The Effect of Abrasive Waterjet Machining Parameters on the Condition of Al-Si Alloy
Abstract
1. Introduction—State of the Art
2. Materials and Methods
3. Results
3.1. Surface Roughness after AWJ Method
3.2. Irregularities after AWJ—Microscopic Examination of Machined Specimen Surface
3.3. Specimen Surface Chamfering after AWJ
3.4. Specimen Surface Microhardness
3.5. Statistical Analysis
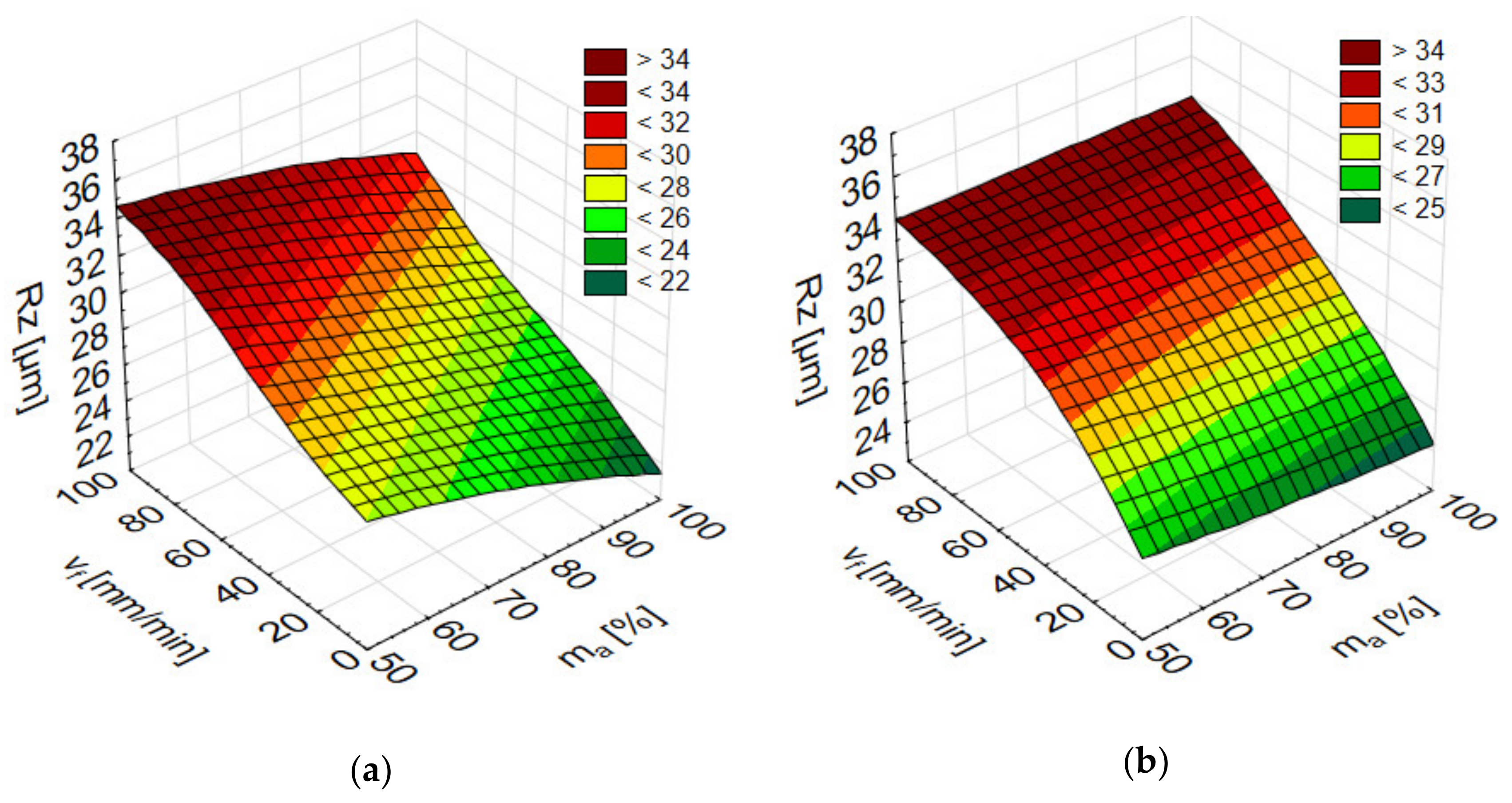
