On the Factors Governing Austenite Stability: Intrinsic versus Extrinsic
Abstract
1. Introduction
2. The Factors Govern Austenite Stability
2.1. Intrinsic Factors
2.1.1. Chemical Compositions
2.1.2. Dislocations
2.1.3. Grain Size
2.1.4. Morphology
2.2. Extrinsic Factors
2.2.1. Stress/Strain Partitioning
2.2.2. Stress State
2.2.3. Strength of the Matrix
2.2.4. Orientation
2.2.5. Strain Rate
3. Characterization Techniques
3.1. Tensile Test
3.2. Nanoindentation Tests
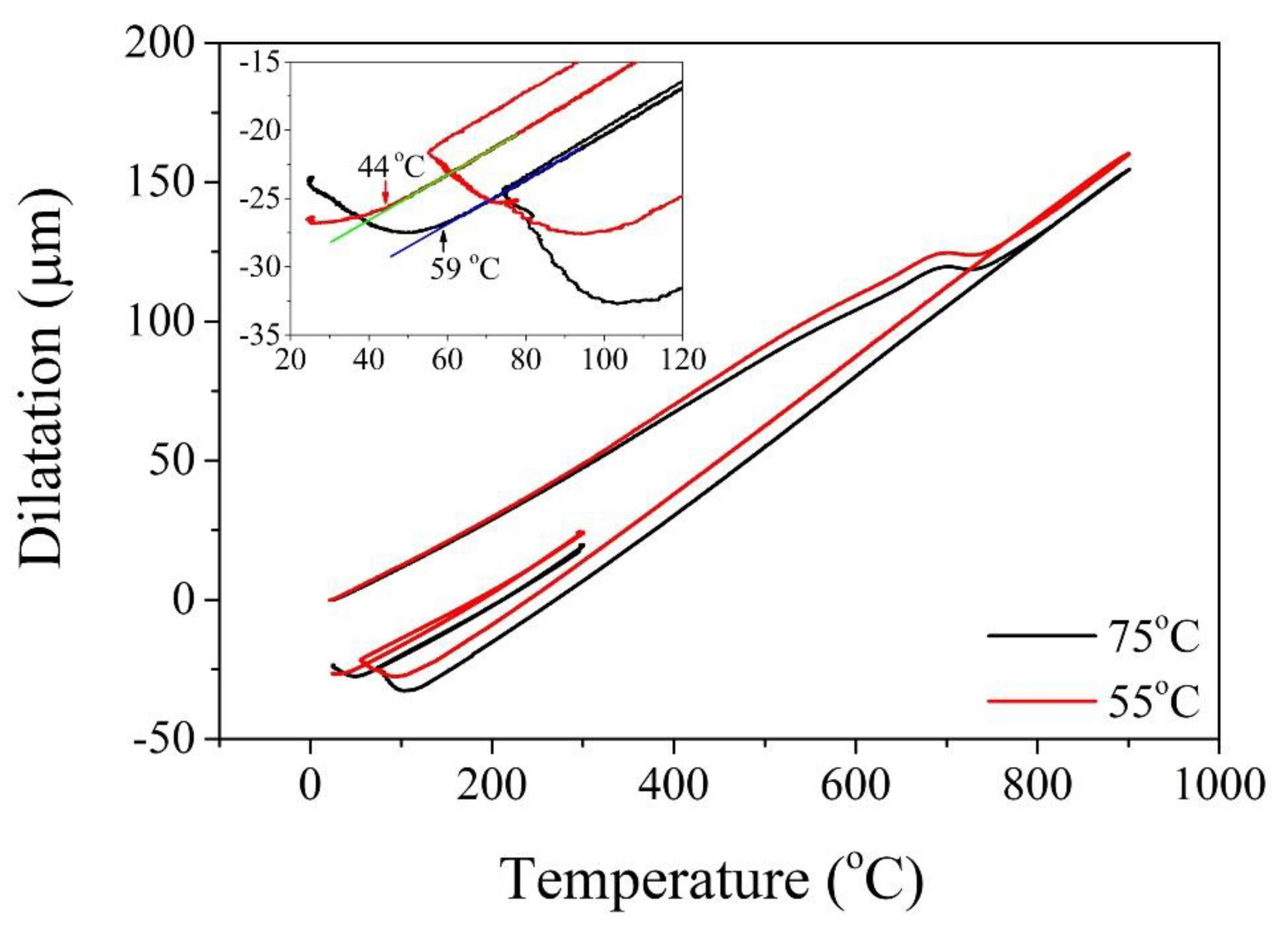
3.3. Dilatometry Test
3.4. Magnetization Test
3.5. In Situ Techniques
4. Alloy Design Strategies
5. Prospect
6. Conclusions
Funding
Conflicts of Interest
References
- Hernandez, F.C.R.; Ramírez, J.M.H.; Mackay, R. Al-Si Alloys: Automotive, Aeronautical, and Aerospace Applications; Springer International Publishing: Cham, Switzerland, 2017. [Google Scholar]
- Song, J.; Chen, C.; Zhu, S.; Zhu, M.; Dai, J.; Ray, U.; Li, Y.; Kuang, Y.; Li, Y.; Quispe, N. Processing bulk natural wood into a high-performance structural material. Nature 2018, 554, 224–228. [Google Scholar] [CrossRef] [PubMed]
- Kim, H.; Suh, D.-W.; Kim, N.J. Fe–Al–Mn–C lightweight structural alloys: A review on the microstructures and mechanical properties. Sci. Technol. Adv. Mater. 2013, 14, 014205. [Google Scholar] [CrossRef]
- Hall, E. The deformation and ageing of mild steel: III discussion of results. Proc. R. Soc. B 1951, 64, 747. [Google Scholar] [CrossRef]
- Petch, N. The cleavage strength of polycrystals. J. Iron Steel Inst. 1953, 174, 25–28. [Google Scholar]
- Lu, K.; Lu, L.; Suresh, S. Strengthening materials by engineering coherent internal boundaries at the nanoscale. Science 2009, 324, 349–352. [Google Scholar] [CrossRef]
- Taylor, G.I. The mechanism of plastic deformation of crystals. Part I. Theoretical. Proc. R. Soc. Lond. Ser. A Contain. Pap. Math. Phys. Character 1934, 145, 362–387. [Google Scholar]
- Charleux, M.; Poole, W.; Militzer, M.; Deschamps, A. Precipitation behavior and its effect on strengthening of an HSLA-Nb/Ti steel. Metall. Mater. Trans. A 2001, 32, 1635–1647. [Google Scholar] [CrossRef]
- Wei, Y.; Li, Y.; Zhu, L.; Liu, Y.; Lei, X.; Wang, G.; Wu, Y.; Mi, Z.; Liu, J.; Wang, H.; et al. Evading the strength-ductility trade-off dilemma in steel through gradient hierarchical nanotwins. Nat. Commun. 2014, 5, 3580–3587. [Google Scholar] [CrossRef]
- Bouaziz, O.; Zurob, H.; Huang, M. Driving force and logic of development of advanced high strength steels for automotive applications. Steel Res. Int. 2013, 84, 937–947. [Google Scholar] [CrossRef]
- Cai, Z.H.; Ding, H.; Xue, X.; Jiang, J.; Xin, Q.B.; Misra, R.D.K. Significance of control of austenite stability and three-stage work-hardening behavior of an ultrahigh strength–high ductility combination transformation-induced plasticity steel. Scr. Mater. 2013, 68, 865–868. [Google Scholar] [CrossRef]
- Koyama, M.; Zhang, Z.; Wang, M.; Ponge, D.; Raabe, D.; Tsuzaki, K.; Noguchi, H.; Tasan, C.C. Bone-like crack resistance in hierarchical metastable nanolaminate steels. Science 2017, 355, 1055–1057. [Google Scholar] [CrossRef] [PubMed]
- Liu, L.; Yu, Q.; Wang, Z.; Ell, J.; Huang, M.; Ritchie, R.O. Making ultrastrong steel tough by grain-boundary delamination. Science 2020, 368, 1347–1352. [Google Scholar] [CrossRef] [PubMed]
- Syn, C.; Fultz, B.; Morris, J. Mechanical stability of retained austenite in tempered 9Ni steel. MTA 1978, 9, 1635–1640. [Google Scholar] [CrossRef]
- Lee, C.G.; Kim, S.-J.; Lee, T.-H.; Lee, S. Effects of volume fraction and stability of retained austenite on formability in a 0.1 C–1.5 Si–1.5 Mn–0.5 Cu TRIP-aided cold-rolled steel sheet. Mater. Sci. Eng. A 2004, 371, 16–23. [Google Scholar] [CrossRef]
- Liu, L.; He, B.; Huang, M. The role of transformation-induced plasticity in the development of advanced high strength steels. Adv. Eng. Mater. 2018, 20, 1701083. [Google Scholar] [CrossRef]
- Jacques, P.J. Transformation-induced plasticity for high strength formable steels. Curr. Opin. Solid State Mater. Sci. 2004, 8, 259–265. [Google Scholar] [CrossRef]
- Raabe, D.; Ponge, D.; Dmitrieva, O.; Sander, B. Nanoprecipitate-hardened 1.5 GPa steels with unexpected high ductility. Scr. Mater. 2009, 60, 1141–1144. [Google Scholar] [CrossRef]
- Luo, H.; Shi, J.; Wang, C.; Cao, W.; Sun, X.; Dong, H. Experimental and numerical analysis on formation of stable austenite during the intercritical annealing of 5Mn steel. Acta Mater. 2011, 59, 4002–4014. [Google Scholar] [CrossRef]
- Shi, J.; Sun, X.; Wang, M.; Hui, W.; Dong, H.; Cao, W. Enhanced work-hardening behavior and mechanical properties in ultrafine-grained steels with large-fractioned metastable austenite. Scr. Mater. 2010, 63, 815–818. [Google Scholar] [CrossRef]
- Speer, J.; Matlock, D.; De Cooman, B.; Schroth, J. Carbon partitioning into austenite after martensite transformation. Acta Mater. 2003, 51, 2611–2622. [Google Scholar] [CrossRef]
- Xiong, X.C.; Chen, B.; Huang, M.X.; Wang, J.F.; Wang, L. The effect of morphology on the stability of retained austenite in a quenched and partitioned steel. Scr. Mater. 2013, 68, 321–324. [Google Scholar] [CrossRef]
- Caballero, F.G.; Bhadeshia, H.K.D.H. Very strong bainite. Curr. Opin. Solid State Mater. Sci. 2004, 8, 251–257. [Google Scholar] [CrossRef]
- Jacques, P.; Furnémont, Q.; Mertens, A.; Delannay, F. On the sources of work hardening in multiphase steels assisted by transformation-induced plasticity. Philos. Mag. A 2001, 81, 1789–1812. [Google Scholar] [CrossRef]
- Wang, M.M.; Tasan, C.C.; Ponge, D.; Dippel, A.C.; Raabe, D. Nanolaminate transformation-induced plasticity–twinning-induced plasticity steel with dynamic strain partitioning and enhanced damage resistance. Acta Mater. 2015, 85, 216–228. [Google Scholar] [CrossRef]
