Molecular Dynamics Study of the Swelling of Poly(methyl methacrylate) in Supercritical Carbon Dioxide
Abstract
1. Introduction
2. Computational Details
3. Results and Discussion
3.1. Bulk PMMA
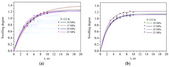
3.2. PMMA in sc-CO2
4. Conclusions
Author Contributions
Funding
Acknowledgments
Conflicts of Interest
References
- Tomasko, D.L.; Li, H.; Liu, D.; Han, X.; Wingert, M.J.; Lee, L.J.; Koelling, K.W. A review of CO2 applications in the processing. Ind. Eng. Chem. 2003, 42, 6431–6456. [Google Scholar] [CrossRef]
- Kazarian, S.G. Polymer processing with supercritical fluids. Polym. Sci. Ser. C 2000, 42, 78–101. [Google Scholar]
- Nalawade, S.P.; Picchioni, F.; Janssen, L.P.B.M. Supercritical carbon dioxide as green solvent for processing polymer melts: Processing aspect and applications. Prog. Polym. Sci. 2006, 31, 19–43. [Google Scholar] [CrossRef]
- Yeo, S.D.; Kiran, E. Formation of polymer particles with supercritical fluids: A review. J. Supercrit. Fluids 2005, 34, 287–308. [Google Scholar] [CrossRef]
- Davies, O.R.; Lewis, A.L.; Whitaker, M.J.; Tai, H.; Shakesheff, K.M.; Howdle, S.M. Applications of supercritical CO2 in the fabrication of polymer systems for drug delivery and tissue engineering. Adv. Drug Deliv. Rev. 2008, 60, 373–387. [Google Scholar] [CrossRef]
- Byrappa, K.; Ohara, S.; Adshiri, T. Nanoparticles synthesis using supercritical fluid technology—Towards biomedical applications. Adv. Drug Deliv. Rev. 2008, 60, 299–327. [Google Scholar] [CrossRef]
- Kiran, E. Supercritical fluids and polymers—The year in review—2014. J. Supercrit. Fluids 2016, 110, 126–153. [Google Scholar] [CrossRef]
- Budkov, Y.A.; Kiselev, M.G. Flory-type theories of polymer chains under different external stimuli. J. Phys. 2018, 30, 043001. [Google Scholar] [CrossRef]
- Kikic, I.; Vecchione, F. Supercritical impregnation of polymers. Curr. Opin. Solid State Mater. Sci. 2003, 7, 399–405. [Google Scholar] [CrossRef]
- Mioyshi, T.; Takegoshi, K.; Terao, T. 13C high-pressure CPMAS NMR characterization of the molecular motion of polystyrene plasticized by CO2 gas. Macromolecules 1997, 30, 6582–6585. [Google Scholar] [CrossRef]
- Shah, V.M.; Hardy, B.J.; Stern, S.A. Solubility of carbon dioxide, methane, and propane in silicone polymers. Effect of polymer backbone chains. J. Polym. Sci. Part B 1993, 31, 313–317. [Google Scholar] [CrossRef]
- Wissinger, R.; Paulaitis, M. Swelling and Sorption in Poymer-CO2 Mixtures at elevated Pressures. J. Polym. Sci. Part B 1987, 25, 2497–2509. [Google Scholar] [CrossRef]
- Chiou, J.S.; Barlow, J.W.; Paul, D.R. Plasticization of glassy polymers by CO2. J. Appl. PolymSci. 1985, 30, 2633–2642. [Google Scholar] [CrossRef]
- Liau, I.S.; McHugh, M.A. High pressure solid polymer-supercritical fluid phase behavior. Supercritical Fluid Technology; Elsevier: Amsterdam, The Netherlands, 1985; p. 415. [Google Scholar]
- Chang, S.; Park, S.; Shim, J. Phase equilibria of supercritical fluid-polymer systems. J. Supercrit. Fluids 1998, 13, 113–119. [Google Scholar] [CrossRef]
- Handa, Y.P.; Kruus, P.; O’Neill, M. High pressure calorimetric study of plasticization of poly (methyl methacrylate) by methane, ethylene and carbon dioxide. J. Polym. Sci. Part B 1996, 34, 2635–2639. [Google Scholar] [CrossRef]
- Shieh, Y.; Liu, K. Solubility of CO2 in glassy PMMA and PS over a wide pressure range: The effect of carbonyl groups. J. Polym. Res. 2002, 9, 107–113. [Google Scholar] [CrossRef]