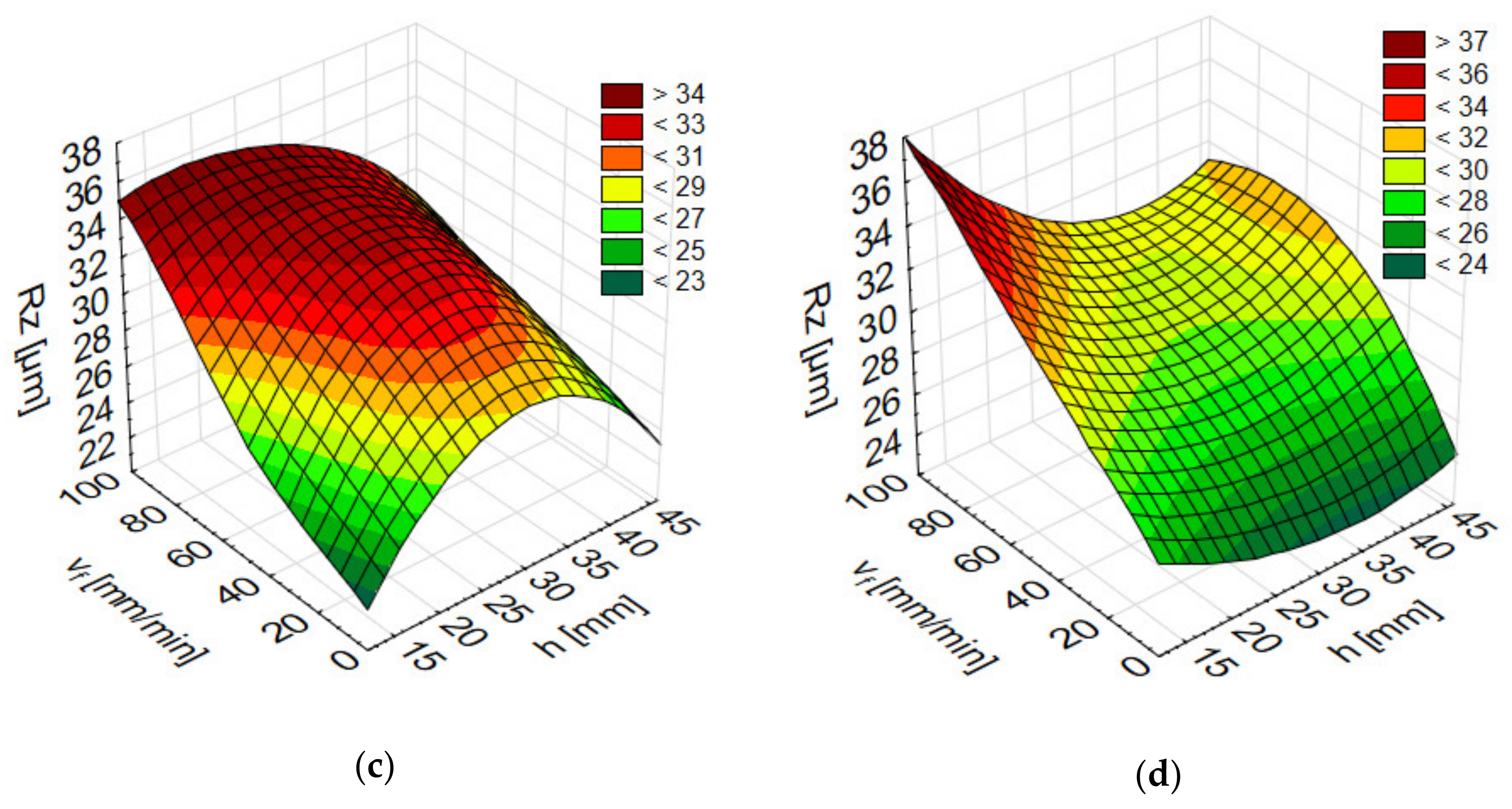
3.6. Numerical Modelling of Surface Roughness Parameters with Artificial Neural Networks after AWJ Method
4. Conclusions
- In the case of both aluminium alloys, the increase in jet feed rate vf led to the deterioration of the surface smoothness (higher roughness parameters), and the sample height h modification was not found to produce a constant effect on the investigated parameters.