- Zhang, K.; Zhang, M.; Guo, Z.; Chen, N.; Rong, Y. A new effect of retained austenite on ductility enhancement in high-strength quenching–partitioning–tempering martensitic steel. Mater. Sci. Eng. A 2011, 528, 8486–8491. [Google Scholar] [CrossRef]
- Bhadeshia, H.K. TRIP-assisted steels? ISIJ Int. 2002, 42, 1059–1060. [Google Scholar] [CrossRef]
- Van Dijk, N.H.; Butt, A.M.; Zhao, L.; Sietsma, J.; Offerman, S.E.; Wright, J.P.; van der Zwaag, S. Thermal stability of retained austenite in TRIP steels studied by synchrotron X-ray diffraction during cooling. Acta Mater. 2005, 53, 5439–5447. [Google Scholar] [CrossRef]
- Bhadeshia, H.K.D.H.; Honeycombe, R. Steels: Microstructure and Properties, 3rd ed.; Butterworth-Heinemann: Oxford, UK, 2006. [Google Scholar]
- Kaufman, L.; Cohen, M. Thermodynamics and kinetics of martensitic transformations. Prog. Metal. Phys. 1958, 7, 165–246. [Google Scholar] [CrossRef]
- Barbier, D. Extension of the martensite transformation temperature relation to larger alloying elements and contents. Adv. Eng. Mater. 2014, 16, 122–127. [Google Scholar] [CrossRef]
- Trzaska, J. Calculation of critical temperatures by empirical formulae. Arch. Metall. Mater. 2016, 61, 981–986. [Google Scholar] [CrossRef]
- Wang, J.; van der Wolk, P.J.; van der Zwaag, S. Determination of martensite start temperature in engineering steels part I. Empirical relations describing the effect of steel chemistry. Mater. Trans. JIM 2000, 41, 761–768. [Google Scholar] [CrossRef]
- Kung, C.; Rayment, J. An examination of the validity of existing empirical formulae for the calculation of M S temperature. MTA 1982, 13, 328–331. [Google Scholar] [CrossRef]
- Andrews, K. Empirical formulae for the calculation of some transformation temperatures. J. Iron Steel Inst. Jpn. 1965, 203, 721–727. [Google Scholar]
- Gao, G.; Gao, B.; Gui, X.; Hu, J.; He, J.; Tan, Z.; Bai, B. Correlation between microstructure and yield strength of as-quenched and Q&P steels with different carbon content (0.06–0.42 wt% C). Mater. Sci. Eng. A 2019, 753, 1–10. [Google Scholar]
- Podder, A.S.; Bhadeshia, H. Thermal stability of austenite retained in bainitic steels. Mater. Sci. Eng. A 2010, 527, 2121–2128. [Google Scholar] [CrossRef]
- Masumura, T.; Tsuchiyama, T.; Takaki, S.; Koyano, T.; Adachi, K. Difference between carbon and nitrogen in thermal stability of metastable 18% Cr-8% Ni austenite. Scr. Mater. 2018, 154, 8–11. [Google Scholar] [CrossRef]
- Rao, M.N. Progress in understanding the metallurgy of 18% nickel maraging steels. Z. Met. 2006, 97, 1594–1607. [Google Scholar] [CrossRef]
- Venables, J. The martensite transformation in stainless steel. Philos. Mag. J. Theor. Exp. Appl. Phys. 1962, 7, 35–44. [Google Scholar] [CrossRef]
- Shiga, M. Invar alloys. Curr. Opin. Solid State Mater. Sci. 1996, 1, 340–348. [Google Scholar] [CrossRef]
- Izumiyama, M.; Tsuchiya, M.; Imai, Y. Effects of alloying elements on the supercooled a 3 transformation. J. Jpn. Inst. Met. 1970, 34, 291–295. [Google Scholar] [CrossRef]
- Luo, H. Comments on “Austenite stability of ultrafine-grained transformation-induced plasticity steel with mn partitioning” by S.; Lee, S.J. Lee and B.C. De cooman, scripta materialia 65 (2011) 225–228. Scr. Mater. 2012, 66, 829–831. [Google Scholar] [CrossRef]
- Lee, S.; Lee, S.-J.; De Cooman, B.C. Reply to comments on “Austenite stability of ultrafine-grained transformation-induced plasticity steel with Mn partitioning”. Scr. Mater. 2012, 66, 832–833. [Google Scholar] [CrossRef]
- Mintz, B. The influence of aluminium on the strength and impact properties of steel. In Proceedings of the International Conference on TRIP-Aided High Strength Ferrous Alloys, Ghent, Belgium, 1 January 2002; pp. 379–382. [Google Scholar]
- Jimenez-Melero, E.; Van Dijk, N.; Zhao, L.; Sietsma, J.; Offerman, S.; Wright, J.; Van der Zwaag, S. The effect of aluminium and phosphorus on the stability of individual austenite grains in TRIP steels. Acta Mater. 2009, 57, 533–543. [Google Scholar] [CrossRef]
- Jeong, I.; Ryu, K.M.; Lee, D.G.; Jung, Y.; Lee, K.; Lee, J.S.; Suh, D.-W. Austenite morphology and resistance to hydrogen embrittlement in medium Mn transformation-induced plasticity steel. Scr. Mater. 2019, 169, 52–56. [Google Scholar] [CrossRef]
- Hossain, R.; Pahlevani, F.; Sahajwalla, V. Effect of small addition of Cr on stability of retained austenite in high carbon steel. Mater. Charact. 2017, 125, 114–122. [Google Scholar] [CrossRef]
- Olson, G.; Cohen, M. A mechanism for the strain-induced nucleation of martensitic transformations. J. Less Common Met. 1972, 28, 107–118. [Google Scholar] [CrossRef]
- Bhadeshia, H.K.D.H. Some phase transformations in steels. Mater. Sci. Technol. 1999, 15, 22–29. [Google Scholar] [CrossRef]
- Chatterjee, S.; Wang, H.S.; Yang, J.R.; Bhadeshia, H.K.D.H. Mechanical stabilisation of austenite. Mater. Sci. Technol. 2006, 22, 641–644. [Google Scholar] [CrossRef]
- Maalekian, M.; Kozeschnik, E.; Chatterjee, S.; Bhadeshia, H.K.D.H. Mechanical stabilisation of eutectoid steel. Mater. Sci. Technol. 2007, 23, 610–612. [Google Scholar] [CrossRef]
- Kajiwara, S. Roles of dislocations and grain boundaries in martensite nucleation. Metall. Mater. Trans. A 1986, 17, 1693–1702. [Google Scholar] [CrossRef]
- Breedis, J. Influence of dislocation substructure on the martensitic transformation in stainless steel. Acta Metall. 1965, 13, 239–250. [Google Scholar] [CrossRef]
- He, B.; Xu, W.; Huang, M. Increase of martensite start temperature after small deformation of austenite. Mater. Sci. Eng. A 2014, 609, 141–146. [Google Scholar] [CrossRef]
- Ashby, M.F. The deformation of plastically non-homogeneous materials. Philos. Mag. 1970, 21, 399–424. [Google Scholar] [CrossRef]
- Hidalgo, J.; Findley, K.; Santofimia, M. Thermal and mechanical stability of retained austenite surrounded by martensite with different degrees of tempering. Mater. Sci. Eng. A 2017, 690, 337–347. [Google Scholar] [CrossRef]
