Strengthening of Reinforced Concrete Beams with Externally Mounted Sequentially Activated Iron-Based Shape Memory Alloys
Abstract
1. Introduction
2. Materials and Methods
2.1. Materials
2.1.1. Concrete
2.1.2. Shape Memory Alloy for Strengthening
2.1.3. Strengthening Steel
2.2. Test Setup Measurements and Test Procedure
2.2.1. Preparation of the SMA Strips
2.2.2. Anchoring of the Strengthening Strip to the Concrete Beam
2.2.3. Test Setup
2.2.4. Testing Procedure
2.2.5. Measurements and Monitoring
3. Results
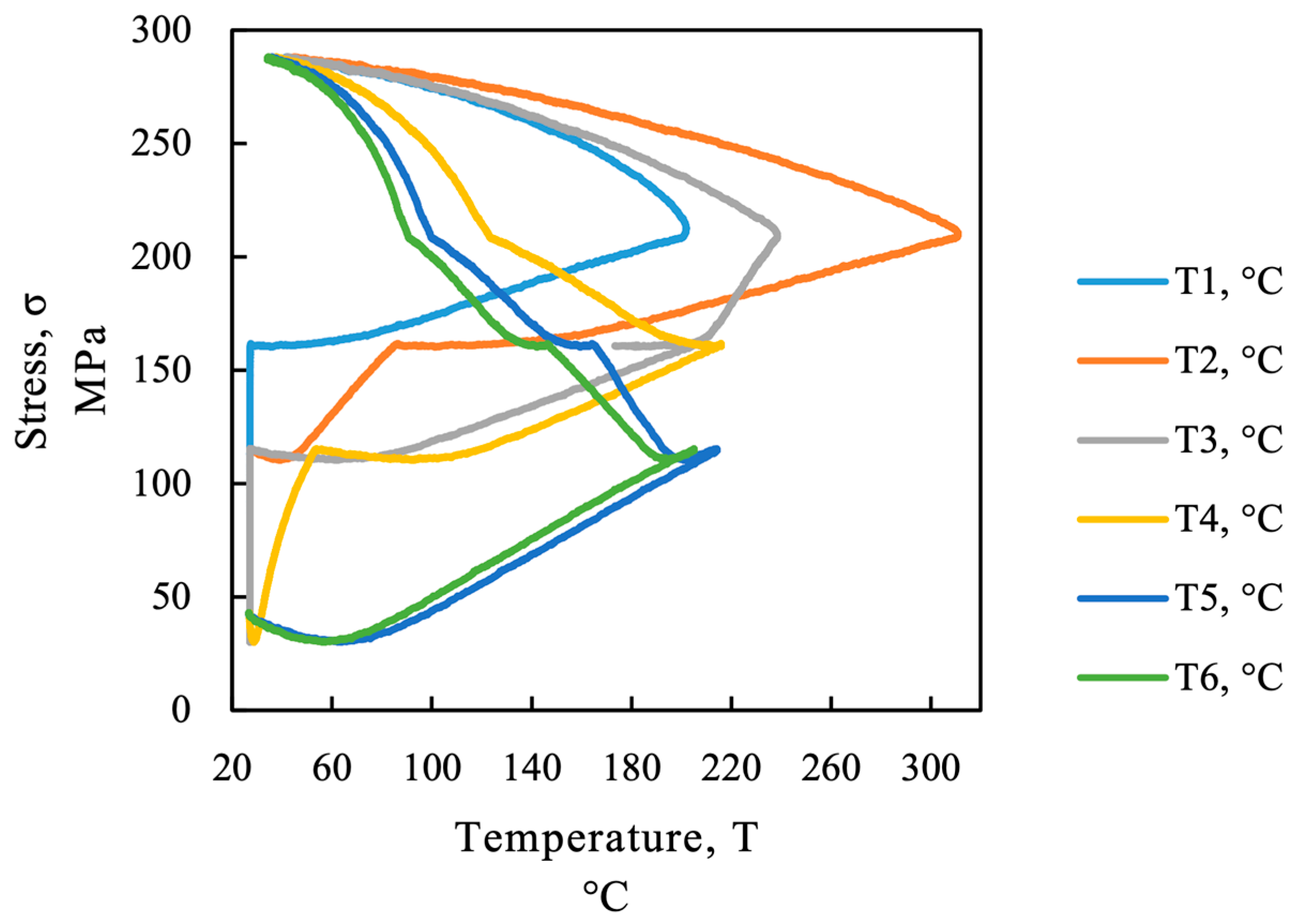
3.1. Results of the Activating Procedure
3.2. Results of the Four Point Bending Test
4. Discussion
5. Modeling Activation Temperature and SMA Phase State
Af = 0.5 °C/MPa × σ + 200 °C;
Ms = 2.5 °C/MPa × σ − 525 °C;
Mf = 2.5 °C/MPa × σ − 1180 °C.