- Although there was no strong correlation between the abrasive flow rate and the surface roughness characteristics of the specimens, there was a slight tendency towards lower roughness levels on the part of workpieces machined with full abrasive flow rate ma = 100%.
- AlSi23CuNi alloy exhibited higher susceptibility to machining errors, confirmed by higher surface irregularity rates. The AlSi10Mg alloy provides better machinability and, under specific conditions (vf ≤ 60 mm/min), the pre-products machined using AWJ technology may not require additional finishing machining.
- Jet feed rate vf has a low impact on the mean microhardness of AlSi10Mg alloy specimens cut with the reduced abrasive flow rate ma = 50%, and is virtually negligible in the case of full abrasive flow rate ma = 100%. Constant microhardness levels were displayed at different measurement points on the specimens (vf = 5 mm/min).
- In the analysed range of sample heights h, workpieces showed a certain degree of chamfering that could require post-treatment aimed to reduce the undesirable chamfer angle.
- From the statistical analysis, it emerges that, in the majority of cutting scenarios, the change in the jet feed rate vf, the sample height h, and the abrasive flow rate ma will have a strong effect on the levels of Ra, Rz, and RSm on the surfaces of the AlSi10Mg and AlSi21CuNi alloys. In addition, particular technological parameters directly interact with each other.
- Artificial neural network modelling may be an effective tool for predicting surface roughness parameters. The correlation coefficient R2 for both alloys is R2 > 0.93; therefore, the trained networks are sound predictors of the surface roughness characteristics with respect to the tested materials.
- ANN models determine relationships between input machining parameters (vf, ma, h) and output (Ra, Rz, RSm) surface roughness parameters of AlSi21CuNi and AlSi10Mg alloys. This enables computing the AWJ machining data that will ensure the optimal cutting performance and results even in the absence of preliminary test runs.
Author Contributions
Funding
Conflicts of Interest
References
- Dziubińska, A.; Gontarz, A.; Zagórski, I. Qualitative research on AZ31 magnesium alloy aircraft brackets with a triangular rib produced by a new forging method. Aircr. Eng. Aerosp. Technol. 2018, 90, 482–488. [Google Scholar] [CrossRef]
- Zagórski, I.; Kulisz, M.; Kłonica, M.; Matuszak, J. Trochoidal milling and neural networks simulation of magnesium alloys. Materials 2019, 12, 2070. [Google Scholar] [CrossRef]
- Kuczmaszewski, J.; Zagórski, I. Methodological problems of temperature measurement in the cutting area during milling magnesium alloys. Manag. Prod. Eng. Rev. 2013, 4, 26–33. [Google Scholar] [CrossRef]
- Zagórski, I.; Korpysa, J. Surface quality assessment after milling AZ91D magnesium alloy using PCD tool. Materials 2020, 13, 617. [Google Scholar] [CrossRef]
- Zagórski, I.; Kłonica, M.; Kulisz, M.; Łoza, K. Effect of the AWJM method on the machined surface layer of AZ91D magnesium alloy and simulation of roughness parameters using neural networks. Materials 2018, 11, 2111. [Google Scholar] [CrossRef]