- Kamiya, Y.; Mizoguchi, K.; Terada, K.; Fujiwara, Y.; Wang, J.S. CO2 sorption and dilation of poly (methyl methacrylate). Macromolecules 1998, 31, 472–478. [Google Scholar] [CrossRef]
- Nikitin, L.N.; Said-Galiyev, E.E.; Vinokur, R.A.; Khokhlov, A.R.; Gallyamov, M.O.; Schaumburg, K. Poly (methyl methacrylate) and poly (butyl methacrylate) swelling in supercritical carbon dioxide. Macromolecules 2002, 35, 934–940. [Google Scholar] [CrossRef]
- Rajendran, A.; Bonavoglia, B.; Forrer, N.; Storti, G.; Mazzotti, M.; Morbidelli, M. Simultaneous measurement of swelling and sorption in a supercritical CO2–poly (methyl methacrylate) system. Ind. Eng. Chem. Res. 2005, 44, 2549–2560. [Google Scholar] [CrossRef]
- Pantoula, M.; Panayiotou, C. Sorption and swelling in glassy polymer/carbon dioxide systems. Part I. Sorption. J. Supercrit. Fluids 2006, 37, 254–262. [Google Scholar] [CrossRef]
- Pantoula, M.; von Schnitzler, J.; Eggers, R.; Panayiotou, C. Sorption and swelling in glassy polymer/carbon dioxide systems. Part II.; Swelling. J. Supercrit. Fluids 2007, 39, 426–434. [Google Scholar] [CrossRef]
- Tsioptsias, C.; Panayiotou, C. Simultaneous determination of sorption, heat of sorption, diffusion coefficient and glass transition depression in polymer–CO2systems. Thermochim. Acta 2011, 521, 98–106. [Google Scholar] [CrossRef]
- Li, R.; Zhang, Z.; Fang, T. Experimental research on swelling and glass transition behavior of poly(methyl methacrylate) in supercritical carbon dioxide. J. Supercrit. Fluids 2016, 110, 110–116. [Google Scholar] [CrossRef]
- Domingo, C.; Vega, A.; Fanovich, M.A.; Elvira, C.; Subra, P. Behavior of poly (methyl methacrylate)–based systems in supercritical CO2 and CO2 plus cosolvent: Solubility measurements and process assessment. J. Appl. Polym. Sci. 2003, 90, 3652–3659. [Google Scholar] [CrossRef]
- Gallyamov, M.O.; Vinokur, R.A.; Nikitin, L.N.; Said-Galiyev, E.E.; Khokhlov, A.R.; Schaumburg, K. Poly (methyl methacrylate) and poly (butyl methacrylate) swelling in supercritical carbon dioxide and the formation of a porous structure. Polym. Sci. Ser. AC/C Vysokomol. Soedin. 2002, 44, 581–592. [Google Scholar]
- Van der Vegt, N.F.A.; Briels, W.J.; Wessling, M.; Strathmann, H. The sorption induced glass transition in amorphous glassy polymers. J. Chem. Phys. 1999, 110, 11061–11069. [Google Scholar] [CrossRef]
- Van der Vegt, N.F.A. Temperature dependence of gas transport in polymer melts: Molecular dynamics simulations of CO2 in polyethylene. Macromolecules 2000, 33, 3153–3160. [Google Scholar] [CrossRef]
- Spyriouni, T.; Boulougouris, G.C.; Theodorou, D.N. Prediction of sorption of CO2 in glassy atactic polystyrene at elevated pressures through a new computational scheme. Macromolecules 2009, 42, 1759–1769. [Google Scholar] [CrossRef]
- Zhang, L.; Xiao, Y.; Chung, T.S.; Jiang, J. Mechanistic understanding of CO2-induced plasticization of a polyimide membrane: A combination of experiment and simulation study. Polymer 2010, 51, 4439–4447. [Google Scholar] [CrossRef]
- Yan, L.; Yang, Y.; Jiang, H.; Zhang, B.; Zhang, H. The adsorption of methyl methacrylate and vinyl acetate polymers on α-quartz surface: A molecular dynamics study. Chem. Phys. Lett. 2016, 643, 1–5. [Google Scholar] [CrossRef]
- Xue, P.; Shi, J.; Cao, X.; Yuan, S. Molecular dynamics simulation of thickening mechanism of supercritical CO2 thickener. Chem. Phys. Lett. 2018, 706, 658–664. [Google Scholar] [CrossRef]
- Materials Studio 4.3; Accelrys: San Diego, CA, USA, 2008.