- Jimenez-Melero, E.; van Dijk, N.H.; Zhao, L.; Sietsma, J.; Offerman, S.E.; Wright, J.P.; van der Zwaag, S. Martensitic transformation of individual grains in low-alloyed TRIP steels. Scr. Mater. 2007, 56, 421–424. [Google Scholar] [CrossRef]
- Jimenez-Melero, E.; van Dijk, N.H.; Zhao, L.; Sietsma, J.; Offerman, S.E.; Wright, J.P.; van der Zwaag, S. Characterization of individual retained austenite grains and their stability in low-alloyed TRIP steels. Acta Mater. 2007, 55, 6713–6723. [Google Scholar] [CrossRef]
- Blondé, R.; Jimenez-Melero, E.; Zhao, L.; Wright, J.P.; Brück, E.; van der Zwaag, S.; van Dijk, N.H. Multi length scale characterisation of austenite in TRIP steels using high-energy X-ray diffraction. Powder Diffr. 2013, 28, 77–80. [Google Scholar] [CrossRef]
- García-Junceda, A.; Capdevila, C.; Caballero, F.G.; de Andrés, C.G. Dependence of martensite start temperature on fine austenite grain size. Scr. Mater. 2008, 58, 134–137. [Google Scholar] [CrossRef]
- Koohdar, H.; Nili-Ahmadabadi, M.; Habibi-Parsa, M.; Jafarian, H.R.; Bhattacharjee, T.; Tsuji, N. On the stability of reversely formed austenite and related mechanism of transformation in an Fe-Ni-Mn martensitic steel aided by electron backscattering diffraction and atom probe tomography. Metall. Mater. Trans. A 2017, 48, 5244–5257. [Google Scholar] [CrossRef]
- Cai, Z.; Ding, H.; Misra, R.; Ying, Z. Austenite stability and deformation behavior in a cold-rolled transformation-induced plasticity steel with medium manganese content. Acta Mater. 2015, 84, 229–236. [Google Scholar] [CrossRef]
- Morito, S.; Saito, H.; Ogawa, T.; Furuhara, T.; Maki, T. Effect of austenite grain size on the morphology and crystallography of lath martensite in low carbon steels. ISIJ Int. 2005, 45, 91–94. [Google Scholar] [CrossRef]
- He, B.; Huang, M. Revealing the Intrinsic Nanohardness of Lath Martensite in low carbon steel. Metall. Mater. Trans. A 2015, 46, 688–694. [Google Scholar] [CrossRef]
- Arlazarov, A.; Gouné, M.; Bouaziz, O.; Hazotte, A. Critical factors governing the thermal stability of austenite in an ultra-fined grained medium-Mn steel. Philos. Mag. Lett. 2017, 97, 125–131. [Google Scholar] [CrossRef]
- Yang, H.-S.; Bhadeshia, H.K.D.H. Austenite grain size and the martensite-start temperature. Scr. Mater. 2009, 60, 493–495. [Google Scholar] [CrossRef]
- Takaki, S.; Fukunaga, K.; Syarif, J.; Tsuchiyama, T. Effect of grain refinement on thermal stability of metastable austenitic steel. Mater. Trans. 2004, 45, 2245–2251. [Google Scholar] [CrossRef]
- Morito, S.; Huang, X.; Furuhara, T.; Maki, T.; Hansen, N. The morphology and crystallography of lath martensite in alloy steels. Acta Mater. 2006, 54, 5323–5331. [Google Scholar] [CrossRef]
- Van Bohemen, S.; Morsdorf, L. Predicting the Ms temperature of steels with a thermodynamic based model including the effect of the prior austenite grain size. Acta Mater. 2017, 125, 401–415. [Google Scholar] [CrossRef]
- Zhu, K.; Magar, C.; Huang, M. Abnormal relationship between Ms temperature and prior austenite grain size in Al-alloyed steels. Scr. Mater. 2017, 134, 11–14. [Google Scholar] [CrossRef]
- Wang, M.; Tasan, C.C.; Ponge, D.; Kostka, A.; Raabe, D. Smaller is less stable: Size effects on twinning vs. transformation of reverted austenite in TRIP-maraging steels. Acta Mater. 2014, 79, 268–281. [Google Scholar] [CrossRef]
- Järvenpää, A.; Jaskari, M.; Man, J.; Karjalainen, L.P. Austenite stability in reversion-treated structures of a 301LN steel under tensile loading. Mater. Charact. 2017, 127, 12–26. [Google Scholar] [CrossRef]
- Umemoto, M.; Owen, W. Effects of austenitizing temperature and austenite grain size on the formation of athermal martensite in an iron-nickel and an iron-nickel-carbon alloy. Metall. Trans. 1974, 5, 2041–2046. [Google Scholar] [CrossRef]
- De Diego-Calderón, I.; De Knijf, D.; Monclús, M.A.; Molina-Aldareguia, J.M.; Sabirov, I.; Föjer, C.; Petrov, R.H. Global and local deformation behavior and mechanical properties of individual phases in a quenched and partitioned steel. Mater. Sci. Eng. A 2015, 630, 27–35. [Google Scholar] [CrossRef]
- Gong, W.; Tomota, Y.; Harjo, S.; Su, Y.H.; Aizawa, K. Effect of prior martensite on bainite transformation in nanobainite steel. Acta Mater. 2015, 85, 243–249. [Google Scholar] [CrossRef]
- Kim, K.-W.; Kim, K.I.; Lee, C.-H.; Kang, J.-Y.; Lee, T.-H.; Cho, K.-M.; Oh, K.H. Control of retained austenite morphology through double bainitic transformation. Mater. Sci. Eng. A 2016, 673, 557–561. [Google Scholar] [CrossRef]
- Takayama, N.; Miyamoto, G.; Furuhara, T. Chemistry and three-dimensional morphology of martensite-austenite constituent in the bainite structure of low-carbon low-alloy steels. Acta Mater. 2018, 145, 154–164. [Google Scholar] [CrossRef]
- Han, J.; Lee, S.-J.; Jung, J.-G.; Lee, Y.-K. The effects of the initial martensite microstructure on the microstructure and tensile properties of intercritically annealed Fe–9Mn–0.05 C steel. Acta Mater. 2014, 78, 369–377. [Google Scholar] [CrossRef]
- Zhang, X.; Miyamoto, G.; Kaneshita, T.; Yoshida, Y.; Toji, Y.; Furuhara, T. Growth mode of austenite during reversion from martensite in Fe-2Mn-1.5 Si-0.3 C alloy: A transition in kinetics and morphology. Acta Mater. 2018, 154, 1–13. [Google Scholar] [CrossRef]
- Caballero, F.G.; GarcíA-Mateo, C.; Chao, J.; Santofimia, M.J.; Capdevila, C.; De Andres, C.G. Effects of morphology and stability of retained austenite on the ductility of TRIP-aided bainitic steels. ISIJ Int. 2008, 48, 1256–1262. [Google Scholar] [CrossRef]
- Sugimoto, K.-i.; Misu, M.; Kobayashi, M.; Shirasawa, H. Effects of second phase morphology on retained austenite morphology and tensile properties in a TRIP-aided dual-phase steel sheet. ISIJ Int. 1993, 33, 775–782. [Google Scholar] [CrossRef]