- Oczoś, K.E.; Kawalec, A. Light Metals Forming; Wydawnictwo Naukowe PWN: Warsaw, Poland, 2012. (In Polish) [Google Scholar]
- Lorincz, J. Waterjets-evolving from macro to micro. Manuf. Eng. 2009, 143, 47–53. [Google Scholar]
- Skoczylas, A. Analiza porównawcza procesu cięcia wiązką laserową i strumieniem wodno-ściernym. J. Adv. Sci. Technol. 2011, 8, 121–128. [Google Scholar]
- Manu, R.; Babu, N.R. Influence of jet impact angle on part geometry in abrasive waterjet turning of aluminium alloys. Int. J. Mach. Mach. Mater. 2008, 3, 120–132. [Google Scholar] [CrossRef]
- Kolohan, E.; Khajavi, A.H. Modeling and optimalization of abrasive waterjet parameters using regression analysis. Int. J. Sci. 2009, 3, 1425–1430. [Google Scholar]
- Klichova, D.; Klich, J. Study of the effect of material machinability on quality of surface created by abrasive water jet. Procedia Eng. 2016, 149, 177–182. [Google Scholar] [CrossRef]
- Xu, Q.W.; Qiang, C.H.; Guo, C.W. Experimental study on the surface roughness of 1060 aluminum alloy cut by abrasive water jet. Mater. Sci. Forum 2019, 950, 32–37. [Google Scholar] [CrossRef]
- Selvakumar, G.; Prakash, S.S.R.; Lenin, N. Experimental study on abrasive water jet machining of AA5083 in a range of thicknesses. Int. J. Abras. Technol. 2018, 8, 218–231. [Google Scholar] [CrossRef]
- Yuvaraj, N.; Kumar, M.P. Cutting of aluminium alloy with abrasive water jet and cryogenic assisted abrasive water jet: A comparative study of the surface integrity approach. Wear 2016, 18–32. [Google Scholar] [CrossRef]
- Ćojbašić, Ž.; Petković, D.; Shamshirband, S.; Tong, C.W.; Chong, W.T.; Janković, P.; Dučić, N.; Baralić, J. Surface roughness prediction by extreme learning machine constructed with abrasive water jet. Precis. Eng. 2016, 43, 86–92. [Google Scholar] [CrossRef]
- Mokhtar, N.; Gebremariam, M.; Zohari, H.; Azhari, A. Analysis of acoustic emission during abrasive waterjet machining of sheet metals. IOP Conf. Ser. Mater. Sci. Eng. 2018, 342, 6. [Google Scholar] [CrossRef]
- Haghbin, N.; Ahmadzadeh, F.; Papini, M. Masked micro-channel machining in aluminum alloy and borosilicate glass using abrasive water jet micro-machining. J. Manuf. Process. 2018, 35, 307–316. [Google Scholar] [CrossRef]
- Herghelegiu, E.; Radu, M.C.; Schnakovszky, C.; Tampu, C.N. Considerations on material thickness influence on the AWJ processing quality of an aluminium alloy. MATEC Web Conf. 2017, 94, 03007. [Google Scholar] [CrossRef][Green Version]
- Zhao, W.; Guo, C. Topography and microstructure of the cutting surface machined with abrasive waterjet. Int. J. Adv. Manuf. Technol. 2014, 73, 941–947. [Google Scholar] [CrossRef]
- Radu, C.; Herghelegiu, E.; Schnakovszky, C. Comparative study on the effects of three unconventional cutting technologies on cut surface quality. Indian J. Eng. Mater. Sci. 2005, 22, 127–132. [Google Scholar]
