Effect of Immiscible Secondary Fluid on Particle Dynamics and Coffee Ring Characteristics during Suspension Drying
Abstract
1. Introduction
2. Materials and Methods
2.1. Preparation of Polystyrene Suspensions
2.2. Mean Square Displacement Based on Diffusing Wave Spectroscopy Analysis
2.3. β-Relaxation of Particles Using Multispeckle Diffusing Wave Spectroscopy
2.4. Visualization of Dried Suspension Droplets
3. Results and Discussion
3.1. Morphological Changes of Particles Induced by Hydrocarbon Oil Addition
3.2. Prediction of Diffusivity of Polystyrene Particles in Various Suspensions
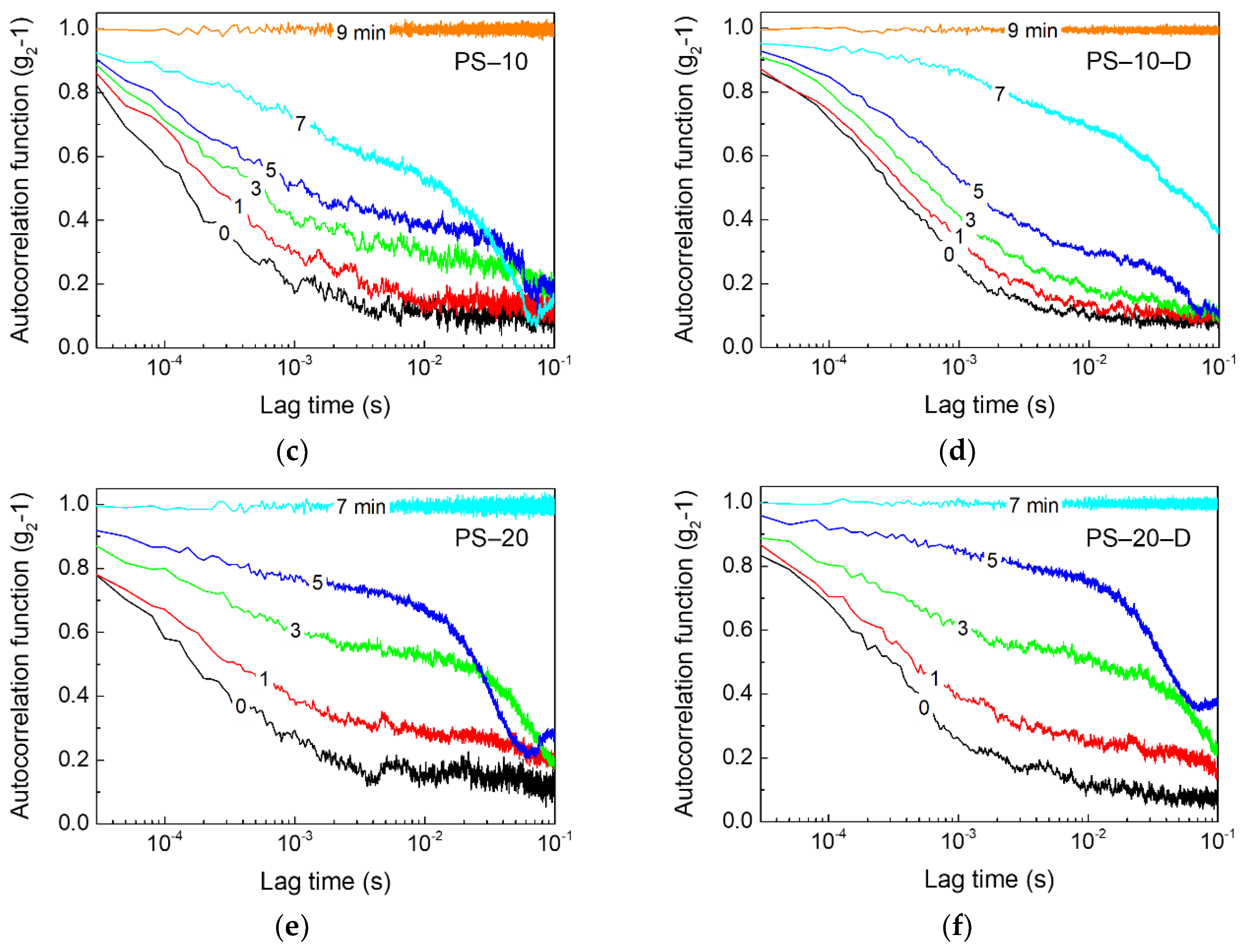
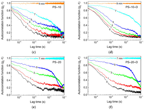
3.3. Relaxation Dynamics of Particles during Suspension Drop Drying
3.4. Coffee Ring Patterns of Dried Suspension Droplets
4. Conclusions
Author Contributions
Funding
Conflicts of Interest
References
- Calvert, P. Inkjet printing for materials and devices. Chem. Mater. 2001, 13, 3299–3305. [Google Scholar] [CrossRef]
- Yoo, H.; Kim, C. Experimental studies on formation, spreading and drying of inkjet drop of colloidal suspensions. Colloid Surf. A Physicochem. Eng. Asp. 2015, 468, 234–245. [Google Scholar] [CrossRef]
- Tang, T.; Castelletto, V.; Parras, P.; Hamley, I.W.; King, S.M.; Roy, D.; Perrier, S.; Hoogenboom, R.; Schubert, U.S. Thermo-responsive poly(methyl methacrylate)-block-poly(N-isopropylacrylamide) block copolymers synthesized by RAFT polymerization: Micellization and gelation. Macromol. Chem. Phys. 2006, 207, 1718–1726. [Google Scholar] [CrossRef]
- Burchell, M.J.; Cole, M.J.; Lascelles, S.F.; Khan, M.A.; Barthet, C.; Wilson, S.A.; Cairns, D.B.; Armes, S.P. Acceleration of conducting polymer-coated latex particles as projectiles in hypervelocity impact experiments. J. Phys. D Appl. Phys. 1999, 32, 1719. [Google Scholar] [CrossRef]
- Quaroni, L.; Chumanov, G. Preparation of polymer-coated functionalized silver nanoparticles. J. Am. Chem. Soc. 1999, 121, 10642–10643. [Google Scholar] [CrossRef]
- Guo, Z.H.; Pereira, T.; Choi, O.; Wang, Y.; Hahn, H.T. Surface functionalized alumina nanoparticle filled polymeric nanocomposites with enhanced mechanical properties. J. Mater. Chem. 2006, 16, 2800–2808. [Google Scholar] [CrossRef]
- Derby, B. Inkjet printing ceramics: From drops to solid. J. Eur. Ceram. Soc. 2011, 31, 2543–2550. [Google Scholar] [CrossRef]
- Tekin, E.; Smith, P.J.; Schubert, U.S. Inkjet printing as a deposition and patterning tool for polymers and inorganic particles. Soft Matter. 2008, 4, 703–713. [Google Scholar] [CrossRef]
- Singh, M.; Haverinen, H.M.; Dhagat, P.; Jabbour, G.E. Inkjet printing—process and its applications. Adv. Mater. 2010, 22, 673–685. [Google Scholar] [CrossRef]
- Deegan, R.D.; Bakajin, O.; Dupont, T.F.; Huber, G.; Nagel, S.R.; Witten, T.A. Capillary flow as the cause of ring stains from dried liquid drops. Nature 1997, 389, 827–829. [Google Scholar] [CrossRef]