- Park, H.S.; Han, J.C.; Lim, N.S.; Seol, J.-B.; Park, C.G. Nano-scale observation on the transformation behavior and mechanical stability of individual retained austenite in CMnSiAl TRIP steels. Mater. Sci. Eng. A 2015, 627, 262–269. [Google Scholar] [CrossRef]
- Zhou, Q.; Qian, L.; Tan, J.; Meng, J.; Zhang, F. Inconsistent effects of mechanical stability of retained austenite on ductility and toughness of transformation-induced plasticity steels. Mater. Sci. Eng. A 2013, 578, 370–376. [Google Scholar] [CrossRef]
- Yan, S.; Liu, X.; Liang, T.; Zhao, Y. The effects of the initial microstructure on microstructural evolution, mechanical properties and reversed austenite stability of intercritically annealed Fe-6.1 Mn-1.5 Si-0.12 C steel. Mater. Sci. Eng. A 2018, 712, 332–340. [Google Scholar] [CrossRef]
- Jacques, P.; Delannay, F.; Ladrière, J. On the influence of interactions between phases on the mechanical stability of retained austenite in transformation-induced plasticity multiphase steels. Metall. Mater. Trans. A 2001, 32, 2759–2768. [Google Scholar] [CrossRef]
- Patel, J.R.; Cohen, M. Criterion for the action of applied stress in the martensitic transformation. Acta Metall. 1953, 1, 531–538. [Google Scholar] [CrossRef]
- Chiang, J.; Boyd, J.; Pilkey, A. Effect of microstructure on retained austenite stability and tensile behaviour in an aluminum-alloyed TRIP steel. Mater. Sci. Eng. A 2015, 638, 132–142. [Google Scholar] [CrossRef]
- Garcia-Mateo, C.; Caballero, F.; Chao, J.; Capdevila, C.; De Andres, C.G. Mechanical stability of retained austenite during plastic deformation of super high strength carbide free bainitic steels. J. Mater. Sci. 2009, 44, 4617–4624. [Google Scholar] [CrossRef]
- Eshelby, J.D. The determination of the elastic field of an ellipsoidal inclusion, and related problems. Proc. R. Soc. Lond. A 1957, 241, 376–396. [Google Scholar]
- Meng, Q.; Rong, Y.; Hsu, T.Y. Nucleation barrier for phase transformations in nanosized crystals. Phys. Rev. B 2002, 65, 174118. [Google Scholar] [CrossRef]
- Tamura, I. Deformation-induced martensitic transformation and transformation-induced plasticity in steels. Met. Sci. 1982, 16, 245–253. [Google Scholar] [CrossRef]
- Hsu, T.Y. Martensitic transformation under stress. Mater. Sci. Eng. A 2006, 438–440, 64–68. [Google Scholar]
- Olson, G.; Cohen, M. Kinetics of strain-induced martensitic nucleation. Metall. Mater. Trans. A 1975, 6, 791–795. [Google Scholar] [CrossRef]
- Chatterjee, S.; Bhadeshia, H.K.D.H. Transformation induced plasticity assisted steels: Stress or strain affected martensitic transformation? Mater. Sci. Technol. 2007, 23, 1101–1104. [Google Scholar] [CrossRef]
- Choi, J.Y.; Lee, J.; Lee, K.; Koh, J.-Y.; Cho, J.-H.; Han, H.N.; Park, K.-T. Effects of the strain rate on the tensile properties of a TRIP-aided duplex stainless steel. Mater. Sci. Eng. A 2016, 666, 280–287. [Google Scholar] [CrossRef]
- Tan, X.; Ponge, D.; Lu, W.; Xu, Y.; Yang, X.; Rao, X.; Wu, D.; Raabe, D. Carbon and strain partitioning in a quenched and partitioned steel containing ferrite. Acta Mater. 2019, 165, 561–576. [Google Scholar] [CrossRef]
- Wang, X.; Liu, C.; He, B.; Jiang, C.; Huang, M. Microscopic strain partitioning in Lüders band of an ultrafine-grained medium Mn steel. Mater. Sci. Eng. A 2019, 761, 138050. [Google Scholar] [CrossRef]
- Gibbs, P.J.; De Cooman, B.; Brown, D.W.; Clausen, B.; Schroth, J.G.; Merwin, M.J.; Matlock, D.K. Strain partitioning in ultra-fine grained medium-manganese transformation induced plasticity steel. Mater. Sci. Eng. A 2014, 609, 323–333. [Google Scholar] [CrossRef]
- Kumar, A.; Dutta, A.; Makineni, S.K.; Herbig, M.; Petrov, R.; Sietsma, J. In-situ observation of strain partitioning and damage development in continuously cooled carbide-free bainitic steels using micro digital image correlation. Mater. Sci. Eng. A 2019, 757, 107–116. [Google Scholar] [CrossRef]
- Ryu, J.H.; Kim, D.-I.; Kim, H.S.; Bhadeshia, H.K.D.H.; Suh, D.-W. Strain partitioning and mechanical stability of retained austenite. Scr. Mater. 2010, 63, 297–299. [Google Scholar] [CrossRef]
- Zhang, S.; Findley, K. Quantitative assessment of the effects of microstructure on the stability of retained austenite in TRIP steels. Acta Mater. 2013, 61, 1895–1903. [Google Scholar] [CrossRef]
- Song, C.; Yu, H.; Lu, J.; Zhou, T.; Yang, S. Stress partitioning among ferrite, martensite and retained austenite of a TRIP-assisted multiphase steel: An in-situ high-energy X-ray diffraction study. Mater. Sci. Eng. A 2018, 726, 1–9. [Google Scholar] [CrossRef]
- Olson, G.B. Transformation plasticity and the stability of plastic flow deformation, Processing and Structure; ASM: St. Louis, MO, USA, 1982; pp. 391–424. [Google Scholar]
- Pyshmintsev, I.; Meyer, M.; Cooman, B.; Savray, R.; Shveykin, V.; Vermeulen, M. The influence of the stress state on the plasticity of transformation induced plasticity-aided steel. Metall. Mater. Trans. A 2002, 33, 1659–1667. [Google Scholar] [CrossRef]
- Kakeshita, T.; Yamamoto, T.; Shimizu, K.I.; Nakamichi, S.; Endo, S.; Ono, F. Composition dependence of martensitic transformations in Fe–Ni Invar alloys under hydrostatic pressures. Mater. Trans. JIM 1995, 36, 483–489. [Google Scholar]
- Kakeshita, T.; Saburi, T.; Shimizu, K. Effects of hydrostatic pressure and magnetic field on martensitic transformations. Mater. Sci. Eng. A 1999, 273, 21–39. [Google Scholar] [CrossRef]
- Todinov, M.T.; Knott, J.F.; Strangwood, M. An assessment of the influence of complex stress states on martensite start temperature. Acta Mater. 1996, 44, 4909–4915. [Google Scholar] [CrossRef]
- Han, H.N.; Lee, C.G.; Oh, C.-S.; Lee, T.-H.; Kim, S.-J. A model for deformation behavior and mechanically induced martensitic transformation of metastable austenitic steel. Acta Mater. 2004, 52, 5203–5214. [Google Scholar] [CrossRef]
- Blondé, R.; Jimenez-Melero, E.; Zhao, L.; Schell, N.; Brück, E.; van der Zwaag, S.; Van Dijk, N. The mechanical stability of retained austenite in low-alloyed TRIP steel under shear loading. Mater. Sci. Eng. A 2014, 594, 125–134. [Google Scholar] [CrossRef]
