Thermoresistive Properties of Graphite Platelet Films Supported by Different Substrates
Abstract
1. Introduction
2. Materials and Methods
3. Results and Discussion
3.1. Characterization of Graphit 33 Lacquer
3.2. Morphological and Structural Characterizations of the GP Coatings
3.3. Thermal Properties of Pure LDPE and LDPE Coated by GP Films
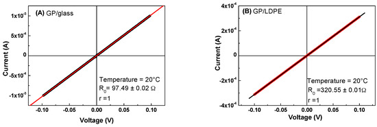
3.4. Thermoresistive Characterizations of Graphite Platelet Films on Glass and LDPE
4. Conclusions
Author Contributions
Funding
Acknowledgments
Conflicts of Interest
References
- Singh, T.B.; Sariciftci, N.S. Progress in plastic electronics devices. Annu. Rev. Mater. Res. 2006, 36, 199–230. [Google Scholar] [CrossRef]
 - Stoppa, M.; Chiolerio, A. Wearable Electronics and Smart Textiles: A Critical Review. Sensors 2014, 14, 11957–11992. [Google Scholar] [CrossRef] [PubMed]
 - Wang, X.; Dong, L.; Zhang, H.; Yu, R.; Pan, C.; Wang, Z.L. Recent Progress in Electronic Skin. Adv. Sci. 2015, 2, 1500169. [Google Scholar] [CrossRef] [PubMed]
 - Lu, N.; Kim, D.-H. Flexible and Stretchable Electronics Paving the Way for Soft Robotics. Soft Robot. 2014, 1, 53–62. [Google Scholar] [CrossRef]
 - Rogers, J.A.; Someya, T.; Huang, Y. Materials and Mechanics for Stretchable Electronics. Science 2010, 327, 1603–1607. [Google Scholar] [CrossRef]
 - Kukhta, A.V.; Kolesnik, E.E.; Lesnikovich, A.I.; Nichik, M.N.; Kudlash, A.N.; Vorobyova, S.A. Organic-Inorganic Nanocomposites: Optical and Electrophysical Properties. Lumin. Nanocompos. 2007, 37, 333–339. [Google Scholar] [CrossRef]
 - Khan, S.; Lorenzelli, L. Recent advances of conductive nanocomposites in printed and flexible electronics. Smart Mater. Struct. 2017, 26, 083001. [Google Scholar] [CrossRef]
 - Raj, P.M.; Muthana, P.; Xiao, T.D.; Wan, L.; Balaraman, D.; Abothu, I.R.; Bhattacharya, S.; Swaminathan, M.; Tummala, R. Magnetic nanocomposites for organic compatible miniaturized antennas and inductors. Conf. Pap. IEEE 2005, 272–275. [Google Scholar] [CrossRef]
 - Kondratov, A.P.; Zueva, A.M.; Varakin, R.S.; Taranec, I.P.; Savenkova, I.A. Polymer film strain gauges for measuring large elongations. IOP Conf. Ser. Mater. Sci. Eng. 2018, 312, 012013. [Google Scholar] [CrossRef]
 - Tripathi, S.N.; Rao, G.S.S.; Mathur, A.B.; Jasra, R. Polyolefin/graphene nanocomposites: A review. RSC Adv. 2017, 7, 23615–23632. [Google Scholar] [CrossRef]
 - Khare, R.; Bose, S. Carbon Nanotube Based Composites—A Review. J. Miner. Mater. Charact. Eng. 2005, 4, 31–46. [Google Scholar] [CrossRef]
 - Turkani, V.S.; Maddipatla, D.; Narakathu, B.B.; Bazuin, B.J.; Atashbar, M.Z. A carbon nanotube based NTC thermistor using additive print manufacturing processes. Sens. Actuators Phys. 2018, 279, 1–9. [Google Scholar] [CrossRef]
 - Wang, S.; Kowalik, D.P.; Chung, D.D.L. Self-sensing attained in carbon-fiber–polymer-matrix structural composites by using the interlaminar interface as a sensor. Smart Mater. Struct. 2004, 13, 570–592. [Google Scholar] [CrossRef]
 - Hirotani, J.; Amano, J.; Ikuta, T.; Nishiyama, T.; Takahashi, K. Carbon nanotube thermal probe for quantitative temperature sensing. Sens. Actuators Phys. 2013, 199, 1–8. [Google Scholar] [CrossRef]
 - Dong, Q.; Guo, Y.; Sun, X.; Jia, Y. Coupled electrical-thermal-pyrolytic analysis of carbon fiber/epoxy composites subjected to lightning strike. Polymer 2015, 56, 385–394. [Google Scholar] [CrossRef]
 - Sibinski, M.; Jakubowska, M.; Sloma, M. Flexible Temperature Sensors on Fibers. Sensors 2010, 10, 7934–7946. [Google Scholar] [CrossRef]
 - Dinh, T.; Phan, H.-P.; Qamar, A.; Woodfield, P.; Nguyen, N.-T.; Dao, D.V. Thermoresistive Effect for Advanced Thermal Sensors: Fundamentals, Design Considerations, and Applications. J. Microelectromech. Syst. 2017, 26, 966–986. [Google Scholar] [CrossRef]
 - Huang, X.; Leng, T.; Zhang, X.; Chen, J.C.; Chang, K.H.; Geim, A.K.; Novoselov, K.S.; Hu, Z. Binder-free highly conductive graphene laminate for low cost printed radio frequency applications. Appl. Phys. Lett. 2015, 106, 203105. [Google Scholar] [CrossRef]
 - Longo, A.; Verucchi, R.; Aversa, L.; Tatti, R.; Ambrosio, A.; Orabona, E.; Coscia, U.; Carotenuto, G.; Maddalena, P. Graphene oxide prepared by graphene nanoplatelets and reduced by laser treatment. Nanotechnology 2017, 28, 224002. [Google Scholar] [CrossRef]