- Hu, H.; Larson, R.G. Evaporation of a sessile droplet on a substrate. J. Phys. Chem. B 2002, 106, 1334–1344. [Google Scholar] [CrossRef]
- Mampallil, D.; Eral, H.B. A review on suppression and utilization of the coffee-ring effect. Adv. Colloid Interface Sci. 2018, 252, 38–54. [Google Scholar] [CrossRef] [PubMed]
- Norris, D.J.; Arlinghaus, E.G.; Meng, L.; Heiny, R.; Scriven, L.E. Opaline photonic crystals: How does self-assembly work? Adv. Mater. 2004, 16, 1393–1399. [Google Scholar] [CrossRef]
- Friederich, A.; Binder, J.R.; Bauer, W. Rheological control of the coffee stain effect for inkjet printing of ceramics. J. Am. Chem. Soc. 2013, 96, 2093–2099. [Google Scholar] [CrossRef]
- Layani, M.; Gruchko, M.; Milo, O.; Balberg, I.; Azulay, D.; Magdassi, S. Transparent conductive coatings by printing coffee ring arrays obtained at room temperature. ACS Nano 2009, 3, 3537–3542. [Google Scholar] [CrossRef]
- Pan, X.Y.; Dong, J.; Li, Y.; Sun, X.; Yuan, C.W.; Qian, W.P. The strategy of two-scale interface enrichment for constructing ultrasensitive SERS substrates based on the coffee ring effect of AgNP@ β-CD. RSC Adv. 2016, 6, 29586–29591. [Google Scholar] [CrossRef]
- Wong, T.S.; Chen, T.H.; Shen, X.Y.; Ho, C.M. Nanochromatography driven by the coffee ring effect. Anal. Chem. 2011, 83, 1871–1873. [Google Scholar] [CrossRef]
- He, P.; Derby, B. Controlling coffee ring formation during drying of inkjet printed 2D inks. Adv. Mater. Interfaces 2017, 4, 1700944. [Google Scholar] [CrossRef]
- Eom, D.S.; Chang, J.; Song, Y.W.; Lim, J.A.; Han, J.T.; Kim, H.; Cho, K. Coffee-ring structure from dried graphene derivative solutions: A facile one-step fabrication route for all graphene-based transistors. J. Phys. Chem. C 2014, 118, 27081–27090. [Google Scholar] [CrossRef]
- Zhang, L.; Liu, H.T.; Zhao, Y.; Sun, X.N.; Wen, Y.G.; Guo, Y.L.; Gao, X.K.; Di, C.; Yu, G.; Liu, Y.Q. Inkjet printing high-resolution, large-area graphene patterns by coffee-ring lithography. Adv. Mater. 2012, 24, 436–440. [Google Scholar] [CrossRef]
- van Dommelen, R.; Fanzio, P.; Sasso, L. Surface self-assembly of colloidal crystals for micro-and nano-patterning. Adv. Colloid Interface Sci. 2018, 251, 97–114. [Google Scholar] [CrossRef] [PubMed]
- Sun, P.; Ma, R.; Wang, K.; Zhong, M.; Wei, J.; Wu, D.; Sasaki, T.; Zhu, H. Suppression of the coffee-ring effect by self-assembling graphene oxide and monolayer titania. Nanotechnology 2013, 24, 075601. [Google Scholar] [CrossRef] [PubMed]
- Li, Y.; Yang, Q.; Li, M.; Song, Y. Rate-dependent interface capture beyond the coffee-ring effect. Sci. Rep. 2016, 6, 24628. [Google Scholar] [CrossRef] [PubMed]
- Deegan, R.D. Pattern formation in drying drops. Phys. Rev. E Stat. Phys. Plasmas Fluids Related Interdiscip. Top. 2000, 61, 475–485. [Google Scholar]