- Jorgensen, W.L.; Tirado-Rives, J. The OPLS [optimized potentials for liquid simulations] potential functions for proteins, energy minimizations for crystals of cyclic peptides and crambin. J. Am. Chem. Soc. 1988, 110, 1657–1666. [Google Scholar] [CrossRef] [PubMed]
- Jorgensen, W.L.; Maxwell, D.S.; Tirado-Rives, J. Development and testing of the OPLS all-atom force field on conformational energetics and properties of organic liquids. J. Am. Chem. Soc. 1996, 118, 11225–11236. [Google Scholar] [CrossRef]
- Chen, C.; Maranas, J.K.; García-Sakai, V. Local dynamics of syndiotactic poly (methyl methacrylate) using molecular dynamics simulation. Macromolecules 2006, 39, 9630–9640. [Google Scholar] [CrossRef]
- Zhang, Z.; Duan, Z. An optimized molecular potential for carbon dioxide. J. Chem. Phys. 2005, 122, 214507. [Google Scholar] [CrossRef]
- Nose, S.A. Molecular dynamics method for simulations in the canonical ensemble. Mol. Phys. 1984, 52, 255–268. [Google Scholar] [CrossRef]
- Hoover, W.G. Canonical dynamics: Equilibrium phase-space distributions. Phys. Rev. A 1985, 31, 1695–1697. [Google Scholar] [CrossRef]
- Parrinello, M.; Rahman, A. Polymorphic transitions in single crystals: A new molecular dynamics method. J. Appl. Phys. 1981, 52, 7182–7190. [Google Scholar] [CrossRef]
- Hockney, R.W.; Goel, S.P.; Eastwood, J.W. Quiet high-resolution computer models of a plasma. J. Comput. Phys. 1974, 14, 148–158. [Google Scholar] [CrossRef]
- Darden, T.; York, D.; Pedersen, L. Particle mesh Ewald: An N-log(N) method for Ewald sums in large systems. J. Chem. Phys. 1993, 98, 10089–10092. [Google Scholar] [CrossRef]
- Essmann, U.; Perera, L.; Berkowitz, M.L.; Darden, T.; Lee, H.; Pedersen, L.G. A smooth particle mesh Ewald method. J. Chem. Phys. 1995, 103, 8577–8592. [Google Scholar] [CrossRef]
- Hess, B.; Bekker, H.; Berendsen, H.J.C.; Fraaije, J.G.E.M. LINCS: A linear constraint solver for molecular simulations. J. Comput. Chem. 1997, 18, 1463–1472. [Google Scholar] [CrossRef]
- Ghobadi, E.; Heuchel, M.; Kratz, K.; Lendlein, A. Simulation of volumetric swelling of degradable poly [(rac-lactide)-co-glycolide] based polyesterurethanes containing different urethane-linkers. J. Appl. Biomater. Funct. Mater. 2012, 10, 293–301. [Google Scholar] [CrossRef] [PubMed]
- Berrahou, N.; Mokaddem, A.; Doumi, B.; Hiadsi, S.; Beldjoudi, N.; Boutaous, A. Investigation by molecular dynamics simulation of the glass transition temperature and elastic properties of amorphous polymers PMMA, PMAAM and PMMA co PMAAM copolymers. Polym. Bull. 2016, 73, 3007–3017. [Google Scholar] [CrossRef]
- Abraham, M.J.; Murtola, T.; Schulz, R.; Páll, S.; Smith, J.C.; Hess, B.; Lindahl, E. Gromacs: High performance molecular simulations through multi-level parallelism from laptops to supercomputers. SoftwareX 2015, 1, 19–25. [Google Scholar] [CrossRef]
- Rogers, S.S.; Mandelkern, L. Glass transitions of the poly- (n-alkyl methacrylates). J. Phys. Chem. 1957, 61, 985–991. [Google Scholar] [CrossRef]
- Kim, C.K.; Paul, D.R. Interaction parameters for blends containing polycarbonates: 2. Tetramethylbisphenol A polycarbonate-styrene copolymers. Polymer 1992, 33, 2089–2102. [Google Scholar] [CrossRef]
- Linstrom, P.J. NIST Chemistry Webbook. Available online: http://webbook. nist. gov (accessed on 3 April 2019).
