A Two-Step Annealing Method to Enhance the Pyroelectric Properties of Mn:PIMNT Chips for Infrared Detectors
Abstract
1. Introduction
2. Materials and Methods
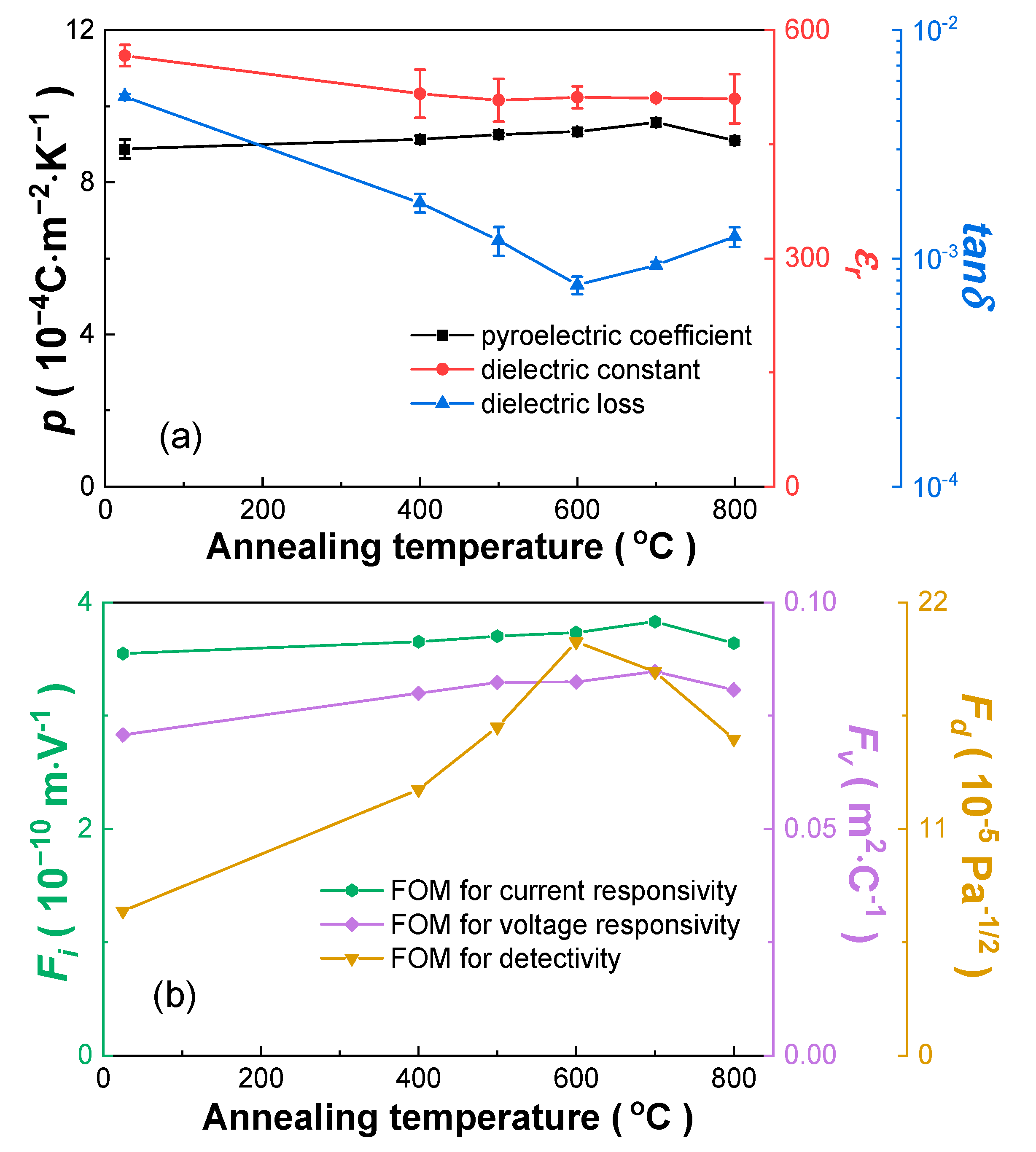
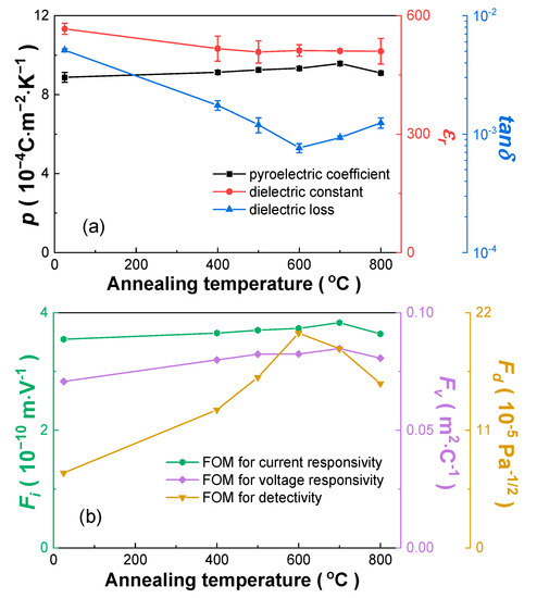
3. Results and Discussion
4. Conclusions
Supplementary Materials
Author Contributions
Funding
Conflicts of Interest
References
- Tan, C.L.; Mohseni, H. Emerging technologies for high performance infrared detectors. Nanophotonics 2018, 7, 169–197. [Google Scholar] [CrossRef]
- Rogalski, A. Infrared detectors: An overview. Infrared Phys. Technol. 2002, 43, 187–210. [Google Scholar] [CrossRef]
- Rogalski, A. Infrared detectors: Status and trends. Prog. Quantum Electron. 2003, 27, 59–210. [Google Scholar] [CrossRef]
- Wu, Q.; Wang, Y.; Ren, S. Low cost and anti-noise infrared device based on saw-tooth thermal isolation structure. Sens. Actuators Phys. 2017, 266, 178–184. [Google Scholar] [CrossRef]
- Pinhas, H.; Malka, D.; Danan, Y.; Sinvani, M.; Zalevsky, Z. Design of fiber-integrated tunable thermo-optic C-band filter based on coated silicon slab. J. Eur. Opt. Soc. Rapid Publ. 2017, 13, 32. [Google Scholar] [CrossRef]
- Samoi, E.; Benezra, Y.; Malka, D. An ultracompact 3×1 MMI power-combiner based on Si slot-waveguide structures. Photonics Nanostruct. Fundam. Appl. 2020, 39, 100780. [Google Scholar] [CrossRef]
- Xu, Q.; Zhao, X.; Li, X.; Deng, H.; Yan, H.; Yang, L.; Di, W.; Luo, H.; Neumann, N. 3D-Printing of inverted pyramid suspending architecture for pyroelectric infrared detectors with inhibited microphonic effect. Infrared Phys. Technol. 2016, 76, 111–115. [Google Scholar] [CrossRef]
- Tan, Q.; Tang, L.; Yang, M.; Xue, C.; Zhang, W.; Liu, J.; Xiong, J. Three-gas detection system with IR optical sensor based on NDIR technology. Opt. Lasers Eng. 2015, 74, 103–108. [Google Scholar] [CrossRef]
- Wang, H.; Wang, J.; Ma, X.; Chen, W.; Chen, D.; Li, Q. Note: A NDIR instrument for multicomponent gas detection using the galvanometer modulation. Rev. Sci. Instrum. 2017, 88, 116103. [Google Scholar] [CrossRef]
- Zhao, J.; Chen, J.; Zeng, Z.; Li, Y.; Zhao, X.; Luo, H. Polarization investigation of Mn-doped 0.72Pb(Mg1/3Nb2/3)O3-0.28PbTiO3 single crystals for infrared detecting application. J. Appl. Phys. 2018, 124, 234101/1–234101/5. [Google Scholar] [CrossRef]