6. Conclusions and Outlook
Author Contributions
Funding
Acknowledgments
Conflicts of Interest
References
- Lagoudas, D.C. Shape Memory Alloys: Modeling and Engineering Applications; Springer: Boston, MA, USA, 2008; ISBN 978-0-387-47685-8. [Google Scholar]
- Brostow, W.; Lobland, H.E.H. Materials: Introduction and Applications; Wiley: Hoboken, NJ, USA, 2017; ISBN 9780470523797. [Google Scholar]
- Bäker, M. Formgedächtnislegierungen. In Funktionswerkstoffe: Physikalische Grundlagen und Prinzipien; Bäker, M., Ed.; Springer Fachmedien Wiesbaden: Wiesbaden, Germany, 2014; pp. 29–47. ISBN 978-3-658-02970-8. [Google Scholar]
- Cladera, A.; Weber, B.; Leinenbach, C.; Czaderski, C.; Shahverdi, M.; Motavalli, M. Iron-based shape memory alloys for civil engineering structures: An overview. Constr. Build. Mater. 2014, 63, 281–293. [Google Scholar] [CrossRef]
- Janke, L. Applications of shape memory alloys in civil engineering structures—Overview, limits and new ideas. Mater. Struct. 2005, 38, 578–592. [Google Scholar]
- Shahverdi, M.; Czaderski, C.; Motavalli, M. Iron-based shape memory alloys for prestressed near-surface mounted strengthening of reinforced concrete beams. Constr. Build. Mater. 2016, 112, 28–38. [Google Scholar] [CrossRef]
- Shahverdi, M.; Czaderski, C.; Annen, P.; Motavalli, M. Strengthening of RC beams by iron-based shape memory alloy bars embedded in a shotcrete layer. Eng. Struct. 2016, 117, 263–273. [Google Scholar] [CrossRef]
- Michels, J.; Shahverdi, M.; Czaderski, C.; Schranz, B.; Motavalli, M. Iron based shape memory alloy strips, part 2: Flexural strengthening of RC beams. In Proceedings of the SMAR 2017—Fourth Conference on Smart Monitoring, Assessment and Rehabilitation of Civil Structures, Zürich, Switzerland, 13–15 September 2017. [Google Scholar]
- Michels, J.; Shahverdi, M.; Czaderski, C. Flexural strengthening of structural concrete with iron-based shape memory alloy strips. Struct. Concr. 2018, 19, 876–891. [Google Scholar] [CrossRef]
- Izadi, M.R.; Ghafoori, E.; Shahverdi, M.; Motavalli, M.; Maalek, S. Development of an iron-based shape memory alloy (Fe-SMA) strengthening system for steel plates. Eng. Struct. 2018, 174, 433–446. [Google Scholar] [CrossRef]
- Leinenbach, C.; Lee, W.J.; Lis, A.; Arabi-Hashemi, A.; Cayron, C.; Weber, B. Creep and stress relaxation of a FeMnSi-based shape memory alloy at low temperatures. Mater. Sci. Eng. A 2016, 677, 106–115. [Google Scholar] [CrossRef]
- BS EN 12390-3:2009 Testing Hardened Concrete—Part 3: Compressive Strength of Test Specimens; European Committee for Standardization: Brussels, Belgium, 2009.
- BS EN 12390-6:2009 Testing Hardened Concrete—Part 6: Tensile Splitting Strength of Test Specimens; European Committee for Standardization: Brussels, Belgium, 2009.
- ÖNORM B 3592:2011-09 Bestimmung der Kerb-Spaltzugfestigkeit und der Spezifischen Bruchenergie von Baustoffen, Baustoffverbindungen und Verbundwerkstoffen Keilspaltmethode; Austrian Standards Institute: Wien, Austria, 2011.
- Shahverdi, M.; Michels, J.; Czaderski, C.; Motavalli, M. Iron-based shape memory alloy strips for strengthening RC members: Material behavior and characterization. Constr. Build. Mater. 2018, 173, 586–599. [Google Scholar] [CrossRef]
- Hong, K.; Lee, S.; Han, S.; Yeon, Y. Evaluation of Fe-Based Shape Memory Alloy (Fe-SMA) as Strengthening Material for Reinforced Concrete Structures. Appl. Sci. 2018, 8, 730. [Google Scholar] [CrossRef]
- Lee, W.J.; Weber, B.; Feltrin, G.; Czaderski, C.; Motavalli, M.; Leinenbach, C. Phase transformation behavior under uniaxial deformation of an Fe–Mn–Si–Cr–Ni–VC shape memory alloy. Mater. Sci. Eng. A 2013, 581, 1–7. [Google Scholar] [CrossRef]
- Ghafoori, E.; Hosseini, E.; Leinenbach, C.; Michels, J.; Motavalli, M. Fatigue behavior of a Fe-Mn-Si shape memory alloy used for prestressed strengthening. Mater. Des. 2017, 133, 349–362. [Google Scholar] [CrossRef]
- Rojob, H.; El-Hacha, R. Fatigue performance of RC beams strengthened with self-prestressed iron-based shape memory alloys. Eng. Struct. 2018, 168, 35–43. [Google Scholar] [CrossRef]
- Rojob, H.; El-Hacha, R. Performance of RC beams strengthened with self-prestressed Fe-SMA bars exposed to freeze-thaw cycles and sustained load. Eng. Struct. 2018, 169, 107–118. [Google Scholar] [CrossRef]
- DIN EN 1990:2010-12 Eurocode: Grundlagen der Tragwerksplanung; DIN Deutsches Institut für Normung: Berlin, Germany, 2010.