- Murr, L.; Staudhammer, K.; Hecker, S. Effects of strain state and strain rate on deformation-induced transformation in 304 stainless steel: Part II. Microstructural study. MTA 1982, 13, 627–635. [Google Scholar] [CrossRef]
- Hecker, S.; Stout, M.; Staudhammer, K.; Smith, J. Effects of strain state and strain rate on deformation-induced transformation in 304 stainless steel: Part I. Magnetic measurements and mechanical behavior. MTA 1982, 13, 619–626. [Google Scholar] [CrossRef]
- Greenwood, G.W.; Johnson, R.H. The Deformation of Metals Under Small Stresses During Phase Transformations. Proc. R. Soc. Lond. A 1965, 283, 403–422. [Google Scholar]
- He, B.B.; Zhu, K.; Huang, M.X. On the nanoindentation behaviour of complex ferritic phases. Philos. Mag. Lett. 2014, 94, 439–446. [Google Scholar] [CrossRef]
- He, S.H.; He, B.B.; Zhu, K.Y.; Ding, R.; Chen, H.; Huang, M.X. Revealing the role of dislocations on the stability of retained austenite in a tempered bainite. Scr. Mater. 2019, 168, 23–27. [Google Scholar] [CrossRef]
- De Knijf, D.; Petrov, R.; Föjer, C.; Kestens, L.A. Effect of fresh martensite on the stability of retained austenite in quenching and partitioning steel. Mater. Sci. Eng. A 2014, 615, 107–115. [Google Scholar] [CrossRef]
- Song, C.; Yu, H.; Li, L.; Zhou, T.; Lu, J.; Liu, X. The stability of retained austenite at different locations during straining of I&Q&P steel. Mater. Sci. Eng. A 2016, 670, 326–334. [Google Scholar]
- Timokhina, I.; Hodgson, P.; Pereloma, E. Effect of microstructure on the stability of retained austenite in transformation-induced-plasticity steels. Metall. Mater. Trans. A 2004, 35, 2331–2341. [Google Scholar] [CrossRef]
- He, B.B.; Huang, M.X.; Ngan, A.H.W.; Van Der Zwaag, S. Effect of free surface on the stability of individual retained austenite grains in a duplex stainless steel. Metall. Mater. Trans. A 2014, 45, 4875–4881. [Google Scholar] [CrossRef]
- Klostermann, J.A.; Burgers, W.G. Surface martensite in iron-nickel. Acta Metall. 1964, 12, 355–360. [Google Scholar] [CrossRef]
- Wang, Y.U.; Jin, Y.M.; Khachaturyan, A.G. The effects of free surfaces on martensite microstructures: 3D phase field microelasticity simulation study. Acta Mater. 2004, 52, 1039–1050. [Google Scholar] [CrossRef]
- Kruijver, S.; Zhao, L.; Sietsma, J.; Offerman, S.; Van Dijk, N.; Lauridsen, E.; Margulies, L.; Grigull, S.; Poulsen, H.; Van der Zwaag, S. In situ observations on the mechanical stability of austenite in TRIP-steel. J. Phys. IV (Proc.) 2003, 104, 499–502. [Google Scholar] [CrossRef]
- Blondé, R.; Jimenez-Melero, E.; Zhao, L.; Wright, J.; Brück, E.; Van der Zwaag, S.; Van Dijk, N. High-energy X-ray diffraction study on the temperature-dependent mechanical stability of retained austenite in low-alloyed TRIP steels. Acta Mater. 2012, 60, 565–577. [Google Scholar] [CrossRef]
- Muránsky, O.; Šittner, P.; Zrník, J.; Oliver, E. In situ neutron diffraction investigation of the collaborative deformation–transformation mechanism in TRIP-assisted steels at room and elevated temperatures. Acta Mater. 2008, 56, 3367–3379. [Google Scholar] [CrossRef]
- Liu, T.-Y.; Yang, P.; Meng, L.; Lu, F.-Y. Influence of austenitic orientation on martensitic transformations in a compressed high manganese steel. J. Alloys Compd. 2011, 509, 8337–8344. [Google Scholar] [CrossRef]
- Hilkhuijsen, P.; Geijselaers, H.J.; Bor, T.C.; Perdahcıoğlu, E.; vd Boogaard, A.; Akkerman, R. Strain direction dependency of martensitic transformation in austenitic stainless steels: The effect of γ-texture. Mater. Sci. Eng. A 2013, 573, 100–105. [Google Scholar] [CrossRef]
- Kundu, S.; Bhadeshia, H. Crystallographic texture and intervening transformations. Scr. Mater. 2007, 57, 869–872. [Google Scholar] [CrossRef]
- De Knijf, D.; Föjer, C.; Kestens, L.A.; Petrov, R. Factors influencing the austenite stability during tensile testing of quenching and partitioning steel determined via in-situ electron backscatter diffraction. Mater. Sci. Eng. A 2015, 638, 219–227. [Google Scholar] [CrossRef]
- Tirumalasetty, G.K.; van Huis, M.A.; Kwakernaak, C.; Sietsma, J.; Sloof, W.G.; Zandbergen, H.W. Deformation-induced austenite grain rotation and transformation in TRIP-assisted steel. Acta Mater. 2012, 60, 1311–1321. [Google Scholar] [CrossRef]
- De Knijf, D.; Nguyen-Minh, T.; Petrov, R.; Kestens, L.; Jonas, J.J. Orientation dependence of the martensite transformation in a quenched and partitioned steel subjected to uniaxial tension. J. Appl. Cryst. 2014, 47, 1261–1266. [Google Scholar] [CrossRef]
- Nimaga, O.; Cheng, G.; Yen, H.; Huang, M. Large strain burst induced by martensitic transformation in austenitic micropillars. Scr. Mater. 2017, 137, 64–68. [Google Scholar] [CrossRef]
- Nimaga, O.; He, B.; Cheng, G.; Yen, H.; Huang, M. Revealing orientation-dependent martensitic transformation in a medium Mn steel by micropillar compression. Int. J. Plast. 2019, 123, 165–177. [Google Scholar] [CrossRef]
- Fressengeas, C.; Molinari, A. Instability and localization of plastic flow in shear at high strain rates. J. Mech. Phys. Solids 1987, 35, 185–211. [Google Scholar] [CrossRef]
- Talonen, J.; Hänninen, H.; Nenonen, P.; Pape, G. Effect of strain rate on the strain-induced γ—α′-martensite transformation and mechanical properties of austenitic stainless steels. Metall. Mater. Trans. A 2005, 36, 421–432. [Google Scholar] [CrossRef]
- Park, J.; Jo, M.C.; Jeong, H.J.; Sohn, S.S.; Kwak, J.-H.; Kim, H.S.; Lee, S. Interpretation of dynamic tensile behavior by austenite stability in ferrite-austenite duplex lightweight steels. Sci. Rep. 2017, 7, 1–14. [Google Scholar] [CrossRef] [PubMed]
- Huh, H.; Kim, S.-B.; Song, J.-H.; Lim, J.-H. Dynamic tensile characteristics of TRIP-type and DP-type steel sheets for an auto-body. Int. J. Mech. Sci. 2008, 50, 918–931. [Google Scholar] [CrossRef]