- Wu, Q.; Li, X.; Yang, X.; Xu, B.; Wang, Y. Pyroelectric infrared device with overlap dual capacitor structure sensor. Sens. Actuators Phys. 2018, 282, 192–196. [Google Scholar] [CrossRef]
- Shi, J.; Zhu, R.; Liu, X.; Fang, B.; Yuan, N.; Ding, J.; Luo, H. Large electrocaloric effect in lead-free (Ba0.85Ca0.15)(Zr0.1Ti0.9)O3 ceramics prepared via citrate route. Materials 2017, 10, 1093. [Google Scholar] [CrossRef] [PubMed]
- Whatmore, R.W. Pyroelectric devices and materials. Rep. Prog. Phys. 1986, 49, 1335–1386. [Google Scholar] [CrossRef]
- Xu, Q.; Zhao, X.; Di, W.; Li, L.; Yang, L.; Li, X.; Ren, B.; Jiao, J.; Luo, H.; Shi, L. Noise mechanisms investigation in pyroelectric infrared detectors based on Mn-doped Pb(Mg1/3Nb2/3)O3–0.27PbTiO3 vs. LiTaO3 single crystals. Infrared Phys. Technol. 2014, 67, 350–353. [Google Scholar] [CrossRef]
- Xu, Q.; Zhao, X.; Li, X.; Li, L.; Yang, L.; Di, W.; Jiao, J.; Luo, H. Novel electrode layout for relaxor single crystal pyroelectric detectors with enhanced responsivity and specific detectivity. Sens. Actuators Phys. 2015, 234, 82–86. [Google Scholar] [CrossRef]
- Bowen, C.R.; Taylor, J.; LeBoulbar, E.; Zabek, D.; Chauhan, A.; Vaish, R. Pyroelectric materials and devices for energy harvesting applications. Energy Env. Sci. 2014, 7, 3836–3856. [Google Scholar] [CrossRef]
- Yu, P.; Tang, Y.; Luo, H. Fabrication, property and application of novel pyroelectric single crystals—PMN–PT. J. Electroceram. 2010, 24, 1–4. [Google Scholar] [CrossRef]
- Zhang, S.; Li, F. High performance ferroelectric relaxor-PbTiO3 single crystals: Status and perspective. J. Appl. Phys. 2012, 111, 031301-1–031301-50. [Google Scholar] [CrossRef]
- Liang, Z.; Li, S.; Liu, Z.; Jiang, Y.; Li, W.; Wang, T.; Wang, J. High responsivity of pyroelectric infrared detector based on ultra-thin (10 μm) LiTaO3. J. Mater. Sci. Mater. Electron. 2015, 26, 5400–5404. [Google Scholar] [CrossRef]
- Pandya, S.; Wilbur, J.; Kim, J.; Gao, R.; Dasgupta, A.; Dames, C.; Martin, L.W. Pyroelectric energy conversion with large energy and power density in relaxor ferroelectric thin films. Nat. Mater. 2018, 17, 432–438. [Google Scholar] [CrossRef]
- Li, X.; Lu, S.-G.; Chen, X.-Z.; Gu, H.; Qian, X.; Zhang, Q.M. Pyroelectric and electrocaloric materials. J. Mater. Chem. C 2013, 1, 23–37. [Google Scholar] [CrossRef]