- Jegaraj, J.J.R.; Babu, N.R. A soft computing approach for controlling the quality of cut with abrasive waterjet cutting system experiencing orifice and focusing tube wear. J. Mater. Process. Technol. 2007, 185, 217–227. [Google Scholar] [CrossRef]
- Maros, Z. Taper of cut at abrasive waterjet cutting of an aluminium alloy. Prod. Process. Syst. 2012, 5, 55–60. [Google Scholar]
- Ahmed, T.M.; Elmesalamy, A.; Youssef, A.; El Midany, T.T. Improving surface roughness of abrasive waterjet cutting process by using statistical modeling. CIRP J. Manuf. Sci. Technol. 2018, 22, 30–36. [Google Scholar] [CrossRef]
- Boud, F.; Loo, L.; Kinnell, P. The Impact of plain waterjet machining on the surface integrity of aluminium 7475. Procedia CIRP 2014, 13, 382–386. [Google Scholar] [CrossRef]
- Begic-Hajdarevic, D.; Cekic, A.; Mehmedovic, M.; Djelmic, A. Experimental study on surface roughness in abrasive water jet cutting. Procedia Eng. 2015, 100, 394–399. [Google Scholar] [CrossRef]
- Kolohan, E.; Khajavi, A.H. A statistical approach for predicting and optimizing depth of cut in AWJ machining for 6063-T6 Al alloy. Int. J. Sci. Res. Innov. 2009, 3, 1395–1498. [Google Scholar]
- Santhanakumar, M.; Adalarasan, R.; Rajmohan, M. Parameter design for cut surface characteristics in abrasive waterjet cutting of Al/SiC/Al2O3 composite using grey theory based RSM. J. Mech. Sci. Technol. 2016, 30, 371–379. [Google Scholar] [CrossRef]
- Kale, A.; Singh, S.K.; Sateesh, N.; Subbiah, R. A review on abrasive water jet machining process and its process parameters. Mater. Today Proc. 2020, 26, 1032–1036. [Google Scholar] [CrossRef]
- Maneiah, D.; Shunmugasundaram, M.; Reddy, A.R.; Begum, Z. Optimization of machining parameters for surface roughness during abrasive water jet machining of aluminium/magnesium hybrid metal matrix composites. Mater. Today Proc. 2020, 27, 1293–1298. [Google Scholar] [CrossRef]
- Srinivasan, R.; Jacob, V.; Muniappan, A.; Madhu, S.; Sreenevasulu, M. Modeling of surface roughness in abrasive water jet machining of AZ91 magnesium alloy using fuzzy logic and regression analysis. Mater. Today Proc. 2020, 22, 1059–1064. [Google Scholar] [CrossRef]
- Çaydaş, U.; Hasçalık, A. A study on surface roughness in abrasive waterjet machining process using artificial neural networks and regression analysis method. J. Mater. Process. Technol. 2008, 202, 574–582. [Google Scholar] [CrossRef]
- Zain, A.M.; Haron, H.; Sharif, S. Optimization of process parameters in the abrasive waterjet machining using integrated SA–GA. Appl. Soft Comput. 2011, 11, 5350–5359. [Google Scholar] [CrossRef]
- Selvan, C.P.; Midhunchakkaravarthy, D.; Pillai, S.R.; Madara, S.R. Investigation on abrasive waterjet machining conditions of mild steel using artificial neural network. Mater. Today Proc. 2019, 19, 233–239. [Google Scholar] [CrossRef]
- Ganovska, B.; Molitoris, M.; Hosovsky, A.; Pitel, J.; Krolczyk, J.B.; Ruggierio, A.; Krolczyk, G.M.; Hloch, S. Design of the model for the on-line control of the AWJ technology based on neural network. Indian J. Eng. Mater. Sci. 2016, 23, 279–287. [Google Scholar]