- Lichtenfeld, J.; Van Tyne, C.; Mataya, M. Effect of strain rate on stress-strain behavior of alloy 309 and 304L austenitic stainless steel. Metall. Mater. Trans. A 2006, 37, 147–161. [Google Scholar] [CrossRef]
- Wang, M.; Huang, M. Abnormal TRIP effect on the work hardening behavior of a quenching and partitioning steel at high strain rate. Acta Mater. 2020, 188, 551–559. [Google Scholar] [CrossRef]
- Sevsek, S.; Haase, C.; Bleck, W. Strain-rate-dependent deformation behavior and mechanical properties of a multi-phase medium-manganese steel. Metals 2019, 9, 344. [Google Scholar] [CrossRef]
- Tsuchida, N.; Okura, S.; Tanaka, T.; Toji, Y. High-speed tensile deformation behavior of 1 GPa-grade TRIP-aided multi-phase steels. ISIJ Int. 2018, 58, 978–986. [Google Scholar] [CrossRef]
- Zou, D.; Li, S.; He, J. Temperature and strain rate dependent deformation induced martensitic transformation and flow behavior of quenching and partitioning steels. Mater. Sci. Eng. A 2017, 680, 54–63. [Google Scholar] [CrossRef]
- Clapp, P. How would we recognize a martensitic transformation if it bumped into us on a dark & austy night? J. Phys. IV 1995, 5, C8-11–C8-19. [Google Scholar] [CrossRef][Green Version]
- Martin, D.S.; van Dijk, N.H.; Brück, E.; van der Zwaag, S. The isothermal martensite formation in a maraging steel: A magnetic study. Mater. Sci. Eng. A 2008, 481–482, 757–761. [Google Scholar] [CrossRef]
- Jacques, P.J.; Furnémont, Q.; Lani, F.; Pardoen, T.; Delannay, F. Multiscale mechanics of TRIP-assisted multiphase steels: I. Characterization and mechanical testing. Acta Mater. 2007, 55, 3681–3693. [Google Scholar] [CrossRef]
- Zhang, Y.; Wang, L.; Findley, K.O.; Speer, J.G. Influence of temperature and grain size on austenite stability in medium manganese steels. Metall. Mater. Trans. A 2017, 48, 2140–2149. [Google Scholar] [CrossRef]
- Muránsky, O.; Horňak, P.; Lukáš, P.; Zrník, J.; Šittner, P. Investigation of retained austenite stability in Mn-Si TRIP steel in tensile deformation condition. World Acad. Mater. Manuf. Eng. 2005, 14, 26–30. [Google Scholar]
- Misra, R.; Challa, V.; Venkatsurya, P.; Shen, Y.; Somani, M.; Karjalainen, L. Interplay between grain structure, deformation mechanisms and austenite stability in phase-reversion-induced nanograined/ultrafine-grained austenitic ferrous alloy. Acta Mater. 2015, 84, 339–348. [Google Scholar] [CrossRef]
- Ahn, T.H.; Oh, C.S.; Kim, D.H.; Oh, K.H.; Bei, H.; George, E.P.; Han, H.N. Investigation of strain-induced martensitic transformation in metastable austenite using nanoindentation. Scr. Mater. 2010, 63, 540–543. [Google Scholar] [CrossRef]
- He, B.B.; Huang, M.X.; Liang, Z.Y.; Ngan, A.H.W.; Luo, H.W.; Shi, J.; Cao, W.Q.; Dong, H. Nanoindentation investigation on the mechanical stability of individual austenite grains in a medium-Mn transformation-induced plasticity steel. Scr. Mater. 2013, 69, 215–218. [Google Scholar] [CrossRef]
- Kim, Y.; Ahn, T.-H.; Suh, D.-W.; Han, H.N. Variant selection during mechanically induced martensitic transformation of metastable austenite by nanoindentation. Scr. Mater. 2015, 104, 13–16. [Google Scholar] [CrossRef]
- Sekido, K.; Ohmura, T.; Sawaguchi, T.; Koyama, M.; Park, H.W.; Tsuzaki, K. Nanoindentation/atomic force microscopy analyses of ε-martensitic transformation and shape memory effect in Fe–28Mn–6Si–5Cr alloy. Scr. Mater. 2011, 65, 942–945. [Google Scholar] [CrossRef]
- Sadeghpour, S.; Kermanpur, A.; Najafizadeh, A. Investigation of the effect of grain size on the strain-induced martensitic transformation in a high-Mn stainless steel using nanoindentation. Mater. Sci. Eng. A 2014, 612, 214–216. [Google Scholar] [CrossRef]
- He, B.; Huang, M. On the mechanical stability of austenite matrix after martensite formation in a medium Mn steel. Metall. Mater. Trans. A 2016, 47, 3346–3353. [Google Scholar] [CrossRef]
- Nakada, N.; Ishibashi, Y.; Tsuchiyama, T.; Takaki, S. Self-stabilization of untransformed austenite by hydrostatic pressure via martensitic transformation. Acta Mater. 2016, 110, 95–102. [Google Scholar] [CrossRef]
- Uchic, M.D.; Dimiduk, D.M.; Florando, J.N.; Nix, W.D. Sample dimensions influence strength and crystal plasticity. Science 2004, 305, 986–989. [Google Scholar] [CrossRef] [PubMed]
- Wu, S.; Liang, Z.; He, B.; Huang, M. Martensitic transformation in micron-sized fcc single crystals. Metall. Mater. Trans. A 2014, 45, 4731–4736. [Google Scholar] [CrossRef]
- Morito, S.; Tanaka, H.; Konishi, R.; Furuhara, T.; Maki, T. The morphology and crystallography of lath martensite in Fe-C alloys. Acta Mater. 2003, 51, 1789–1799. [Google Scholar] [CrossRef]
- Chen, H.; Appolaire, B.; van der Zwaag, S. Application of cyclic partial phase transformations for identifying kinetic transitions during solid-state phase transformations: Experiments and modeling. Acta Mater. 2011, 59, 6751–6760. [Google Scholar] [CrossRef]
- Liu, Y.C.; Sommer, F.; Mittemeijer, E.J. The austenite–ferrite transformation of ultralow-carbon Fe–C alloy; transition from diffusion- to interface-controlled growth. Acta Mater. 2006, 54, 3383–3393. [Google Scholar] [CrossRef]
- Kop, T.A.; Sietsma, J.; Van Der Zwaag, S. Dilatometric analysis of phase transformations in hypo-eutectoid steels. J. Mater. Sci. 2001, 36, 519–526. [Google Scholar] [CrossRef]
- Durlu, T. Effects of high austenitizing temperature and austenite deformation on formation of martensite in Fe-Ni-C alloys. J. Mater. Sci. 2001, 36, 5665–5671. [Google Scholar] [CrossRef]
- Gong, W.; Tomota, Y.; Koo, M.S.; Adachi, Y. Effect of ausforming on nanobainite steel. Scr. Mater. 2010, 63, 819–822. [Google Scholar] [CrossRef]
- Tomoyuki, K.; Jung-min, N.; Takashi, F. Kinetics of martensitic transformations in magnetic field or under hydrostatic pressure. Sci. Technol. Adv. Mater. 2011, 12, 015004. [Google Scholar] [CrossRef]