- Tien, N.T.; Seol, Y.G.; Dao, L.H.A.; Noh, H.Y.; Lee, N.-E. Utilizing highly crystalline pyroelectric material as functional gate dielectric in organic thin-film transistors. Adv. Mater. 2009, 21, 910–915. [Google Scholar] [CrossRef]
- Zhao, X.; Wu, X.; Liu, L.; Luo, H.; Neumann, N.; Yu, P. Pyroelectric performances of relaxor-based ferroelectric single crystals and related infrared detectors. Phys. Status Solidi A 2011, 208, 1061–1067. [Google Scholar] [CrossRef]
- Tang, Y.; Luo, H. Investigation of the electrical properties of (1-x)Pb(Mg1/3Nb2/3)O3–xPbTiO3 single crystals with special reference to pyroelectric detection. J. Phys. Appl. Phys. 2009, 42, 075406. [Google Scholar] [CrossRef]
- Tang, Y.; Zhao, X.; Wan, X.; Feng, X.; Jin, W.; Luo, H. Composition, dc bias and temperature dependence of pyroelectric properties of 〈111〉-oriented (1−x)Pb(Mg1/3Nb2/3)O3–xPbTiO3 crystals. Mater. Sci. Eng. B 2005, 119, 71–74. [Google Scholar] [CrossRef]
- Liu, L.; Li, X.; Wu, X.; Wang, Y.; Di, W.; Lin, D.; Zhao, X.; Luo, H.; Neumann, N. Dielectric, ferroelectric, and pyroelectric characterization of Mn-doped 0.74Pb(Mg1/3Nb2/3)O3–0.26PbTiO3 crystals for infrared detection applications. Appl. Phys. Lett. 2009, 95, 192903/1–192903/3. [Google Scholar] [CrossRef]
- Li, X.; Zhao, X.; Ren, B.; Luo, H.; Ge, W.; Jiang, Z.; Zhang, S. Microstructure and dielectric relaxation of dipolar defects in Mn-doped (1−x)Pb(Mg1/3Nb2/3)O3–xPbTiO3 single crystals. Scr. Mater. 2013, 69, 377–380. [Google Scholar] [CrossRef]
- Yang, L.; Li, L.; Zhao, X.; Xu, Q.; Ma, J.; Wang, S.; Li, X.; Di, W.; Xu, H.; Luo, H. Enhanced pyroelectric properties and application of tetragonal Mn-doped 0.29Pb(In1/2Nb1/2)O3-0.31Pb(Mg1/3Nb2/3)O3-0.40PbTiO3 ternary single crystals. J. Alloys Compd. 2017, 695, 760–764. [Google Scholar] [CrossRef]
- Li, Y.; Tang, Y.; Chen, J.; Zhao, X.; Yang, L.; Wang, F.; Zeng, Z.; Luo, H. Enhanced pyroelectric properties and thermal stability of Mn-doped 0.29Pb(In1/2Nb1/2)O3-0.29Pb(Mg1/3Nb2/3)O3–0.42PbTiO3 single crystals. Appl. Phys. Lett. 2018, 112, 172901. [Google Scholar] [CrossRef]
- Zhang, Q.; Li, X.; Sun, R.; Wu, X.; Ren, B.; Zhao, X.; Luo, H. Electric properties of Mn doped 0.95Na0.5Bi0.5TiO3–0.05BaTiO3 crystal after different annealing processes. J. Cryst. Growth 2011, 318, 870–873. [Google Scholar] [CrossRef]