- Hutter, J.; Ballone, P.; Bernasconi, M.; Focher, P.; Fois, E.; Goedecker, S.; Marx, D.; Parrinello, M.; Tuckerman, M.E. CPMD Version 3.11.1, Max Planck Institut fur Festkoerperforschung; IBM Zurich Research Laboratory: Stuttgart, Germany, 1990. [Google Scholar]
- Becke, A.D. Density-functional exchange-energy approximation with correct asymptotic behavior. Phys. Rev. A 1988, 38, 3098–3100. [Google Scholar] [CrossRef]
- Lee, C.; Yang, W.; Parr, R.G. Development of the Colle–Salvetti correlation-energy formula into a functional of the electron density. Phys. Rev. B 1988, 37, 785–789. [Google Scholar] [CrossRef]
- Vanderbilt, D. Soft self-consistent pseudopotentials in generalized eigen value formalism. Phys. Rev. B 1990, 41, 7892–7897. [Google Scholar] [CrossRef]
- Doi, M. Introduction to Polymer Physics; Oxford University Press: Oxford, UK, 1996. [Google Scholar]
- Eisele, U. Introduction to Polymer Physics; Springer Science & Business Media: Berlin, Germany, 2012. [Google Scholar]
- Mohammadi, M.; Davoodi, J. The glass transition temperature of PMMA: A molecular dynamics study and comparison of various determination methods. Eur. Polym. J. 2017, 91, 121–133. [Google Scholar] [CrossRef]
- Armeniades, C.D.; Baer, E. Introduction to Polymer Science and Technology; John Wiley and Sons: New York, NY, USA, 1977. [Google Scholar]
- Shen, J.; Yildirim, E.; Li, S.H.; Caydamli, Y.; Pasquinelli, M.A.; Tonelli, A.E. Role of local polymer conformations on the diverging glass transition temperatures and dynamic fragilities of isotactic-, syndiotactic-, and atactic-poly (methyl methacrylate) s. Macromolecules 2019, 52, 3897–3908. [Google Scholar] [CrossRef]
- Budkov, Y.A.; Kolesnikov, A.L. On a new application of the path integrals in polymer statistical physics. J. Stat. Mech. 2016, 10, 103211. [Google Scholar] [CrossRef]
- Fixman, M. Radius of gyration of polymer chains. J. Chem. Phys. 1962, 36, 306–310. [Google Scholar] [CrossRef]
- Cooper, A.I. Polymer synthesis and processing using supercritical carbon dioxide. J. Mater. Chem. 2000, 10, 207–234. [Google Scholar] [CrossRef]
- Favro, L.D. Theory of the rotational Brownian motion of a free rigid body. Phys. Rev. 1960, 119, 53. [Google Scholar] [CrossRef]
- Humphrey, W.; Dalke, A.; Schulten, K. VMD: Visual Molecular Dynamics. J. Mol. Graph. 1996, 14, 33–38. [Google Scholar] [CrossRef]
- Kikic, I.; Lora, M.; Cortesi, A.; Sist, P. Sorption of CO2 in biocompatible polymers: Experimental data and qualitative interpretation. Fluid Phase Equilib. 1999, 158, 913–921. [Google Scholar] [CrossRef]
- Zhang, Y.; Gangwani, K.K.; Lemert, R.M. Sorption and swelling of block copolymers in the presence of supercritical fluid carbon dioxide. J. Supercrit. Fluids 1997, 11, 115–134. [Google Scholar] [CrossRef]