 - Bonavolontà, C.; Camerlingo, C.; Carotenuto, G.; De Nicola, S.; Longo, A.; Meola, C.; Boccardi, S.; Palomba, M.; Pepe, G.P.; Valentino, M. Characterization of piezoresistive properties of graphene-supported polymer coating for strain sensor applications. Sens. Actuators Phys. 2016, 252, 26–34. [Google Scholar] [CrossRef]
 - De Castro, R.K.; Araujo, J.R.; Valaski, R.; Costa, L.O.O.; Archanjo, B.S.; Fragneaud, B.; Cremona, M.; Achete, C.A. New transfer method of CVD-grown graphene using a flexible, transparent and conductive polyaniline-rubber thin film for organic electronic applications. Chem. Eng. J. 2015, 273, 509–518. [Google Scholar] [CrossRef]
 - Palomba, M.; Longo, A.; Carotenuto, G.; Coscia, U.; Ambrosone, G.; Rusciano, G.; Nenna, G.; Barucca, G.; Longobardo, L. Optical and electrical characterizations of graphene nanoplatelet coatings on low density polyethylene. J. Vac. Sci. Technol. B Nanotechnol. Microelectron. Mater. Process. Meas. Phenom. 2018, 36, 01A104. [Google Scholar] [CrossRef]
 - Coscia, U.; Palomba, M.; Ambrosone, G.; Barucca, G.; Cabibbo, M.; Mengucci, P.; de Asmundis, R.; Carotenuto, G. A new micromechanical approach for the preparation of graphene nanoplatelets deposited on polyethylene. Nanotechnology 2017, 28, 194001. [Google Scholar] [CrossRef] [PubMed]
 - Lim, K.-H.; Kim, S.-K.; Chung, M.-K. Improvement of the thermal diffusivity measurement of thin samples by the flash method. Thermochim. Acta 2009, 494, 71–79. [Google Scholar] [CrossRef]
 - Ferrari, A.C.; Robertson, J. Interpretation of Raman spectra of disordered and amorphous carbon. Phys. Rev. B 2000, 61, 14095. [Google Scholar] [CrossRef]
 - Abdelkader, A.M.; Patten, H.V.; Li, Z.; Chen, Y.; Kinloch, I.A. Electrochemical exfoliation of graphite in quaternary ammonium-based deep eutectic solvents: a route for the mass production of graphane. Nanoscale 2015, 7, 11386–11392. [Google Scholar] [CrossRef]
 - Pimenta, M.A.; Dresselhaus, G.; Dresselhaus, M.S.; Canc, L.G.; Jorioa, A.; Saitoe, R. Studying disorder in graphite-based systems by Raman spectroscopy. Phys. Chem. Chem. Phys. 2007, 9, 1276–1291. [Google Scholar] [CrossRef]
 - Peacock, A. Handbook of Polyethylene. Structures: Properties, and Applications; Marcel Dekker, INC.: New York, NY, USA, 2000. [Google Scholar]
 - Mark, D.H. Thermal characterization of polymeric materials, Edith A. Turi, Ed., Academic, New York, 1981, 972 pp. Price: $98.00. J. Polym. Sci. Polym. Lett. Ed. 1982, 20, 281–282, Book review. [Google Scholar] [CrossRef]
 - Iwashita, H.; Imagawa, H.; Nishiumi, W. Variation of temperature dependence of electrical resistivity with crystal structure of artificial products. Carbon 2013, 61, 602–608. [Google Scholar] [CrossRef]
 











© 2019 by the authors. Licensee MDPI, Basel, Switzerland. This article is an open access article distributed under the terms and conditions of the Creative Commons Attribution (CC BY) license (http://creativecommons.org/licenses/by/4.0/).
Share and Cite
Palomba, M.; Carotenuto, G.; Longo, A.; Sorrentino, A.; Di Bartolomeo, A.; Iemmo, L.; Urban, F.; Giubileo, F.; Barucca, G.; Rovere, M.; et al. Thermoresistive Properties of Graphite Platelet Films Supported by Different Substrates. Materials 2019, 12, 3638. https://doi.org/10.3390/ma12213638
Palomba M, Carotenuto G, Longo A, Sorrentino A, Di Bartolomeo A, Iemmo L, Urban F, Giubileo F, Barucca G, Rovere M, et al. Thermoresistive Properties of Graphite Platelet Films Supported by Different Substrates. Materials. 2019; 12(21):3638. https://doi.org/10.3390/ma12213638
Chicago/Turabian StylePalomba, Mariano, Gianfranco Carotenuto, Angela Longo, Andrea Sorrentino, Antonio Di Bartolomeo, Laura Iemmo, Francesca Urban, Filippo Giubileo, Gianni Barucca, Massimo Rovere, and et al. 2019. "Thermoresistive Properties of Graphite Platelet Films Supported by Different Substrates" Materials 12, no. 21: 3638. https://doi.org/10.3390/ma12213638
APA StylePalomba, M., Carotenuto, G., Longo, A., Sorrentino, A., Di Bartolomeo, A., Iemmo, L., Urban, F., Giubileo, F., Barucca, G., Rovere, M., Tagliaferro, A., Ambrosone, G., & Coscia, U. (2019). Thermoresistive Properties of Graphite Platelet Films Supported by Different Substrates. Materials, 12(21), 3638. https://doi.org/10.3390/ma12213638
        