- Escote, M.T.; Pontes, F.M.; Leite, E.R.; Longo, E.; Jardim, R.F.; Pizani, P.S. High oxygen-pressure annealing effects on the ferroelectric and structural properties of PbZr0.3Ti0.7O3 thin films. J. Appl. Phys. 2004, 96, 2186–2191. [Google Scholar] [CrossRef]
- Song, Z.; Liu, H.; Lanagan, M.T.; Zhang, S.; Hao, H.; Cao, M.; Yao, Z.; Fu, Z.; Huang, K. Thermal annealing effects on the energy storage properties of BST ceramics. J. Am. Ceram. Soc. 2017, 100, 3550–3557. [Google Scholar] [CrossRef]
- Li, L.; Li, X.; Zhao, X.; Ren, B.; Xu, Q.; Xu, H.; Luo, H.; Li, X.; Shao, X. Enhanced dielectric, pyroelectric and ferroelectric properties of Mn-doped 0.15Pb(In1/2Nb1/2)O3–0.55Pb(Mg1/3Nb2/3)O3–0.30PbTiO3 single crystals. J. Alloys Compd. 2014, 595, 120–124. [Google Scholar] [CrossRef]
- Li, L.; Zhao, X.; Li, X.; Xu, Q.; Yang, L.; Wang, S.; Luo, H. Residual stress and interface effect on dielectric mechanisms in poled ultrathin relaxor ferroelectric single crystals. J. Appl. Phys. 2014, 115, 204104. [Google Scholar] [CrossRef]
- Zhu, R.; Zhao, J.; Liu, F.; Zhang, Z.; Fang, B.; Chen, J.; Xu, H.; Wang, X.; Luo, H. Achieving single domain in rhombohedral and tetragonal Mn-doped Pb(In1/2Nb1/2)O3-Pb(Mg1/3Nb2/3)O3-PbTiO3 crystals for infrared detecting applications. J. Am. Ceram. Soc. 2020, 103, 2575–2586. [Google Scholar] [CrossRef]
- Zhu, R.; Li, X.; Fu, Z.; Chen, J.; Xu, H.; Luo, H. Investigations of defects in Pb(Mg1/3Nb2/3)O3-PbTiO3 single crystals grown along [001] direction. Ceram. Int. 2019, 45, 13354–13361. [Google Scholar] [CrossRef]
- Zhu, R.; Ji, W.; Fang, B.; Wu, D.; Chen, Z.; Ding, J.; Zhao, X.; Luo, H. Ferroelectric phase transition and electrical conduction mechanisms in high Curie-temperature PMN-PHT piezoelectric ceramics. Ceram. Int. 2017, 43, 6417–6424. [Google Scholar] [CrossRef]
- Kobor, D.; Guiffard, B.; Lebrun, L.; Hajjaji, A.; Guyomar, D. Oxygen vacancies effect on ionic conductivity and relaxation phenomenon in undoped and Mn doped PZN-4.5PT single crystals. J. Phys. Appl. Phys. 2007, 40, 2920–2926. [Google Scholar] [CrossRef]
- Ang, C.; Yu, Z.; Cross, L.E. Oxygen-vacancy-related low-frequency dielectric relaxation and electrical conduction in Bi:SrTiO3. Phys. Rev. B 2000, 62, 228–236. [Google Scholar] [CrossRef]