- EN 1992-1-1, Eurocode 2: Bemessung und Konstruktion von Stahlbeton- und Spannbetontragwerken—Teil 1-1: Allgemeine Bemessungsregeln und Regeln für den Hochbau; DIN Deutsches Institut für Normung: Berlin, Germany, 2011.
- Hosseini, E.; Ghafoori, E.; Leinenbach, C.; Motavalli, M.; Holdsworth, S.R. Stress recovery and cyclic behaviour of an Fe–Mn–Si shape memory alloy after multiple thermal activation. Smart Mater. Struct. 2018, 27, 025009. [Google Scholar] [CrossRef]
- ABAQUS. Dassault Systéms; Simulia Corp.: Providence, RI, USA, 2017. [Google Scholar]
















| Component | Type | kg/m3 |
|---|---|---|
| Cement | CEM II/A-LL 42.5 R | 385 |
| Gravel | 8/16 | 675 |
| Gravel | 2/8 | 455 |
| Sand | 0/2 | 730 |
| Water | - | 168 |
| Superplasticizer | BASF SKY 643 | 1.93 |
| Component | Surface | wt.% |
|---|---|---|
| Carbonat | Smooth | 27.5 |
| Quartz and quartzite | Smooth | 24.3 |
| Magmatic | Smooth | 16.2 |
| Gneiss and other metamorphic components | Smoothrough | 3.8 |
| Sandstone greywacke | Smooth–rough | 23.8 |
| Hornstone radiolarite and silicate slate | Smooth | 4.0 |
| Other | - | 0.4 |
| Material Parameter | Mean Value | Coefficient of Variation |
|---|---|---|
| Concrete compressive strength | 58 MPa | 3.5% |
| Concrete tensile strength | 6.5 MPa | 1.6% |
| Fracture energy | 196 MPa | 4.3% |
| SMA-Strip Used in Beam No. | Residual Strain after Unloading 1 | Unit |
|---|---|---|
| Structural steel 500 | - 2 | mm/m |
| SMA_1 | 36 | mm/m |
| SMA_2 | 32 | mm/m |
| Test | Strengthening | Testing Procedure |
|---|---|---|
| not strengthened | no strengthening | loading the beam up to ultimate load |
| structural steel | structural steel fy ≅ 500 | loading the beam up to ultimate load |
| SMA_1 | SMA strip | 1. activating SMA ~200 °C (restricted beam deflection) |
| 2. loading the beam up to ultimate load | ||
| SMA_2 | SMA strip | 1. activating SMA ~200 °C (restricted beam deflection) |
| 2. loading beam to 30 kN | ||
| 3. unloading of the beam | ||
| 4. reactivating SMA ~350 °C (restricted beam deflection) | ||
| 5. loading the beam up to ultimate load |
© 2019 by the authors. Licensee MDPI, Basel, Switzerland. This article is an open access article distributed under the terms and conditions of the Creative Commons Attribution (CC BY) license (http://creativecommons.org/licenses/by/4.0/).
Share and Cite
Strieder, E.; Aigner, C.; Petautschnig, G.; Horn, S.; Marcon, M.; Schwenn, M.; Zeman, O.; Castillo, P.; Wan-Wendner, R.; Bergmeister, K. Strengthening of Reinforced Concrete Beams with Externally Mounted Sequentially Activated Iron-Based Shape Memory Alloys. Materials 2019, 12, 345. https://doi.org/10.3390/ma12030345
Strieder E, Aigner C, Petautschnig G, Horn S, Marcon M, Schwenn M, Zeman O, Castillo P, Wan-Wendner R, Bergmeister K. Strengthening of Reinforced Concrete Beams with Externally Mounted Sequentially Activated Iron-Based Shape Memory Alloys. Materials. 2019; 12(3):345. https://doi.org/10.3390/ma12030345
Chicago/Turabian StyleStrieder, Emanuel, Christoph Aigner, Gabriele Petautschnig, Sebastian Horn, Marco Marcon, Michael Schwenn, Oliver Zeman, Pablo Castillo, Roman Wan-Wendner, and Konrad Bergmeister. 2019. "Strengthening of Reinforced Concrete Beams with Externally Mounted Sequentially Activated Iron-Based Shape Memory Alloys" Materials 12, no. 3: 345. https://doi.org/10.3390/ma12030345
APA StyleStrieder, E., Aigner, C., Petautschnig, G., Horn, S., Marcon, M., Schwenn, M., Zeman, O., Castillo, P., Wan-Wendner, R., & Bergmeister, K. (2019). Strengthening of Reinforced Concrete Beams with Externally Mounted Sequentially Activated Iron-Based Shape Memory Alloys. Materials, 12(3), 345. https://doi.org/10.3390/ma12030345