- Anyfantakis, M.; Geng, Z.; Morel, M.; Rudiuk, S.; Baigl, D. Modulation of the coffee-ring effect in particle/surfactant mixtures: The importance of particle–interface interactions. Langmuir 2015, 31, 4113–4120. [Google Scholar] [CrossRef]
- Kim, D.O.; Pack, M.; Hu, H.; Kim, H.; Sun, Y. Deposition of colloidal drops containing ellipsoidal particles: Competition between capillary and hydrodynamic forces. Langmuir 2016, 32, 11899–11906. [Google Scholar] [CrossRef]
- Yunker, P.J.; Still, T.; Lohr, M.A.; Yodh, A.G. Suppression of the coffee-ring effect by shape-dependent capillary interactions. Nature 2011, 476, 308–311. [Google Scholar] [CrossRef]
- Park, B.S.; Jung, K.I.; Lee, S.J.; Lee, K.-Y.; Jung, H.W. Effect of particle shape on drying dynamics in suspension drops using multi-speckle diffusing wave spectroscopy. Colloid Polym. Sci. 2018, 296, 971–979. [Google Scholar] [CrossRef]
- Cui, L.; Zhang, J.; Zhang, X.; Huang, L.; Wang, Z.; Li, Y.; Gao, H.; Zhu, S.; Wang, T.; Yang, B. Suppression of the coffee ring effect by hydrosoluble polymer additives. ACS Appl. Mater. Interfaces 2012, 4, 2775–2780. [Google Scholar] [CrossRef]
- Bansal, L.; Seth, P.; Murugappan, B.; Basu, S. Suppression of coffee ring: (Particle) size matters. Appl. Phys. Lett. 2018, 112, 211605. [Google Scholar] [CrossRef]
- Ryu, S.; Kim, J.Y.; Kim, S.Y.; Weon, B.M. Drying-mediated patterns in colloid-polymer suspensions. Sci. Rep. 2017, 7, 1079. [Google Scholar] [CrossRef] [PubMed]
- Liu, Z.; Ji, H.; Wang, S.; Zhao, W.; Huang, Y.; Feng, H.; Wei, J.; Li, M. Enhanced electrical and mechanical properties of a printed bimodal silver nanoparticle ink for flexible electronics. Phys. Status Solidi Appl. Mater. Sci. 2018, 215, 1800007. [Google Scholar] [CrossRef]
- Oh, G.J.; Hwang, J.W.; Bong, K.W.; Jung, H.W.; Lee, S.J. Particle dynamics and relaxation in bimodal suspensions during drying using multispeckle diffusing wave spectroscopy. AIChE J. 2017, 63, 1114–1121. [Google Scholar] [CrossRef]
- Weitz, D.A.; Pine, D.J. Diffusing-Wave Spectroscopy; Oxford University Press: Oxford, UK, 1993; pp. 652–720. [Google Scholar]
- Panczyk, M.M.; Wagner, N.J.; Furst, E.M. Short-time diffusivity of dicolloids. Phys. Rev. E 2014, 89, 062311. [Google Scholar] [CrossRef]
- Lee, J.Y.; Hwang, J.W.; Jung, H.W.; Kim, S.H.; Lee, S.J.; Yoon, K.; Weitz, D.A. Fast dynamics and relaxation of colloidal drops during the drying process using multispeckle diffusing wave spectroscopy. Langmuir 2013, 29, 861–866. [Google Scholar] [CrossRef]
- Viasnoff, V.; Lequeux, F.; Pine, D.J. Multispeckle diffusing-wave spectroscopy: A tool to study slow relaxation and time-dependent dynamics. Rev. Sci. Instrum. 2002, 73, 2336–2344. [Google Scholar] [CrossRef]
- Park, B.S.; Ahn, W.G.; Jung, K.I.; Lee, S.J.; Lee, K.Y.; Jung, H.W. Analysis of the drying behavior of suspension drops with spherical and ellipsoidal particles. Dry. Technol. 2018, 36, 2022–2029. [Google Scholar] [CrossRef]