- Li, F.; Zhai, J.; Shen, B.; Liu, X.; Zeng, H. Simultaneously high-energy storage density and responsivity in quasi-hysteresis-free Mn-doped Bi0.5Na0.5TiO3-BaTiO3-(Sr0.7Bi0.2□0.1)TiO3 ergodic relaxor ceramics. Mater. Res. Lett. 2018, 6, 345–352. [Google Scholar] [CrossRef]
- Liu, L.; Fan, H.; Fang, L.; Chen, X.; Dammak, H.; Thi, M.P. Effects of Na/K evaporation on electrical properties and intrinsic defects in Na0.5K0.5NbO3 ceramics. Mater. Chem. Phys. 2009, 117, 138–141. [Google Scholar] [CrossRef]
- Li, L.; Zhao, X.; Li, X.; Ren, B.; Xu, Q.; Liang, Z.; Di, W.; Yang, L.; Luo, H.; Shao, X.; et al. Scale effects of low-dimensional relaxor ferroelectric single crystals and their application in novel pyroelectric infrared detectors. Adv. Mater. 2014, 26, 2580–2585. [Google Scholar] [CrossRef] [PubMed]
- Zhao, J.; Zhu, R.; Du, Q.; Liu, F.; Wu, Y.; Lin, D.; Xu, H.; Di, W.; Chen, J.; Luo, H. Surface and thickness effect on the ferroelectric, dielectric and pyroelectric properties of Mn-doped Pb(Mg1/3Nb2/3)O3–0.28PbTiO3 single crystals. J. Alloys Compd. 2020, 816, 152500. [Google Scholar] [CrossRef]
- Chabok, H.R.; Zhou, Q.; Alagha, S.; Tian, J.; Han, P.; Shung, K.K. Thickness dependent characteristics of high permittivity PMN-0.32PT single crystal for high frequency medical imaging applications. Ferroelectrics 2011, 422, 70–76. [Google Scholar] [CrossRef]
- Jyomura, S.; Matsuyama, I.; Toda, G. Effects of the lapped surface layers on the dielectric properties of ferroelectric ceramics. J. Appl. Phys. 1980, 51, 5838–5844. [Google Scholar] [CrossRef]
- Lee, H.J.; Zhang, S.; Luo, J.; Li, F.; Shrout, T.R. Thickness-dependent properties of relaxor-PbTiO3 ferroelectrics for ultrasonic transducers. Adv. Funct. Mater. 2010, 20, 3154–3162. [Google Scholar] [CrossRef]
- Tagantsev, A.K. Size effects in polarization switching in ferroelectric thin films. Integr. Ferroelectr. 1997, 16, 237–244. [Google Scholar] [CrossRef]
- Putley, E.H. The possibility of background limited pyroelectric detectors. Infrared Phys. 1980, 20, 149–156. [Google Scholar] [CrossRef]








| Annealing Conditions | a = b = c (Å) | α = β = γ (°) | Cell Volume (Å3) | |
|---|---|---|---|---|
| As-grown | 4.0376 (28) | 89.903 (71) | 65.82 | |
| Annealed | 400 °C | 4.0396 (26) | 89.946 (67) | 65.92 |
| 500 °C | 4.0415 (16) | 90.004 (41) | 66.01 | |