- Üzer, S.; Akman, U.; Hortaçsu, Ö. Polymer swelling and impregnation using supercritical CO2: A model-component study towards producing controlled-release drugs. J. Supercrit. Fluids 2006, 38, 119–128. [Google Scholar] [CrossRef]
- Kazarian, S.G.; Vincent, M.F.; Bright, F.V.; Liotta, C.L.; Eckert, C.A. Specific intermolecular interaction of carbon dioxide with polymers. J. Am. Chem. Soc. 1996, 118, 1729–1736. [Google Scholar] [CrossRef]
- Xu, W.; Yang, J.; Hu, Y. Microscopic Structure and interaction analysis for supercritical carbon dioxide− ethanol mixtures: A Monte Carlo simulation study. J. Phys. Chem. B 2009, 113, 4781–4789. [Google Scholar] [CrossRef] [PubMed]
- Saharay, M.; Balasubramanian, S. Electron donor-acceptor interactions in ethanol-CO2 mixtures: An ab initio molecular dynamics study of supercritical carbon dioxide. J. Phys. Chem. B 2006, 110, 3782–3790. [Google Scholar] [CrossRef] [PubMed]
- Raveendran, P.; Wallen, S.L. Cooperative C—H⋯O hydrogen bonding in CO2− Lewis base complexes: Implications for solvation in supercritical CO2. J. Am. Chem. Soc. 2002, 124, 12590–12599. [Google Scholar] [CrossRef] [PubMed]
- Møller, C.; Plesset, M.S. Note on an approximation treatment for many-electron systems. Phys. Rev. 1934, 46, 618. [Google Scholar] [CrossRef]
- Pople, J.A.; Binkley, J.S.; Seeger, R. Theoretical models incorporating electron correlation. Int. J. Quantum Chem. 1976, 10, 1–19. [Google Scholar] [CrossRef]
- Desiraju, G.R. The C-H⋯O Hydrogen bond: Structural implications and supramolecular design. Acc. Chem. Res. 1996, 29, 441–449. [Google Scholar] [CrossRef]
- Fried, J.R.; Li, W. High-pressure FTIR studies of gas-polymer interactions. J. Appl. Polym. Sci. 1990, 41, 1123–1131. [Google Scholar] [CrossRef]










| Atom | σ, nm | ε, kJ mol−1 | q, e.c. |
|---|---|---|---|
| C1 | 0.350 | 0.28 | −0.09 |
| C2 | 0.350 | 0.28 | 0.00 |
| C3 | 0.350 | 0.28 | −0.135 |
| C4 | 0.375 | 0.44 | 0.51 |
| C5 | 0.350 | 0.28 | 0.16 |
| O1 | 0.300 | 0.71 | −0.33 |
| O2 | 0.296 | 0.88 | −0.43 |
| H1, H2 | 0.250 | 0.13 | 0.045 |
| H3, H4, H5 | 0.250 | 0.13 | 0.045 |
| H6, H7, H8 | 0.242 | 0.06 | 0.03 |
| System | T, K | P, MPa | ρ(CO2) EXP., kg/m3 | ρMD, kg/m3 | L, nm |
|---|---|---|---|---|---|
| 1 | 333 | 10 | 290.81 | 913.99 | 19.4 |
| 2 | 15 | 605.60 | 924.57 | 19.3 | |
| 3 | 20 | 724.63 | 933.42 | 19.3 | |
| 4 | 25 | 787.28 | 942.28 | 19.2 | |
| 5 | 353 | 10 | 221.93 | 856.48 | 19.8 |
| 6 | 15 | 428.15 | 870.73 | 19.7 | |
| 7 | 20 | 594.85 | 888.32 | 19.6 | |
| 8 | 25 | 686.98 | 904.38 | 19.4 |
| T, K | ρ, kg/m3 | ρexp, kg/m3 | β, 10−4 1/K | βexp, 10−4 1/K |
|---|---|---|---|---|
| 273 | 1174 ± 2 | 1175 [48] | 1.62 | |
| 293 | 1170 ± 2 | 1170 [48] | 2.13 | |
| 303 | 1167 ± 2 | 2.29 | ||
| 313 | 1164 ± 2 | 1.67 | 1.80 [49] | |
| 333 | 1161 ± 2 | 1160 [48] | 2.28 | 2.10 [49] |
| 353 | 1154 ± 2 | 1155 [48] | 3.01 | 2.40 [49] |
| 363 | 1150 ± 3 | 2.12 | ||
| 373 | 1149 ± 3 | 1150 [48] | 2.43 | 2.70 [49] |