- Karabulut, Ş. Optimization of surface roughness and cutting force during AA7039/Al2O3 metal matrix composites milling using neural networks and Taguchi method. Measurment 2015, 66, 139–149. [Google Scholar] [CrossRef]
- Acayaba, G.M.A.; De Escalona, P.M. Prediction of surface roughness in low speed turning of AISI316 austenitic stainless steel. CIRP J. Manuf. Sci. Technol. 2015, 11, 62–67. [Google Scholar] [CrossRef]
- Sangwan, K.S.; Saxena, S.; Kant, G. Optimization of Machining Parameters to Minimize Surface Roughness using Integrated ANN-GA Approach. Procedia CIRP 2015, 29, 305–310. [Google Scholar] [CrossRef]
- Kaviarasan, V.; Venkatesan, R.; Natarajan, E. Prediction of surface quality and optimization of process parameters in drilling of Delrin using neural network. Prog. Rubber Plast. Recycl. Technol. 2019, 35, 149–169. [Google Scholar] [CrossRef]
- Blanca, M.J.; Alarcón, R.; Arnau, J.; Bono, R.; Bendayan, R. Effect of variance ratio on ANOVA robustness: Might 1.5 be the limit? Behav. Res. Methods 2017, 50, 937–962. [Google Scholar] [CrossRef]














| Materials | Machining Conditions | Research Object | Reference |
|---|---|---|---|
| Al 1050 | Traverse speed vt = 100–600 mm/min | Surface topography Surface roughness Machinability | [11] |
| Al 2017 | |||
| Al 5083 | |||
| Al 6060 | |||
| Al 7075 | |||
| Al 1060 | Velocity v = 0.6–1.5 mm/s | Surface roughness | [12] |
| Pressure P = 25–33 MPa | |||
| Stand-off distance h = 0.5–2 mm | |||
| Abrasive diameter d = 80–200 # | |||
| Al 5083-H32 | Abrasive mesh size 80–120 # Jet impingement angle 70–90° | Surface morphology | [14] |
| Surface topography | |||
| XRD peak | |||
| Residual stress | |||
| Micro hardness | |||
| Al 6060 | Cutting speed V = 200–1000 m/min | Surface topography Surface roughness Surface roughness prediction | [15] |
| Material thickness S = 6–20 mm | |||
| Abrasive flow Q = 300–400 g/min | |||
| Measurements position 1–3 | |||
| Al 6061-T6 | Stand-off distance h = 2–10 mm Mask thickness tm = 1–2 mm Mask opening Wm = 50–150 µm Number of passes n = 1–120 Nozzle angle Ɵ = 45–90° | Channel cross-sectional shape Instantaneous normalized centreline erosion rate Surface roughness Surface waviness | [17] |
| Al 6061 T651 | Feed rate vf = 50–100 mm/min Thickness g = 1–10 mm | Width of processed surface | [18] |
| Inclination angle | |||
| Deviation from perpendicularity | |||
| Surface roughness | |||
| Al 6061 T651 | Cutting method | Width of processed surface Deviation from perpendicularity Inclination angle Surface roughness | [20] |
| Al 6063-T6 | Traverse rate V = 30–90 mm/min Abrasive flow rate M = 0.5–4.5 g/s Water pressure P = 100–250 MPa Focusing tube size F = 0.76–1.6 mm Orifice size O = 0.25–0.35 mm | Depth of cut Kerf width Surface roughness | [21] |
| Al 7075 | Traverse speed vt = 30–150 mm/min Water pressure P = 100–300 MPa Stand-off distance SoD = 1–3 mm | Surface roughness | [23] |
| Al 7475 | Feedrate v = 3000–5000 mm/min | Surface texture | [24] |
| Pressure P = 40–50 kpsi | Fatigue life | ||
| Standoff distance s = 10–25 mm | Stress | ||