- Alexander, M.; Dalgleish, D.G. Interactions between denatured milk serum proteins and casein micelles studied by diffusing wave spectroscopy. Langmuir 2005, 21, 11380–11386. [Google Scholar] [CrossRef]
- Koos, E.; Willenbacher, N. Capillary forces in suspension rheology. Science 2011, 331, 897–900. [Google Scholar] [CrossRef]
- Zhang, J.; Zhao, H.; Li, W.; Xu, M.; Liu, H. Multiple effects of the second fluid on suspension viscosity. Sci. Rep. 2015, 5, 16058. [Google Scholar] [CrossRef]
- Gencer, A.; Schutz, C.; Thielemans, W. Influence of the particle concentration and Marangoni flow on the formation of cellulose nanocrystal films. Langmuir 2016, 33, 228–234. [Google Scholar] [CrossRef] [PubMed]
- Eales, A.D.; Dartnell, N.; Goddard, S.; Routh, A.F. The impact of trough geometry on film shape. A theoretical study of droplets containing polymer, for P-OLED display applications. J. Colloid Interface Sci. 2015, 458, 53–61. [Google Scholar] [CrossRef] [PubMed]
- Robin, M.; Kuai, W.; Amela-Cortes, M.; Cordier, S.; Molard, Y.; Mohammed-Brahim, T.; Jacques, E.; Harnois, M. Epoxy based ink as versatile material for inkjet-printed devices. ACS Appl. Mater. Interfaces 2015, 7, 21975–21984. [Google Scholar] [CrossRef] [PubMed]








| Sample | Particle (P)* | Decalin (D)* | D/P in Weight |
|---|---|---|---|
| PS-5 | 0.05 g | – | – |
| PS-10 | 0.10 g | – | – |
| PS-20 | 0.20 g | – | – |
| PS-5-D | 0.05 g | 0.01 g | 0.2 |
| PS-10-D | 0.10 g | 0.01 g | 0.1 |
| PS-20-D | 0.20 g | 0.01 g | 0.05 |
© 2020 by the authors. Licensee MDPI, Basel, Switzerland. This article is an open access article distributed under the terms and conditions of the Creative Commons Attribution (CC BY) license (http://creativecommons.org/licenses/by/4.0/).
Share and Cite
Jung, K.I.; Park, B.S.; Lee, S.J.; Noh, S.M.; Jung, H.W. Effect of Immiscible Secondary Fluid on Particle Dynamics and Coffee Ring Characteristics during Suspension Drying. Materials 2020, 13, 3438. https://doi.org/10.3390/ma13153438
Jung KI, Park BS, Lee SJ, Noh SM, Jung HW. Effect of Immiscible Secondary Fluid on Particle Dynamics and Coffee Ring Characteristics during Suspension Drying. Materials. 2020; 13(15):3438. https://doi.org/10.3390/ma13153438
Chicago/Turabian StyleJung, Kevin Injoe, Baek Sung Park, Seong Jae Lee, Seung Man Noh, and Hyun Wook Jung. 2020. "Effect of Immiscible Secondary Fluid on Particle Dynamics and Coffee Ring Characteristics during Suspension Drying" Materials 13, no. 15: 3438. https://doi.org/10.3390/ma13153438
APA StyleJung, K. I., Park, B. S., Lee, S. J., Noh, S. M., & Jung, H. W. (2020). Effect of Immiscible Secondary Fluid on Particle Dynamics and Coffee Ring Characteristics during Suspension Drying. Materials, 13(15), 3438. https://doi.org/10.3390/ma13153438