- San Martin, D.; van Dijk, N.H.; Jiménez-Melero, E.; Kampert, E.; Zeitler, U.; van der Zwaag, S. Real-time martensitic transformation kinetics in maraging steel under high magnetic fields. Mater. Sci. Eng. A 2010, 527, 5241–5245. [Google Scholar] [CrossRef][Green Version]
- Herbert, E.G. The hardening of superhardened steel by magnetism: The Lattice Resonance Hypothesis. Iron Steel Inst. (Lond.) 1929, 120, 569–571. [Google Scholar]
- Sadovskii, V.; Rodigin, N.; Smirnov, L.; Filonchik, G.; Fakidov, I. The question of the influence of magnetic field on martensitic transformation in steel. Fiz Metal. Met. 1961, 12, 302–304. [Google Scholar]
- Fokina, E.; Smirnov, L.; Sadovsky, V. Effect of a magnetic field on the position of the martensite point in carbon steels. Fiz. Met. Metalloved. 1969, 27, 756–757. [Google Scholar]
- Satyanarayan, K.; Eliasz, W.; Miodownik, A. The effect of a magnetic field on the martensite transformation in steels. Acta Metall. 1968, 16, 877–887. [Google Scholar] [CrossRef]
- Choi, J.-Y.; Fukuda, T.; Kakeshita, T. Effect of magnetic field on isothermal martensitic transformation in a sensitized SUS304 austenitic stainless steel. J. Alloys Compd. 2013, 577, S605–S608. [Google Scholar] [CrossRef]
- Kakeshita, T.; Kuroiwa, K.; Shimizu, K.; Ikeda, T.; Yamagishi, A.; Date, M. Effect of magnetic fields on athermal and isothermal martensitic transformations in Fe–Ni–Mn alloys. Mater. Trans. JIM 1993, 34, 415–422. [Google Scholar] [CrossRef]
- Shimizu, K.; Kakeshita, T. Effect of magnetic fields on martensitic transformations in ferrous alloys and steels. ISIJ Int. 1989, 29, 97–116. [Google Scholar] [CrossRef]
- Kakeshita, T.; Saburi, T.; Kindo, K.; Endo, S. Effect of magnetic field and hydrostatic pressure on martensitic transformation and its kinetics. Jpn. J. Appl. Phys. 1997, 36, 7083. [Google Scholar] [CrossRef]
- Kakeshita, T.; Yoshimura, Y.; Shimizu, K.; Endo, S.; Akahama, Y.; Fujita, F.E. Effect of hydrostatic pressure on martensitic transformations in Cu–Al–Ni shape memory alloys. Trans. Jpn. Inst. Met. 1988, 29, 781–789. [Google Scholar] [CrossRef]
- Liu, J.; Chen, C.; Feng, Q.; Fang, X.; Wang, H.; Liu, F.; Lu, J.; Raabe, D. Dislocation activities at the martensite phase transformation interface in metastable austenitic stainless steel: An in-situ TEM study. Mater. Sci. Eng. A 2017, 703, 236–243. [Google Scholar] [CrossRef]
- Liu, J.; Jin, Y.; Fang, X.; Chen, C.; Feng, Q.; Liu, X.; Chen, Y.; Suo, T.; Zhao, F.; Huang, T. Dislocation strengthening without ductility trade-off in metastable austenitic steels. Sci. Rep. 2016, 6, 35345. [Google Scholar] [CrossRef] [PubMed]
- Podder, A.S.; Lonardelli, I.; Molinari, A.; Bhadeshia, H. Thermal stability of retained austenite in bainitic steel: An in situ study. Proc. R. Soc. A Math. Phys. Eng. Sci. 2011, 467, 3141–3156. [Google Scholar] [CrossRef]
- Withers, P.; Webster, P. Neutron and synchrotron x-ray strain scanning. Strain 2001, 37, 19–33. [Google Scholar] [CrossRef]
- Zhao, L.; van Dijk, N.H.; Brück, E.; Sietsma, J.; van der Zwaag, S. Magnetic and X-ray diffraction measurements for the determination of retained austenite in TRIP steels. Mater. Sci. Eng. A 2001, 313, 145–152. [Google Scholar] [CrossRef]
- Harjo, S.; Tsuchida, N.; Abe, J.; Gong, W. Martensite phase stress and the strengthening mechanism in TRIP steel by neutron diffraction. Sci. Rep. 2017, 7, 1–11. [Google Scholar] [CrossRef] [PubMed]
- Liu, L.; He, B.; Cheng, G.; Yen, H.; Huang, M. Optimum properties of quenching and partitioning steels achieved by balancing fraction and stability of retained austenite. Scr. Mater. 2018, 150, 1–6. [Google Scholar] [CrossRef]
- Song, H.; Sohn, S.S.; Kwak, J.-H.; Lee, B.-J.; Lee, S. Effect of austenite stability on microstructural evolution and tensile properties in intercritically annealed medium-Mn lightweight steels. Metall. Mater. Trans. A 2016, 47, 2674–2685. [Google Scholar] [CrossRef]
- Gibbs, P.; De Moor, E.; Merwin, M.; Clausen, B.; Speer, J.; Matlock, D. Austenite stability effects on tensile behavior of manganese-enriched-austenite transformation-induced plasticity steel. Metall. Mater. Trans. A 2011, 42, 3691–3702. [Google Scholar] [CrossRef]
- Han, Q.; Zhang, Y.; Wang, L. Effect of annealing time on microstructural evolution and deformation characteristics in 10Mn1. 5Al TRIP steel. Metall. Mater. Trans. A 2015, 46, 1917–1926. [Google Scholar] [CrossRef]
- He, B.B.; Hu, B.; Yen, H.W.; Cheng, G.J.; Wang, Z.K.; Luo, H.W.; Huang, M.X. High dislocation density–induced large ductility in deformed and partitioned steels. Science 2017, 357, 1029–1032. [Google Scholar] [CrossRef]
- Goel, N.; Chakravarty, J.; Tangri, K. The influence of starting microstructure on the retention and mechanical stability of austenite in an intercritically annealed-low alloy dual-phase steel. MTA 1987, 18, 5–9. [Google Scholar] [CrossRef]
- Lee, H.; Jo, M.C.; Sohn, S.S.; Zargaran, A.; Ryu, J.H.; Kim, N.J.; Lee, S. Novel medium-Mn (austenite+ martensite) duplex hot-rolled steel achieving 1.6 GPa strength with 20% ductility by Mn-segregation-induced TRIP mechanism. Acta Mater. 2018, 147, 247–260. [Google Scholar] [CrossRef]
- He, B.B.; Wang, M.; Liu, L.; Huang, M.X. High-strength medium Mn quenching and partitioning steel with low yield ratio. Mater. Sci. Technol. 2019, 1–6. [Google Scholar] [CrossRef]
- Jo, M.C.; Lee, H.; Zargaran, A.; Ryu, J.H.; Sohn, S.S.; Kim, N.J.; Lee, S. Exceptional combination of ultra-high strength and excellent ductility by inevitably generated Mn-segregation in austenitic steel. Mater. Sci. Eng. A 2018, 737, 69–76. [Google Scholar] [CrossRef]
- Wan, X.; Liu, G.; Ding, R.; Nakada, N.; Chai, Y.-W.; Yang, Z.; Zhang, C.; Chen, H. Stabilizing austenite via a core-shell structure in the medium Mn steels. Scr. Mater. 2019, 166, 68–72. [Google Scholar] [CrossRef]