| Passess 1–4 | Material removal rate | ||
| Al-alloy (lack of material grade) | Material thickness t = 15–30 mm Traverse speed v = 37–350 mm/min Abrasive mass flow rate ma = 100–390 g/min | Surface roughness | [25] |
| AZ91D | Jet feed velocity vf = 5–180 mm/min Abrasive material flow rate ma = 50–100% | Irregularities Surface chamfering Surface roughness Microhardness | [5] |
| Nozzle (focusing tube) diameter—do | 0.7 (mm) |
| Abrasive (size) | Garnet 80 mesh |
| Standoff distance | 3 (mm) |
| Nozzle width | 60 (mm) |
| Water pressure—p | 350 (MPa) |
| Workpiece | Sample Height h (mm) | Abrasive Flow Rate ma (g/min) | Jet Feed Rate vf (mm/min) |
|---|---|---|---|
| AlSi10Mg | 46 | 500 (g/min) i.e., –100% 250 (g/min) i.e., –50% | 5–100 |
| 23 | |||
| 12 | |||
| AlSi21CuNi | 46 | ||
| 23 | |||
| 12 |
| Al-Si Alloys | vf (mm/min) | h (mm) | |||||
|---|---|---|---|---|---|---|---|
| ma = 50% | ma = 100% | ||||||
| 46 | 23 | 12 | 46 | 23 | 12 | ||
| AlSi10Mg | 5 | 0.125 | 0.235 | 0.063 | 0.095 | 0.118 | 0.117 |
| AlSi21CuNi | 5 | 0.172 | 0.123 | 0.226 | 0.13 | 0.414 | 0.33 |
| AlSi10Mg | 20 | 0.166 | 0.273 | 0.068 | 0.117 | 0.189 | 0.221 |
| AlSi21CuNi | 20 | 0.173 | 0.153 | 0.241 | 0.134 | 0.519 | 0.474 |
| AlSi10Mg | 60 | 0.259 | 0.353 | 0.084 | 0.227 | 0.23 | 0.07 |
| AlSi21CuNi | 60 | 0.924 | 0.159 | 0.537 | 0.255 | 0.19 | 0.587 |
| AlSi10Mg | 100 | 0.944 | 0.352 | 0.199 | 0.577 | 0.202 | 0.111 |
| AlSi21CuNi | 100 | 1.893 | 0.334 | 0.79 | 0.944 | 0.237 | 0.62 |
| Effect | DF | Ra | Rz | RSm | ||||||||||
|---|---|---|---|---|---|---|---|---|---|---|---|---|---|---|
| SS | MS | F | p | SS | MS | F | p | SS | MS | F | p | |||
| vf | (A) | 3 | 35.41 | 11.80 | 92.370 | 0.000 | 986.40 | 328.80 | 118.230 | 0.000 | 13,587.00 | 4529.00 | 16.885 | 0.000 |
| h | (B) | 2 | 6.42 | 3.21 | 25.100 | 0.000 | 197.40 | 98.70 | 35.490 | 0.000 | 199.00 | 100.00 | 0.371 | 0.691 |
| ma | (C) | 1 | 3.11 | 3.11 | 24.340 | 0.000 | 105.10 | 105.10 | 37.800 | 0.000 | 701.00 | 701.00 | 2.613 | 0.109 |
| AB | 6 | 7.99 | 1.33 | 10.420 | 0.000 | 204.30 | 34.00 | 12.240 | 0.000 | 10,444.00 | 1741.00 | 6.489 | 0.000 | |
| AC | 3 | 2.88 | 0.96 | 7.520 | 0.000 | 27.20 | 9.10 | 3.260 | 0.025 | 582.00 | 194.00 | 0.724 | 0.540 | |
| BC | 2 | 7.93 | 3.97 | 31.040 | 0.000 | 137.10 | 68.60 | 24.650 | 0.000 | 9113.00 | 4556.00 | 16.987 | 0.000 | |
| ABC | 6 | 3.49 | 0.58 | 4.550 | 0.000 | 68.50 | 11.40 | 4.110 | 0.001 | 14,311.00 | 2385.00 | 8.892 | 0.000 | |
| Error | 96 | 12.27 | 0.13 | 267.00 | 2.80 | 25,750.00 | 268.00 | |||||||
| Total | 119 | 79.51 | 25.09 | 1993.00 | 658.50 | 74,687.00 | 14,474.00 | |||||||
| Effect | DF | Ra | Rz | RSm | ||||||||||
|---|---|---|---|---|---|---|---|---|---|---|---|---|---|---|
| SS | MS | F | p | SS | MS | F | p | SS | MS | F | p | |||
| vf | (A) | 3 | 72.13 | 24.04 | 218.720 | 0.000 | 1346.85 | 448.95 | 158.230 | 0.000 | 61,880.00 | 20,627.00 | 116.640 | 0.000 |
| h | (B) | 2 | 15.46 | 7.73 | 70.310 | 0.000 | 649.49 | 324.75 | 114.450 | 0.000 | 7172.00 | 3586.00 | 20.280 | 0.000 |