| 600 °C | 4.0430 (17) | 90.045 (43) | 66.09 | |
| 700 °C | 4.0433 (18) | 90.062 (45) | 66.10 | |
| 800 °C | 4.0418 (04) | 90.050 (12) | 66.03 | |
| As-Grown | Annealed | |||||
|---|---|---|---|---|---|---|
| 400 °C | 500 °C | 600 °C | 700 °C | 800 °C | ||
| Adj. R-Square | 0.99517 | 0.99971 | 0.99985 | 0.99986 | 0.99977 | 0.99989 |
| Ea (eV) | 0.90 | 1.45 | 1.53 | 1.57 | 1.57 | 1.55 |
| As-Grown | Annealed | |||||
|---|---|---|---|---|---|---|
| 400 °C | 500 °C | 600 °C | 700 °C | 800 °C | ||
| εr (30 °C) | 2.49 × 103 | 2.08 × 103 | 2.05 × 103 | 1.90 × 103 | 1.87 × 103 | 1.94 × 103 |
| TC/Tm (°C) | 167 | 167 | 165 | 166 | 167 | 168 |
| εm | 1.96 × 105 | 2.35 × 105 | 2.42 × 105 | 2.43 × 105 | 2.28 × 105 | 2.03 × 105 |
| Mode | Materials | d (μm) | TC/Tm (°C) | D* (cm·Hz1/2·W−1) | Reference |
|---|---|---|---|---|---|
| Current mode | LiTaO3 | 27 | 620 | 5.40 × 108 | [42,48] |
| Mn:PMNT(72/28) | 20 | 124 | 2.21 × 109 | [42,43] | |
| Mn: PIMNT(15/55/30) | 20 | 167 | 1.63 × 109 | This work |
© 2020 by the authors. Licensee MDPI, Basel, Switzerland. This article is an open access article distributed under the terms and conditions of the Creative Commons Attribution (CC BY) license (http://creativecommons.org/licenses/by/4.0/).
Share and Cite
Zhu, R.; Zhao, J.; Chen, J.; Fang, B.; Xu, H.; Di, W.; Jiao, J.; Wang, X.; Luo, H. A Two-Step Annealing Method to Enhance the Pyroelectric Properties of Mn:PIMNT Chips for Infrared Detectors. Materials 2020, 13, 2562. https://doi.org/10.3390/ma13112562
Zhu R, Zhao J, Chen J, Fang B, Xu H, Di W, Jiao J, Wang X, Luo H. A Two-Step Annealing Method to Enhance the Pyroelectric Properties of Mn:PIMNT Chips for Infrared Detectors. Materials. 2020; 13(11):2562. https://doi.org/10.3390/ma13112562
Chicago/Turabian StyleZhu, Rongfeng, Jing Zhao, Jianwei Chen, Bijun Fang, Haiqing Xu, Wenning Di, Jie Jiao, Xi’an Wang, and Haosu Luo. 2020. "A Two-Step Annealing Method to Enhance the Pyroelectric Properties of Mn:PIMNT Chips for Infrared Detectors" Materials 13, no. 11: 2562. https://doi.org/10.3390/ma13112562
APA StyleZhu, R., Zhao, J., Chen, J., Fang, B., Xu, H., Di, W., Jiao, J., Wang, X., & Luo, H. (2020). A Two-Step Annealing Method to Enhance the Pyroelectric Properties of Mn:PIMNT Chips for Infrared Detectors. Materials, 13(11), 2562. https://doi.org/10.3390/ma13112562