| 383 | 1145 ± 3 | 3.92 | ||
| 393 | 1140 ± 3 | 1140 [48] | 3.34 | 5.50 [49] |
| 403 | 1137 ± 3 | 3.58 | ||
| 413 | 1131 ± 3 | 1128 [48] | 3.24 | 5.80 [49] |
| 423 | 1129 ± 5 | 2.53 | ||
| 433 | 1125 ± 3 | 1126 [49] | 4.07 | 6.10 [49] |
| 453 | 1114 ± 4 | 1112 [49] | 5.26 | 6.40 [49] |
| 473 | 1101 ± 4 | 1097 [49] | 5.63 | 6.70 [49] |
| 493 | 1088 ± 5 | 1082 [49] | 5.33 | 7.00 [49] |
| 513 | 1076 ± 5 | 1067 [49] | 5.77 | 7.20 [49] |
| 533 | 1061 ± 5 | 1052 [49] | 6.36 | 7.50 [49] |
| System | T, K | P, MPa | D, 10−5 cm2/s |
|---|---|---|---|
| Bulk PMMA | 333 | 0.1 | 0.0004 ± 0.0001 |
| PMMA in sc-CO2 | 10 | 0.89 ± 0.09 | |
| 15 | 0.75 ± 0.04 | ||
| 20 | 0.75 ± 0.04 | ||
| 25 | 0.68 ± 0.10 | ||
| Bulk PMMA | 353 | 0.1 | 0.0005 ± 0.0002 |
| PMMA in sc-CO2 | 10 | 1.07 ± 0.11 | |
| 15 | 0.91 ± 0.12 | ||
| 20 | 0.85 ± 0.12 | ||
| 25 | 0.78 ± 0.15 |
| T, K | P, MPa | αmax | k |
|---|---|---|---|
| 333 | 10 | 1.27 ± 0.02 | 0.28 ± 0.01 |
| 15 | 1.39 ± 0.05 | 0.21 ± 0.02 | |
| 20 | 1.23 ± 0.04 | 0.27 ± 0.02 | |
| 25 | 1.23 ± 0.02 | 0.33 ± 0.02 | |
| 353 | 10 | 1.15 ± 0.02 | 0.42 ± 0.03 |
| 15 | 1.13 ± 0.01 | 0.42 ± 0.01 | |
| 20 | 1.13 ± 0.01 | 0.47 ± 0.02 | |
| 25 | 1.23 ± 0.01 | 0.47 ± 0.02 |
| T, K | P, MPa | DCO2 (inside PMMA), 10−5 cm2/s | DCO2 (in PMMA-CO2 system), 10−5 cm2/s | DCO2 (in pure CO2), 10−5 cm2/s |
|---|---|---|---|---|
| 333 | 10 | 7.0 ± 2.1 | 11.5 ± 0.1 | 76 ± 3 |
| 333 | 15 | 6.4 ± 0.6 | 11.1 ± 0.3 | 31 ± 2 |
| 333 | 20 | 6.2 ± 0.2 | 10.81 ± 0.04 | 23.5 ± 0.8 |
| 333 | 25 | 6.4 ± 0.2 | 10.3 ± 0.1 | 23 ± 1 |
| 353 | 10 | 7.2 ± 0.9 | 14.66 ± 0.01 | 111 ± 9 |
| 353 | 15 | 6.8 ± 0.5 | 13.93 ± 0.07 | 52 ± 2 |
| 353 | 20 | 7.2 ± 1.0 | 13.3 ± 0.2 | 32.3 ± 0.4 |
| 353 | 25 | 6.2 ± 0.3 | 12.4 ± 0.1 | 26.2 ± 0.7 |
© 2019 by the authors. Licensee MDPI, Basel, Switzerland. This article is an open access article distributed under the terms and conditions of the Creative Commons Attribution (CC BY) license (http://creativecommons.org/licenses/by/4.0/).
Share and Cite
Gurina, D.; Budkov, Y.; Kiselev, M. Molecular Dynamics Study of the Swelling of Poly(methyl methacrylate) in Supercritical Carbon Dioxide. Materials 2019, 12, 3315. https://doi.org/10.3390/ma12203315
Gurina D, Budkov Y, Kiselev M. Molecular Dynamics Study of the Swelling of Poly(methyl methacrylate) in Supercritical Carbon Dioxide. Materials. 2019; 12(20):3315. https://doi.org/10.3390/ma12203315
Chicago/Turabian StyleGurina, Darya, Yury Budkov, and Mikhail Kiselev. 2019. "Molecular Dynamics Study of the Swelling of Poly(methyl methacrylate) in Supercritical Carbon Dioxide" Materials 12, no. 20: 3315. https://doi.org/10.3390/ma12203315
APA StyleGurina, D., Budkov, Y., & Kiselev, M. (2019). Molecular Dynamics Study of the Swelling of Poly(methyl methacrylate) in Supercritical Carbon Dioxide. Materials, 12(20), 3315. https://doi.org/10.3390/ma12203315