- Ding, R.; Yao, Y.; Sun, B.; Liu, G.; He, J.; Li, T.; Wan, X.; Dai, Z.; Ponge, D.; Raabe, D. Chemical boundary engineering: A new route toward lean, ultrastrong yet ductile steels. Sci. Adv. 2020, 6, 1430. [Google Scholar] [CrossRef]
- Cheng, G.-J.; Lilensten, L.; Huang, C.-Y.; Gault, B.; Yen, H.-W. Nanoscale compositional fluctuations enabled by dynamic strain-induced austenite reversion in a Mn-rich duplex steel. Scr. Mater. 2020, 181, 101–107. [Google Scholar] [CrossRef]
- Tirumalasetty, G.; Van Huis, M.; Kwakernaak, C.; Sietsma, J.; Sloof, W.; Zandbergen, H. Unravelling the structural and chemical features influencing deformation-induced martensitic transformations in steels. Scr. Mater. 2014, 71, 29–32. [Google Scholar] [CrossRef]
- Lee, S.-J.; Lee, S.; De Cooman, B.C. Mn partitioning during the intercritical annealing of ultrafine-grained 6% Mn transformation-induced plasticity steel. Scr. Mater. 2011, 64, 649–652. [Google Scholar] [CrossRef]
- Zou, Y.; Xu, Y.; Hu, Z.; Gu, X.; Peng, F.; Tan, X.; Chen, S.; Han, D.; Misra, R.; Wang, G. Austenite stability and its effect on the toughness of a high strength ultra-low carbon medium manganese steel plate. Mater. Sci. Eng. A 2016, 675, 153–163. [Google Scholar] [CrossRef]
- Clarke, A.J.; Speer, J.G.; Miller, M.K.; Hackenberg, R.E.; Edmonds, D.V.; Matlock, D.K.; Rizzo, F.C.; Clarke, K.D.; De Moor, E. Carbon partitioning to austenite from martensite or bainite during the quench and partition (Q&P) process: A critical assessment. Acta Mater. 2008, 56, 16–22. [Google Scholar]
- Caballero, F.G.; Miller, M.K.; Babu, S.S.; Garcia-Mateo, C. Atomic scale observations of bainite transformation in a high carbon high silicon steel. Acta Mater. 2007, 55, 381–390. [Google Scholar] [CrossRef]
- He, J.; Zhao, A.; Zhi, C.; Fan, H. Acceleration of nanobainite transformation by multi-step ausforming process. Scr. Mater. 2015, 107, 71–74. [Google Scholar] [CrossRef]
- He, B.B.; Wang, M.; Huang, M.X. Improving Tensile Properties of Room-Temperature Quenching and Partitioning Steel by Dislocation Engineering. Metall. Mater. Trans. A 2019, 50, 4021–4026. [Google Scholar] [CrossRef]
- He, B.B.; Wang, M.; Huang, M.X. Resetting the Austenite Stability in a Medium Mn Steel via Dislocation Engineering. Metall. Mater. Trans. A 2019, 50, 2971–2977. [Google Scholar] [CrossRef]
- Cho, L.; Seo, E.J.; De Cooman, B.C. Near-A c3 austenitized ultra-fine-grained quenching and partitioning (Q&P) steel. Scr. Mater. 2016, 123, 69–72. [Google Scholar]
- Hidalgo, J.; Santofimia, M.J. Effect of prior austenite grain size refinement by thermal cycling on the microstructural features of as-quenched lath martensite. Metall. Mater. Trans. A 2016, 47, 5288–5301. [Google Scholar] [CrossRef]
- Moon, J.; Kim, S.; Lee, J.; Lee, C. Limiting austenite grain size of TiN-containing steel considering the critical particle size. Scr. Mater. 2007, 56, 1083–1086. [Google Scholar] [CrossRef]
- He, B.; Huang, M. Simultaneous increase of both strength and ductility of medium Mn transformation-induced plasticity steel by vanadium alloying. Metall. Mater. Trans. A 2018, 49, 1433–1438. [Google Scholar] [CrossRef]
- Shen, Y.; Qiu, L.; Sun, X.; Zuo, L.; Liaw, P.K.; Raabe, D. Effects of retained austenite volume fraction, morphology, and carbon content on strength and ductility of nanostructured TRIP-assisted steels. Mater. Sci. Eng. A 2015, 636, 551–564. [Google Scholar] [CrossRef]
- He, B.; Huang, M. Strong and ductile medium Mn steel without transformation-induced plasticity effect. Mater. Res. Lett. 2018, 6, 365–371. [Google Scholar] [CrossRef]
- Herrera, C.; Ponge, D.; Raabe, D. Design of a novel Mn-based 1GPa duplex stainless TRIP steel with 60% ductility by a reduction of austenite stability. Acta Mater. 2011, 59, 4653–4664. [Google Scholar] [CrossRef]
- Li, Z.; Pradeep, K.G.; Deng, Y.; Raabe, D.; Tasan, C.C. Metastable high-entropy dual-phase alloys overcome the strength–ductility trade-off. Nature 2016, 534, 227–230. [Google Scholar] [CrossRef] [PubMed]
- Lee, S.; De Cooman, B.C. Tensile Behavior of Intercritically Annealed 10 pct Mn Multi-phase Steel. Metall. Mater. Trans. A 2014, 45, 709–716. [Google Scholar] [CrossRef]
- He, B.; Luo, H.; Huang, M. Experimental investigation on a novel medium Mn steel combining transformation-induced plasticity and twinning-induced plasticity effects. Int. J. Plast. 2016, 78, 173–186. [Google Scholar] [CrossRef]
- Sherif, M.Y.; Mateo, C.G.; Sourmail, T.; Bhadeshia, H.K.D.H. Stability of retained austenite in TRIP-assisted steels. Mater. Sci. Technol. 2004, 20, 319–322. [Google Scholar] [CrossRef]
- Yeddu, H.K. Martensitic Transformations in Steels: A 3D Phase-Field Study; KTH Royal Institute of Technology: Stockholm, Sweden, 2012. [Google Scholar]
- Kim, E.-Y.; Woo, W.; Heo, Y.-U.; Seong, B.; Choi, J.; Choi, S.-H. Effect of kinematic stability of the austenite phase on phase transformation behavior and deformation heterogeneity in duplex stainless steel using the crystal plasticity finite element method. Int. J. Plast. 2016, 79, 48–67. [Google Scholar] [CrossRef]











© 2020 by the author. Licensee MDPI, Basel, Switzerland. This article is an open access article distributed under the terms and conditions of the Creative Commons Attribution (CC BY) license (http://creativecommons.org/licenses/by/4.0/).
Share and Cite
He, B. On the Factors Governing Austenite Stability: Intrinsic versus Extrinsic. Materials 2020, 13, 3440. https://doi.org/10.3390/ma13153440
He B. On the Factors Governing Austenite Stability: Intrinsic versus Extrinsic. Materials. 2020; 13(15):3440. https://doi.org/10.3390/ma13153440
Chicago/Turabian StyleHe, Binbin. 2020. "On the Factors Governing Austenite Stability: Intrinsic versus Extrinsic" Materials 13, no. 15: 3440. https://doi.org/10.3390/ma13153440
APA StyleHe, B. (2020). On the Factors Governing Austenite Stability: Intrinsic versus Extrinsic. Materials, 13(15), 3440. https://doi.org/10.3390/ma13153440
