, V.; Kestens, L. Magnetic Properties of Silicon Steel after Plastic Deformation. Materials 2020, 13, 4361. https://doi.org/10.3390/ma13194361
Daem A, Sergeant P, Dupré L, Chaudhuri S, Bliznuk V, Kestens L. Magnetic Properties of Silicon Steel after Plastic Deformation. Materials. 2020; 13(19):4361. https://doi.org/10.3390/ma13194361
Chicago/Turabian StyleDaem, Andries, Peter Sergeant, Luc Dupré, Somsubhro Chaudhuri, Vitaliy Bliznuk, and Leo Kestens. 2020. "Magnetic Properties of Silicon Steel after Plastic Deformation" Materials 13, no. 19: 4361. https://doi.org/10.3390/ma13194361
APA StyleDaem, A., Sergeant, P., Dupré, L., Chaudhuri, S., Bliznuk, V., & Kestens, L. (2020). Magnetic Properties of Silicon Steel after Plastic Deformation. Materials, 13(19), 4361. https://doi.org/10.3390/ma13194361