| ma | (C) | 1 | 10.45 | 10.45 | 95.060 | 0.000 | 721.33 | 721.33 | 254.220 | 0.000 | 6810.00 | 6810.00 | 38.510 | 0.000 |
| AB | 6 | 12.58 | 2.10 | 19.070 | 0.000 | 161.46 | 26.91 | 9.480 | 0.000 | 5760.00 | 960.00 | 5.430 | 0.000 | |
| AC | 3 | 3.13 | 1.04 | 9.490 | 0.000 | 53.64 | 17.88 | 6.300 | 0.001 | 367.00 | 122.00 | 0.690 | 0.559 | |
| BC | 2 | 1.02 | 0.51 | 4.620 | 0.012 | 128.87 | 64.44 | 22.710 | 0.000 | 1249.00 | 624.00 | 3.530 | 0.033 | |
| ABC | 6 | 2.53 | 0.42 | 3.830 | 0.002 | 100.51 | 16.75 | 5.900 | 0.000 | 3236.00 | 539.00 | 3.050 | 0.009 | |
| Error | 96 | 10.55 | 0.11 | 272.39 | 2.84 | 16,976.00 | 177.00 | |||||||
| Total | 119 | 127.83 | 46.40 | 3434.54 | 1623.85 | 103,450.00 | 33,445.00 | |||||||
| Network No. | Network Name | Quality (Training, %) | Quality (Validation, %) | Error (Training) | Error (Validation) | Activation (Hidden) | Activation (Output) |
|---|---|---|---|---|---|---|---|
| AlSi21CuNi alloy | |||||||
| Arithmetical mean roughness of the profile, Ra | |||||||
| 1 | RBF 3-8-1 | 95.24 | 90.28 | 0.049 | 0.093 | Gaussian | Linear |
| Maximum height of the profile, Rz | |||||||
| 2 | MLP 3-2-1 | 96.99 | 96.49 | 0.755 | 0.984 | Logistic | Linear |
| Mean width of profile elements, RSm | |||||||
| 3 | RBF 3-14-1 | 99.48 | 94.09 | 4.088 | 53.73 | Gaussian | Linear |
| AlSi10Mg alloy | |||||||
| Arithmetical mean roughness of the profile, Ra | |||||||
| 4 | RBF 3-15-1 | 99.86 | 91.31 | 0.001 | 0.164 | Gaussian | Linear |
| Maximum height of the profile, Rz | |||||||
| 5 | MLP 3-14-1 | 98.54 | 89.61 | 0.247 | 1.409 | Exponential | Sinus |
| Mean width of profile elements, RSm | |||||||
| 6 | RBF 3-12-1 | 98.99 | 88.56 | 4.769 | 63.98 | Gaussian | Linear |
| Alloys Grade | AlSi21CuNi | AlSi10Mg | ||||
|---|---|---|---|---|---|---|
| Surface Roughness Parameters | Ra | Rz | RSm | Ra | Rz | RSm |
| Network | RBF 3-8-1 | MLP 3-2-1 | RBF 3-14-1 | RBF 3-15-1 | MLP 3-14-1 | RBF 3-12-1 |
| Correlation R2 | 0.9384 | 0.9694 | 0.9719 | 0.9433 | 0.9646 | 0.9564 |
© 2020 by the authors. Licensee MDPI, Basel, Switzerland. This article is an open access article distributed under the terms and conditions of the Creative Commons Attribution (CC BY) license (http://creativecommons.org/licenses/by/4.0/).
Share and Cite
Kulisz, M.; Zagórski, I.; Korpysa, J. The Effect of Abrasive Waterjet Machining Parameters on the Condition of Al-Si Alloy. Materials 2020, 13, 3122. https://doi.org/10.3390/ma13143122
Kulisz M, Zagórski I, Korpysa J. The Effect of Abrasive Waterjet Machining Parameters on the Condition of Al-Si Alloy. Materials. 2020; 13(14):3122. https://doi.org/10.3390/ma13143122
Chicago/Turabian StyleKulisz, Monika, Ireneusz Zagórski, and Jarosław Korpysa. 2020. "The Effect of Abrasive Waterjet Machining Parameters on the Condition of Al-Si Alloy" Materials 13, no. 14: 3122. https://doi.org/10.3390/ma13143122
APA StyleKulisz, M., Zagórski, I., & Korpysa, J. (2020). The Effect of Abrasive Waterjet Machining Parameters on the Condition of Al-Si Alloy. Materials, 13(14), 3122. https://doi.org/10.3390/ma13143122

